Numerical Modeling and Simulation of Thermal Effect-Driven Bottom Hole Pressure Variation and Control Technology During Tripping-Out in HTHP Ultra-Deep Wells
Abstract
1. Introduction
2. Study Objective
- (1)
- To establish a transient tripping-out temperature field model and quantify the influence law of thermal effects on bottom hole pressure (BHP) in high-temperature and high-pressure (HTHP) ultra-deep wells;
- (2)
- To analyze the variations in temperature, equivalent static density (ESD), and BHP during tripping-out at different depths (2910 m and 9026 m) by taking the PS6 ultra-deep vertical well as a case study;
- (3)
- To propose a weighted drilling fluid supplementation method for BHP control, and design the key parameters (supplementation timing, density, and volume) as well as verify its feasibility.
3. Methodology
- (1)
- Data collection: The wellbore structure parameters of Well PS6 (an ultra-deep well in the Sichuan Basin) are obtained [34], while the material thermophysical properties and drilling operation parameters are selected from the on-site design schemes of similar wells;
- (2)
- (3)
- Numerical calculation: The wellbore and formation are discretized by grids, and the control equations are solved using the second-order upwind scheme and fully implicit time scheme; a calculation program is compiled to simulate the variations in temperature, ESD, and BHP during tripping-out;
- (4)
- Technology development and verification: Based on the simulation results, a weighted drilling fluid supplementation method is proposed, the supplementary parameters are designed, and the feasibility and superiority of this method are verified by calculating the theoretical changes in BHP.
4. Materials and Methods
4.1. Data Collection
4.2. Analytical Work
- (1)
- Drilling fluid exhibits one-dimensional axial flow downhole.
- (2)
- The formation has a disturbance radius, beyond which the formation maintains its original undisturbed temperature.
