Recovery of Streams in the Harz National Park (Germany)—The Attenuation of Acidification
Abstract
1. Introduction
2. Materials and Methods
2.1. Study Area
2.2. Macroinvertebrates–Sampling and Indication
2.3. Ecological Status Assessment
2.4. Hydrochemical and Physicochemical Methods
2.5. Statistical Analysis Methods
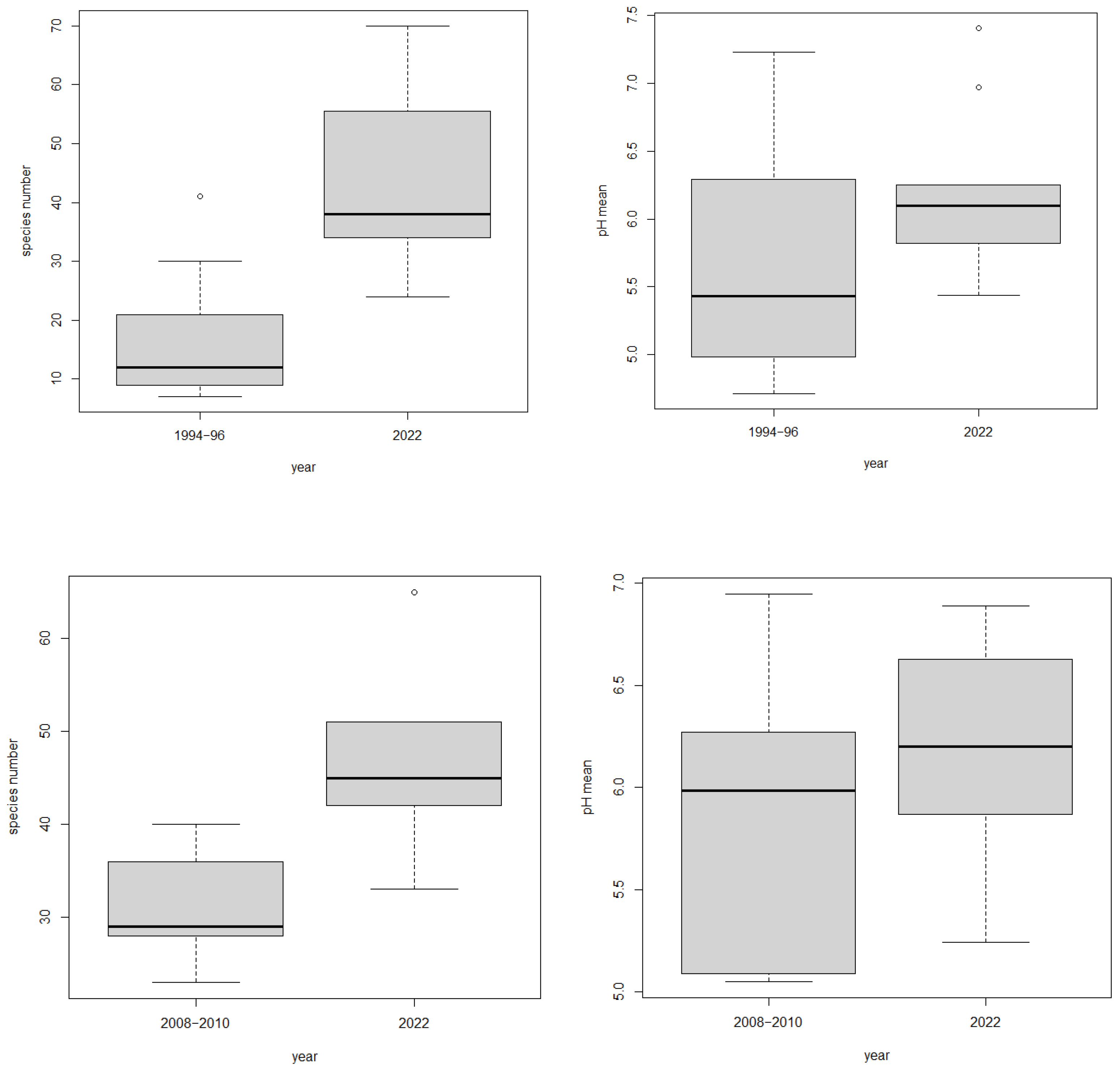
3. Results
3.1. Water Chemistry
3.2. Macroinvertebrate Settlement
4. Discussion
Supplementary Materials
Author Contributions
Funding
Institutional Review Board Statement
Informed Consent Statement
Data Availability Statement
Conflicts of Interest
References
- Herrmann, R. Die Versauerung von Oberflächengewässern. Limnologica 1994, 24, 105–120. [Google Scholar]
- Braukmann, U. Stream acidification in South Germany—Chemical and biological assessment methods and trends. Aquat. Ecol. 2001, 35, 207–232. [Google Scholar] [CrossRef]
- Likens, G.E.; Driscoll, C.T.; Buso, D.C. Long-Term Effects of Acid Rain: Response and recovery of a Forest Ecosystem. Science 1996, 272, 244–246. [Google Scholar] [CrossRef]
- Bulger, A.J.; Dolloff, C.A.; Cosby, B.J.; Eshleman, K.N.; Webb, J.R.; Galloway, J.N. The “Shenandoah National Park” Fish sensitive habitats (SNP: FISH) Project. An integrated assessment of fish community responses to stream acidification. Water Air Soil Poll. 1995, 85, 309–314. [Google Scholar] [CrossRef]
- Dennis, T.; MacAvoy, S.; Steg, M.; Bulger, A. The association of water chemistry variables and fish condition in streams of Shenandoah National Park (USA). Water Air Soil Pollut. 1995, 85, 365–370. [Google Scholar] [CrossRef]
- Baker, J.; Van Sickle, J.; Gager, J.; DeWall, D.; Sharpe, W.; Carline, R.; Baldigo, B.; Murdoch, P.; Kretser, W.; Bath, D.; et al. Episodic acidification of small streams in the northeastern United States: Effects on fish populations. Ecol. Appl. 1996, 6, 422–437. [Google Scholar] [CrossRef]
- Baldigo, B.; Lawrence, G. Composition of fish communities in relation to stream acidification and habitat in the Neversink River, New York. Trans. Am. Fish. Soc. 2000, 129, 60–76. [Google Scholar] [CrossRef]
- Langheinrich, U.; Böhme, D.; Wegener, U.; Lüderitz, V. Streams in the Harz National Parks (Germany)—A hydrochemical and hydrobiological evaluation. Limnologica 2002, 32, 309–321. [Google Scholar] [CrossRef]
- Davies, J.J.L.; Jenkins, A.; Monteith, D.T.; Evans, C.D.; Cooper, D.M. Trends in surface water chemistry of acidified UK Freshwaters, 1988–2002. Environ. Pollut. 2005, 137, 27–39. [Google Scholar] [CrossRef]
- Evans, C.D.; Cullen, J.M.; Alewell, C.; Marchetto, A.; Moldan, F.; Kopácek, J.; Prechtel, A.; Rogora, M.; Veselý, J.; Wright, R. Recovery from acidification in European surface waters. Hydrol. Earth Syst. Sci. 2001, 5, 283–297. [Google Scholar] [CrossRef]
- Harriman, R.; Watt, A.W.; Christie, A.E.G.; Moore, D.W.; McCartney, A.G.; Taylor, E.M. Quantifying the effects of forestry practices on the recovery of upland streams and lochs from acidification. Sci. Total Environ. 2003, 310, 101–111. [Google Scholar] [CrossRef]
- Majer, V.; Cosby, B.J.; Kopacek, J.; Veselý, J. Modelling reversibility of Central European mountain lakes from acidification: Part I—The Bohemian forest. Hydrol. Earth Syst. Sci. 2003, 7, 494–509. [Google Scholar] [CrossRef]
- Skjelkvale, B.L.; Stoddard, J.L.; Jeffers, J.N.R.; Tørseth, K.; Høgasen, T.; Bowman, J.; Mannio, J.; Monteith, D.T.; Mosello, R.; Rogora, M.; et al. Regional scale evidence for improvements in surface water chemistry 1990–2001. Environ. Pollut. 2005, 137, 165–176. [Google Scholar] [CrossRef] [PubMed]
