- Article
Dynamic Predictive Feedback Mechanism for Intelligent Bandwidth Control in Future SDN Networks
- Kritsanapong Somsuk,
- Suchart Khummanee and
- Panida Songram
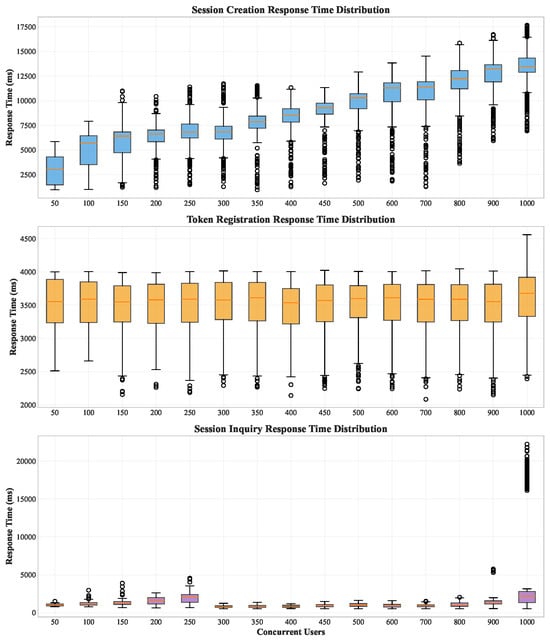
Future programmable networks such as 5G/6G and large-scale IoT deployments demand dynamic and intelligent bandwidth control mechanisms to ensure stable Quality of Service (QoS) under highly variable traffic conditions. Conventional queue-based schedu...

