Anharmonic Effects in Ordered Kesterite-Type Cu2ZnSnS4
Abstract
:1. Introduction
2. Materials and Methods
3. Results
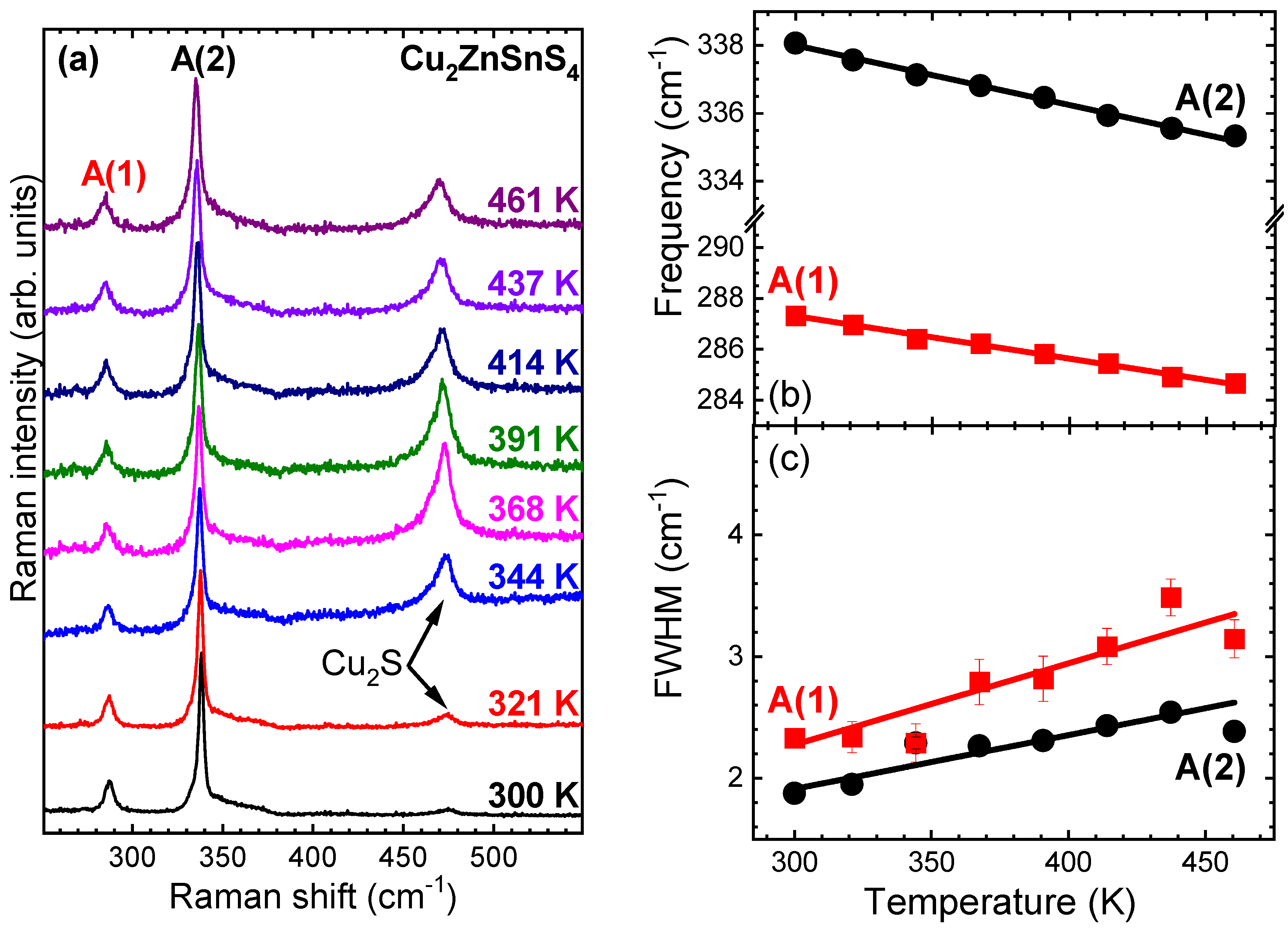
3.1. Temperature Dependence of the Raman-Active Modes in Cu2ZnSnS4
3.2. Modeling Phonon Anharmonicity in Cu2ZnSnS4
4. Discussion
5. Conclusions
Author Contributions
Funding
Data Availability Statement
Acknowledgments
Conflicts of Interest
Sample Availability
References
- Katagiri, H.; Jimbo, K.; Maw, W.S.; Oishi, K.; Yamazaki, M.; Araki, H.; Takeuchi, A. Development of CZTS-based thin film solar cells. Thin Solid Films 2009, 517, 2455–2460. [Google Scholar] [CrossRef]
- Liu, X.; Feng, Y.; Cui, H.; Liu, F.; Hao, X.; Conibeer, G.; Mitzi, D.B.; Green, M. The current status and future prospects of kesterite solar cells: A brief review. Progr. Photovolt. 2016, 24, 879–898. [Google Scholar] [CrossRef]
- Siebentritt, S.; Schorr, S. Kesterites—A challenging material for solar cells. Progr. Photovolt. 2012, 20, 512–519. [Google Scholar] [CrossRef]
- Nagaoka, A.; Yoshino, K.; Masuda, T.; Sparks, T.D.; Scarpulla, M.A.; Nishioka, K. Environmentally friendly thermoelectric sulphide Cu2ZnSnS4 single crystals achieving a 1.6 dimensionless figure of merit ZT. J. Mater. Chem. A 2021, 9, 15595–15604. [Google Scholar] [CrossRef]
- Kumar, S.; Ansari, M.Z.; Khare, N. Enhanced thermoelectric power factor of Cu2ZnSnS4 in the presence of Cu2−xS and SnS2 secondary phase. AIP Conf. Proc. 2017, 1832, 120033. [Google Scholar]
- Yang, H.; Jauregui, L.A.; Zhang, G.; Chen, Y.P.; Wu, Y. Nontoxic and abundant copper zinc tin sulfide nanocrystals for potential high-temperature thermoelectric energy harvesting. Nano Lett. 2012, 12, 540–545. [Google Scholar] [CrossRef] [PubMed] [Green Version]
- Tan, G.; Ohta, M.; Kanatzidis, M.G. Thermoelectric powergeneration: From newmaterials to devices. Phil. Trans. R. Soc. A 2019, 377, 20180450. [Google Scholar] [CrossRef] [Green Version]
- Schorr, S. The crystal structure of kesterite type compounds: A neutron and X-ray diffraction study. Sol. Energy Mater. Sol. Cells 2011, 95, 1482–1488. [Google Scholar] [CrossRef]
- Schorr, S.; Hoebler, H.J.; Tovar, M. A neutron diffraction study of the stannite-kesterite solid solution series. Eur. J. Miner. 2007, 19, 65–73. [Google Scholar] [CrossRef]
- Schorr, S. Structural aspects of adamantine like multinary chalcogenides. Thin Solid Films 2007, 515, 5985–5991. [Google Scholar] [CrossRef]