- Skjelkvale, B.L.; Borg, H.; Hindar, A.; Wilander, A. Large scale patterns of chemical recovery in lakes in Norway and Sweden: Importance of seasalt episodes and changes in dissolved organic carbon. Appl. Geochem. 2007, 22, 1174–1180. [Google Scholar] [CrossRef]
- Musolff, A.; Selle, B.; Büttner, O.; Opitz, M.; Tittel, J. Unexpected release of phosphate and organic carbon to streams linked to declining nitrogen depositions. Glob. Change Biol. 2017, 23, 1891–1901. [Google Scholar] [CrossRef] [PubMed]
- Lüderitz, V.; Langheinrich, U. Biologie und Chemie versauerter Fließgewässer im Nationalpark Harz. In Zur Situation der Gewässer im Nationalpark Harz; Schriftenreihe der Nationalparkverwaltung Harz: Wernigerode, Germany, 2013; pp. 55–70. [Google Scholar]
- Karste, G.; Schubert, R. Sukzessionsuntersuchungen zur Renaturierung subalpiner Mattenvegetation auf der Brockenkuppe (Nationalpark Hochharz). Arch. für Nat.-Lands. 1997, 36, 11–36. [Google Scholar]
- Hering, D.; Buffagni, A.; Moog, O.; Sandin, L.; Sommerhäuser, M.; Stubauer, I.; Feld, C.; Johnson, R.; Pinto, P.; Skoulikidis, N.; et al. The Development of a System to Assess the Ecological Quality of Streams based on Macroinvertebrates—Design of the Sampling Programme within the AQEM Project. Hydrobiology 2003, 88, 345–361. [Google Scholar] [CrossRef]
- Lüderitz, V.; Speierl, T.; Langheinrich, U.; Völkl, W.; Gersberg, R.M. Restoration of the Upper Main and Rodach Rivers—The success and its measurement. Ecol. Eng. 2011, 37, 2044–2055. [Google Scholar] [CrossRef]
- European Union (EU). Richtlinie 2000/60/EG des Europäischen Parlaments und des Rates vom 23. Oktober 2000 zur Schaffung eines Ordnungsrahmens für Maßnahmen der Gemeinschaft im Bereich der Wasserpolitik. Amtsbl. Nr. L 2000, 327, 0001–0073. [Google Scholar]
- Shannon, C.E.; Weaver, W. The Mathematical Theory of Communication; The University of Illinois Press: Urbana, IL, USA, 1949. [Google Scholar]
- Smith, A.; Wilson, T. A Consumers guide to eveness indices. Oikos 1996, 76, 70–82. [Google Scholar] [CrossRef]
- Hill, M.O.; Gauch, H.G., Jr. Detrended correspondence analysis: An improved ordination technique. Vegetatio 1980, 42, 47–58. [Google Scholar] [CrossRef]
- Frank, D.; Schnitter, P. Pflanzen und Tiere in Sachsen-Anhalt. Ein Kompendium der Biodiversität; Landesamt für Umweltschutz Sachsen-Anhalt, Natur + Text: Rangsdorf, Germany, 2016. [Google Scholar]
- Hohmann, M. Ein Beitrag zur Kenntnis der Eintags-, Stein- und Köcherfliegen (Insecta: Ephemeroptera, Plecoptera, Trichoptera) im Nationalpark Harz, Sachsen-Anhalt. Entomol. Mitteilungen Sachs.-Anhalt. Sonderh. 2010, 2, 34–54. [Google Scholar]
- Spitzenberg, D.; Sondermann, W.; Hendrich, L.; Hess, M.; Heckes, U. Rote Liste und Gesamtartenliste der wasserbewohnenden Käfer (Coleoptera aquatica) Deutschlands. In Rote Liste gefährdeter Tiere, Pflanzen und Pilze Deutschlands, Band 4: Wirbellose Tiere (Teil 2); Gruttke, H., Balzer, S., Binot-Hafke, M., Haupt, H., Hofbauer, N., Ludwig, G., Matzke-Hajek, G., Ries, M., Eds.; Naturschutz und Biologische Vielfalt; Landwirtschaftsverlag: Münster, Germany, 2016; Volume 70, pp. 207–246. [Google Scholar]
- Haybach, A. Rote Liste und Gesamtartenliste der Eintagsfliegen (Ephemeroptera) Deutschlands. In Rote Liste gefährdeter Tiere, Pflanzen und Pilze Deutschlands, Band 5: Wirbellose Tiere (Teil 3); Ries, M., Balzer, S., Gruttke, H., Haupt, H., Hofbauer, N., Ludwig, G., Matzke-Hajek, G., Eds.; Naturschutz und Biologische Vielfalt; Landwirtschaftsverlag: Münster, Germany, 2021; Volume 70, pp. 683–695. [Google Scholar]
- Reusch, H.; Weinzierl, A.; Enting, K. Rote Liste und Gesamtartenliste der Steinfliegen (Plecoptera) Deutschlands. In Rote Liste gefährdeter Tiere, Pflanzen und Pilze Deutschlands, Band 5: Wirbellose Tiere (Teil 3); Ries, M., Balzer, S., Gruttke, H., Haupt, H., Hofbauer, N., Ludwig, G., Matzke-Hajek, G., Eds.; Naturschutz und Biologische Vielfalt; Landwirtschaftsverlag: Münster, Germany, 2021; Volume 70, pp. 627–656. [Google Scholar]
