The Impact of COVID-19 Lockdowns on Satellite-Observed Aerosol Optical Thickness over the Surrounding Coastal Oceanic Areas of Megacities in the Coastal Zone
Abstract
:1. Introduction
2. Materials and Methods
2.1. Selected MCCZ and Data Used
2.1.1. MCCZ
2.1.2. Satellite Data
2.1.3. Reanalysis Data
2.2. Methods
2.2.1. Analyzing AOT Differences
2.2.2. Linear Regression of Multiple Variables
3. Results
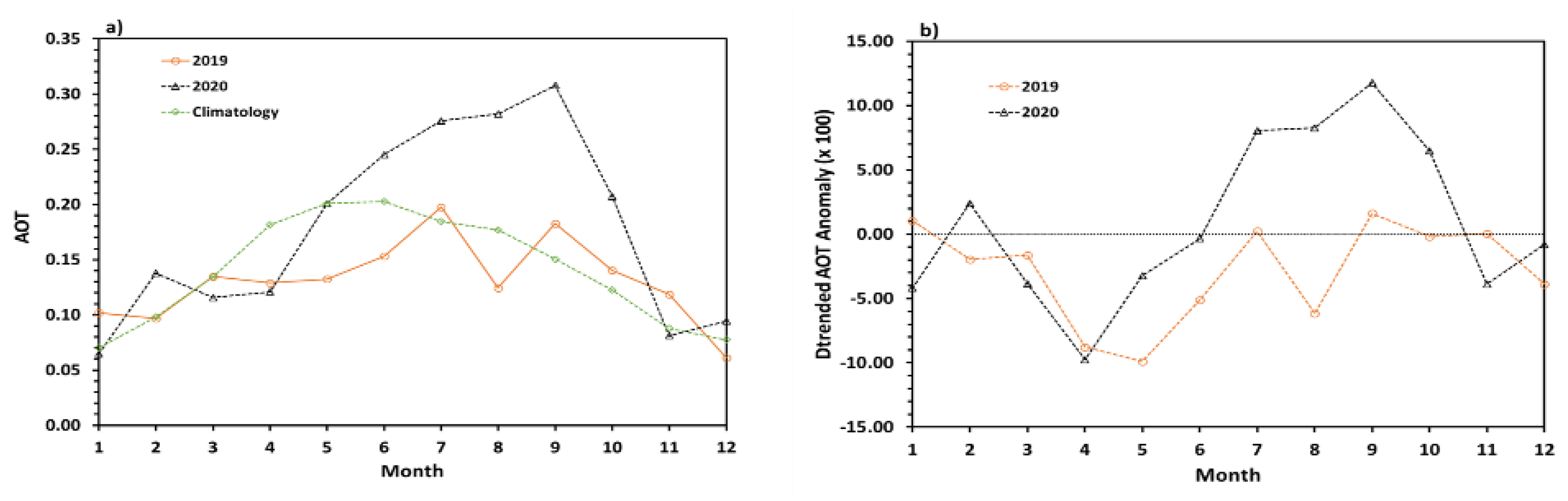
3.1. Annual AOT Changes
3.2. Long-Term Trend Effect
4. Discussion
5. Conclusions
Author Contributions
Funding
Data Availability Statement
Acknowledgments
Conflicts of Interest
Acronyms
| AERONET | Aerosol Robotic Network |
| AOT | aerosol optical thickness |
| AVHRR | Advanced Very High Resolution Radiometer |
| CCN | cloud condensation nuclei |
| CDR(s) | climate data record(s) |
| CFSR | climate forecast system reanalysis |
| COVID-19 | coronavirus disease 2019 |
| DJF | December-January-February |
| JJA | June-July-August |
| NASA | National Aeronautics and Space Administration |
| MAM | March-April-May |
| MCCZ | Mega Cities in the Coastal Zone |
| MODIS | Moderate-resolution Imaging Spectroradiometer |
| NCEI | National Centers for Environmental Information |
| NCEP | National Centers for Environmental Prediction |
| NESDIS | National Environmental Satellite, Data, and Information Service |
| NOAA | National Oceanic and Atmospheric Administration |
| NH | North Hemisphere |
| PATMOS-x | Pathfinder Atmospheres-Extended |
| PBLH | planetary boundary layer height |
| PBL | planetary boundary layer |
| PW | precipitable water in atmospheric column |
| RH | relative humidity |
| SH | South Hemisphere |
| SON | September-October-November |
| TMP | surface temperature |
References
- Lai, C.-C.; Shih, T.-P.; Ko, W.-C.; Tang, H.-J.; Hsueh, P.-R. Severe acute respiratory syndrome coronavirus 2 (SARS-CoV-2) and coronavirus disease-2019 (COVID-19): The epidemic and the challenges. Int. J. Antimicrob. Agents 2020, 55, 105924. [Google Scholar] [CrossRef]
- Sohrabi, C.; Alsafi, Z.; O’Neill, N.; Khan, M.; Kerwan, A.; Al-Jabir, A.; Iosifidis, C.; Agha, R. World health organization declares global emergency: A review of the 2019 novel coronavirus (COVID-19). Int. J. Surg. 2020, 76, 71–76. [Google Scholar] [CrossRef] [PubMed]
- Le, T.; Wang, Y.; Liu, L.; Yang, J.; Yung, Y.L.; Li, G.; Seinfeld, J.H. Unexpected air pollution with marked emission reductions during the COVID-19 outbreak in china. Science 2020, 369, 702–706. [Google Scholar] [CrossRef] [PubMed]
- Nakada, L.Y.K.; Urban, R.C. COVID-19 pandemic: Impacts on the air quality during the partial lockdown in são paulo state, brazil. Sci. Total Environ. 2020, 730, 139087. [Google Scholar] [CrossRef] [PubMed]
- Sharma, S.; Zhang, M.; Anshika; Gao, J.; Zhang, H.; Kota, S.H. Effect of restricted emissions during COVID-19 on air quality in india. Sci. Total Environ. 2020, 728, 138878. [Google Scholar] [CrossRef]
