Next Issue
Volume 6, March
Previous Issue
Volume 5, September
 
 

Network, Volume 5, Issue 4 (December 2025) – 13 articles

  • Issues are regarded as officially published after their release is announced to the table of contents alert mailing list.
  • You may sign up for e-mail alerts to receive table of contents of newly released issues.
  • PDF is the official format for papers published in both, html and pdf forms. To view the papers in pdf format, click on the "PDF Full-text" link, and use the free Adobe Reader to open them.
Cover Story (view full-size image):
Order results
Result details
Select all
Export citation of selected articles as:
23 pages, 2226 KB  
Article
Dynamic Predictive Feedback Mechanism for Intelligent Bandwidth Control in Future SDN Networks
by Kritsanapong Somsuk, Suchart Khummanee and Panida Songram
Network 2025, 5(4), 54; https://doi.org/10.3390/network5040054 - 12 Dec 2025
Viewed by 213
Abstract
Future programmable networks such as 5G/6G and large-scale IoT deployments demand dynamic and intelligent bandwidth control mechanisms to ensure stable Quality of Service (QoS) under highly variable traffic conditions. Conventional queue-based schedulers and emerging machine learning techniques still struggle with slow reaction to [...] Read more.
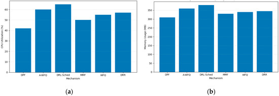
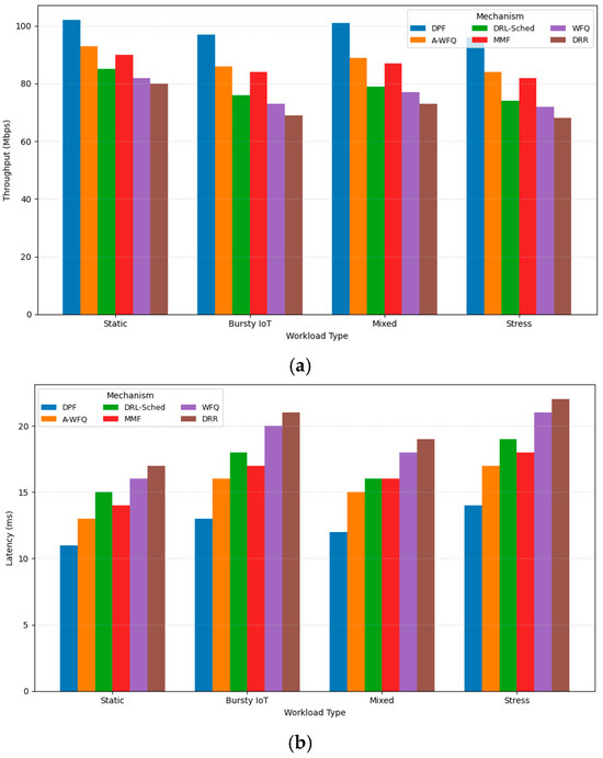
Future programmable networks such as 5G/6G and large-scale IoT deployments demand dynamic and intelligent bandwidth control mechanisms to ensure stable Quality of Service (QoS) under highly variable traffic conditions. Conventional queue-based schedulers and emerging machine learning techniques still struggle with slow reaction to congestion, unstable fairness, and high computational costs. To address these challenges, this paper proposes a Dynamic Predictive Feedback (DPF) mechanism that integrates clustered-LSTM based short-term traffic prediction with meta-control driven adaptive bandwidth adjustment in a Software-Defined Networking (SDN) architecture. The prediction module proactively estimates future queue depth and arrival rates using in-band network telemetry (INT), while the feedback controller continuously adjusts scheduling weights based on congestion risk and fairness metrics. Extensive emulation experiments conducted under Static, Bursty IoT, Mixed, and Stress workloads show that DPF consistently outperforms state-of-the-art solutions, including A-WFQ and DRL-based schedulers, achieving up to 32% higher throughput, up to 40% lower latency, and 10–12% lower CPU and memory usage. Moreover, DPF demonstrates strong fairness (Jain’s Index ≥ 0.96), high adaptability, and minimal performance variance across scenarios. These results confirm that DPF is a scalable and resource-efficient solution capable of supporting the demands of future programmable, 5G/6G-ready network infrastructures. Full article
Show Figures

