Photoluminescent Copper Nanoclusters in “Turn-Off/Turn-On” Sensing of Picric Acid/Hydrogen Peroxide
Abstract
1. Introduction
2. Experiment
2.1. Materials
2.2. Synthesis
2.3. PA Detection
2.4. H2O2 Detection
3. Results and Discussion
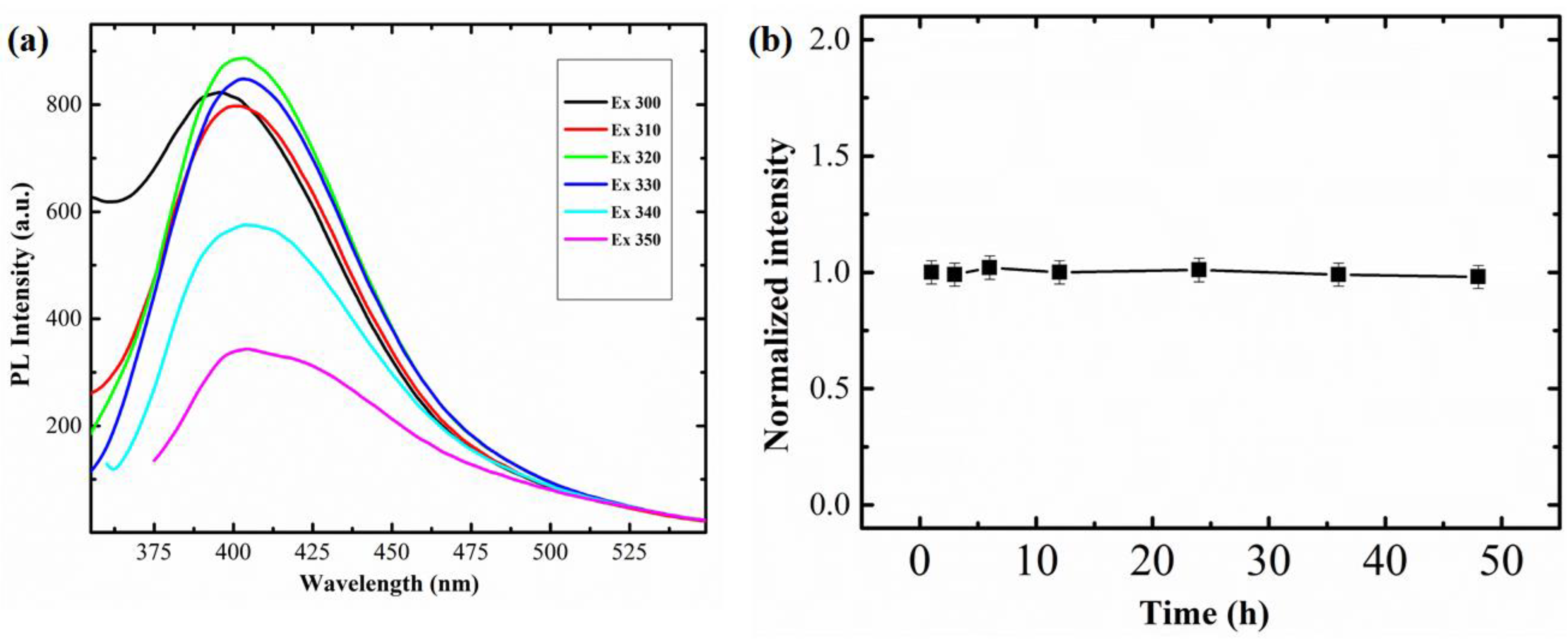
3.1. Photoluminescence Study
| Material | Limit of Detection | References |
|---|---|---|
| GQDs | 0.09 μM | [54] |
| N-GQDs | 0.92 μM | [55] |
| Reduced graphene oxide | 0.537 μM | [24] |
| Carbon dots | 51 nM | [56] |
| Amine-capped carbon dots | 1 μM | [57] |
| Lys-CdS QDs | 0.1 μM | [58] |
| Silver nanoclusters | 0.1 nM | [59] |
| Silver nanoclusters/DNA hybrids | 5.2 pM | [60] |
| Cys-CuNCs | 0.19 μM | [29] |
| BSA@CuNCs | 60 nm | This work |
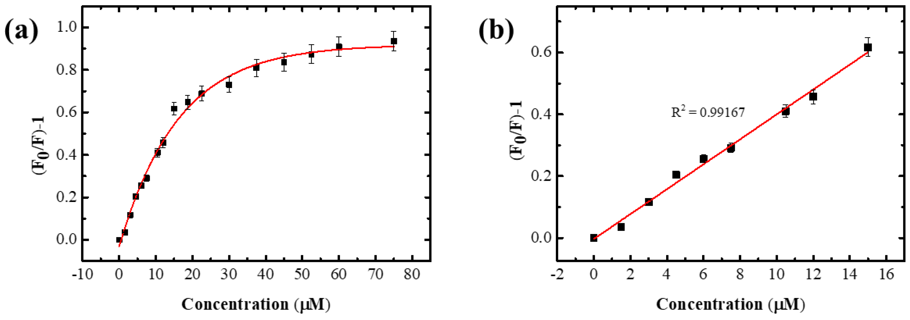
3.2. Detection of PA in Water Samples
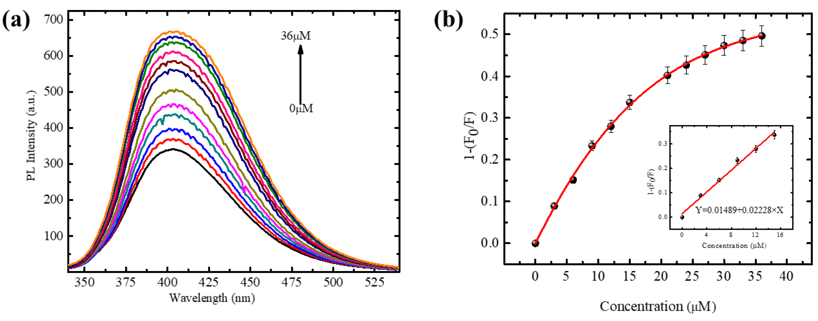
3.3. Turn-on–Based Sensing of H2O2
4. Conclusions
Author Contributions
Funding
Institutional Review Board Statement
Informed Consent Statement
Data Availability Statement
Acknowledgments
Conflicts of Interest
References
- Shang, L.; Dong, S.; Nienhaus, G. Ultra-small fluorescent metal nanoclusters: Synthesis and biological applications. Nano Today 2011, 6, 401–418. [Google Scholar] [CrossRef]
- Tao, Y.; Li, M.; Ren, J.; Qu, X. Metal nanoclusters: Novel probes for diagnostic and therapeutic applications. Chem. Soc. 2015, 44, 8636–8663. [Google Scholar]
- Bigdeli, A.; Ghasemi, F.; Golmohammadi, H.; Abbasi-Moayed, S.; Nejad MA, F.; Fahimi-Kashani, N.; Hormozi-Nezhad, M.R. Nanoparticle-based optical sensor arrays. Nanoscale 2017, 9, 16546–16563. [Google Scholar] [CrossRef] [PubMed]
- Liu, S.; Lu, F.; Zhu, J.-J. Highly fluorescent Ag nanoclusters: Microwave-assisted green synthesis and Cr3+ sensing. Chem. Commun. 2011, 47, 2661–2663. [Google Scholar] [CrossRef]
- Yuan, X.; Luo, Z.; Zhang, Q.; Zhang, X.; Zheng, Y.; Lee, J.Y.; Xie, J. Synthesis of highly fluorescent metal (Ag, Au, Pt, and Cu) nanoclusters by electrostatically induced reversible phase transfer. ACS Nano 2011, 5, 8800–8808. [Google Scholar] [CrossRef]
- Sun, J.; Jin, Y. Fluorescent Au nanoclusters: Recent progress and sensing applications. J. Mater. Chem. 2014, 2, 8000–8011. [Google Scholar]
- Wen, F.; Dong, Y.; Feng, L.; Wang, S.; Zhang, S.; Zhang, X. Horseradish peroxidase functionalized fluorescent gold nanoclusters for hydrogen peroxide sensing. Anal. Chem. 2011, 83, 1193–1196. [Google Scholar] [CrossRef]