- Robert, B. Rote Liste und Gesamtartenliste der Köcherfliegen (Trichoptera) Deutschlands. In Rote Liste der gefährdeten Tiere, Pflanzen und Pilze Deutschlands. Band 4: Wirbellose Tiere (Teil 2); Gruttke, H., Balzer, S., Binot-Hafke, M., Haupt, H., Hofbauer, N., Ludwig, G., Matzke-Hajek, G., Ries, M., Eds.; Naturschutz und Biologische Vielfalt; Bundesamt für Naturschutz: Bonn, Germany, 2016; Volume 70, pp. 101–135. [Google Scholar]
- Umweltbundesamt (UBA) National Trend Tables for the German Atmospheric Emission Reporting 1990–2015. Available online: https://www.umweltbundesamt.de/sites/default/files/medien/361/dokumente/2017_02_15_em_entwicklung_in_d_trendtabelle_luft_v1.0.xlsx (accessed on 29 August 2024).
- von Wilpert, K. Chemical deposition and seepage water quality in forests. In Forest Hydrology—Results of Research in Germany and Russia; Puhlmann, H., Schwarze, R., Eds.; Deutsches Nationalkomitee für das International Hydrological Programme (IHP) der Unesco und das Hydrology and Water Ressources Programme (HWRP) der WMO (Publisher), IHP-HWRP-Berichte, H. 6: Koblenz, Germany, 2007; pp. 23–36. [Google Scholar]
- Gauger, T.; Haenel, H.D.; Rösemann, C.; Dämmgen, U.; Bleeker, A.; Erisman, J.W.; Vermeulen, A.T.; Schaap, M.; Timmermanns, R.M.A.; Builtjes, P.J.H.; et al. National Implementation of the UNECE Convention on Longrange Transboundary Air Pollution (Effects); Nationale Umsetzung UNECE-Luftreinhaltekonvention (Wirkungen): Part 1: Deposition Loads: Methods, Modelling and Mapping Results, Trends; BMU/UBA 204 63 252; UBA-Texte: Dessau, Germany, 2008; Available online: https://www.umweltbundesamt.de/publikationen/national-implementation-of-unece-convention-on-long (accessed on 29 January 2025)ISSN 1862-4804.
- Meesenburg, H.; Eichhorn, J.; Meiwes, K.J. Atmospheric deposition and canopy interaction. In Functioning and Management of European Beech Ecosystems; Brumme, R., Khanna, P.K., Eds.; Ecological Studies; Springer: Berlin, Germany, 2009; pp. 265–302. [Google Scholar]
- von Wilpert, K.; Puhlmann, H. Conventwald: Silvicultural management of seepage water quality. In Forest Hydrology—Results of Research in Germany and Russia; Puhlmann, H., Schwarze, R., Eds.; Deutsches Nationalkomitee für das International Hydrological Programme (IHP) der Unesco und das Hydrology and Water Ressources Programme (HWRP) der WMO (Publisher) IHP-HWRP-Berichte, H. 6: Koblenz, Germany, 2007; pp. 63–90. [Google Scholar]
- UNECE. The Condition of Forests in Europe. Executive Report, ICP Forests and European Commission, Hamburg and Brussels. 2009. Available online: https://www.icp-forests.org/pdf/ER2010.pdf (accessed on 29 August 2024).
- von Wilpert, K.; Zirlewagen, D. Forestry Management options to maintain sustainability—Element budgets at Level II sites in South—West Germany. In Forests in a Changing Environment—Results of 20 Years ICP Forests Monitoring; Eichhorn, J., Ed.; Schriften aus der Forstlichen Fakultät Universität Göttingen, Universität Göttingen: Göttingen, Germany, 2007; Volume 142, pp. 170–179. [Google Scholar]
- Wolff, B.; Riek, W. Chemischer Waldbodenzustand in Deutschland, Ergebnisse der Bodenanalysen im Rahmen der BZE. Allg. Forst-Z. Der Wald. 1998, 53, 503–506. [Google Scholar]
- Jordi, B. Der Waldboden—Ein optimaler Filter; UMWELT; Bundesamt für Umwelt BAFU: Bern, Switzerland, 2005; Volume 3, pp. 32–35. Available online: https://www.waldwissen.net/de/lebensraum-wald/waldboden/waldboden-ein-optimaler-filter (accessed on 29 January 2025)ISSN 1424-7186.