Figure 1

8 pages, 1713 KB  
Communication
Design and Performance Evaluation of HEPS Data Center Network
by Shan Zeng, Tao Cui, Yanming Wang, Mengyao Qi and Fazhi Qi
Network 2025, 5(4), 53; https://doi.org/10.3390/network5040053 - 5 Dec 2025
Viewed by 218
Abstract
Among the 15 beamlines in the first phase of the High-Energy Photon Source (HEPS) in China, the maximum peak data generation volume can reach 1 PB per day, with the maximum peak data generation rate reaching 3.2 Tb/s. This poses significant challenges to [...] Read more.
Among the 15 beamlines in the first phase of the High-Energy Photon Source (HEPS) in China, the maximum peak data generation volume can reach 1 PB per day, with the maximum peak data generation rate reaching 3.2 Tb/s. This poses significant challenges to the underlying network system. To meet the storage, computing, and analysis needs of HEPS scientific data, this paper designed a high-performance and scalable network architecture based on RoCE (RDMA over Converged Ethernet). Test results demonstrate that the RoCE-based HEPS data center network system achieves high bandwidth and ultra-low latency, stably maintains reliable transmission performance during the interaction of scientific data storage, computing, and analysis, and exhibits excellent scalability to adapt to the future expansion of HEPS beamlines. Full article
(This article belongs to the Special Issue Advanced Technologies in Network and Service Management, 2nd Edition)
Show Figures

Figure 1

31 pages, 4356 KB  
Article
Dynamic Multi-Objective Controller Placement in SD-WAN: A GMM-MARL Hybrid Framework
by Abdulrahman M. Abdulghani, Azizol Abdullah, A. R. Rahiman, Nor Asilah Wati Abdul Hamid and Bilal Omar Akram
Network 2025, 5(4), 52; https://doi.org/10.3390/network5040052 - 11 Nov 2025
Viewed by 502
Abstract
Modern Software-Defined Wide Area Networks (SD-WANs) require adaptive controller placement addressing multi-objective optimization where latency minimization, load balancing, and fault tolerance must be simultaneously optimized. Traditional static approaches fail under dynamic network conditions with evolving traffic patterns and topology changes. This paper presents [...] Read more.
Modern Software-Defined Wide Area Networks (SD-WANs) require adaptive controller placement addressing multi-objective optimization where latency minimization, load balancing, and fault tolerance must be simultaneously optimized. Traditional static approaches fail under dynamic network conditions with evolving traffic patterns and topology changes. This paper presents a novel hybrid framework integrating Gaussian Mixture Model (GMM) clustering with Multi-Agent Reinforcement Learning (MARL) for dynamic controller placement. The approach leverages probabilistic clustering for intelligent MARL initialization, reducing exploration requirements. Centralized Training with Decentralized Execution (CTDE) enables distributed optimization through cooperative agents. Experimental evaluation using real-world topologies demonstrates a noticeable reduction in the latency, improvement in network balance, and significant computational efficiency versus existing methods. Dynamic adaptation experiments confirm superior scalability during network changes. The hybrid architecture achieves linear scalability through problem decomposition while maintaining real-time responsiveness, establishing practical viability. Full article
Show Figures

Figure 1

32 pages, 11314 KB  
Article
Alohomora: Workflow-Aware Authentication and Authorization in Heterogeneous Systems
by Hussain M. J. Almohri
Network 2025, 5(4), 51; https://doi.org/10.3390/network5040051 - 5 Nov 2025
Viewed by 448
Abstract
Current federated identity management systems lack contextual awareness of workflows across independent systems, creating security gaps and workflow integrity challenges. This article details the design and implementation of Alohomora, a distributed workflow-aware authentication system that maintains cross-system workflow context through path-bound tokens. Alohomora [...] Read more.
Current federated identity management systems lack contextual awareness of workflows across independent systems, creating security gaps and workflow integrity challenges. This article details the design and implementation of Alohomora, a distributed workflow-aware authentication system that maintains cross-system workflow context through path-bound tokens. Alohomora complements existing identity providers such as OAuth and SAML by adding workflow orchestration capabilities while leveraging standard authentication protocols for initial user verification. The system introduces workflow graphs as a formal model for representing dependencies between functions across heterogeneous systems and employs a distributed caching architecture with collaboration groups for scalable session management. In a typical deployment scenario, an employee onboarding workflow across human resources services, account provisioning, and benefits systems forms a trust group where Alohomora enforces ordered step execution, validates prerequisite completion at each transition, and generates cryptographic completion assertions upon workflow finalization. Extensive performance evaluation under concurrent user requests demonstrates polynomial performance characteristics with superior scalability compared to centralized OAuth introspection. The results show that Alohomora maintains high throughput under heavy load while providing strong, secure access control through workflow path binding and distributed trust orchestration. The prototype implementation is available as open source. Full article
Show Figures