- Shang, L.; Dong, S. Silver nanocluster-based fluorescent sensors for sensitive detection of Cu (II). J. Mater. Chem. 2008, 18, 4636–4640. [Google Scholar] [CrossRef]
- Hu, X.; Liu, T.; Zhuang, Y.; Wang, W.; Li, Y.; Fan, W.; Huang, Y. Recent advances in the analytical applications of copper nanoclusters. Trends Anal. Chem. 2016, 77, 66–75. [Google Scholar]
- Ghosh, S.; Das, N.K.; Anand, U.; Mukherjee, S. Photostable copper nanoclusters: Compatible forster resonance energy-transfer assays and a nanothermometer. J. Phys. Chem. Lett. 2015, 6, 1293–1298. [Google Scholar] [CrossRef]
- Cauzzi, D.; Pattacini, R.; Delferro, M.; Dini, F.; Di Natale, C.; Paolesse, R.; Bonacchi, S.; Montalti, M.; Zaccheroni, N.; Calvaresi, M. Temperature-Dependent Fluorescence of Cu5 Metal Clusters: A Molecular Thermometer. Angew. Chem. Int. Ed. Engl. 2012, 51, 9662–9665. [Google Scholar] [CrossRef] [PubMed]
- Das, N.K.; Ghosh, S.; Priya, A.; Datta, S.; Mukherjee, S. Luminescent copper nanoclusters as a specific cell-imaging probe and a selective metal ion sensor. J. Phys. Chem. C 2015, 119, 24657–24664. [Google Scholar] [CrossRef]
- Zhang, W.J.; Liu, S.G.; Han, L.; Ling, Y.; Liao, L.L.; Mo, S.; Luo, H.Q.; Li, N.B. Copper nanoclusters with strong fluorescence emission as a sensing platform for sensitive and selective detection of picric acid. Anal. Methods 2018, 10, 4251–4256. [Google Scholar]
- Rajamanikandan, R.; Ilanchelian, M. Fluorescence sensing approach for high specific detection of 2, 4, 6-trinitrophenol using bright cyan blue color-emittive poly (vinylpyrrolidone)-supported copper nanoclusters as a fluorophore. ACS Omega 2018, 3, 18251–18257. [Google Scholar] [PubMed]
- Li, H.; Chang, J.; Hou, T.; Ge, L.; Li, F. A facile, sensitive, and highly specific trinitrophenol assay based on target-induced synergetic effects of acid induction and electron transfer towards DNA-templated copper nanoclusters. Talanta 2016, 160, 475–480. [Google Scholar] [CrossRef]
- Wang, Z.; Chen, B.; Rogach, A.L. Synthesis, optical properties and applications of light-emitting copper nanoclusters. Nanoscale Horiz. 2017, 2, 135–146. [Google Scholar]
- Han, A.; Xiong, L.; Hao, S.; Yang, Y.; Li, X.; Fang, G.; Liu, J.; Pei, Y.; Wang, S. Highly bright self-assembled copper nanoclusters: A novel photoluminescent probe for sensitive detection of histamine. Anal. Chem. 2018, 90, 9060–9067. [Google Scholar] [CrossRef]
