Next Article in Journal
C60/CZTS Junction Combination to Improve the Efficiency of CZTS-Based Heterostructure Solar Cells: A Numerical Approach
Previous Article in Journal
Recent Advances of Conductive Hydrogels for Flexible Electronics
 
 
Due to scheduled maintenance work on our servers, there may be short service disruptions on this website between 11:00 and 12:00 CEST on March 28th.
Font Type:
Arial Georgia Verdana
Font Size:
Aa Aa Aa
Line Spacing:
Column Width:
Background:
Article

Alternative Measurement Approach for the Evaluation of Hot-Electron Degradation in p-GaN Gate AlGaN/GaN Power HEMTs

by
Marcello Cioni
1,*,
Giovanni Giorgino
1,2,
Alessandro Chini
2,
Antonino Parisi
1,
Giacomo Cappellini
1,
Cristina Miccoli
1,
Maria Eloisa Castagna
1,
Cristina Tringali
1 and
Ferdinando Iucolano
1
1
STMicroelectronics, Stradale Primosole n. 50, 95121 Catania, Italy
2
Department of Engineering “Enzo Ferrari”, University of Modena and Reggio Emilia, Via P. Vivarelli 10, 41125 Modena, Italy
*
Author to whom correspondence should be addressed.
Electron. Mater. 2024, 5(3), 132-144; https://doi.org/10.3390/electronicmat5030009
Submission received: 26 April 2024 / Revised: 12 June 2024 / Accepted: 22 July 2024 / Published: 23 July 2024

Abstract

In this paper, a new method for evaluating hot-electron degradation in p-GaN gate AlGaN/GaN power HEMTs is proposed. The method exploits a commercial parameter analyzer to study VTH and RON drifts induced by on-state stress at VDS = 50 V. The results show that VTH drift and part of the RON degradation induced by the on-state stress are recoverable and likely due to the ionization of C-related acceptors in the buffer. This was confirmed by a preliminary characterization of C-related buffer traps. Conversely, the remaining part of RON degradation (not recovered in 1000 s) was strongly affected by the surface treatment. The current level set during on-state stress affected the amount of non-recoverable degradation, confirming the involvement of hot electrons. Thanks to the monitoring of the parameters’ recovery, the proposed method provides important insights into the physical mechanisms governing the parameters’ degradation. This extends the capabilities of state-of-the art systems, without the need for custom setup development.

1. Introduction

Gallium-nitride (GaN) devices are emerging as a superior alternative to traditional silicon transistors in power-switching applications, primarily due to their exceptional ability to handle high currents and voltages [1,2]. The unique properties of GaN, such as wide bandgap, high electron mobility, and high thermal conductivity, make it an attractive material for next-generation power electronics. These features enable GaN devices to operate at higher efficiencies, frequencies, and temperatures than silicon-based counterparts, which is crucial for applications ranging from renewable energy systems to electric vehicles.
Despite their potential, GaN devices are currently facing challenges that impede their optimal performance. One of the most significant issues is the instability of the threshold voltage (VTH) and the degradation of the dynamic on-resistance (RON) [3,4]. These limitations prevent GaN devices from achieving their anticipated performance levels, thus necessitating further research and development.
When GaN transistors are used in power switching converters, the most detrimental trap-related effect observed is the increase in dynamic RON beyond its static DC value. This leads to an undesirable rise in power losses [5].
This dynamic RON can be attributed to various factors. For instance, carbon dopants introduced into the GaN buffer layer to enhance the blocking voltage [6] may introduce undesired trap states. These traps become ionized under high drain voltages (VDS) in the off-state [7], leading to the exposure of negative charges that can partially deplete the two-dimensional electron gas (2-DEG), resulting in an increased RON when the device is switched back on.
However, buffer traps are not the only culprits contributing to dynamic RON. Surface states can similarly affect the on-state resistance. In fact, both buffer [8] and surface traps [9] are susceptible to ionization by high off-state drain voltages and hot-carrier effects. These issues are particularly pronounced under hard-switching (HS) conditions [10], where the simultaneous presence of high voltage and current during transitions exacerbates degradation due to self-heating and hot electrons [11].
The cumulative impact of these effects, along with off-state degradation mechanisms, leads to a significant drift in the device’s parameters. This highlights the importance of investigating the physical mechanisms responsible for device degradation, especially in HS operational modes. In this scenario, differentiating between hot-electron effects and off-state trapping/de-trapping mechanisms is rather challenging. Custom pulsed I–V (PIV) measurement setups are often used for this purpose [10,11,12] and several approaches have been proposed in the literature with this aim. For instance, a resistive load with a parallel capacitance connected to the device under test (DUT) was utilized to mimic the HS trajectory in [12], while a current limiting circuit was used in [10] to control the off/on transitions at high drain voltages. An alternative approach involves commercial pulsed IV systems, but these can be prohibitively expensive and not readily available in smaller research centers.
In this work, we propose an alternative method to investigate hot electron effects using a commercially available parameter analyzer. The concept is rather simple: hot electron effects can be examined through fast on-state stress tests at high voltages [13], thereby avoiding self-heating effects and dynamic RON increases due to off-state stress that are typically observed after relatively long stress times [14,15].
This hot electron trapping mechanism could occur within the GaN buffer or at the device’s surface [13], highlighting the need to distinguish these contributions to accurately understand the underlying physics. In this framework, the proposed method serves as a powerful tool since, by monitoring parameter recovery after stress, it can provide more insights on trap dynamics. Additionally, preliminary characterization under static off-state stress [16] is used to determine the extent of degradation without hot-electron involvement, providing a baseline for comparison and validation of the proposed methodology.
In conclusion, advancing GaN technology is pivotal for the evolution of power electronics. By addressing the challenges of threshold voltage instability and dynamic RON degradation, we can unlock the full potential of GaN devices. The methods and approaches discussed here are instrumental in pushing the boundaries of GaN device performance, paving the way for more efficient and reliable power-switching applications that will benefit a wide array of industries.
The paper is organized as follows. Section 2 reports a description of DUTs, while Section 3 shows a preliminary characterization used to put in evidence the role of buffer traps. Then, Section 4 shows the results obtained under PIV characterization. The proposed approach is described in Section 5, while in Section 6 we present the experimental results obtained. Finally, conclusions are drawn in Section 7.