- Amouei Torkmahalleh, M.; Akhmetvaliyeva, Z.; Omran, A.D.; Faezeh Darvish Omran, F.; Kazemitabar, M.; Naseri, M.; Naseri, M.; Sharifi, H.; Malekipirbazari, M.; Kwasi Adotey, E.; et al. Global air quality and COVID-19 pandemic: Do we breathe cleaner air? Aerosol Air Qual. Res. 2021, 21, 200567. [Google Scholar] [CrossRef]
- Chen, Q.-X.; Huang, C.-L.; Yuan, Y.; Tan, H.-P. Influence of COVID-19 event on air quality and their association in mainland china. Aerosol Air Qual. Res. 2020, 20, 1541–1551. [Google Scholar] [CrossRef]
- Chen, K.; Wang, M.; Huang, C.; Kinney, P.L.; Anastas, P.T. Air pollution reduction and mortality benefit during the COVID-19 outbreak in china. Lancet Planet. Health 2020, 4, e210–e212. [Google Scholar] [CrossRef]
- Dantas, G.; Siciliano, B.; França, B.B.; da Silva, C.M.; Arbilla, G. The impact of COVID-19 partial lockdown on the air quality of the city of rio de janeiro, brazil. Sci. Total Environ. 2020, 729, 139085. [Google Scholar] [CrossRef]
- Lal, P.; Kumar, A.; Kumar, S.; Kumari, S.; Saikia, P.; Dayanandan, A.; Adhikari, D.; Khan, M.L. The dark cloud with a silver lining: Assessing the impact of the sars COVID-19 pandemic on the global environment. Sci. Total Environ. 2020, 732, 139297. [Google Scholar] [CrossRef]
- Metya, A.; Dagupta, P.; Halder, S.; Chakraborty, S.; Tiwari, Y.K. COVID-19 lockdowns improve air quality in the south-east asian regions, as seen by the remote sensing satellites. Aerosol Air Qual. Res. 2020, 20, 1772–1782. [Google Scholar] [CrossRef]
- Ranjan, A.K.; Patra, A.K.; Gorai, A.K. Effect of lockdown due to sars COVID-19 on aerosol optical depth (aod) over urban and mining regions in india. Sci. Total Environ. 2020, 745, 141024. [Google Scholar] [CrossRef]
- Sannino, A.; D’Emilio, M.; Castellano, P.; Amoruso, S.; Boselli, A. Analysis of air quality during the COVID-19 pandemic lockdown in naples (italy). Aerosol Air Qual. Res. 2021, 21, 200381. [Google Scholar] [CrossRef]
- Zhao, X. Impact of COVID-19 lockdowns and australian bushfires on aerosol loading over the downwind oceanic regions. Adv. Environ. Eng. Res. 2020, 1, 1. [Google Scholar] [CrossRef]
- Mage, D.; Ozolins, G.; Peterson, P.; Webster, A.; Orthofer, R.; Vandeweerd, V.; Gwynne, M. Urban air pollution in megacities of the world. Atmos. Environ. 1996, 30, 681–686. [Google Scholar] [CrossRef]
- Molina, M.J.; Molina, L.T. Megacities and atmospheric pollution. J. Air Waste Manag. 2004, 54, 644–680. [Google Scholar] [CrossRef]
- Parrish, D.D.; Zhu, T. Clean air for megacities. Science 2009, 326, 674–675. [Google Scholar] [CrossRef]
- Zhang, L.; Yang, L.; Zhou, Q.; Zhang, X.; Xing, W.; Zhang, H.; Toriba, A.; Hayakawa, K.; Tang, N. Impact of the COVID-19 outbreak on the long-range transport of particulate pahs in east asia. Aerosol Air Qual. Res. 2020, 20, 2035–2046. [Google Scholar] [CrossRef]
- Zhao, X.P. Satellite observed aerosol optical thickness and trend around megacities in the coastal zone. Adv. Meteorol. 2015, 2015, 170672. [Google Scholar] [CrossRef] [Green Version]