- Braukmann, U.; Biss, R. Conceptual study—An improved method to assess acidification in German streams by using benthic macroinvertebrates. Limnologica 2004, 34, 433–450. [Google Scholar] [CrossRef]
- Baumann, K.; Müller, J. Die Libellen des Nationalparks Harz; Schriftenreihe aus dem Nationalpark Harz, Band 11; Nationalparkverwaltung Harz: Wernigerode, Germany, 2014. [Google Scholar]
- Mammen, K.; Dumjahn, M.; Baumann, K.; Huth, J. Rote Listen Libellen (Odonata). In Rote Listen Sachsen-Anhalt. Berichte des Landesamtes für Umweltschutz Sachsen-Anhalt; Landesamt für Umweltschutz Sachsen-Anhalt: Halle, Germany, 2020; Volume 1, pp. 477–496. [Google Scholar]
- Herrmann, J. Aluminium is harmful to benthic invertebrates in acidified waters, but at what threshold(s)? Water Air Soil Pollut. 2001, 130, 837–842. [Google Scholar] [CrossRef]
- Jones, J.I.; Lloyd, C.E.M.; Murphy, J.F.; Arnold, A.; Duerdoth, C.P.; Hawczak, A.; Pretty, J.L.; Johnes, P.J.; Freer, J.E.; Stirling, M.W.; et al. What do macroinvertebrate indices measure? Stressor-specific stream macroinvertebrate indices can be confounded by other stressors. Freshw. Biol. 2023, 68, 1330–1345. [Google Scholar] [CrossRef] [PubMed]
- Baker, N.J.; Pilotto, F.; Jourdan, J.; Beudert, B.; Haase, P. Recovery from air pollution and subsequent acidification masks the effects of climate change on a freshwater macroinvertebrate community. Sci. Total Environ. 2012, 758, 143685. [Google Scholar] [CrossRef] [PubMed]
- Wüstemann, O. Wiederbesiedlung des Oberharzes durch die Bachforelle Salmo trutta—Erste Ergebnisse des 10jährigen Fischmonitorings im Nationalpark Harz. Abh. Und Berichte Aus Dem Mus. Heine. 2018, 11, 117–128. [Google Scholar]
- Schwarz, F. Fischbestandsuntersuchungen 2021 und 2023 im Rahmen des Gewässerökologischen Dauermonitorings im Nationalpark Harz; Monitoringbericht Nationalparkverwaltung Harz: Wernigerode, Germany, 2023; 31p. [Google Scholar] [CrossRef]
- Körner, J. Abflussbildung, Interflow und Stoffbilanz im Schönbuch Waldgebiet. Institut und Museum für Geologie und Paläontologie der Universität Tübingen. 1996, p. 206. Available online: http://nbn-resolving.de/urn:nbn:de:bsz:21-opus-20384 (accessed on 29 August 2024).
- Hegg, C.; Jeisy, M.; Waldner, P. Wald und Trinkwasser, Eine Literaturstudie. Eidg. Forschungsanstalt für Wald, Schnee und Landschaft, WSL, Birmensdorf. 2004. Available online: https://www.dora.lib4ri.ch/wsl/islandora/object/wsl%3A10334 (accessed on 29 August 2024).
- Zirlewagen, D.; von Wilpert, K. Was hat Waldbau mit Trinkwasservorsorge zu tun? Schriftenreihe Freibg. Forstl. Forsch. 2002, 18, 309–319. [Google Scholar]
- Kreutzer, K. Folgerungen aus der Höglwaldforschung. AFZ-Der Wald 1994, 14, 769–774. [Google Scholar]
- Popkin, G. Forest fight. Science 2021, 374, 1184–1189. [Google Scholar] [CrossRef]
- Mueller, C.; Krieg, R.; Merz, R.; Knöller, K. Regional nitrogen dynamics in the TERENO Bode River catchment, Germany, as constrained by stable isotope patterns. Isot. Environ. Health Stud. 2016, 52, 61–74. [Google Scholar] [CrossRef] [PubMed]
- Landesbetrieb für Hochwasserschutz und Wasserwirtschaft Sachsen-Anhalt (LHW) Datenportal des Gewässerkundlichen Landesdienstes im Landesbetrieb für Hochwasserschutz und Wasserwirtschaft Sachsen-Anhalt 2024. Available online: https://gld.lhw-sachsen-anhalt.de/ (accessed on 29 August 2024).
- Huber, C.; Baumgarten, M.; Göttlein, A.; Rotter, V. Nitrogen turnover and nitrate leaching after bark beetle attack in mountainous spruce stands of the Bavarian Forest National Park. Water Air Soil Pollut. Focus 2004, 4, 391–414. [Google Scholar] [CrossRef]
- Beudert, B.; Gietl, G. Long-term monitoring in the Große Ohe catchment, Bavarian Forest National Park. Silva Gabreta 2015, 21, 5–27. [Google Scholar]
- Mikkelson, K.; Bearup, L.; Maxwell, R.; Stednick, J.; McCray, J.; Sharp, J. Bark beetle infestation impacts on nutrient cycling, water quality and interdependent hydrological effects. Biogeochemistry 2013, 115, 1–21. [Google Scholar] [CrossRef]
- Poikane, S.; Várbíró, G.; Kelly, M.G.; Birk, S.; Phillips, G. Estimating river nutrient concentrations consistent with good ecological condition: More stringent nutrient thresholds needed. Ecol. Indic. 2021, 121, 107017. [Google Scholar] [CrossRef]
- Nikolaos, P.; Nikolaidis, N.P.; Phillips, G.; Poikane, S.; Várbíró, G.; Bouraoui, F.; Malagó, A.; Lilli, M.A. River and lake nutrient targets that support ecological status: European scale gap analysis and strategies for the implementation of the Water Framework Directive. Sci. Total Environ. 2022, 813, 151898. [Google Scholar] [CrossRef]
- Umweltbundesamt (UBA) Daten—Umweltindikatoren. Available online: https://www.umweltbundesamt.de/daten/umweltindikatoren/indikator-eutrophierung-von-fluessen-durch-phosphor (accessed on 28 August 2024).
