Symmetrical Six-Phase Induction Motor Stator Faults Diagnostics Approach, Immune to Unbalanced Supply Voltage, Based on the Analysis of the Midpoint Electrical Potential of the Stator Star †
Abstract
:1. Introduction
2. Symmetrical Six-Phase Induction Motor Model Featuring Inter-Turn Short-Circuit Faults
3. Analysis of the Midpoint Electrical Potential of the Stator Star for Fault Diagnostics
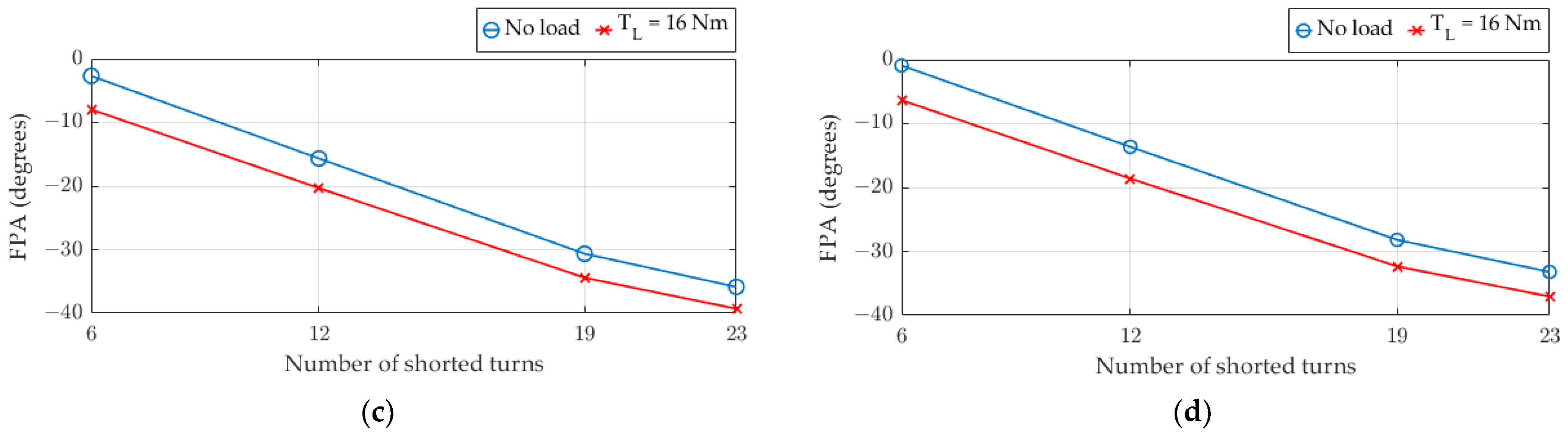
4. Results and Discussion
5. Conclusions
Author Contributions
Funding
Institutional Review Board Statement
Informed Consent Statement
Data Availability Statement
Conflicts of Interest
References
- Levi, E. Multiphase electric machines for variable-speed applications. IEEE Trans. Ind. Electron. 2008, 55, 1893–1909. [Google Scholar] [CrossRef]
- Yepes, A.G.; Lopez, O.; Gonzalez-Prieto, I.; Duran, M.; Doval-Gandoy, J. A comprehensive survey on fault tolerance in multiphase ac drives, Part 1: General overview considering multiple fault types. Machines 2022, 10, 208. [Google Scholar] [CrossRef]
- Baneira, F.; Doval-Gandoy, J.; Yepes, A.G.; Lopez, O.; Perez Estevez, D. Control strategy for multiphase drives with minimum losses in the full torque operation range under single open-phase fault. IEEE Trans. Power Electron. 2017, 32, 6275–6285. [Google Scholar] [CrossRef]
- Cardoso, A.J.M. Diagnosis and Fault Tolerance of Electrical Machines and Power Electronics; The Institution of Engineering and Technology: London, UK, 2018. [Google Scholar]
- Bento, F.J.F.; Adouni, A.; Muxiri, A.C.P.; Fonseca, D.S.B.; Cardoso, A.J.M. On the Risk of Failure to Prevent Induction Motors Permanent Damage, Due to the Short Available Time-to-Diagnosis of Inter-Turn Short-Circuit Faults. IET Electr. Power Appl. 2021, 15, 51–62. [Google Scholar] [CrossRef]
- Frosini, L. Monitoring and Diagnostics of Electrical Machines and Drives: A State of the Art. In Proceedings of the 2019 IEEE Workshop on Electrical Machines Design, Control and Diagnosis (WEMDCD), Athens, Greece, 22–23 April 2019; pp. 169–176. [Google Scholar]
- Das, S.; Purkait, P.; Koley, C.; Chakravorti, S. Performance of a load-immune classifier for robust identification of minor faults in induction motor stator winding. IEEE Trans. Diel. Electron. Insul. 2014, 21, 33–44. [Google Scholar] [CrossRef]
- Urresty, J.; Riba, J.; Romeral, L. Application of the zero-sequence voltage component to detect stator winding inter-turn faults in PMSMs. Elec. Power Sys. Res. 2012, 89, 38–44. [Google Scholar] [CrossRef]
- Urresty, J.; Riba, J.; Romeral, L. Influence of the Stator Windings Configuration in the Currents and Zero-Sequence Voltage Harmonics in Permanent Magnet Synchronous Motors with Demagnetization Faults. IEEE Trans. Magn. 2013, 49, 4885–4893. [Google Scholar] [CrossRef]
- Briz, F.; Degner, M.W.; Garcia, P.; Dicz, A.B. Induction machine diagnostics using zero sequence component. In Proceedings of the Fourtieth IAS Annual Meeting. Conference Record of the 2005 Industry Applications Conference, Hong Kong, China, 2–6 October 2005; pp. 34–41. [Google Scholar]