- von Glasow, R.; Jickells, T.D.; Baklanov, A.; Carmichael, G.R.; Church, T.M.; Gallardo, L.; Hughes, C.; Kanakidou, M.; Liss, P.S.; Mee, L.; et al. Megacities and large urban agglomerations in the coastal zone: Interactions between atmosphere, land, and marine ecosystems. Ambio 2013, 42, 13–28. [Google Scholar] [CrossRef] [PubMed]
- Guttikunda, S.K.; Carmichael, G.R.; Calori, G.; Eck, C.; Woo, J.-H. The contribution of megacities to regional sulfur pollution in asia. Atmos. Environ. 2003, 37, 11–22. [Google Scholar] [CrossRef]
- Kanakidou, M.; Mihalopoulos, N.; Kindap, T.; Im, U.; Vrekoussis, M.; Gerasopoulos, E.; Dermitzaki, E.; Unal, A.; Kocak, M.; Markakis, K.; et al. Megacities as hot spots of air pollution in the east mediterranean. Atmos. Environ. 2011, 45, 1223–1235. [Google Scholar] [CrossRef]
- Gurjar, B.R.; Lelieveld, J. New directions: Megacities and global change. Atmos. Environ. 2005, 39, 391–393. [Google Scholar] [CrossRef]
- Lawrence, M.G.; Lelieveld, J. Atmospheric pollutant outflow from southern asia: A review. Atmos. Chem. Phys. 2010, 10, 11017–11096. [Google Scholar] [CrossRef] [Green Version]
- Ramanathan, V.; Crutzen, P.J.; Kiehl, J.T.; Rosenfeld, D. Atmosphere—Aerosols, climate, and the hydrological cycle. Science 2001, 294, 2119–2124. [Google Scholar] [CrossRef] [Green Version]
- Charlson, R.J.; Schwartz, S.E.; Hales, J.M.; Cess, R.D.; Coakley, J.A.; Hansen, J.E.; Hofmann, D.J. Climate forcing by anthropogenic aerosols. Science 1992, 255, 423–430. [Google Scholar] [CrossRef]
- Kaufman, Y.J.; Koren, I.; Remer, L.A.; Rosenfeld, D.; Rudich, Y. The effect of smoke, dust, and pollution aerosol on shallow cloud development over the atlantic ocean. Proc. Natl. Acad. Sci. USA 2005, 102, 11207–11212. [Google Scholar] [CrossRef] [PubMed] [Green Version]
- Whitehead, J.D.; McFiggans, G.; Gallagher, M.W.; Flynn, M.J. Simultaneous coastal measurements of ozone deposition fluxes and iodine-mediated particle emission fluxes with subsequent ccn formation. Atmos. Chem. Phys. 2010, 10, 255–266. [Google Scholar] [CrossRef] [Green Version]
- Kumar, N.; Chu, A.; Foster, A. An empirical relationship between pm(2.5) and aerosol optical depth in delhi metropolitan. Atmos. Environ. 2007, 41, 4492–4503. [Google Scholar] [CrossRef] [Green Version]
- Lin, C.; Li, Y.; Yuan, Z.; Lau, A.; Li, C.; Fung, J. Using satellite remote sensing data to estimate the high-resolution distribution of ground-level PM2.5. Remote Sens. Environ. 2015, 156, 117–128. [Google Scholar] [CrossRef]
- Zheng, C.; Zhao, C.; Zhu, Y.; Wang, Y.; Shi, X.; Wu, X.; Chen, T.; Wu, F.; Qiu, Y. Analysis of influential factors for the relationship between PM2.5 and aod in beijing. Atmos. Chem. Phys. 2017, 17, 13473–13489. [Google Scholar] [CrossRef] [Green Version]