- Lafond, A.; Choubrac, L.; Guillot-Deudon, C.; Deniard, P.; Jobic, S. Crystal structures of photovoltaic chalcogenides, an intricate puzzle to solve: The cases of CIGSe and CZTS materials. Z. Anorg. Allg. Chem. 2012, 638, 2571–2577. [Google Scholar] [CrossRef]
- Rios, L.E.V.; Neldner, K.; Gurieva, G.; Schorr, S. Existence of off-stoichiometric single phase kesterite. J. Alloy. Comp. 2016, 657, 408–413. [Google Scholar] [CrossRef]
- Schorr, S.; Gurieva, G.; Guc, M.; Dimitrievska, M.; Perez-Rodriguez, A.; Izquierdo-Roca, V.; Schnohr, C.S.; Kim, J.; Jo, W.; Merino, J.M. Point defects, compositional fluctuations, and secondary phases in non-stoichiometric kesterites. J. Phys. Energy 2020, 2, 12002. [Google Scholar] [CrossRef] [Green Version]
- Mitzi, D.B.; Gunawan, O.; Todorov, T.K.; Barkhouse, D.A.R. Prospects and performance limitations for Cu–Zn–Sn–S–Se photovoltaic technology. Phil. Trans. R. Soc. A 2013, 371, 20110432. [Google Scholar] [CrossRef] [PubMed] [Green Version]
- Chen, S.; Yang, J.-H.; Gong, X.G.; Walsh, A.; Wei, S.-H. Intrinsic point defects and complexes in the quaternary kesterite semiconductor Cu2ZnSnS4. Phys. Rev. B 2010, 81, 245204. [Google Scholar] [CrossRef] [Green Version]
- Chen, S.; Gong, X.G.; Walsh, A.; Wei, S.H. Defect physics of the kesterite thin-film solar cell absorber Cu2ZnSnS4. Appl. Phys. Lett. 2010, 96, 021902. [Google Scholar] [CrossRef]
- Chen, S.; Walsh, A.; Gong, X.-G.; Wei, S.-H. Classification of lattice defects in the kesterite Cu2ZnSnS4 and Cu2ZnSnSe4 earth-abundant solar cell absorbers. Adv. Mater. 2013, 25, 1522–1539. [Google Scholar] [CrossRef]
- Du, H.; Yan, F.; Young, M.; To, B.; Jiang, C.-S.; Dippo, P.; Kuciauskas, D.; Chi, Z.; Lund, E.A.; Hancock, C.; et al. Investigation of combinatorial coevaporated thin film Cu2ZnSnS4. I. Temperature effect, crystalline phases, morphology, and photoluminescence. J. Appl. Phys. 2014, 115, 173502. [Google Scholar] [CrossRef]
- Guc, M.; Levcenko, S.; Bodnar, I.V.; Izquierdo-Roca, V.; Fontane, X.; Volkova, L.V.; Arushanov, E.; Perez-Rodriguez, A. Polarized Raman scattering study of kesterite type Cu2ZnSnS4 single crystals. Sci. Rep. 2016, 6, 19414. [Google Scholar] [CrossRef] [PubMed] [Green Version]
- Paris, M.; Choubrac, L.; Lafond, A.; Guillot-Deudon, C.; Jobic, S. Solid-state NMR and Raman spectroscopy to address the local structure of defects and the tricky issue of the Cu/Zn disorder in Cu-poor, Zn-rich CZTS materials. Inorg. Chem. 2014, 53, 8646–8653. [Google Scholar] [CrossRef]