Figure 1

28 pages, 6881 KB  
Article
A Two-Phase Genetic Algorithm Approach for Sleep Scheduling, Routing, and Clustering in Heterogeneous Wireless Sensor Networks
by Sarah Abdulelah Abbas, Leili Farzinvash and Mina Zolfy
Network 2025, 5(4), 50; https://doi.org/10.3390/network5040050 - 4 Nov 2025
Viewed by 441
Abstract
Heterogeneous wireless sensor networks (HWSNs), comprising super nodes and normal sensors, offer a promising solution for monitoring diverse environments. However, their deployment is constrained by the limited battery life of sensors. To address this issue, clustering and routing techniques have been employed to [...] Read more.
Heterogeneous wireless sensor networks (HWSNs), comprising super nodes and normal sensors, offer a promising solution for monitoring diverse environments. However, their deployment is constrained by the limited battery life of sensors. To address this issue, clustering and routing techniques have been employed to conserve energy. Nevertheless, existing approaches often struggle with suboptimal energy distribution and weak network coverage. Additionally, they mostly failed to exploit other energy saving techniques such as sleep scheduling. This paper proposes a novel genetic algorithm (GA)-based approach to optimize sleep scheduling, routing, and clustering in HWSNs. The method comprises two phases, namely join sleep scheduling and tree construction, and clustering of normal nodes. Inspired by the concept of unequal clustering, the HWSN is split into some rings in the first phase, and the number of awake super nodes in each ring keeps the same. This approach addresses the challenges of balancing energy consumption and network lifetime. Furthermore, including network coverage and energy-related criteria in the proposed GA yields long-lasting network operation. Through rigorous simulations, we demonstrate that, on average, our algorithm reduces energy consumption and improves network coverage by 23% and 21.9%, respectively, and extends network lifetime by 501 rounds, compared to the state-of-the-art methods. Full article
Show Figures

Figure 1

27 pages, 2366 KB  
Article
Real-Time Handover in LEO Satellite Networks via Markov Chain-Guided Simulated Annealing
by Mohammad A. Massad, Abdallah Y. Alma’aitah and Hossam S. Hassanein
Network 2025, 5(4), 49; https://doi.org/10.3390/network5040049 - 3 Nov 2025
Viewed by 843
Abstract
This paper presents a real-time handover and link assignment framework for low-Earth-orbit (LEO) satellite networks operating in dense urban canyons. The proposed Markov chain-guided simulated annealing (MCSA) algorithm optimizes user-to-satellite assignments under dynamic channel and capacity constraints. By incorporating Markov chains to guide [...] Read more.
This paper presents a real-time handover and link assignment framework for low-Earth-orbit (LEO) satellite networks operating in dense urban canyons. The proposed Markov chain-guided simulated annealing (MCSA) algorithm optimizes user-to-satellite assignments under dynamic channel and capacity constraints. By incorporating Markov chains to guide state transitions, MCSA achieves faster convergence and more effective exploration than conventional simulated annealing. Simulations conducted in Ku-band urban canyon environments show that the framework achieves an average user satisfaction of about 97%, providing an approximately 10% improvement over genetic algorithm (GA) results. It also delivers 10–15% higher resource utilization, lower blocking rates comparable to integer linear programming (ILP), and superior runtime scalability with linear complexity O(k·|U|·|S|). These results confirm that MCSA provides a scalable and robust real-time mobility management solution for next-generation LEO satellite systems. Full article
(This article belongs to the Special Issue Advances in Wireless Communications and Networks)
Show Figures