- Chauhan, C.; Bhardwaj, V.; Sahoo, S.K. Sequential detection of vitamin B6 cofactors and nitroaromatics by using albumin-stabilized fluorescent copper nanoclusters. Microchem. J. 2021, 170, 106778. [Google Scholar]
- Sabzalipoor, H.; Karimi, E.; Nikkhah, M.; Abbasian, S.; Moshaii, A. Metal enhanced fluorescence of different metallic nanoclusters deposited on silver dendritic nanostructures. Micro Nano Lett. 2022, 17, 114–123. [Google Scholar] [CrossRef]
- Devaraj, V.; Lee, J.-M.; Kim, Y.-J.; Jeong, H.; Oh, J.-W. Engineering Efficient Self-Assembled Plasmonic Nanostructures by Configuring Metallic Nanoparticle’s Morphology. Int. J. Mol. Sci. 2021, 22, 10595. [Google Scholar] [CrossRef]
- Dong, M.; Wang, Y.W.; Zhang, A.J.; Peng, Y. Colorimetric and Fluorescent Chemosensors for the Detection of 2, 4, 6-Trinitrophenol and Investigation of their Co-Crystal Structures. Chem. Asian 2013, 8, 1321–1330. [Google Scholar] [CrossRef] [PubMed]
- Ma, Y.; Li, H.; Peng, S.; Wang, L. Highly selective and sensitive fluorescent paper sensor for nitroaromatic explosive detection. Anal. Chem. 2012, 84, 8415–8421. [Google Scholar] [CrossRef] [PubMed]
- Liu, S.; Shi, F.; Chen, L.; Su, X. Bovine serum albumin coated CuInS2 quantum dots as a near-infrared fluorescence probe for 2, 4, 6-trinitrophenol detection. Talanta 2013, 116, 870–875. [Google Scholar] [CrossRef] [PubMed]
- Dinda, D.; Gupta, A.; Shaw, B.K.; Sadhu, S.; Saha, S.K. Highly selective detection of trinitrophenol by luminescent functionalized reduced graphene oxide through FRET mechanism. ACS Appl. Mater. 2014, 6, 10722–10728. [Google Scholar] [CrossRef] [PubMed]
- Nagarkar, S.S.; Desai, A.V.; Samanta, P.; Ghosh, S.K. Aqueous phase selective detection of 2, 4, 6-trinitrophenol using a fluorescent metal–organic framework with a pendant recognition site. Dalton Trans. 2015, 44, 15175–15180. [Google Scholar] [CrossRef]
- Patel, R.; Bothra, S.; Kumar, R.; Crisponi, G.; Sahoo, S.K. Pyridoxamine driven selective turn-off detection of picric acid using glutathione stabilized fluorescent copper nanoclusters and its applications with chemically modified cellulose strips. Biosens. Bioelectron. 2018, 102, 196–203. [Google Scholar] [CrossRef]
- Xu, B.; Wu, X.; Li, H.; Tong, H.; Wang, L. Selective detection of TNT and picric acid by conjugated polymer film sensors with donor–acceptor architecture. Macromolecules 2011, 44, 5089–5092. [Google Scholar] [CrossRef]