- Nagoya, A.; Asahi, R.; Wahl, R.; Kresse, G. Defect formation and phase stability of Cu2ZnSnS4 photovoltaic material. Phys. Rev. B 2010, 81, 113202. [Google Scholar] [CrossRef]
- Grossberg, M.; Krustok, J.; Raudoja, J.; Raadik, T. The role of structural properties on deep defect states in Cu2ZnSnS4 studied by photoluminescence spectroscopy. Appl. Phys. Lett. 2012, 101, 102102. [Google Scholar] [CrossRef] [Green Version]
- Caballero, R.; Garcia-Llamas, E.; Merino, J.M.; Leon, M.; Babichuk, I.; Dzhagan, V.; Strelchuk, V.; Valakh, M. Non-stoichiometry effect and disorder in Cu2ZnSnS4 thin films obtained by flash evaporation: Raman scattering investigation. Acta Mater. 2014, 65, 412–417. [Google Scholar] [CrossRef] [Green Version]
- Menendez, J.; Cardona, M. Temperature dependence of the first-order Raman scattering by phonons in Si, Ge, and a-Sn: Anharmonic effects. Phys. Rev. B 1984, 29, 2051–2059. [Google Scholar] [CrossRef]
- Lucazeau, G. Effect of pressure and temperature on Raman spectra of solids: Anharmonicity. J. Raman Spectr. 2003, 34, 478–496. [Google Scholar] [CrossRef]
- Efthimiopoulos, I.; Kullmey, T.; Speziale, S.; Pakhomova, A.S.; Quennet, M.; Paulus, B.; Ritscher, A.; Lerch, M.; Koch-Muller, M. Pressure-induced structural and electronic transitions in kesterite-type Cu2ZnSnS4. J. Appl. Phys. 2018, 124, 85905. [Google Scholar] [CrossRef] [Green Version]
- Efthimiopoulos, I.; Ritscher, A.; Lerch, M.; Speziale, S.; Pakhomova, A.S.; Liermann, H.P.; Koch-Muller, M. Structural transitions of ordered kesterite-type Cu2ZnSnS4 under pressure. Appl. Phys. Lett. 2017, 110, 41905. [Google Scholar] [CrossRef] [Green Version]
- Klemens, P.G. Anharmonic decay of optical phonons. Phys. Rev. B 1966, 148, 845–848. [Google Scholar] [CrossRef]
- Balkanski, M.; Wallis, R.F.; Haro, E. Anharmonic effects in light scattering due to optical phonons in silicon. Phys. Rev. B 1983, 28, 1928–1934. [Google Scholar] [CrossRef]
- Ritscher, A.; Hoelzel, M.; Lerch, M. The order-disorder transition in Cu2ZnSnS4—A neutron scattering investigation. J. Sol. St. Chem. 2016, 238, 68–73. [Google Scholar] [CrossRef] [Green Version]
- Bosson, C.J.; Birch, M.T.; Halliday, D.P.; Knight, K.S.; Gibbs, A.S.; Hatton, P.D. Cation disorder and phase transitions in thestructurally complex solar cell material Cu2ZnSnS4. J. Mater. Chem. A 2017, 5, 16672–16680. [Google Scholar] [CrossRef] [Green Version]
- Ritscher, A.; Franz, A.; Schorr, S.; Lerch, M. Off-stoichiometric CZTS: Neutron scattering investigations on mechanochemically synthesized powders. J. Alloy. Compd. 2016, 689, 271–277. [Google Scholar] [CrossRef]