2. Device Description

DUTs were 100 V AlGaN/GaN HEMTs grown on silicon substrate. Normally off operation was obtained by means of a Schottky p-GaN gate structure, while the GaN buffer was carbon (C) doped to obtain a semi-insulating layer [17]. The gate width (WG) was 0.4 mm, while the gate length (LG) was <1 µm. The gate-source (LGS) and gate-drain (LGD) distance were <1 µm and <2 µm, respectively (see Figure 1). Prior to AlGaN surface passivation, two plasma-based surface treatments with different recipes were considered, namely Type A and Type B, whose details cannot be disclosed due to confidentiality reasons.

3. Preliminary Characterization

In order to have some preliminary information on the degradation mechanisms that could affect the DUTs, we carried out static off-state stress tests according to the sequence shown in Figure 2.
The stress/measurement sequence is rather simple. First, the fresh current level (ID0) is acquired at VDS = 0.5 V, VGS = 6 V to set a reference value for this parameter. Then, a static off-state stress is applied to the DUT for 1000 s with VDS,off = 25 V and VGS,off = 0 V. This stress time was sufficient to induce a steady-state degradation of the tested samples, since a further increase in the stress time beyond 1000 s was not producing any further current collapse. After the stress phase, a 1000 s measurement time was employed to monitor the on-state current recovery after the stress removal. In this phase, VDS,recovery was set to 0.5 V, while VGS,recovery was fixed to 6 V to bias the DUT in its linear region. This VGS,recovery value (i.e., 6 V) was chosen in order to bias the DUT in a typical application condition, since tested devices are commonly turned on at VGS = 6 V to correctly operate in their linear region. A logarithmic sampling rate was used to acquire the current evolution over several time decades [18]. To this end, the rapid block mode acquisition of the digital sampling oscilloscope (DSO) was used, exploiting the segmented memory of the instrument. Particularly, during the recovery monitoring, the first point was acquired about 25 ms after the stress removal.
The measurements were performed at different base plate temperatures in order to evaluate the temperature effect on the dynamics of the current recovery transients (see Figure 3). Accordingly, the choice of such a low voltage (VDS,off = 25 V) was important to reduce the electric field impact on the traps capture/emission process, thus limiting any E-field impact on the time constant extraction.
This technique is typically employed to investigate the physics governing trap states in semiconductor devices and is functional to understand the nature of traps ionized by static off-state stress. The information acquired at this step will be important to debug the method proposed in Section 5.
As we can see by looking at Figure 3, the degradation induced by the static off-state stress was completely recoverable and the recovery transients took about 1000 s to reach its steady state at 30 °C. Moreover, the current recovery transients sped up while increasing the base-plate temperature, consistent with a thermally activated charge emission process [19]. In order to gain physics insights on the trap states involved, we fitted the current transients by means of stretched exponential functions [20,21] and we extracted the transients time constant in correspondence to the peak of the derivative signals reported in Figure 4. Moreover, the derivative peak provided an indication on the transient amplitude, showing good consistency with the data reported in Figure 3.
The emission time constant extracted was then used to reconstruct the Arrhenius plot shown in Figure 5, according to the logarithmic form of the Arrhenius equation [22]. To verify the involvement of buffer traps, the Arrhenius plot obtained in this work was compared to the one reported in a previous paper in which the trapping/de-trapping mechanism was associated with the ionization of carbon-related acceptors in the buffer layer [23].
The fact that similar slopes and coordinates were obtained in the Arrhenius plots of Figure 5 suggests that the trapping mechanism responsible for RON degradation was likely to be the same. Moreover, we extracted activation energy (EA) and the trap’s cross section (σ) from the slope of the linear fit of the points in the Arrhenius plot and from the intercept with the y-axis, respectively. The values extracted were EA = 0.61 eV and σ = 1.7 × 10−18 cm2. These values are totally consistent with those extracted from the points in [23] (i.e., EA= 0.63 eV and σ = 3 × 10−18 cm2). It is true that capture cross sections in the range between 1 × 10−16 cm2 and 5 × 10−19 cm2 have also been reported for interface states in [24]. However, it is the combination of EA and σ that defines the traps states involved and the cross section by itself is not sufficient to fully describe the trapping mechanism. Concerning this point, a similar combination of EA and σ was reported in [25] in which EA = 0.61 eV and σ = 5.5 × 10−18 cm2 have been extracted. In [25], this combination of EA and σ was demonstrated to be related to the emission of holes from carbon-related acceptors in the GaN buffer. Accordingly, the current collapse induced by the applied off-state stress in this work could be associated with the ionization of carbon acceptors in the buffer layer [25,26,27], as suggested by previous literature [23], and the current recovery observed in the following 1000 s can be ascribed to the redistribution of charges in the GaN buffer, restoring the 2-DEG conductivity [28]. Identical results have been observed on Type B samples (not shown), indicating that the degradation mechanism occurring under off-state stress conditions is the same among the two devices. This is totally consistent with the fact that the current collapse induced with static stress is due to carbon traps in the buffer, since the buffer design is the same for Type A and Type B samples. This result already provides an interesting picture of the physical mechanism affecting the device behavior under static off-state stress. Nevertheless, we wanted to test the device’s behavior under switch-mode conditions, for two important reasons: (i) this condition is closer to the final operative scenario of the DUTs; and (ii) in this way we could evaluate hot-carrier effects, since hot electrons could come into play during transitions led at non-zero current. For this reason, pulsed I–V characterization under both soft-switching and hard-switching conditions was needed to correctly benchmark the technique proposed in Section 5 for hot-electron characterization.