- Kaur, S.; Bhalla, V.; Vij, V.; Kumar, M. Fluorescent aggregates of hetero-oligophenylene derivative as “no quenching” probe for detection of picric acid at femtogram level. J. Mater. Chem. 2014, 2, 3936–3941. [Google Scholar]
- Shanmugaraj, K.; John, S.A. Inner filter effect based selective detection of picric acid in aqueous solution using green luminescent copper nanoclusters. New J. Chem. 2018, 42, 7223–7229. [Google Scholar] [CrossRef]
- Buragohain, A.; Yousufuddin, M.; Sarma, M.; Biswas, S. 3D luminescent amide-functionalized cadmium tetrazolate framework for selective detection of 2, 4, 6-trinitrophenol. Cryst. Growth Des. 2016, 16, 842–851. [Google Scholar] [CrossRef]
- Peng, Y.; Zhang, A.-J.; Dong, M.; Wang, Y.-W. A colorimetric and fluorescent chemosensor for the detection of an explosive—2, 4, 6-trinitrophenol (TNP). Chem. Commun. 2011, 47, 4505–4507. [Google Scholar] [CrossRef] [PubMed]
- Thorne, P.G.; Jenkins, T.F. A field method for quantifying ammonium picrate and picric acid in soil. Field Anal. Chem. Technol. 1997, 1, 165–170. [Google Scholar] [CrossRef]
- Barron, L.; Gilchrist, E. Ion chromatography-mass spectrometry: A review of recent technologies and applications in forensic and environmental explosives analysis. Anal. Chim. Acta 2014, 806, 27–54. [Google Scholar] [CrossRef] [PubMed]
- Badjagbo, K.; Sauvé, S. High-throughput trace analysis of explosives in water by laser diode thermal desorption/atmospheric pressure chemical ionization-tandem mass spectrometry. Anal. Chem. 2012, 84, 5731–5736. [Google Scholar] [CrossRef]
- Dasary, S.S.; Singh, A.K.; Senapati, D.; Yu, H.; Ray, P.C. Gold nanoparticle based label-free SERS probe for ultrasensitive and selective detection of trinitrotoluene. J. Am. Chem. Soc. 2009, 131, 13806–13812. [Google Scholar] [CrossRef]
- Lopez-Lopez, M.; Garcia-Ruiz, C. Infrared and Raman spectroscopy techniques applied to identification of explosives. Trends Anal. Chem. 2014, 54, 36–44. [Google Scholar] [CrossRef]
- Wells, K.; Bradley, D. A review of X-ray explosives detection techniques for checked baggage. Appl. Radiat. Isot. 2012, 70, 1729–1746. [Google Scholar] [CrossRef]
- Berg, M.; Bolotin, J.; Hofstetter, T.B. Compound-specific nitrogen and carbon isotope analysis of nitroaromatic compounds in aqueous samples using solid-phase microextraction coupled to GC/IRMS. Anal. Chem. 2007, 79, 2386–2393. [Google Scholar] [CrossRef]