Figure 1

14 pages, 1504 KB  
Article
Intelligent Reflecting-Surface-Aided Orbital Angular Momentum Divergence-Alleviated Wireless Communication Mechanism
by Qiuli Wu, Yufei Zhao, Shicheng Li, Yiqi Li, Deyu Lin and Xuefeng Jiang
Network 2025, 5(4), 48; https://doi.org/10.3390/network5040048 - 30 Oct 2025
Viewed by 353
Abstract
Orbital angular momentum (OAM) beams exhibit divergence during transmission, which constrains the capacity of communication system channels. To address these challenges, intelligent reflecting surfaces (IRSs), which can independently manipulate incident electromagnetic waves by adjustment of their amplitude and phase, are employed to construct [...] Read more.
Orbital angular momentum (OAM) beams exhibit divergence during transmission, which constrains the capacity of communication system channels. To address these challenges, intelligent reflecting surfaces (IRSs), which can independently manipulate incident electromagnetic waves by adjustment of their amplitude and phase, are employed to construct IRS-assisted OAM communication systems. By introducing additional information pathways, IRSs enhance diversity gain. We studied the simulations of two placement methods for an IRS: arbitrary placement and standard placement. In the case of arbitrary placement, the beam reflected by the IRS can be decomposed into different OAM modes, producing various reception powers corresponding to each OAM mode component. This improves the signal-to-noise ratio (SNR) at the receiver, thereby enhancing channel capacity. In particular, when the IRS is symmetrically and uniformly positioned at the center of the main transmission axis, its elements can be approximated as a uniform circular array (UCA). This configuration not only achieves optimal reception along the direction of the maximum gain of the orbital angular momentum beam but also reduces the antenna radius required at the receiver to half or even less. Full article
Show Figures

Figure 1

15 pages, 860 KB  
Article
Adaptive Context-Aware VANET Routing Protocol for Intelligent Transportation Systems
by Abdul Karim Kazi, Muhammad Umer Farooq, Raheela Asif and Saman Hina
Network 2025, 5(4), 47; https://doi.org/10.3390/network5040047 - 27 Oct 2025
Viewed by 715
Abstract
Vehicular Ad-Hoc Networks (VANETs) play a critical role in Intelligent Transportation Systems (ITS), enabling communication between vehicles and roadside infrastructure. This paper proposes an Adaptive Context-Aware VANET Routing (ACAVR) protocol designed to handle the challenges of high mobility, dynamic topology, and variable vehicle [...] Read more.
Vehicular Ad-Hoc Networks (VANETs) play a critical role in Intelligent Transportation Systems (ITS), enabling communication between vehicles and roadside infrastructure. This paper proposes an Adaptive Context-Aware VANET Routing (ACAVR) protocol designed to handle the challenges of high mobility, dynamic topology, and variable vehicle density in urban environments. The proposed protocol integrates context-aware routing, dynamic clustering, and geographic forwarding to enhance performance under diverse traffic conditions. Simulation results demonstrate that ACAVR achieves higher throughput, improved packet delivery ratio, lower end-to-end delay, and reduced routing overhead compared to existing routing schemes. The proposed ACAVR outperforms benchmark protocols such as DyTE, RGoV, and CAEL, improving PDR by 12–18%, reducing delay by 10–15%, and increasing throughput by 15–22%. Full article
(This article belongs to the Special Issue Emerging Trends and Applications in Vehicular Ad Hoc Networks)
Show Figures

Figure 1

26 pages, 3232 KB  
Article
A Game-Theoretic Analysis of Cooperation Among Autonomous Systems in Network Federations
by Rudolf Kovacs, Bogdan Iancu, Vasile Dadarlat and Adrian Peculea
Network 2025, 5(4), 46; https://doi.org/10.3390/network5040046 - 15 Oct 2025
Viewed by 600
Abstract
This paper investigates cooperative behavior among Autonomous Systems (ASs) within a federated network environment designed to support collaborative shared-technology deployment. It makes use of the concept of an AS federation, where independently managed systems adhere to a shared standard while maintaining implementation flexibility. [...] Read more.
This paper investigates cooperative behavior among Autonomous Systems (ASs) within a federated network environment designed to support collaborative shared-technology deployment. It makes use of the concept of an AS federation, where independently managed systems adhere to a shared standard while maintaining implementation flexibility. Using a systematic game-theoretic framework, the study models various coalition structures—including full cooperation, partial coalitions, and defection—across several canonical cooperative games. The analysis evaluates the effects of different cooperation strategies and resource-sharing schemes on payoff distribution and coalition stability. Simulation results over short- and medium-to-long-term horizons demonstrate that cooperative coalition formation, especially with fair payoff allocation, consistently outperforms solitary strategies. The study also identifies key thresholds affecting partial coalition viability and explores the impact of defection on overall federation performance. By linking theoretical game models with practical deployment challenges in heterogeneous networked systems, this work offers valuable insights for designing mechanisms that promote effective cooperation in complex, resource-constrained environments. Full article
Show Figures