4. Pulsed I–V Characterization

To have a mean of comparison for the proposed technique, pulsed I–V characterization was first performed on the DUTs. To this end, a stress/measurement sequence was implemented with the AM200 PIV system by AMCAD (see Figure 6). The AM200 system was then connected to the probe station to perform the pulsed I–V characterization on 8-inch wafers.
Before starting the stress phase (1), the fresh ID-VGS characteristic was reconstructed by means of a sequence of gate pulses (2 μs) ranging from 0 V and 6 V, while the device’s VDS was at VDS,on = 0.5 V. Then, a 1000 s stress was performed at VDS = VDS,off, VGS,off = 0 V. During the stress, the device was periodically turned on with a 100 µs switching period and 2% duty cycle to mimic conventional switch mode operation. After the stress (2), the gate voltage was pulsed again to capture the stressed ID-VGS characteristics. At the same time, the drain voltage was briefly pulsed to VDS = VDS,on with short (2 µs) on-state time intervals separated by 100 µs off-state biasing. During this off-state time, the stress voltage (VDS,off) was still applied to the DUT, to reduce the parameters recovery.
The stress/measurement sequence just described was then used to characterize Type A and Type B devices under both soft- (SS) and hard-switching (HS) mode (see Figure 7).
Particularly, SS conditions were first considered, in which the high/low and low/high VDS transitions were performed at zero current. This condition is meaningful for some key applications (e.g., LLC resonant converters) in which the transistors used as switches experience this kind of switching trajectory.
The results obtained under SS mode are shown in Figure 8.
Similar results were obtained for Type A and Type B devices under SS mode operation. This suggests that the different surface treatments employed do not significantly affect the dynamic-RON under off-state stress conditions if SS mode is considered. In fact, in this operative mode, buffer traps are expected to be dominant, as already highlighted by the preliminary characterization in Section 3. On the other hand, the role of surface traps may be more evident under HS mode, in which hot electrons may come into play.
Accordingly, we performed the same characterization under HS mode conditions, for which the results obtained are reported in Figure 9.
Looking at Figure 9, we can clearly see that the results obtained under HS conditions present a larger degradation in both VTH and RON parameters (see Figure 8 for comparison). This means that transitions performed at relatively high voltage and current levels introduce additional drifts that could be due to hot carriers’ effects. Particularly, a different behavior was observed for Type A and Type B devices. In fact, the Type A device presented a fully collapsed current after 1000 s stress, stemming from a larger degradation with respect to the Type B device. The fact that different behaviors were observed for Type A and Type B devices suggests the involvement of hot electrons trapping at the device’s surface, since the surface treatment was the only difference between the two device types. Our purpose was next to verify whether the same trends and conclusions could be obtained by means of the method introduced in the next section.

5. Alternative Method

The measurement sequence implemented with the B1505a parameter analyzer is schematically depicted in Figure 10.
(i)
A fresh ID-VGS curve of the DUT was measured to set a reference value for the device’s parameters. To this end, VDS was kept at 0.5 V, while VGS was swept from 0 V to 6 V to extract VTH and RON;
(ii)
The on-state stress test was performed by reconstructing a fast (~ms) ID-VGS curve at VDS = 50 V. Particularly, the VGS was rapidly increased from 0 V till a limit VGS for which the chosen current compliance (e.g., 50 mA/mm) was reached. It is important to stress the fact that the time required to sweep the VGS should be short enough to avoid second order effects and/or device failure. This is mainly related to the fact that a long on-state stress could bring the DUT out from its safe operating area (SOA) due to self-heating effects;
(iii)
The post stress ID-VGS was acquired at VDS = 0.5 V, while VGS was swept from 0 V to 6 V;
(iv)
ID was monitored for 1000 s with VDS = 0.5 V and VGS = 6 V to measure the current recovery with logarithmically spaced samples. This allowed us to evaluate the current dynamics over several time decades;
(v)
The ID-VGS curve after 1000 s recovery was acquired at VDS = 0.5 V to measure the retained degradation. An example is shown in Figure 11.
Figure 10. Measurement sequence applied for the evaluation of power devices’ degradation under on-state stress conditions.
Figure 10. Measurement sequence applied for the evaluation of power devices’ degradation under on-state stress conditions.
Electronicmat 05 00009 g010
Figure 11. Example of curves acquired during the different steps of the measurement procedure. (a) ID-VGS curves captured during Steps 1–2–3 and Step 5; (b) current recovery transient measured during Step 4.
Figure 11. Example of curves acquired during the different steps of the measurement procedure. (a) ID-VGS curves captured during Steps 1–2–3 and Step 5; (b) current recovery transient measured during Step 4.
Electronicmat 05 00009 g011
The ID-VGS measured at VDS = 50 V during Step 2 allowed us to emulate on-state stress conditions and induce the trapping of hot electrons. The curve reconstructed during this step present reduced VTH with respect to the fresh one. This effect could be explained by the drain-induced barrier lowering (DIBL) effect [29] that appears when short channel devices are biased at large drain voltages. When the current compliance is reached, the on-state stress is removed and the post-stress ID-VGS is measured, showing a positively shifted VTH and a reduced triode current. This indicates the presence of hot-electron trapping under the gate terminal and in the gate-drain access region. The ID-recovery transients monitored in the following 1000 s allowed us to capture the dynamics of traps in the buffer layer, which should present time constants in the order of several tens of seconds at 30 °C [14] (see Section 3). After this recovery time, the ID-VGS measured during Step 5 showed a completely recovered VTH, indicating that trapped electrons below the gate terminal presented time constants shorter than 1000 s. Conversely, the trapping that occurred in the gate-drain access region could be only partially recovered after 1000 s, suggesting the presence of two different mechanisms affecting the RON-degradation, whose contributions can be discerned by the proposed measurement.