- Vourvopoulos, G.; Womble, P. Pulsed fast/thermal neutron analysis: A technique for explosives detection. Talanta 2001, 54, 459–468. [Google Scholar] [CrossRef]
- Bao, Z.; Zhang, K.; Jian, J.; Hu, Z.; Yuan, K.; Shao, H.; Peng, K.; Jiang, Z.; Zapien, J.A.; Yan, Y. Strongly fluorescent cysteamine-coated copper nanoclusters as a fluorescent probe for determination of picric acid. Mikrochim. Acta 2018, 185, 1–7. [Google Scholar] [CrossRef]
- Yu, C.; Wang, L.; Li, W.; Zhu, C.; Bao, N.; Gu, H. Detection of cellular H2O2 in living cells based on horseradish peroxidase at the interface of Au nanoparticles decorated graphene oxide. Sens. Actuators B Chem. 2015, 211, 17–24. [Google Scholar] [CrossRef]
- Zhang, J.; Liu, X.; Zhou, J.; Huang, X.; Xie, D.; Ni, J.; Ni, C. Carbon dots derived from algae as H 2 O 2 sensors: The importance of nutrients in biomass. Nanoscale Adv. 2019, 1, 2151–2156. [Google Scholar] [CrossRef] [PubMed]
- Wei, C.; Liu, Y.; Li, X.; Zhao, J.; Ren, Z.; Pang, H. Nitrogen-Doped Carbon–Copper Nanohybrids as Electrocatalysts in H2O2 and Glucose Sensing. ChemElectroChem 2014, 1, 799–807. [Google Scholar] [CrossRef]
- Linley, E.; Denyer, S.P.; McDonnell, G.; Simons, C.; Maillard, J.-Y. Use of hydrogen peroxide as a biocide: New consideration of its mechanisms of biocidal action. J. Antimicrob. Chemother. 2012, 67, 1589–1596. [Google Scholar] [CrossRef]
- Xie, F.; Cao, X.; Qu, F.; Asiri, A.M.; Sun, X. Cobalt nitride nanowire array as an efficient electrochemical sensor for glucose and H2O2 detection. Sens. Actuators B Chem. 2018, 255, 1254–1261. [Google Scholar] [CrossRef]
- Ding, Y.; Yang, B.; Liu, H.; Liu, Z.; Zhang, X.; Zheng, X.; Liu, Q. FePt-Au ternary metallic nanoparticles with the enhanced peroxidase-like activity for ultrafast colorimetric detection of H2O2. Sens. Actuators B Chem. 2018, 259, 775–783. [Google Scholar] [CrossRef]
- Hu, L.; Yuan, Y.; Zhang, L.; Zhao, J.; Majeed, S.; Xu, G. Copper nanoclusters as peroxidase mimetics and their applications to H2O2 and glucose detection. Anal. Chim. Acta 2013, 762, 83–86. [Google Scholar] [CrossRef]
- Liu, H.; Ding, Y.; Yang, B.; Liu, Z.; Liu, Q.; Zhang, X. Colorimetric and ultrasensitive detection of H2O2 based on Au/Co3O4-CeOx nanocomposites with enhanced peroxidase-like performance. Sens. Actuators B Chem. 2018, 271, 336–345. [Google Scholar] [CrossRef]