Figure 1

15 pages, 583 KB  
Article
Contrastive Geometric Cross-Entropy: A Unified Explicit-Margin Loss for Classification in Network Automation
by Yifan Wu, Lei Xiao and Xia Du
Network 2025, 5(4), 45; https://doi.org/10.3390/network5040045 - 9 Oct 2025
Viewed by 585
Abstract
As network automation and self-organizing networks (SONs) rapidly evolve, edge devices increasingly demand lightweight, real-time, and high-precision classification algorithms to support critical tasks such as traffic identification, intrusion detection, and fault diagnosis. In recent years, cross-entropy (CE) loss has been widely adopted in [...] Read more.
As network automation and self-organizing networks (SONs) rapidly evolve, edge devices increasingly demand lightweight, real-time, and high-precision classification algorithms to support critical tasks such as traffic identification, intrusion detection, and fault diagnosis. In recent years, cross-entropy (CE) loss has been widely adopted in deep learning classification tasks due to its computational efficiency and ease of optimization. However, traditional CE methods primarily focus on class separability without explicitly constraining intra-class compactness and inter-class boundaries in the feature space, thereby limiting their generalization performance on complex classification tasks. To address this issue, we propose a novel classification loss framework—Contrastive Geometric Cross-Entropy (CGCE). Without incurring additional computational or memory overhead, CGCE explicitly introduces learnable class representation vectors and constructs the loss function based on the dot-product similarity between features and these class representations, thus explicitly reinforcing geometric constraints in the feature space. This mechanism effectively enhances intra-class compactness and inter-class separability. Theoretical analysis further demonstrates that minimizing the CGCE loss naturally induces clear and measurable geometric class boundaries in the feature space, a desirable property absent from traditional CE methods. Furthermore, CGCE can seamlessly incorporate the prior knowledge of pretrained models, converging rapidly within only a few training epochs (for example, on the CIFAR-10 dataset using the ViT model, a single training epoch is sufficient to reach 99% of the final training accuracy.) Experimental results on both text and image classification tasks show that CGCE achieves accuracy improvements of up to 2% over traditional CE methods, exhibiting stronger generalization capabilities under challenging scenarios such as class imbalance, few-shot learning, and noisy labels. These findings indicate that CGCE has significant potential as a superior alternative to traditional CE methods. Full article
Show Figures

Figure 1

23 pages, 2429 KB  
Article
Hybrid Spatio-Temporal CNN–LSTM/BiLSTM Models for Blocking Prediction in Elastic Optical Networks
by Farzaneh Nourmohammadi, Jaume Comellas and Uzay Kaymak
Network 2025, 5(4), 44; https://doi.org/10.3390/network5040044 - 7 Oct 2025
Viewed by 961
Abstract
Elastic optical networks (EONs) must allocate resources dynamically to accommodate heterogeneous, high-bandwidth demands. However, the continuous setup and teardown of connections with different bit rates can fragment the spectrum and lead to blocking. The blocking predictors enable proactive defragmentation and resource reallocation within [...] Read more.
Elastic optical networks (EONs) must allocate resources dynamically to accommodate heterogeneous, high-bandwidth demands. However, the continuous setup and teardown of connections with different bit rates can fragment the spectrum and lead to blocking. The blocking predictors enable proactive defragmentation and resource reallocation within network controllers. In this paper, we propose two novel deep learning models (based on CNN–BiLSTM and CNN–LSTM) to predict blocking in EONs by combining spatial feature extraction from spectrum snapshots using 2D convolutional layers with temporal sequence modeling. This hybrid spatio-temporal design learns how local fragmentation patterns evolve over time, allowing it to detect impending blocking scenarios more accurately than conventional methods. We evaluate our model on the simulated NSFNET topology and compare it against multiple baselines, namely 1D CNN, 2D CNN, k-nearest neighbors (KNN), and support vector machines (SVMs). The results show that the proposed CNN–BiLSTM/LSTM models consistently achieve higher performance. The CNN–BiLSTM model achieved the highest accuracy in blocking prediction, while the CNN–LSTM model shows slightly lower accuracy; however, it has much lower complexity and a faster learning time. Full article
Show Figures