- Porcal, P.; Koprivnjak, J.F.; Molot, L.A.; Dillon, P.J. Humic substances-part 7: The biogeochemistry of dissolved organic carbon and its interactions with climate change. Environ. Sci. Pollut. Res. 2009, 16, 714–726. [Google Scholar] [CrossRef]
- Sucker, C.; Krause, K. Increasing dissolved organic carbon concentrations in freshwaters: What is the actual driver? iForest 2010, 3, 106–108. Available online: http://www.sisef.it/iforest/show.php?id=546 (accessed on 29 August 2024). [CrossRef]
- Freeman, C.; Evans, C.D.; Monteith, D.T.; Reynolds, B.; Fenner, N. Export of organic carbon from peat soils. Nature 2001, 412, 785. [Google Scholar] [CrossRef]
- Haase, P.; Pilotto, F.; Li, F.; Sundermann, A.; Lorenz, A.W.; Tonkin, J.D.; Stoll, S. Moderate warming over the past 25 years has already reorganized stream invertebrate communities. Sci. Total Environ. 2019, 658, 1531–1538. [Google Scholar] [CrossRef] [PubMed]
- Assing, V.; Schülke, M. Freude—Harde—Lohse—Klausnitzer: Die Käfer Mitteleuropas; Spektrum Akademischer Verlag: Heidelberg, Germany, 2011; Volume 1. [Google Scholar]
- Aubert, J. Plecoptera. In Schweizer Entomologische Gesellschaft (Hrsg.); Insecta Helvetica 1; 1959; pp. 1–144. [Google Scholar]
- Bauernfeind, E. Bestimmungsschlüssel für die österreichischen Eintagsfliegen (Insecta. Ephemeroptera); Wasser und Abwasser, Schriften der Bundesanstalt f. Wassergüte: Wien, Austria, 1994. [Google Scholar]
- Bellmann, H. Kosmos Libellenführer; Franckh-Kosmos—Verlags-GmbH & Co. KG Stuttgart: Stuttgart, Germany, 2007. [Google Scholar]
- Böhme, D. (a) Eintagsfliegen (Ephemeroptera), (b) Köcherfliegen (Trichoptera.). In Arten—Und Biotopschutzprogramm Sachsen-Anhalt; Landschaftsraum Harz. Ber. d. Landesamtes f. Umweltschutz Sachsen-Anhalt: Halle, Germany, 1997; pp. 171–176. [Google Scholar]
- Böhme, D.; Tappenbeck, L. Zu Vorkommen, Ökologie und Gefähr¬dung der Ga¬t¬tu¬ng Ca¬p¬nia Pictet, 1841 (Insecta, Plecoptera) in Sach¬sen-Anhalt. Abh. Ber. Mus. Heineanum 1994, 2, 109–114. [Google Scholar]
- Brandt, S.; Faasch, H.; Schmidtke, R. Bemerkenswerte Eintagsfliegenfunde (Insecta: Ephemeroptera) im südlichen Niedersachsen. Lauterbornia 1999, 37, 163–175. [Google Scholar]
- Eiseler, B. Identification key to the mayfly larvae of the German Highlands and Lowlands. Lauterbornia 2005, 53, 1–112. [Google Scholar]
- Glöer, P. Süßwassermollusken; Deutscher Jugendbund für Naturbeobachtung: Göttingen, Germany, 2015. [Google Scholar]
- Haase, P.; Schindehütte, K. Die Ephemeroptera, Plecoptera, aquatische Coleoptera (partim) und Trichoptera des niedersächsischen Harzes: Faunistik und ökologische Anmerkungen. Braunschweiger Naturkundliche Schriften 2000, 6, 85–102. [Google Scholar]
- Heidemann, H.; Seidenbusch, R. Die Libellenlarven Deutschlands—Tierwelt Deutschlands 72; Goecke & Evers: Keltern, Germany, 2002. [Google Scholar]
- Hohmann, M.; Böhme, D. Checkliste der Eintags—und Steinfliegen (Ephemeroptera, Plecoptera) von Sachsen-Anhalt. Lauterbornia 1999, 37, 151–162. [Google Scholar]
- Hohmann, M. Untersuchungen an Wasserinsekten im Nationalpark Harz (Sachsen-Anhalt) unter besonderer Berücksichtigung von Köcherfliegen (Insecta: Trichoptera). Ph.D. Thesis, University of Kassel, Kassel, Germany, 2010. [Google Scholar]
- Illies, J. Steinfliegen oder Plecoptera. Die Tierwelt Dtschl. 1955, 43, 1–150. [Google Scholar]
- Lubini, V.; Knispel, S. Vincon, G. Die Steinfliegen der Schweiz. Fauna Helvetica 27; CSCF & SEG: Neuchatel, Switzerland, 2012. [Google Scholar]
- Rauser, J. Rad posvatky—Plecoptera. In Klic Vodnich Larev Hmyzu; Translation TU Dresden: Dresden, Germany, 1980; pp. 86–132. [Google Scholar]
- Schmedtje, U.; Kohmann, F. Bestimmungsschlüssel für die Saprobier-DIN-Arten (Makroorganismen). Bayer. Landesamt f. Wasserwirtschaft: München, Germany, 1992. [Google Scholar]
- Spitzenberg, D. Faunistisch-ökologische Untersuchungen der Wasserkäferfauna (Coeloptera, Hydradephaga et Palpicornia) ausgewählter Moore des Nationalpark Hochharz. Abh. Ber. Mus. Heineanum 1994, 2, 115–124. [Google Scholar]