- Carter, D.C.; Ho, J.X. Structure of serum albumin. In Advances in Protein Chemistry; Elsevier: Amsterdam, The Netherlands, 1994; Volume 45, pp. 153–203. [Google Scholar]
- Singh, A.V.; Bandgar, B.M.; Kasture, M.; Prasad, B.; Sastry, M. Synthesis of gold, silver and their alloy nanoparticles using bovine serum albumin as foaming and stabilizing agent. J. Mater. Chem. 2005, 15, 5115–5121. [Google Scholar] [CrossRef]
- Singh, A.; Patil, R.; Kasture, M.; Gade, W.; Prasad, B. Synthesis of Ag–Pt alloy nanoparticles in aqueous bovine serum albumin foam and their cytocompatibility against human gingival fibroblasts. Colloids Surf. B 2009, 69, 239–245. [Google Scholar] [CrossRef]
- Huang, P.; Li, Z.; Hu, H.; Cui, D. Synthesis and characterization of bovine serum albumin-conjugated copper sulfide nanocomposites. J. Nanomater. 2010, 33, 1–6. [Google Scholar] [CrossRef]
- Lakowicz, J.R. (Ed.) Principles of Fluorescence Spectroscopy; Springer: Boston, MA, USA, 2006. [Google Scholar]
- Li, Z.; Wang, Y.; Ni, Y.; Kokot, S. A sensor based on blue luminescent graphene quantum dots for analysis of a common explosive substance and an industrial intermediate, 2, 4, 6-trinitrophenol. Spectrochim. Acta A Mol. Biomol. Spectrosc. 2015, 137, 1213–1221. [Google Scholar] [CrossRef] [PubMed]
- Kaur, M.; Mehta, S.K.; Kansal, S.K. A fluorescent probe based on nitrogen doped graphene quantum dots for turn off sensing of explosive and detrimental water pollutant, TNP in aqueous medium. Spectrochim. Acta A Mol. Biomol. Spectrosc. 2017, 180, 37–43. [Google Scholar] [CrossRef]
- Fan, Y.Z.; Zhang, Y.; Li, N.; Liu, S.G.; Liu, T.; Li, N.B.; Luo, H.Q. A facile synthesis of water-soluble carbon dots as a label-free fluorescent probe for rapid, selective and sensitive detection of picric acid. Sens. Actuators B Chem. 2017, 240, 949–955. [Google Scholar] [CrossRef]
- Niu, Q.; Gao, K.; Lin, Z.; Wu, W. Amine-capped carbon dots as a nanosensor for sensitive and selective detection of picric acid in aqueous solution via electrostatic interaction. Anal. Methods 2013, 5, 6228–6233. [Google Scholar] [CrossRef]
- Na, W.; Liu, X.; Pang, S.; Su, X. Highly sensitive detection of 2, 4, 6-trinitrophenol (TNP) based on lysozyme capped CdS quantum dots. RSC Adv. 2015, 5, 51428–51434. [Google Scholar] [CrossRef]
- Zhang, J.R.; Yue, Y.Y.; Luo, H.Q.; Li, N.B. Supersensitive and selective detection of picric acid explosive by fluorescent Ag nanoclusters. Analyst 2016, 141, 1091–1097. [Google Scholar] [CrossRef]