- Ritscher, A.; Just, J.; Dolotko, O.; Schorr, S.; Lerch, M. A mechanochemical route to single phase Cu2ZnSnS4 powder. J. Alloy. Compd. 2016, 670, 289–296. [Google Scholar] [CrossRef] [Green Version]
- Valakh, M.Y.; Kolomys, O.F.; Ponomaryov, S.S.; Yukhymchuk, V.O.; Babichuk, I.S.; Izquierdo-Roca, V.; Saucedo, E.; Perez-Rodriguez, A.; Morante, J.R.; Schorr, S.; et al. Raman scattering and disorder effect in Cu2ZnSnS4. Phys. Status Solidi RRL 2013, 7, 258–261. [Google Scholar] [CrossRef]
- Schück, G.; Többens, D.M.; Koch-Müller, M.; Efthimiopoulos, I.; Schorr, S. Infrared spectroscopic study of vibrational modes across the orthorhombic-tetragonal phase transition in methylammonium lead halide single crystals. J. Phys. Chem. C 2018, 122, 5227–5237. [Google Scholar] [CrossRef] [Green Version]
- Trittschack, R.; Grobety, B.; Koch-Müller, M. In situ high-temperature Raman and FTIR spectroscopy of the phase transformation of lizardite. Amer. Miner. 2012, 97, 1965–1976. [Google Scholar] [CrossRef]
- Khare, A.; Himmetoglu, B.; Johnson, M.; Norris, D.J.; Cococcioni, M.; Aydil, E.S. Calculation of the lattice dynamics and Raman spectra of copper zinc tin chalcogenides and comparison to experiments. J. Appl. Phys. 2012, 111, 83707. [Google Scholar] [CrossRef]
- Dimitrievska, M.; Fairbrother, A.; Fontane, X.; Jawhari, T.; Izquierdo-Roca, V.; Saucedo, E.; Perez-Rodriguez, A. Multiwavelength excitation Raman scattering study of polycrystalline kesterite Cu2ZnSnS4 thin films. Appl. Phys. Lett. 2014, 104, 21901. [Google Scholar] [CrossRef] [Green Version]
- Skelton, J.M.; Jackson, A.J.; Dimitrievska, M.; Wallace, S.K.; Walsh, A. Vibrational spectra and lattice thermal conductivity of kesterite-structured Cu2ZnSnS4 and Cu2ZnSnSe4. APL Mater. 2015, 3, 41102. [Google Scholar]
- Buerger, M.J.; Wuensch, B.J. Distribution of atoms in high chalcocite, Cu2S. Science 1963, 141, 276–277. [Google Scholar] [PubMed]
- Evans, H.T. The crystal structures of low chalcocite and djurleite. Z. Krist. 1979, 150, 299–320. [Google Scholar] [CrossRef]
- Schorr, S.; Gonzalez-Aviles, G. In-situ investigation of the structural phase transition in kesterite. Phys. Stat. Sol. 2009, 206, 1054–1058. [Google Scholar] [CrossRef]
- Sarswat, P.K.; Free, M.L.; Tiwari, A. Temperature-dependent study of the Raman A mode of Cu2ZnSnS4 thin films. Phys. Stat. Sol. 2011, 248, 2170–2174. [Google Scholar] [CrossRef]