6. Experimental Results and Discussion

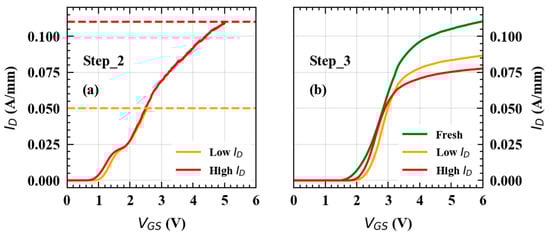
At this point, the proposed approach was applied on both type A and Type B samples, with the aim to compare DUTs featuring the same buffer design, but different surface treatment. The results obtained on Type A and Type B devices at 30 °C are shown in Figure 12.
The device featuring Type A treatment showed an evident current collapse after the application of the on-state stress (see Step 3 in Figure 12a). On the other hand, the ID-VGS curve acquired after stress for treatment B showed reduced parameter degradation, consistent with the behavior captured by PIV measurements. This evidence suggests that part of the degradation could be associated with surface traps. This is further confirmed by a reduced degradation retained after 1000 s recovery for Type B devices, stemming for the presence of an optimized surface (see Figure 12b). As highlighted previously, this retained degradation affects only the device’s RON, whereas the device’s VTH is completely recovered. This indicates that the retained current reduction after 1000 s is due to the trapping effect that takes place in the access regions. Another important aspect refers to the ID recovery transient monitored during Step 4. In fact, the ID recovery transients obtained for the two different surface treatments showed similar time constants and amplitudes (see Figure 13).
This suggests that the physical mechanism governing the recoverable degradation was the same for both devices. Moreover, the transient time constant was compatible with the one expected for buffer traps in GaN [15] (see Figure 3 for comparison). Particularly, the current reduction associated with this process could be due to the ionization of carbon acceptors that partially deplete the 2-DEG [30]. This observation is consistent with the C-doped buffer featured by the DUTs and the preliminary characterization presented in Section 3. According to this hypothesis, the recovery transient observed should be due to the redistribution of charges in the GaN buffer after the stress removal [28], which restores the 2-DEG conductivity. The fact that similar ID transient amplitudes were obtained on Type A and Type B devices is in line with the fact that the DUTs shared the same buffer design.
The different configurations that the DUTs showed during the characterization steps can be better explained thanks to the band diagram sketched in Figure 14.
During Step 1, the fresh ID-VGS characteristic is acquired and the 2DEG is formed at the AlGaN/GaN interface. C-related acceptor traps are at equilibrium and are neutral (see Figure 14a). During Step 2, the applied on-state stress yields the trapping of hot electrons at the device’s surface (i.e., at the AlGaN/SiN interface). At the same time, hot carriers favor the ionization of C-related acceptors that become negatively charged by emitting holes in the valence band. The increased negative charge at both surface and buffer layer causes the partial depletion of the 2DEG due to an upward shift of the bands (see Figure 14b). During 1000 s recovery time (Step 4), holes redistribute in the buffer and are trapped back in their previously ionized acceptor states. Accordingly, during Step 5, C-related acceptors in the buffer are neutralized and partially repopulate the 2DEG. The retained hot electrons at the surface, conversely, are still present during Step 5 and yield a not completely recovered 2DEG density (see Figure 14c). This causes a not completely recovered RON.
Another important aspect refers to the concentration of free charges that can contribute to the on-state degradation. In fact, the current level at which the on-state stress is performed could affect the probability of generating hot electrons responsible for current collapse. According to this observation, we performed the same characterization on Type B devices for two different compliance levels, shown in Figure 15.
It is important to mention that the low ID and high ID tests in Figure 15 were performed on the same device, in this order, separated by one week of time. This elapsed time between the two tests was sufficient for a complete RON recovery to its fresh value. Conversely, a slight decrease in the VTH was observed. This slight difference in VTH is still under investigation. However, VTH was still in a reasonable range and did not impact the following analysis, which is more focused on the RON behavior.
The curves reported in Figure 15b show that an increase in the current compliance yields an increased degradation induced by the on-state stress. This is consistent with the increased free carrier’s concentration. This confirms once again the involvement of hot electrons and can further help in the understanding of underlying physics [31]. To this end, a relevant indication is provided by the transients shown in Figure 16.
As we can see, the current transients obtained during Step 4 still presented similar time constants and amplitudes, indicating that an increase in the current density does not affect this process.
This is consistent with the interaction of hot electrons with buffer traps, since the trapping/de-trapping in the buffer layer does not require large current levels to be triggered. Conversely, the increased degradation observed in Figure 15b at higher compliance could be associated with the capture of hot electrons at the device surface. In fact, the hot carriers should overcome a large potential barrier to be captured in the device’s surface [12] and this makes this process more difficult. Accordingly, an increase in the current level during the high voltage stress increases the probability of the hot electrons being trapped in this region. This is confirmed by the ID-VGS curves shown in Figure 17.
The retained degradation captured after 1000 s from the stress removal increases while increasing the current compliance. As previously observed, the contributions related to buffer traps are already recovered after this relaxation time, suggesting that the remaining contribution should be related to a different location. Particularly, the retained trapped charge is located in the gate-drain access region (mainly affecting RON), consistent with trapping at the surface. Moreover, this retained degradation was proven to be dependent on the surface treatment, further confirming the involvement of surface traps.