- Hu, R.; Wang, J.; Mills, A.R.; Chong, E.; Sun, Z. Detection and Classification of Turn Fault and High Resistance Connection Fault in Permanent Magnet Machines Based on Zero Sequence Voltage. IEEE Trans. Power Electron. 2020, 35, 1922–1933. [Google Scholar] [CrossRef]
- Zhang, J.; Xu, Z.; Wang, J.; Zhao, J.; Din, Z.; Cheng, M. Detection and Discrimination of Incipient Stator Faults for Inverter-Fed Permanent Magnet Synchronous Machines. IEEE Trans. Ind. Electron. 2021, 68, 7505–7515. [Google Scholar] [CrossRef]
- Hang, J.; Zhang, J.; Ding, S.; Cheng, M. Fault Diagnosis of High-Resistance Connection in a Nine-Phase Flux-Switching Permanent-Magnet Machine Considering the Neutral-Point Connection Model. IEEE Trans. Power Electron. 2017, 32, 6444–6454. [Google Scholar] [CrossRef]
- Hang, J.; Zhang, J.; Cheng, M.; Huang, J. Online Interturn Fault Diagnosis of Permanent Magnet Synchronous Machine Using Zero-Sequence Components. IEEE Trans. Power Electron. 2015, 30, 6731–6741. [Google Scholar] [CrossRef]
- Antunes, H.R.P.; Fonseca, D.S.B.; Cardoso, A.J.M. Modeling of Symmetrical Six-Phase Induction Machines Under Stator Faults. In Proceedings of the 2021 IEEE International Electric Machines & Drives Conference (IEMDC), Hartford, CT, USA, 17–20 May 2021; pp. 1–7. [Google Scholar]





Publisher’s Note: MDPI stays neutral with regard to jurisdictional claims in published maps and institutional affiliations. |
© 2022 by the authors. Licensee MDPI, Basel, Switzerland. This article is an open access article distributed under the terms and conditions of the Creative Commons Attribution (CC BY) license (https://creativecommons.org/licenses/by/4.0/).
Share and Cite
Antunes, H.R.P.; Fonseca, D.S.B.; Cardoso, A.J.M. Symmetrical Six-Phase Induction Motor Stator Faults Diagnostics Approach, Immune to Unbalanced Supply Voltage, Based on the Analysis of the Midpoint Electrical Potential of the Stator Star. Eng. Proc. 2022, 24, 22. https://doi.org/10.3390/IECMA2022-12891
Antunes HRP, Fonseca DSB, Cardoso AJM. Symmetrical Six-Phase Induction Motor Stator Faults Diagnostics Approach, Immune to Unbalanced Supply Voltage, Based on the Analysis of the Midpoint Electrical Potential of the Stator Star. Engineering Proceedings. 2022; 24(1):22. https://doi.org/10.3390/IECMA2022-12891
Chicago/Turabian StyleAntunes, Hugo R. P., Davide S. B. Fonseca, and Antonio J. Marques Cardoso. 2022. "Symmetrical Six-Phase Induction Motor Stator Faults Diagnostics Approach, Immune to Unbalanced Supply Voltage, Based on the Analysis of the Midpoint Electrical Potential of the Stator Star" Engineering Proceedings 24, no. 1: 22. https://doi.org/10.3390/IECMA2022-12891
APA StyleAntunes, H. R. P., Fonseca, D. S. B., & Cardoso, A. J. M. (2022). Symmetrical Six-Phase Induction Motor Stator Faults Diagnostics Approach, Immune to Unbalanced Supply Voltage, Based on the Analysis of the Midpoint Electrical Potential of the Stator Star. Engineering Proceedings, 24(1), 22. https://doi.org/10.3390/IECMA2022-12891