- Spitzenberg, D. Die wasserbewohnenden Käfer Sachsen-Anhalt; LfU Sachsen-Anhalt. Natur+Text: Rangsdorf, Germany, 2021; 772p. [Google Scholar]
- Studemann, D.; Landolt, P.; Sartori, M.; Hefti, D.; Tomka, I. Ephemeroptera. In: Schweizer Entomologische Gesellschaft (Hrsg.). Insecta Helvetica 1992, 9, 1–175. [Google Scholar]
- Tappenbeck, L.; Böhme, D. Steinfliegen (Plecoptera). In Arten—und Biotopschutzprogramm Sachsen-Anhalt; Landschaftsraum Harz. Ber. d. Landesamtes f. Umweltschutz Sachsen-Anhalt: Halle, Germany, 1997; pp. 176–181. [Google Scholar]
- Waringer, J.; Graf, W. Atlas of Central European Trichoptera Larvae; Erik Mauch Verlag: Dinkelscherben, Germany, 2011. [Google Scholar]
- Zelinka, M. Rad jepice—Ephemeroptera. In Klic Vodnich Larev Hmyzu; Roskosny, R., Ed.; Translation TU Dresden: Dresden, Germany, 1980; pp. 39–67. [Google Scholar]
- Zwick, P. Revision der Gattung Chloroperla NEWMAN (Plecoptera). Mitt. Schweiz. Entomol. Ges. XL 1967, 1–26. [Google Scholar]
- Zwick, P. Anmerkungen zu Illies (1955), Plecoptera, In: Dahl. Tierwelt Deutschlands (unpublished manuscript). 1993. [Google Scholar]
- Zwick, P. Überarbeitete und ergänzte Fassung des Schlüssels von Rauser (1980). (unpublished manuscript). 1993. [Google Scholar]







| Stream | Site Number | Altitude (m) | Substrate Type, Vegetation | Coordinates * | |
|---|---|---|---|---|---|
| Latitude (N) | Longitude (E) | ||||
| Stream near Brocken street | 1 | 830 | gravel, CPOM **, no vegetation | 51°46′56.0″ | 10°38′54.1″ |
| Schluftwasser | 2 | 890 | rocks, gravel, sparse reeds | 51°47′05.3″ | 10°37′02.3″ |
| Ecker (near spring) | 3 | 880 | gravel, sand, CPOM, reeds, mosses | 51°47′25.6″ | 10°35′05.8″ |
| Kalte Bode (Schierke) | 4 | 654 | rocks, gravel, mosses, sparse reeds | 51°46′07.6″ | 10°37′50.0″ |
| Ilse | 5 | 556 | rocks, gravel, sand, mosses, sparse reeds | 51°49′42.6″ | 10°38′03.4″ |
| Abbe/Abbetränke | 6 | 780 | rocks, gravel, sand, mosses | 51°48′07.1″ | 10°33′27.3″ |
| Radau | 7 | 545 | rocks, gravel, CPOM, no vegetation | 51°49′49.3″ | 10°32′56.3″ |
| Bog drainage | 8 | 810 | gravel, sand, CPOM, reeds, mosses | 51°47′59.3″ | 10°32′46.1″ |
| Flörichshaier Graben | 9 | 810 | gravel, sand, CPOM, reeds, mosses | 51°47′29.4″ | 10°32′39.9″ |
| Oder (Oderbrück) | 10 | 795 | rocks, gravel, sand, CPOM, sparse reeds, mosses | 51°46′41.4″ | 10°33′35.2″ |
| Oder (Oderhaus) | 11 | 432 | rocks, gravel, mosses | 51°41′45.6″ | 10°33′56.1″ |
| Holtemme | 12 | 582 | rocks, gravel, mosses | 51°48′04.9″ | 10°41′26.1″ |
| Wormsgraben | 13 | 650 | rocks, gravel, sparse reeds | 51°46′17.4″ | 10°42′38.1″ |
| Ilse (concealed section) | 14 | 665 | Rocks, gravel, mosses | 51°48′55.9″ | 10°38′04.8″ |
| Kalte Bode near Königsberger Weg | 15 | 851 | rocks, gravel, sand, mosses | 51°46′49.0″ | 10°35′29.4″ |
| Kalte Bode below Sandbeek junction | 16 | 708 | gravel, sand, sparse reeds | 51°46′19.7″ | 10°36′14.9″ |
| Sonnenberger Graben | 17 | 712 | gravel, sand, mosses | 51°43′55.1″ | 10°31′18.7″ |
| Wormke (Glashüttenteich) | 18 | 806 | gravel, sand, CPOM | 51°46′37.9″ | 10°40′27.9″ |
| Wormke (Spinne) | 19 | 770 | rocks, gravel, no vegetation | 51°46′24.0″ | 10°41′11.0″ |
| Module | Stream Type 5 Metrics |
|---|---|
| Organic pollution | Saprobic Index |
| General degradation | German Fauna Index |
| % EPT (ac) | |
| Rheo-Index | |
| Acidification | Acidity class |
| Site 1: Stream near Brocken Street | Site 2: Schluftwasser | Site 3: Ecker (near Source) | Site 4: Kalte Bode (Schierke) | Site 5: Ilse | Site 6: Abbe/Abbetränke | Site 7: Radau | Site 8: Moorabfluss | Site 9: Flörichshaier Graben | Site 10: Oder (Oderbrück) | Site 11: Oder (Oderhaus) | Site 12: Holtemme | Site 13: Wormsgraben | Site 14: Ilse (Concealed Section) | Site 15: Kalte Bode near Königsberger Path | Site 16: Kalte Bode Below Sandbeek Junction | Site 17: Sonnenberger Graben | Site 18: Wormke (Glashüttenteich) | S19: Wormke Spinne | ||
|---|---|---|---|---|---|---|---|---|---|---|---|---|---|---|---|---|---|---|---|---|