7. Conclusions

A novel measurement approach for the study of hot electrons in GaN-based HEMTs was proposed. First, a preliminary off-state stress test characterization was employed to evidence the role of buffer traps in the current collapse of tested devices. Then, pulsed-IV characterization was used to evaluate the devices’ behavior under both soft-switching and hard-switching mode, to set a mean of comparison for the proposed method. The proposed approach was then applied on the same samples and demonstrated to accurately discern buffer and surface traps’ contribution to RON-degradation. Concerning surface traps’ contribution, the effect of the current level employed during the stress was investigated, confirming the involvement of hot electrons. Then, the impact of different surface treatments on RON degradation was studied, showing good agreement with results obtained under PIV measurements. Accordingly, the proposed approach can be considered as a valid alternative to state-of-the-art methods for hot-electron characterization.

Author Contributions

Conceptualization, M.C. and A.C.; methodology, A.C.; software, A.P.; validation, A.P., A.C. and M.C.; formal analysis, M.C.; investigation, M.C., resources, F.I., C.T. and M.E.C.; data curation, M.C.; writing—original draft preparation, M.C.; writing—review and editing, M.C., G.G., C.M. and G.C.; visualization, M.C.; supervision, A.C. and F.I.; project administration, F.I.; funding acquisition, F.I. All authors have read and agreed to the published version of the manuscript.

Funding

This research was funded by the ECSEL JU under Grant Agreement No. 101007310.

Data Availability Statement

The data presented in this study are available on request from the corresponding author.

Acknowledgments

This work was carried out in the framework of the European Project GaN4AP. The authors would like to acknowledge Gianluca Marletta, Santo Reina, Santo Principato, and Clarice Di Martino for the technical support.

Conflicts of Interest

Authors M. Cioni, G. Giorgino, A. Parisi, G. Cappellini, C. Miccoli, M.E. Castagna, C. Tringali and F. Iucolano are employed by the company STMicroelectronics. The remaining authors declare that the research was conducted in the absence of any commercial or financial relationships that could be construed as a potential conflict of interest.