- Wang, Z.; Chen, B.; Rogach, A.L. Ag nanocluster/DNA hybrids: Functional modules for the detection of nitroaromatic and RDX explosives. Nano Lett. 2014, 14, 4918–4922. [Google Scholar]









| Sample | Ʈ1 (ns) | Ʈ2 (ns) | Ʈ3 (ns) | Average Lifetime (ns) |
|---|---|---|---|---|
| BSA@CuNCs | 0.1790 | 1.3069 | 11.5230 | 7.58 |
| BSA@CuNCs + 15 μM PA | 0.1711 | 1.3769 | 9.3764 | 6.23 |
| BSA@CuNCs + 30 μM PA | 0.1482 | 1.1923 | 5.1052 | 1.86 |
| PA | Addition (µm) | Detection (µm) | Recovery (%) | RSD (%) | |
|---|---|---|---|---|---|
| Tap water | 0 | 10.0 | 9.8 ± 0.4 | 98.5 | 1.56 |
| 0 | 20.0 | 19.8 ± 0.3 | 99.1 | 1.26 | |
| 0 | 30.0 | 30.9 ± 0.8 | 103.0 | 3.82 |
Disclaimer/Publisher’s Note: The statements, opinions and data contained in all publications are solely those of the individual author(s) and contributor(s) and not of MDPI and/or the editor(s). MDPI and/or the editor(s) disclaim responsibility for any injury to people or property resulting from any ideas, methods, instructions or products referred to in the content. |
© 2023 by the authors. Licensee MDPI, Basel, Switzerland. This article is an open access article distributed under the terms and conditions of the Creative Commons Attribution (CC BY) license (https://creativecommons.org/licenses/by/4.0/).
Share and Cite
Singh, R.; Gupta, S.; Bharty, M.K.; Tripathi, C.S.P.; Guin, D. Photoluminescent Copper Nanoclusters in “Turn-Off/Turn-On” Sensing of Picric Acid/Hydrogen Peroxide. Sustain. Chem. 2023, 4, 224-235. https://doi.org/10.3390/suschem4020017
Singh R, Gupta S, Bharty MK, Tripathi CSP, Guin D. Photoluminescent Copper Nanoclusters in “Turn-Off/Turn-On” Sensing of Picric Acid/Hydrogen Peroxide. Sustainable Chemistry. 2023; 4(2):224-235. https://doi.org/10.3390/suschem4020017
Chicago/Turabian StyleSingh, Renuka, Seema Gupta, Manoj Kumar Bharty, Chandra Shekhar Pati Tripathi, and Debanjan Guin. 2023. "Photoluminescent Copper Nanoclusters in “Turn-Off/Turn-On” Sensing of Picric Acid/Hydrogen Peroxide" Sustainable Chemistry 4, no. 2: 224-235. https://doi.org/10.3390/suschem4020017
APA StyleSingh, R., Gupta, S., Bharty, M. K., Tripathi, C. S. P., & Guin, D. (2023). Photoluminescent Copper Nanoclusters in “Turn-Off/Turn-On” Sensing of Picric Acid/Hydrogen Peroxide. Sustainable Chemistry, 4(2), 224-235. https://doi.org/10.3390/suschem4020017