- Singh, O.P.; Muhunthan, N.; Singh, V.N.; Samanta, K.; Dilawar, N. Effect of temperature on thermal expansion and anharmonicity in Cu2ZnSnS4 thin films grown by co-sputtering and sulfurization. Mater. Chem. Phys. 2014, 146, 452–455. [Google Scholar] [CrossRef]
- Stanchik, A.V.; Tivanov, M.S.; Tyukhov, I.I.; Juskenas, R.; Korolik, O.V.; Gremenok, V.F.; Saad, A.M.; Naujokaitis, A. Temperature dependence of Raman scattering in the Cu2ZnSnS4 thin filmson a Ta foil substrate. Sol. Energy 2020, 201, 480–488. [Google Scholar] [CrossRef]
- Rincon, C.; Quintero, E.; Quintero, M.; Moreno, E.; Power, C.; Morocoima, M.; Delgado, G.E. Temperature dependence of Raman spectra in Cu2ZnSnS4 magnetic semiconductor compound. Phys. Stat. Sol. 2019, 256, 1900076. [Google Scholar] [CrossRef]
- Verma, P.; Abbi, S.C.; Jain, K.P. Raman-scattering probe of anharmonic effects in GaAs. Phys. Rev. B 1995, 51, 16660–16667. [Google Scholar] [CrossRef]
- Bonini, N.; Lazzeri, M.; Marzari, N.; Mauri, F. Phonon anharmonicities in graphite and graphene. Phys. Rev. Lett. 2007, 99, 176802. [Google Scholar] [CrossRef] [PubMed] [Green Version]
- Zhao, Z.; Elwood, J.; Carpenter, M.A. Phonon anharmonicity of PdO studied by Raman spectroscopy. J. Phys. Chem. C 2015, 119, 23094–23102. [Google Scholar] [CrossRef]
- Kandare, S.P.; Rao, M.N.; Dahiwale, S.S.; Rao, R.; Dhole, S.D.; Chaplot, S.L. Lattice dynamics in kesterite-type Cu2ZnSnS4: Inelastic neutron scattering studies and thermoelectric properties. J. Phys. Chem. Sol. 2021, 150, 109819. [Google Scholar] [CrossRef]
- Gonzalez, J.; Moya, E.; Chervin, J.C. Anharmonic effects in light scattering due to optical phonons in CuGaS2. Phys. Rev. B 1996, 54, 4707–4713. [Google Scholar] [CrossRef] [PubMed]
- Lin, Z.; Liu, W.; Tian, S.; Zhu, K.; Huang, Y.; Yang, Y. Thermal expansion coefficient of few-layer MoS2 studied by temperature-dependent Raman spectroscopy. Sci. Rep. 2021, 11, 7037. [Google Scholar] [CrossRef] [PubMed]
- Bonini, N.; Rao, R.; Rao, A.M.; Marzari, N.; Menendez, J. Lattice anharmonicity in low-dimensional carbon systems. Phys. Stat. Sol. 2008, 245, 2149–2154. [Google Scholar] [CrossRef]
- Chen, Y.; Peng, B.; Wang, B. Raman spectra and temperature-dependent Raman scattering of silicon nanowires. J. Phys. Chem. C 2007, 111, 5855–5858. [Google Scholar] [CrossRef]
- Efthimiopoulos, I.; Mayanna, S.; Stavrou, E.; Torode, A.; Wang, Y. Extracting the anharmonic properties of the G-band in graphene nanoplatelets. J. Phys. Chem. C 2020, 124, 4835–4842. [Google Scholar] [CrossRef]