| Temp. | Mean | 7.5 | 7.2 | 6.6 | 7.9 | 8.8 | 7.6 | 8.8 | 7.2 | 7.8 | 7.8 | 9.6 | 9.5 | 10.3 | 8.9 | 7.9 | 8.1 | 8.5 | 11.5 | 9.0 |
| (°C) | Min | 0.8 | 0.2 | 2.8 | 0.9 | 1.1 | 2.1 | 0.7 | 3.0 | 2.6 | 2.2 | 1.8 | 3.3 | 5.0 | 3.7 | 4.7 | 4.7 | 5.6 | 4.5 | 4.5 |
| Max | 12.5 | 15.4 | 12.0 | 15.0 | 18.0 | 12.3 | 13.9 | 11.7 | 12.5 | 13.5 | 17.1 | 19.3 | 22.2 | 13.4 | 10.2 | 10.4 | 11.2 | 16.6 | 11.3 | |
| pH | Mean | 5.35 | 4.76 | 5.43 | 6.34 | 5.52 | 4.89 | 6.96 | 4.89 | 5.31 | 5.04 | 6.72 | 6.41 | 7.15 | 5.35 | 5.87 | 6.13 | 6.06 | 5.11 | 6.93 |
| Min | 4.31 | 3.80 | 4.09 | 4.16 | 4.10 | 3.96 | 4.49 | 3.94 | 4.00 | 3.68 | 5.71 | 5.88 | 6.56 | 4.52 | 5.44 | 5.53 | 5.55 | 4.25 | 6.11 | |
| Max | 6.69 | 6.22 | 6.60 | 8.46 | 6.95 | 6.61 | 8.22 | 5.87 | 7.54 | 6.75 | 8.30 | 6.91 | 7.62 | 6.48 | 6.23 | 6.52 | 6.74 | 5.71 | 7.60 | |
| O2 | Mean | 10.349 | 10.785 | 11.025 | 10.891 | 11.185 | 10.388 | 10.508 | 7.835 | 9.698 | 10.444 | 11.139 | 10.494 | 10.436 | 10.581 | 10.785 | 10.811 | 11.087 | 9.156 | 10.780 |
| (mg/L) | Min | 6.880 | 7.180 | 6.600 | 7.180 | 5.250 | 6.980 | 7.220 | 3.850 | 6.350 | 6.600 | 8.300 | 7.310 | 6.890 | 7.280 | 10.200 | 10.200 | 10.260 | 5.260 | 8.190 |
| Max | 13.800 | 15.100 | 15.000 | 14.800 | 16.000 | 14.300 | 14.500 | 11.900 | 13.300 | 14.400 | 15.000 | 12.210 | 12.370 | 12.200 | 11.570 | 11.860 | 12.550 | 11.670 | 12.340 | |
| NO3− | Mean | 1.271 | 0.978 | 1.835 | 1.381 | 1.391 | 1.317 | 1.475 | 1.728 | 1.653 | 1.488 | 2.271 | 3.064 | 3.600 | 3.055 | 2.162 | 2.324 | 11.785 | 5.645 | 5.599 |
| (mg/L) | Min | 0.428 | 0.258 | 1.130 | 0.317 | 0.299 | 0.390 | 0.357 | 0.596 | 0.596 | 0.506 | 0.790 | 0.270 | 0.578 | 0.615 | 0.970 | 0.729 | 9.470 | 2.720 | 1.380 |
| Max | 7.750 | 4.130 | 5.940 | 9.250 | 8.260 | 4.500 | 9.040 | 7.320 | 5.380 | 6.280 | 13.200 | 14.800 | 15.700 | 6.590 | 3.920 | 5.470 | 14.100 | 18.400 | 14.600 | |
| o-PO43− | Mean | 0.010 | 0.005 | 0.006 | 0.006 | 0.005 | 0.007 | 0.006 | 0.007 | 0.008 | 0.006 | 0.011 | 0.006 | 0.005 | 0.007 | 0.006 | 0.006 | 0.010 | 0.035 | 0.013 |
| (mg/L) | Min | 0.003 | 0.003 | 0.003 | 0.003 | 0.003 | 0.003 | 0.003 | 0.003 | 0.003 | 0.003 | 0.003 | 0.003 | 0.003 | 0.003 | 0.003 | 0.003 | 0.010 | 0.010 | 0.010 |
| Max | 0.050 | 0.014 | 0.015 | 0.050 | 0.015 | 0.015 | 0.012 | 0.018 | 0.016 | 0.010 | 0.116 | 0.010 | 0.010 | 0.010 | 0.010 | 0.013 | 0.013 | 0.181 | 0.020 | |
| Total P | Mean | 0.022 | 0.021 | 0.024 | 0.017 | 0.013 | 0.018 | 0.019 | 0.019 | 0.021 | 0.014 | 0.010 | 0.008 | 0.012 | 0.009 | 0.008 | 0.006 | 0.013 | 0.045 | 0.033 |
| (mg/L) | Min | 0.008 | 0.008 | 0.003 | 0.003 | 0.005 | 0.005 | 0.005 | 0.006 | 0.008 | 0.003 | 0.003 | 0.003 | 0.003 | 0.005 | 0.006 | 0.003 | 0.010 | 0.016 | 0.010 |
| Max | 0.090 | 0.063 | 0.114 | 0.050 | 0.030 | 0.079 | 0.128 | 0.051 | 0.063 | 0.030 | 0.032 | 0.017 | 0.024 | 0.013 | 0.009 | 0.013 | 0.018 | 0.095 | 0.096 | |
| Al3+ | Mean | 0.442 | 0.435 | 0.254 | 0.162 | 0.399 | 0.309 | 0.181 | 0.236 | 0.308 | 0.266 | 0.150 | 0.296 | 0.201 | 0.442 | 0.253 | 0.166 | 0.158 | 0.885 | 0.300 |
| (mg/L) | Min | 0.238 | 0.176 | 0.010 | 0.023 | 0.142 | 0.106 | 0.020 | 0.060 | 0.108 | 0.071 | 0.023 | 0.188 | 0.066 | 0.138 | 0.042 | 0.048 | 0.033 | 0.576 | 0.060 |
| Max | 1.040 | 0.776 | 0.772 | 0.548 | 0.793 | 0.688 | 0.624 | 0.458 | 0.646 | 0.714 | 0.500 | 0.576 | 0.612 | 0.700 | 0.980 | 0.338 | 0.344 | 1.338 | 0.582 |
| Scheme | Year | Species Number | EQR-Class | pH Mean | %EPT (ac) | Shannon–Wiener Index |
|---|---|---|---|---|---|---|
| 1 | 1994_96 | 16 | moderate | 5.29 | 43.8 | 2.46 |
| 2022 | 35 | good | 6.10 | 58.1 | 3.14 | |
| 2 | 1994_96 | 12 | moderate | 4.71 | 75.8 | 1.80 |
| 2022 | 33 | good | 5.81 | 74.5 | 2.90 | |
| 3 | 1994_96 | 11 | poor | 5.56 | 64.5 | 2.14 |
| 2005 | 15 | moderate | 5.23 | 78.8 | 1.97 | |
| 2022 | 35 | good | 5.44 | 72.3 | 3.08 | |
| 4 | 1994_96 | 30 | good | 6.93 | 71.2 | 2.52 |
| 2006 | 30 | good | ** | 75.3 | 3.01 | |
| 2008 | 42 | good | 6.18 | 74.7 | 2.52 | |
| 2017 | 42 | good | ** | 76.2 | 3.40 | |
| 2022 | 59 | good | 6.24 | 75.8 | 3.50 | |