- Kumari, S.; Lakhani, A.; Kumari, K.M. COVID-19 and air pollution in indian cities: World’s most polluted cities. Aerosol Air Qual. Res. 2020, 20, 2592–2603. [Google Scholar] [CrossRef]
- Sipra, H.; Aslam, F.; Syed, J.H.; Awan, T.M. Investigating the implications of COVID-19 on PM2.5 in pakistan. Aerosol Air Qual. Res. 2021, 21, 200459. [Google Scholar] [CrossRef]
- Ibrahim, R.L.; Ajide, K.B.; Olatunde Julius, O. Easing of lockdown measures in nigeria: Implications for the healthcare system. Health Policy Technol. 2020, 9, 399–404. [Google Scholar] [CrossRef] [PubMed]
- Zhao, X.-P.; Dubovik, O.; Smirnov, A.; Holben, B.N.; Sapper, J.; Pietras, C.; Voss, K.J.; Frouin, R. Regional evaluation of an advanced very high resolution radiometer (avhrr) two-channel aerosol retrieval algorithm. J. Geophys. Res. 2004, 109, D02204. [Google Scholar] [CrossRef] [Green Version]
- Heidinger, A.K.; Foster, M.J.; Walther, A.; Zhao, X.P. The pathfinder atmospheres-extended avhrr climate dataset. Bull. Am. Meteorol. Soc. 2014, 95, 909–922. [Google Scholar] [CrossRef]
- Zhao, X.-P.; Laszlo, I.; Holben, B.N.; Pietras, C.; Voss, K.J. Validation of two-channel virs retrievals of aerosol optical thickness over ocean and quantitative evaluation of the impact from potential subpixel cloud contamination and surface wind effect. J. Geophys. Res.-Atmos. 2003, 108, 4106. [Google Scholar] [CrossRef] [Green Version]
- Zhao, X.-P.; Laszlo, I.; Minnis, P.; Remer, L. Comparison and analysis of two aerosol retrievals over the ocean in the terra/clouds and the earth’s radiant energy system—Moderate resolution imaging spectroradiometer single scanner footprint data: 1. Global evaluation. J. Geophys. Res.-Atmos. 2005, 110, D21208. [Google Scholar] [CrossRef] [Green Version]
- Saha, S.; Moorthi, S.; Pan, H.L.; Wu, X.R.; Wang, J.D.; Nadiga, S.; Tripp, P.; Kistler, R.; Woollen, J.; Behringer, D.; et al. The ncep climate forecast system reanalysis. Bull. Am. Meteorol. Soc. 2010, 91, 1015–1057. [Google Scholar] [CrossRef]
- Praveena, S.M.; Aris, A.Z. The impacts of COVID-19 on the environmental sustainability: A perspective from the southeast asian region. Environ. Sci. Pollut Res. 2021, 28, 63829–63836. [Google Scholar] [CrossRef] [PubMed]
- Li, Z.; Lau, W.K.-M.; Ramanathan, V.; Wu, G.; Ding, Y.; Manoj, M.G.; Liu, J.; Qian, Y.; Li, J.; Zhou, T.; et al. Aerosol and monsoon climate interactions over asia. Rev. Geophys. 2016, 54, 866–929. [Google Scholar] [CrossRef]
- Park, S.-B.; Cho, J.-A.; Park, S.S.; Koo, J.-H.; Lee, Y.G. A possible linkage between dust frequency and the siberian high in march over northeast asia. Atmosphere 2021, 12, 176. [Google Scholar] [CrossRef]
- Xia, X.; Che, H.; Zhu, J.; Chen, H.; Cong, Z.; Deng, X.; Fan, X.; Fu, Y.; Goloub, P.; Jiang, H.; et al. Ground-based remote sensing of aerosol climatology in china: Aerosol optical properties, direct radiative effect and its parameterization. Atmos. Environ. 2016, 124, 243–251. [Google Scholar] [CrossRef]