References

  1. Chen, K.J.; Haberlen, O.; Lidow, A.; Tsai, C.L.; Ueda, T.; Uemoto, Y.; Wu, Y. GaN-on-Si Power Technology: Devices and Applications. IEEE Trans. Electron Devices 2017, 64, 779–795. [Google Scholar] [CrossRef]
  2. Uemoto, Y.; Hikita, M.; Ueno, H.; Matsuo, H.; Ishida, H.; Yanagihara, M.; Ueda, T.; Tanaka, T.; Ueda, D. Gate Injection Transistor (GIT)—A Normally-Off AlGaN/GaN Power Transistor Using Conductivity Modulation. IEEE Trans. Electron Devices 2007, 54, 3393–3399. [Google Scholar] [CrossRef]
  3. Sayadi, L.; Iannaccone, G.; Sicre, S.; Häberlen, O.; Curatola, G. Threshold Voltage Instability in p-GaN Gate AlGaN/GaN HFETs. IEEE Trans. Electron Devices 2018, 65, 2454–2460. [Google Scholar] [CrossRef]
  4. Canato, E.; Meneghini, M.; De Santi, C.; Masin, F.; Stockman, A.; Moens, P.; Zanoni, E.; Meneghesso, G. OFF-state trapping phenomena in GaN HEMTs: Interplay between gate trapping, acceptor ionization and positive charge redistribution. Microelectron. Reliab. 2020, 114, 113841. [Google Scholar] [CrossRef]
  5. Bisi, D.; Meneghini, M.; Marino, F.A.; Marcon, D.; Stoffels, S.; Van Hove, M.; Decoutere, S.; Meneghesso, G.; Zanoni, E. Kinetics of Buffer-Related RON-Increase in GaN-on-Silicon MIS-HEMTs. IEEE Electron Device Lett. 2014, 35, 1004–1006. [Google Scholar] [CrossRef]
  6. Bahat-Treidel, E.; Brunner, F.; Hilt, O.; Cho, E.; Wurfl, J.; Trankle, G. AlGaN/GaN/GaN:C Back-Barrier HFETs with Breakdown Voltage of Over 1 kV and Low RON × A. IEEE Trans. Electron Devices 2010, 57, 3050–3058. [Google Scholar] [CrossRef]
  7. del Alamo, J.A.; Lee, E.S. Stability and Reliability of Lateral GaN Power Field-Effect Transistors. IEEE Trans. Electron Devices 2019, 66, 4578–4590. [Google Scholar] [CrossRef]
  8. Verzellesi, G.; Morassi, L.; Meneghesso, G.; Meneghini, M.; Zanoni, E.; Pozzovivo, G.; Lavanga, S.; Detzel, T.; Haberlen, O.; Curatola, G. Influence of buffer carbon doping on pulse and AC behavior of insulated-gate field-plated power AlGaN/GaN HEMTs. IEEE Electron Device Lett. 2014, 35, 443–445. [Google Scholar] [CrossRef]
  9. Koehler, A.D.; Anderson, T.J.; Tadjer, M.J.; Weaver, B.D.; Greenlee, J.D.; Shahin, D.I.; Hobart, K.D.; Kub, F.J. Impact of surface passivation on the dynamic onresistance of proton-irradiated AlGaN/GaN HEMTs. IEEE Electron Device Lett. 2016, 37, 545–548. [Google Scholar] [CrossRef]
  10. Cioni, M.; Chini, A. Impact of Soft- and Hard-Switching transitions on VTH and RON Drifts in packaged SiC MOSFETs. In Proceedings of the 2021 IEEE 8th Workshop on Wide Bandgap Power Devices and Applications (WiPDA), Redondo Beach, CA, USA, 7–11 November 2021; pp. 351–354. [Google Scholar] [CrossRef]
  11. Yang, F.; Dalcanale, S.; Gajda, M.; Karboyan, S.; Uren, M.J.; Kuball, M. The Impact of Hot Electrons and Self-Heating during Hard-Switching in AlGaN/GaN HEMTs. IEEE Trans. Electron Devices 2020, 67, 869–874. [Google Scholar] [CrossRef]
  12. Modolo, N.; De Santi, C.; Minetto, A.; Sayadi, L.; Sicre, S.; Prechtl, G.; Meneghesso, G.; Zanoni, E.; Meneghini, M. Cumulative Hot-Electron Trapping in GaN-Based Power HEMTs Observed by an Ultrafast (10 V/Ns) On-Wafer Methodology. IEEE J. Emerg. Sel. Top. Power Electron. 2022, 10, 5019–5026. [Google Scholar] [CrossRef]
  13. Minetto, A.; Modolo, N.; Meneghini, M.; Zanoni, E.; Sayadi, L.; Sicre, S.; Deutschmann, B.; Häberlen, O. Hot electron effects in AlGaN/GaN HEMTs during hard-switching events. Microelectron. Reliab. 2021, 126, 114208. [Google Scholar] [CrossRef]
  14. Meneghini, M.; De Santi, C.; Abid, I.; Buffolo, M.; Cioni, M.; Khadar, R.A.; Nela, L.; Zagni, N.; Chini, A.; Medjdoub, F.; et al. GaN-based power devices: Physics, reliability, and perspectives. J. Appl. Phys. 2021, 130, 181101. [Google Scholar] [CrossRef]
  15. Cioni, M.; Zagni, N.; Iucolano, F.; Moschetti, M.; Verzellesi, G.; Chini, A. Partial Recovery of Dynamic RON Versus OFF-State Stress Voltage in p-GaN Gate AlGaN/GaN Power HEMTs. IEEE Trans. Electron Devices 2021, 68, 4862–4868. [Google Scholar] [CrossRef]
  16. Li, Y.; Tang, H.; Zhang, K.; Ni, Y.; He, L.; He, Z.; Shi, Y.; Liu, J. Investigation of Off-State Stress Time-Dependent Dynamic On-resistance of Commercial High Voltage GaN HEMTs. In Proceedings of the 2023 IEEE 18th Conference on Industrial Electronics and Applications (ICIEA), Ningbo, China, 18–22 August 2023; pp. 965–968. [Google Scholar] [CrossRef]
  17. Meneghini, M.; Vanmeerbeek, P.; Silvestri, R.; Dalcanale, S.; Banerjee, A.; Bisi, D.; Zanoni, E.; Meneghesso, G.; Moens, P. Temperature-Dependent Dynamic RON in GaN-Based MIS-HEMTs: Role of Surface Traps and Buffer Leakage. IEEE Trans. Electron Devices 2015, 62, 782–787. [Google Scholar] [CrossRef]
  18. Cioni, M.; Bertacchini, A.; Mucci, A.; Zagni, N.; Verzellesi, G.; Pavan, P.; Chini, A. Evaluation of VT H and RON drifts during switchmode operation in packaged SiC MOSFETs. Electronics 2021, 10, 441. [Google Scholar] [CrossRef]
  19. Joh, J.; del Alamo, J.A. A Current-Transient Methodology for Trap Analysis for GaN High Electron Mobility Transistors. IEEE Trans. Electron Devices 2011, 58, 132–140. [Google Scholar] [CrossRef]
  20. Benvegnù, A.; Bisi, D.; Laurent, S.; Meneghini, M.; Meneghesso, G.; Barataud, D.; Zanoni, E.; Quere, R. Drain current transient and low-frequency dispersion characterizations in AlGaN/GaN HEMTs. Int. J. Microw. Wirel. Technol. 2016, 8, 663–672. [Google Scholar] [CrossRef]
  21. Cioni, M.; Zagni, N.; Selmi, L.; Meneghesso, G.; Meneghini, M.; Zanoni, E.; Chini, A. Electric Field and Self-Heating Effects on the Emission Time of Iron Traps in GaN HEMTs. IEEE Trans. Electron Devices 2021, 68, 3325–3332. [Google Scholar] [CrossRef]
  22. Potier, C.; Martin, A.; Campovecchio, M.; Laurent, S.; Quere, R.; Jacquet, J.C.; Jardel, O.; Piotrowicz, S.; Delage, S. Trap characterization of microwave GaN HEMTs based on frequency dispersion of the output-admittance. In Proceedings of the 2014 9th European Microwave Integrated Circuits Conference (EuMIC), Rome, Italy, 6–7 October 2014; pp. 464–467. [Google Scholar] [CrossRef]
  23. Chen, X.; Zhong, Y.; Zhou, Y.; Gao, H.; Zhan, X.; Su, S.; Guo, X.; Sun, Q.; Zhang, Z.; Bi, W.; et al. Determination of carbon-related trap energy level in (Al)GaN buffers for high electron mobility transistors through a room-temperature approach. Appl. Phys. Lett. 2020, 117, 263501. [Google Scholar] [CrossRef]
  24. Matys, M.; Stoklas, R.; Kuzmik, J.; Adamowicz, B.; Yatabe, Z.; Hashizume, T. Characterization of capture cross sections of interface states in dielectric/III-nitride heterojunction structures. J. Appl. Phys. 2016, 119, 205304. [Google Scholar] [CrossRef]
  25. Cioni, M.; Giorgino, G.; Chini, A.; Miccoli, C.; Castagna, M.E.; Moschetti, M.; Tringali, C.; Iucolano, F. Evidence of Carbon Doping Effect on VTH Drift and Dynamic-RON of 100V p-GaN Gate AlGaN/GaN HEMTs. In Proceedings of the 2023 IEEE International Reliability Physics Symposium (IRPS), Monterey, CA, USA, 26–30 March 2023; pp. 1–5. [Google Scholar] [CrossRef]
  26. Iucolano, F.; Parisi, A.; Reina, S.; Patti, A.; Coffa, S.; Meneghesso, G.; Verzellesi, G.; Fantini, F.; Chini, A. Correlation between dynamic Rdsou transients and Carbon related buffer traps in AlGaN/GaN HEMTs. In Proceedings of the 2016 IEEE International Reliability Physics Symposium (IRPS), Pasadena, CA, USA, 17–21 April 2016; pp. CD-2-1–CD-2-4. [Google Scholar] [CrossRef]