Figure 1

18 pages, 1111 KB  
Article
Optimized Hybrid Ensemble Intrusion Detection for VANET-Based Autonomous Vehicle Security
by Ahmad Aloqaily, Emad E. Abdallah, Aladdin Baarah, Mohammad Alnabhan, Esra’a Alshdaifat and Hind Milhem
Network 2025, 5(4), 43; https://doi.org/10.3390/network5040043 - 3 Oct 2025
Viewed by 869
Abstract
Connected and Autonomous Vehicles are promising for advancing traffic safety and efficiency. However, the increased connectivity makes these vehicles vulnerable to a broad array of cyber threats. This paper presents a novel hybrid approach for intrusion detection in in-vehicle networks, specifically focusing on [...] Read more.
Connected and Autonomous Vehicles are promising for advancing traffic safety and efficiency. However, the increased connectivity makes these vehicles vulnerable to a broad array of cyber threats. This paper presents a novel hybrid approach for intrusion detection in in-vehicle networks, specifically focusing on the Controller Area Network bus. Ensemble learning techniques are combined with sophisticated optimization techniques and dynamic adaptation mechanisms to develop a robust, accurate, and computationally efficient intrusion detection system. The proposed system is evaluated on real-world automotive network datasets that include various attack types (e.g., Denial of Service, fuzzy, and spoofing attacks). With these results, the proposed hybrid adaptive system achieves an unprecedented accuracy of 99.995% with a 0.00001% false positive rate, which is significantly more accurate than traditional methods. In addition, the system is very robust to novel attack patterns and is tolerant to varying computational constraints and is suitable for deployment on a real-time basis in various automotive platforms. As this research represents a significant advancement in automotive cybersecurity, a scalable and proactive defense mechanism is necessary to safely operate next-generation vehicles. Full article
(This article belongs to the Special Issue Emerging Trends and Applications in Vehicular Ad Hoc Networks)
Show Figures

Figure 1

29 pages, 652 KB  
Article
Bijective Network-to-Image Encoding for Interpretable CNN-Based Intrusion Detection System
by Omesh A. Fernando, Joseph Spring and Hannan Xiao
Network 2025, 5(4), 42; https://doi.org/10.3390/network5040042 - 25 Sep 2025
Viewed by 841
Abstract
As 5G and beyond networks grow in heterogeneity, complexity, and scale, traditional Intrusion Detection Systems (IDS) struggle to maintain accurate and precise detection mechanisms. A promising alternative approach to this problem has involved the use of Deep Learning (DL) techniques; however, DL-based IDS [...] Read more.
As 5G and beyond networks grow in heterogeneity, complexity, and scale, traditional Intrusion Detection Systems (IDS) struggle to maintain accurate and precise detection mechanisms. A promising alternative approach to this problem has involved the use of Deep Learning (DL) techniques; however, DL-based IDS suffer from issues relating to interpretation, performance variability, and high computational overheads. These issues limit their practical deployment in real-world applications. In this study, CiNeT is introduced as a novel DL-based IDS employing Convolutional Neural Networks (CNN) within a bijective encoding–decoding framework between network traffic features (such as IPv6, IPv4, Timestamp, MAC addresses, and network data) and their RGB representations. This transformation facilitates our DL IDS in detecting spatial patterns without sacrificing fidelity. The bijective pipeline enables complete traceability from detection decisions to their corresponding network traffic features, enabling a significant initiative towards solving the ‘black-box’ problem inherent in Deep Learning models, thus facilitating digital forensics. Finally, the DL IDS has been evaluated on three datasets, UNSW NB-15, InSDN, and ToN_IoT, with analysis conducted on accuracy, GPU usage, memory utilisation, training, testing, and validation time. To summarise, this study presents a new CNN-based IDS with an end-to-end pipeline between network traffic data and their RGB representation, which offers high performance and enhanced interpretability through revisable transformation. Full article
(This article belongs to the Special Issue AI-Based Innovations in 5G Communications and Beyond)
Show Figures

Figure 1

Previous Issue
Next Issue
Back to TopTop