- Lindsay, L.; Hua, C.; Ruan, X.L.; Lee, S. Survey of ab initio phonon thermal transport. Mater. Today Phys. 2018, 7, 106–120. [Google Scholar] [CrossRef]




| KS Mode | (cm−1) | (∂ωi/∂T)P (cm−1/K) | (cm−1) | (∂Γi/∂T)P (cm−1/K) | |
|---|---|---|---|---|---|
| A(1) | 292.3(2) | −0.0168(5) | 1.93 | 0.3(4) | −0.007(1) |
| A(2) | 343.3(2) | −0.0176(5) | 1.72 | 0.6(2) | −0.0044(6) |
| Compound | Mode | [27] | A (cm−1) | B (cm−1) | C (cm−1) | D (cm−1) | T Range (K) | ||
|---|---|---|---|---|---|---|---|---|---|
| CZSS-bulk | A(1) | 292.3(2) | 1.07 | 1.21 | −0.006 | 0.3(2) | 0.530 | 0.02 | 300–460 |
| A(2) | 343.3(2) | 1.03 | 2.06 | −0.07 | 0.6(2) | 0.630 | −0.02 | 300–460 | |
| CZSS-TF1 | A(2) | 340.8 | 1.01 | −1 × 10−22 | −9.1 × 10−20 | 10.7 | 2 × 10−10 | 1.09 × 10−20 | 98–378 |
| CZSS-TF2 | A(2) | N/A | N/A | N/A | N/A | N/A | N/A | N/A | 80–450 |
| CZSSe-TFA | A(1) | 174.5 | N/A | 2.762 | −3.947 | 7.5 | 0.653 | −0.007 | 24–290 |
| CZSSe-TFA | A(2) | 197.9 | N/A | 3.668 | −4.936 | 3 | 0.068 | −2.817 × 10−4 | 24–290 |
| CZSSe-TFB | A(1) | 175.8 | N/A | 3.471 | −4.414 | 6.4 | 0.276 | −0.002 | 24–290 |
| CZSSe-TFB | A(2) | 198.6 | N/A | 3.729 | −4.274 | 2.3 | −0.001 | −2.727 × 10−4 | 24–290 |
| CFSS-bulk | A(2) | 325.4 | 5.1 | −0.89 | −1.2 × 10−9 | 3.5 | 6.000 | N/A | 10–300 |
Publisher’s Note: MDPI stays neutral with regard to jurisdictional claims in published maps and institutional affiliations. |
© 2021 by the authors. Licensee MDPI, Basel, Switzerland. This article is an open access article distributed under the terms and conditions of the Creative Commons Attribution (CC BY) license (https://creativecommons.org/licenses/by/4.0/).
Share and Cite
Suss, N.; Ritscher, A.; Lerch, M.; Efthimiopoulos, I. Anharmonic Effects in Ordered Kesterite-Type Cu2ZnSnS4. Solids 2021, 2, 385-394. https://doi.org/10.3390/solids2040024
Suss N, Ritscher A, Lerch M, Efthimiopoulos I. Anharmonic Effects in Ordered Kesterite-Type Cu2ZnSnS4. Solids. 2021; 2(4):385-394. https://doi.org/10.3390/solids2040024
Chicago/Turabian StyleSuss, Nicole, Anna Ritscher, Martin Lerch, and Ilias Efthimiopoulos. 2021. "Anharmonic Effects in Ordered Kesterite-Type Cu2ZnSnS4" Solids 2, no. 4: 385-394. https://doi.org/10.3390/solids2040024
APA StyleSuss, N., Ritscher, A., Lerch, M., & Efthimiopoulos, I. (2021). Anharmonic Effects in Ordered Kesterite-Type Cu2ZnSnS4. Solids, 2(4), 385-394. https://doi.org/10.3390/solids2040024