  27. Chini, A.; Meneghesso, G.; Meneghini, M.; Fantini, F.; Verzellesi, G.; Patti, A.; Iucolano, F. Experimental and Numerical Analysis of Hole Emission Process from Carbon-Related Traps in GaN Buffer Layers. IEEE Trans. Electron Devices 2016, 63, 3473–3478. [Google Scholar] [CrossRef]
  28. Zagni, N.; Chini, A.; Puglisi, F.M.; Meneghini, M.; Meneghesso, G.; Zanoni, E.; Pavan, P.; Verzellesi, G. “Hole Redistribution” Model Explaining the Thermally Activated RON Stress/Recovery Transients in Carbon-Doped AlGaN/GaN Power MIS-HEMTs. IEEE Trans. Electron Devices 2021, 68, 697–703. [Google Scholar] [CrossRef]
  29. Allaei, M.; Shalchian, M.; Jazaeri, F. Modeling of Short-Channel Effects in GaN HEMTs. IEEE Trans. Electron Devices 2020, 67, 3088–3094. [Google Scholar] [CrossRef]
  30. Uren, M.J.; Moreke, J.; Kuball, M. Buffer Design to Minimize Current Collapse in GaN/AlGaN HFETs. IEEE Trans. Electron Devices 2012, 59, 3327–3333. [Google Scholar] [CrossRef]
  31. Rossetto, I.; Meneghini, M.; Tajalli, A.; Dalcanale, S.; De Santi, C.; Moens, P.; Banerjee, A.; Zanoni, E.; Meneghesso, G. Evidence of Hot-Electron Effects during Hard Switching of AlGaN/GaN HEMTs. IEEE Trans. Electron Devices 2017, 64, 3734–3739. [Google Scholar] [CrossRef]
Figure 1. Schematic cross section of the tested devices.
Figure 1. Schematic cross section of the tested devices.
Electronicmat 05 00009 g001
Figure 2. Test sequence employed to study the mechanism responsible for current collapse under off-state stress: a 1000 s stress is performed with VDS,off = 25 V and VGS,off = 0 V to induce current collapse; the consequent ID/ID0 is monitored for 1000 s with VDS,recovery = 0.5 V and VGS,recovery = 6 V.
Figure 2. Test sequence employed to study the mechanism responsible for current collapse under off-state stress: a 1000 s stress is performed with VDS,off = 25 V and VGS,off = 0 V to induce current collapse; the consequent ID/ID0 is monitored for 1000 s with VDS,recovery = 0.5 V and VGS,recovery = 6 V.
Electronicmat 05 00009 g002
Figure 3. Typical ID/ID0 recovery transients acquired on Type A device after 1000 s stress at different temperatures (30 °C, 50 °C, 70 °C, 90 °C, 110 °C). The drain current completely recovered in 1000 s with an exponential-like trend that sped up while increasing the base-plate temperature.
Figure 3. Typical ID/ID0 recovery transients acquired on Type A device after 1000 s stress at different temperatures (30 °C, 50 °C, 70 °C, 90 °C, 110 °C). The drain current completely recovered in 1000 s with an exponential-like trend that sped up while increasing the base-plate temperature.
Electronicmat 05 00009 g003
Figure 4. d(ID/ID0)/dlog10t signals extracted from the ID/ID0 recovery transients in order to extract the process time constant for each temperature in correspondence to the derivative peak.
Figure 4. d(ID/ID0)/dlog10t signals extracted from the ID/ID0 recovery transients in order to extract the process time constant for each temperature in correspondence to the derivative peak.
Electronicmat 05 00009 g004
Figure 5. Arrhenius plot obtained by extracting the ID/ID0 transient time constant at each temperature. The Arrhenius plot extracted is consistent with previous literature (Chen et al., 2020 [23]), associating current collapse with C-related buffer traps.
Figure 5. Arrhenius plot obtained by extracting the ID/ID0 transient time constant at each temperature. The Arrhenius plot extracted is consistent with previous literature (Chen et al., 2020 [23]), associating current collapse with C-related buffer traps.
Electronicmat 05 00009 g005
Figure 6. Stress/measurement sequence developed on AM200 PIV system.
Figure 6. Stress/measurement sequence developed on AM200 PIV system.
Electronicmat 05 00009 g006
Figure 7. Waveforms corresponding to (a) soft-switching mode (i.e., in which the DUT is turned ON/OFF ant 0 V drain voltage) and (b) hard-switching mode (i.e., in which the DUT is turned ON/OFF at VDS = VDS,off).
Figure 7. Waveforms corresponding to (a) soft-switching mode (i.e., in which the DUT is turned ON/OFF ant 0 V drain voltage) and (b) hard-switching mode (i.e., in which the DUT is turned ON/OFF at VDS = VDS,off).
Electronicmat 05 00009 g007
Figure 8. Comparison between ID-VGS characteristics obtained on fresh devices and after 1000 s stress at VGS,off = 0 V and VDS,off = 50 V under soft-switching (SS) mode for both (a) Type A and (b) Type B devices.
Figure 8. Comparison between ID-VGS characteristics obtained on fresh devices and after 1000 s stress at VGS,off = 0 V and VDS,off = 50 V under soft-switching (SS) mode for both (a) Type A and (b) Type B devices.
Electronicmat 05 00009 g008
Figure 9. Comparison between ID-VGS characteristics obtained on fresh devices and after 1000 s stress at VGS,off = 0 V and VDS,off = 50 V under hard-switching (HS) mode for both (a) Type A and (b) Type B devices.
Figure 9. Comparison between ID-VGS characteristics obtained on fresh devices and after 1000 s stress at VGS,off = 0 V and VDS,off = 50 V under hard-switching (HS) mode for both (a) Type A and (b) Type B devices.
Electronicmat 05 00009 g009
Figure 12. Comparison between the experimental results obtained on devices presenting (a) surface treatment Type A and (b) Type B.
Figure 12. Comparison between the experimental results obtained on devices presenting (a) surface treatment Type A and (b) Type B.
Electronicmat 05 00009 g012
Figure 13. Comparison between the ID recovery transients captured after on-state stress on Type A and Type B devices.
Figure 13. Comparison between the ID recovery transients captured after on-state stress on Type A and Type B devices.
Electronicmat 05 00009 g013
Figure 14. Band diagrams representing the configuration of the DUTs during (a) Step 1 (fresh ID-VGS), (b) Step 3 (ID-VGS after on-state stress) and (c) Step 4 (ID-VGS after 1000 s recovery).
Figure 14. Band diagrams representing the configuration of the DUTs during (a) Step 1 (fresh ID-VGS), (b) Step 3 (ID-VGS after on-state stress) and (c) Step 4 (ID-VGS after 1000 s recovery).
Electronicmat 05 00009 g014
Figure 15. (a) ID-VGS curve acquired during Step 2 by imposing different current compliance levels. (b) Impact of the current compliance level on the ID-VGS curve acquired during Step 3.
Figure 15. (a) ID-VGS curve acquired during Step 2 by imposing different current compliance levels. (b) Impact of the current compliance level on the ID-VGS curve acquired during Step 3.
Electronicmat 05 00009 g015
Figure 16. Comparison between the current transients measured after on-state stress test preformed at different compliances.
Figure 16. Comparison between the current transients measured after on-state stress test preformed at different compliances.
Electronicmat 05 00009 g016
Figure 17. Impact of the current compliance level on the ID-VGS degradation retained 1000 s after the removal of the on-state stress.
Figure 17. Impact of the current compliance level on the ID-VGS degradation retained 1000 s after the removal of the on-state stress.
Electronicmat 05 00009 g017
Disclaimer/Publisher’s Note: The statements, opinions and data contained in all publications are solely those of the individual author(s) and contributor(s) and not of MDPI and/or the editor(s). MDPI and/or the editor(s) disclaim responsibility for any injury to people or property resulting from any ideas, methods, instructions or products referred to in the content.