- Hu, Z.; Huang, J.; Zhao, C.; Ma, Y.; Jin, Q.; Qian, Y.; Leung, L.R.; Bi, J.; Ma, J. Trans-pacific transport and evolution of aerosols: Spatiotemporal characteristics and source contributions. Atmos. Chem. Phys. 2019, 19, 12709–12730. [Google Scholar] [CrossRef] [Green Version]
- Sun, J.; Zhang, M.; Liu, T. Spatial and temporal characteristics of dust storms in china and its surrounding regions, 1960–1999: Relations to source area and climate. J. Geophys. Res. Atmos. 2001, 106, 10325–10333. [Google Scholar] [CrossRef]











| # | MCCZ | Latitude (Degree) | Longitude (Degree) | Population (Million) * | Lockdown Period of 2020 (mm.dd–mm.dd) | Note |
|---|---|---|---|---|---|---|
| 1 | Tokyo | 35.5762 | 139.6503 | 34.4 | 02.20–05.14 | [6] Torkmahalleh et al., AAQR, https://doi.org/10.4209/aaqr.200567, accessed on 2 August 2021 |
| 2 | Shanghai | 31.2304 | 121.4737 | 24.3 | 01.23–04.08 | The same as #1 |
| 3 | Sao Paulo | −23.5505 | −46.6333 | 21.6 | 03.17–Continued ** | The same as #1 |
| 4 | Mumbai | 19.076 | 72.8777 | 20.6 | 03.24–05.31 | [32] Kumari et al., AAQR, https://doi.org/10.4209/aaqr.2020.05.0262, accessed on 29 September 2020 |
| 5 | New York | 40.7128 | −74.006 | 20.3 | 03.16–4.24 | The same as #1 |
| 6 | Osaka-Kobe | 34.6937 | 135.5023 | 19.3 | 02.20–05.14 | The same as #1 |
| 7 | Buenos Aires | −34.6037 | −58.3816 | 15.6 | 03.19–07.17 | Wikipedia (https://en.wikipedia.org/wiki/COVID-19_pandemic_in_Argentina, accessed on 3 November 2021) |
| 8 | Istanbul | 41.0082 | 28.9784 | 15.5 | 03.04–05.10 | The same as #1 |
| 9 | Karachi | 24.8607 | 67.0011 | 14.9 | 03.24–04.15 | [33] Sipra et al., AAQR, https://doi.org/10.4209/aaqr.2020.07.0459, accessed on 13 October 2020 |
| 10 | Kolkata | 22.5726 | 88.3639 | 14.8 | 03.19–04.25 | The same as #1 |
| 11 | Lagos | 6.5244 | 3.3792 | 14.4 | 03.30–05.04 | [34] Lanre Ibrahim et al., Health Policy Technol., doi: 10.1016/j.hlpt.2020.09.004, accessed on 15 September 2020. |
| 12 | Los Angeles | 34.0522 | −118.2437 | 13.1 | 03.16–5.18 | https://www.nbclosangeles.com/news/coronavirus/california-coronavirus-pandemic-timeline-key-events/2334100/, accessed on 3 November 2021 |
| 13 | Manila | 14.5995 | 120.9842 | 12.9 | 03.14–Continued | Wikipedia (https://en.wikipedia.org/wiki/Enhanced_community_quarantine_in_Luzon, accessed on 3 November 2021) |
| 14 | Shenzhen | 22.5431 | 114.0579 | 12.5 | 01.23–04.08 | The same as #1 |
| 15 | Tianjin | 39.3434 | 117.3616 | 12.5 | 01.23–04.08 | The same as #1 |
| 16 | Rio de Janeiro | −22.9068 | −43.1729 | 12.3 | 03.17–Continued | The same as #1 |
| 17 | Jakarta | 6.2088 | 106.8456 | 10.8 | 03.15–Early June | The same as #1 |
| 18 | Lima | −12.0464 | −77.0428 | 10.1 | 03.16–Continued | The same as #1 |
| No | Megacity | Individual Linear Correlation Coefficients (%) | Multiple Linear Correlation Coefficient (%) | ||||||
|---|---|---|---|---|---|---|---|---|---|
| C1 (PBLH) | C2 (PW) | C3 (RH) | C4 (TMP) | C5 (U) | C6 (V) | C7 (ω) | |||