| 5 | 1994_96 | 14 | moderate | 5.43 | 65.0 | 1.82 |
| 2008 | 29 | good | 5.98 | 82.9 | 2.88 | |
| 2017 | 36 | moderate | ** | 67.9 | 3.08 | |
| 2022 | 52 | good | 6.25 | 66.9 | 3.17 | |
| 6 | 1994_96 | 8 | poor | 4.94 | 77.3 | 1.73 |
| 2022 | 38 | good | 5.96 | 73.9 | 3.20 | |
| 7 | 1995_96 | 41 | good | 7.23 | 57.7 | 2.43 |
| 2010 | 44 | very good | ** | 80.0 | 3.35 | |
| 2013 | 50 | very good | ** | 78.9 | 3.42 | |
| 2022 | 68 | very good | 7.41 | 73.4 | 3.75 | |
| 8 | 1995_96 | 7 | poor | 4.79 | 76.2 | 1.13 |
| 2022 | 24 | good | 5.64 | 58.0 | 2.36 | |
| 9 | 1995_96 | 9 | poor | 5.66 | 66.7 | 1.88 |
| 2010 | 20 | moderate | ** | 70.0 | 2.51 | |
| 2022 | 27 | moderate | 5.83 | 58.8 | 2.66 | |
| 10 | 1995_96 | 9 | moderate | 5.02 | 33.3 | 1.47 |
| 2010 | 26 | moderate | 5.17 | 62.2 | 2.53 | |
| 2022 | 47 | good | 6.25 | 69.1 | 3.19 | |
| 11 | 1995_96 | 25 | good | 6.93 | 51.3 | 2.76 |
| 2010 | 52 | very good | 6.98 | 75.4 | 3.38 | |
| 2022 | 70 | Very good | 6.97 | 75.3 | 3.82 | |
| 12 | 2003_04 | 22 | moderate | 6.27 | 51.6 | 1.92 |
| 2006 | 23 | good | 6.87 | 57.6 | 2.83 | |
| 2022 | 45 | very good | 6.63 | 68.3 | 3.26 | |
| 13 | 2003_04 | 30 | good | 7.17 | 69.5 | 2.85 |
| 2022 | 41 | good | 7.09 | 69.0 | 3.28 | |
| 14 | 2008 | ** | ** | 5.09 | ** | ** |
| 2022 | 24 | good | 5.87 | 86.9 | 2.71 | |
| 15 | 2006 | 17 | good | ** | 70.9 | 2.23 |
| 2008 | 29 | good | 5.86 | 79.7 | 1.93 | |
| 2022 | 42 | very good | 5.99 | 73.7 | 3.11 | |
| 16 | 2008 | 36 | good | 6.11 | 82.6 | 2.90 |
| 2022 | 51 | very good | 6.41 | 71.1 | 3.34 | |
| 17 | 2013 | 36 | good | 6.02 | 71.6 | 3.23 |
| 2022 | 45 | very good | 6.14 | 71.3 | 3.38 | |
| 18 | 2009 | 28 | good | 5.05 | 58.2 | 2.59 |
| 2022 | 33 | good | 5.24 | 57.3 | 2.75 | |
| 19 | 2009 | 40 | very good | 6.95 | 86.5 | 3.05 |
| 2022 | 65 | very good | 6.89 | 76.8 | 3.54 |
| Species Number | Ephemeroptera | Plecoptera | Trichoptera | Source |
|---|---|---|---|---|
| Harz Mountains | 66 | 56 | 188 | [24] |
| National Park | 33 | 47 | 120 | [25] |
| Study area | 30 | 44 | 67 | own studies |
| Group | Species | Category |
|---|---|---|
| Coleoptera | Hydroporus longicornis | 3 |
| Hydroporus longulus | 3 | |
| Ephemeroptera | Ameletus inopinatus | 2 |
| Rhithrogena hercynia | 3 | |
| Plecoptera | Leuctra rauscheri | 3 |
| Nemoura mortoni | 3 | |
| Trichoptera | Drusus discolor | 3 |
| Grammotaulius submaculatus | 3 | |
| Pseudopsilopteryx zimmeri | 3 |
Disclaimer/Publisher’s Note: The statements, opinions and data contained in all publications are solely those of the individual author(s) and contributor(s) and not of MDPI and/or the editor(s). MDPI and/or the editor(s) disclaim responsibility for any injury to people or property resulting from any ideas, methods, instructions or products referred to in the content. |
© 2025 by the authors. Licensee MDPI, Basel, Switzerland. This article is an open access article distributed under the terms and conditions of the Creative Commons Attribution (CC BY) license (https://creativecommons.org/licenses/by/4.0/).
Share and Cite
Langheinrich, U.; Smith, K.E.C.; Arevalo, J.R.; Schwarz, F.; Lüderitz, V. Recovery of Streams in the Harz National Park (Germany)—The Attenuation of Acidification. Ecologies 2025, 6, 13. https://doi.org/10.3390/ecologies6010013
Langheinrich U, Smith KEC, Arevalo JR, Schwarz F, Lüderitz V. Recovery of Streams in the Harz National Park (Germany)—The Attenuation of Acidification. Ecologies. 2025; 6(1):13. https://doi.org/10.3390/ecologies6010013
Chicago/Turabian StyleLangheinrich, Uta, Kilian E. C. Smith, Jose Ramon Arevalo, Fabian Schwarz, and Volker Lüderitz. 2025. "Recovery of Streams in the Harz National Park (Germany)—The Attenuation of Acidification" Ecologies 6, no. 1: 13. https://doi.org/10.3390/ecologies6010013
APA StyleLangheinrich, U., Smith, K. E. C., Arevalo, J. R., Schwarz, F., & Lüderitz, V. (2025). Recovery of Streams in the Harz National Park (Germany)—The Attenuation of Acidification. Ecologies, 6(1), 13. https://doi.org/10.3390/ecologies6010013