Share and Cite

MDPI and ACS Style

Cioni, M.; Giorgino, G.; Chini, A.; Parisi, A.; Cappellini, G.; Miccoli, C.; Castagna, M.E.; Tringali, C.; Iucolano, F. Alternative Measurement Approach for the Evaluation of Hot-Electron Degradation in p-GaN Gate AlGaN/GaN Power HEMTs. Electron. Mater. 2024, 5, 132-144. https://doi.org/10.3390/electronicmat5030009

AMA Style

Cioni M, Giorgino G, Chini A, Parisi A, Cappellini G, Miccoli C, Castagna ME, Tringali C, Iucolano F. Alternative Measurement Approach for the Evaluation of Hot-Electron Degradation in p-GaN Gate AlGaN/GaN Power HEMTs. Electronic Materials. 2024; 5(3):132-144. https://doi.org/10.3390/electronicmat5030009

Chicago/Turabian Style

Cioni, Marcello, Giovanni Giorgino, Alessandro Chini, Antonino Parisi, Giacomo Cappellini, Cristina Miccoli, Maria Eloisa Castagna, Cristina Tringali, and Ferdinando Iucolano. 2024. "Alternative Measurement Approach for the Evaluation of Hot-Electron Degradation in p-GaN Gate AlGaN/GaN Power HEMTs" Electronic Materials 5, no. 3: 132-144. https://doi.org/10.3390/electronicmat5030009

APA Style

Cioni, M., Giorgino, G., Chini, A., Parisi, A., Cappellini, G., Miccoli, C., Castagna, M. E., Tringali, C., & Iucolano, F. (2024). Alternative Measurement Approach for the Evaluation of Hot-Electron Degradation in p-GaN Gate AlGaN/GaN Power HEMTs. Electronic Materials, 5(3), 132-144. https://doi.org/10.3390/electronicmat5030009

Article Metrics

Back to TopTop