| 1 | Tokyo | −36.27 | −12.27 | −26.12 | −39.17 | −19.92 | −3.84 | −49.81 | 70.29 |
| 2 | Shanghai | 13.48 | 26.21 | 8.51 | 33.20 | 4.32 | −3.77 | 13.55 | 51.49 |
| 3 | Sao Paulo | 0.07 | 10.27 | 18.11 | 22.50 | 25.63 | 24.19 | 13.56 | 61.57 |
| 4 | Mumbai | −0.64 | 38.90 | 34.66 | 34.05 | −20.87 | −8.89 | −35.18 | 53.69 |
| 5 | New York | 25.46 | −34.06 | −43.90 | −15.15 | 18.43 | −0.02 | 43.18 | 60.71 |
| 6 | Osaka Kobe | −36.58 | −3.60 | −28.77 | −14.51 | −20.10 | −16.75 | 40.96 | 59.40 |
| 7 | Buenos Aires | 7.01 | −23.94 | −16.24 | −21.14 | 11.61 | −22.12 | 20.80 | 33.85 |
| 8 | Istanbul | −21.61 | −45.56 | −35.35 | −17.62 | −2.43 | −53.65 | −35.79 | 79.75 |
| 9 | Karachi | −16.89 | 44.20 | 36.13 | 41.13 | −25.48 | −13.95 | −13.83 | 60.67 |
| 10 | Kolkata | 12.61 | 27.73 | 28.05 | 15.78 | 4.10 | −17.37 | −4.25 | 60.72 |
| 11 | Lagos | 33.00 | −1.47 | −2.70 | −24.35 | −11.18 | −9.71 | −6.47 | 53.92 |
| 12 | Los Angeles | −6.04 | −7.96 | −7.41 | −5.53 | −8.66 | −2.33 | −7.76 | 16.31 |
| 13 | Manila | 1.40 | −11.65 | −12.00 | −5.43 | 5.32 | −3.98 | −2.28 | 21.25 |
| 14 | Shenzhen | −3.11 | 13.74 | 9.40 | 4.29 | 15.52 | −4.07 | −20.19 | 39.88 |
| 15 | Tianjin | 0.96 | 20.47 | −36.14 | 17.21 | −20.95 | 4.14 | −26.40 | 64.88 |
| 16 | Rio de Janeiro | 8.42 | 3.09 | 11.99 | 16.75 | 12.81 | 13.93 | 30.39 | 62.02 |
| 17 | Jakarta | 16.46 | −15.11 | −17.42 | 15.84 | −32.56 | −12.00 | 16.33 | 44.19 |
| 18 | Lima | 32.77 | −15.75 | −21.60 | 3.78 | −26.77 | −32.28 | −45.41 | 58.14 |
Publisher’s Note: MDPI stays neutral with regard to jurisdictional claims in published maps and institutional affiliations. |
© 2021 by the authors. Licensee MDPI, Basel, Switzerland. This article is an open access article distributed under the terms and conditions of the Creative Commons Attribution (CC BY) license (https://creativecommons.org/licenses/by/4.0/).
Share and Cite
Wang, K.; Zhao, X. The Impact of COVID-19 Lockdowns on Satellite-Observed Aerosol Optical Thickness over the Surrounding Coastal Oceanic Areas of Megacities in the Coastal Zone. Geographies 2021, 1, 381-397. https://doi.org/10.3390/geographies1030021
Wang K, Zhao X. The Impact of COVID-19 Lockdowns on Satellite-Observed Aerosol Optical Thickness over the Surrounding Coastal Oceanic Areas of Megacities in the Coastal Zone. Geographies. 2021; 1(3):381-397. https://doi.org/10.3390/geographies1030021
Chicago/Turabian StyleWang, Kai, and Xuepeng Zhao. 2021. "The Impact of COVID-19 Lockdowns on Satellite-Observed Aerosol Optical Thickness over the Surrounding Coastal Oceanic Areas of Megacities in the Coastal Zone" Geographies 1, no. 3: 381-397. https://doi.org/10.3390/geographies1030021
APA StyleWang, K., & Zhao, X. (2021). The Impact of COVID-19 Lockdowns on Satellite-Observed Aerosol Optical Thickness over the Surrounding Coastal Oceanic Areas of Megacities in the Coastal Zone. Geographies, 1(3), 381-397. https://doi.org/10.3390/geographies1030021