- (3)
- The formation is isotropic, and the geothermal gradient remains constant.
- (4)
- Drilling fluid at a constant temperature is supplemented into the annulus from the wellhead during tripping to keep the annulus fluid level unchanged.
4.2.1. Calculation of the Circulating Temperature Field
4.2.2. Calculation of the Tripping-Out Temperature Field
4.2.3. Discretization Solution
4.2.4. Drilling Fluid Density Calculation
4.3. Calculation Process
4.3.1. Initial Conditions
- (1)
- Before the operation begins, the mud is in a static state, and its temperature distribution is consistent with that of the formation, i.e., the original geothermal gradient, which is given by Equation (13).
- (2)
- Since the drilling state is maintained before tripping-out, the wellbore temperature distribution at the initial moment of tripping-out is the same as that at the end of drilling.
4.3.2. Boundary Conditions
- (1)
- At the drill bit location, the temperature of the annular drilling fluid at the bottom hole is the same as that of the drilling fluid inside the drill string. In this study, the thermal boundary is set at a radius of 10 m, which is given by Equation (14).
- (2)
- During the tripping-out process, drilling fluid at a constant temperature is continuously supplemented into the annulus. For the wellhead of the annulus, this is described by Equation (15).
- (3)
- The formation has a fixed disturbance radius, and the formation outside the disturbance radius is not affected by wellbore heat exchange, maintaining a constant original temperature.
- (4)
- The thermophysical parameters (density, specific heat capacity, thermal conductivity) of materials such as drill pipe, casing, and formation are known fixed values, and the initial density and thermophysical parameters of drilling fluid are set according to the design values.
5. Research Limitations
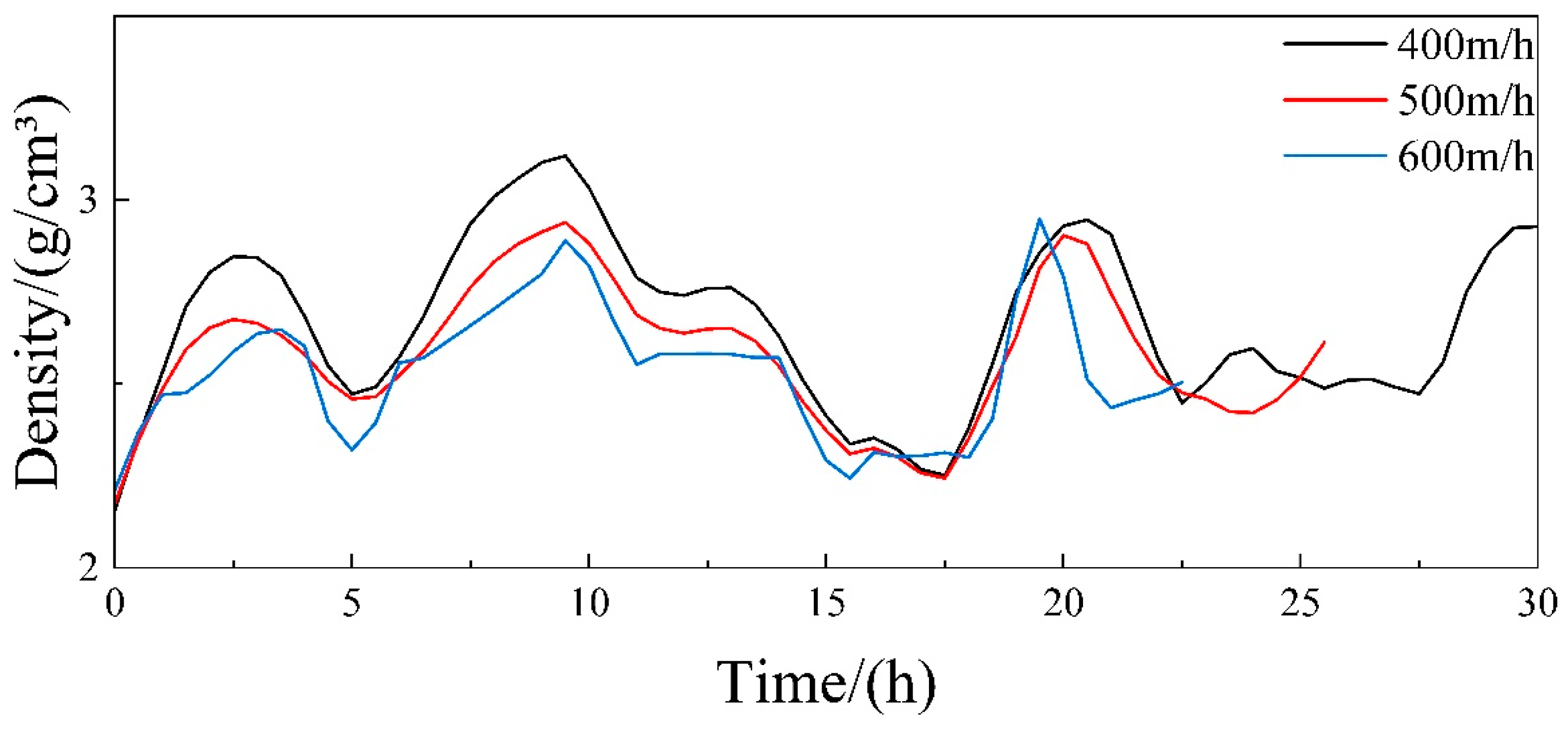
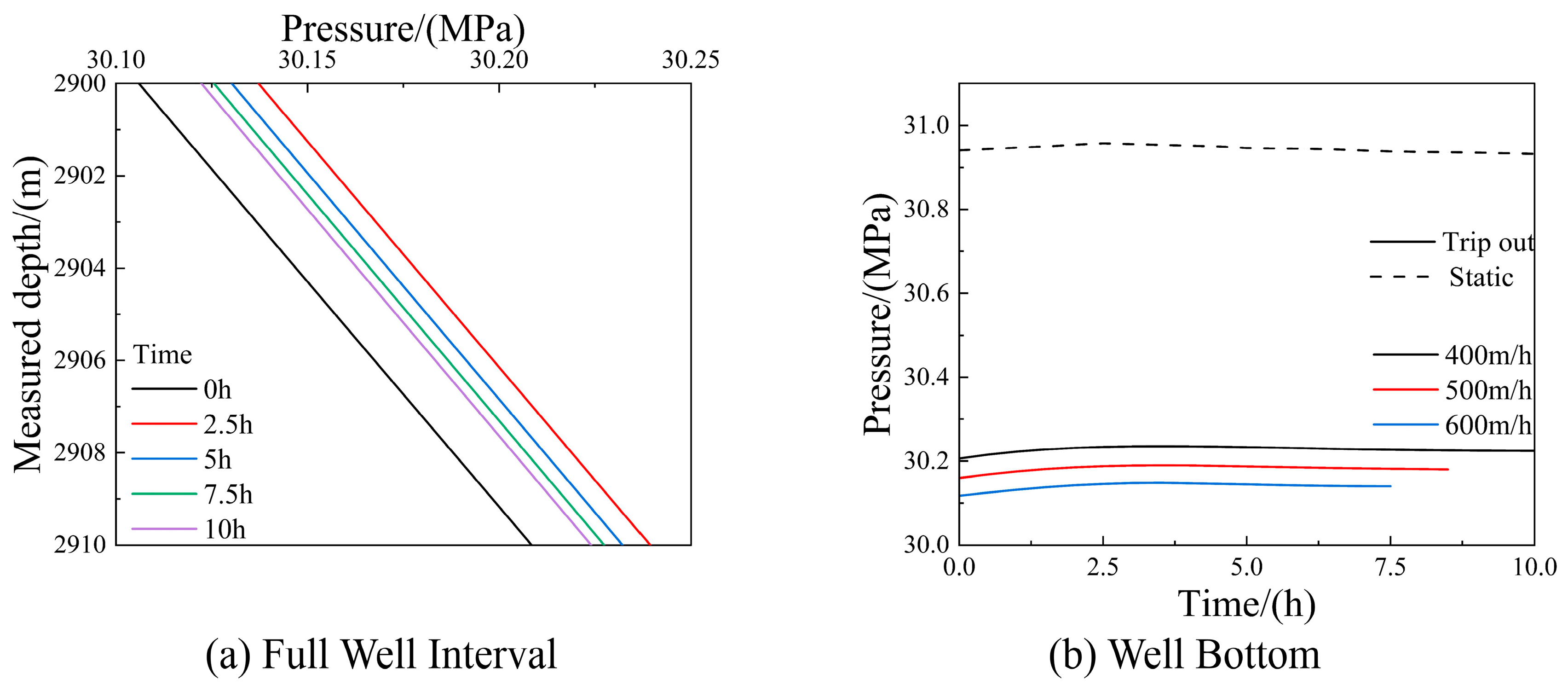
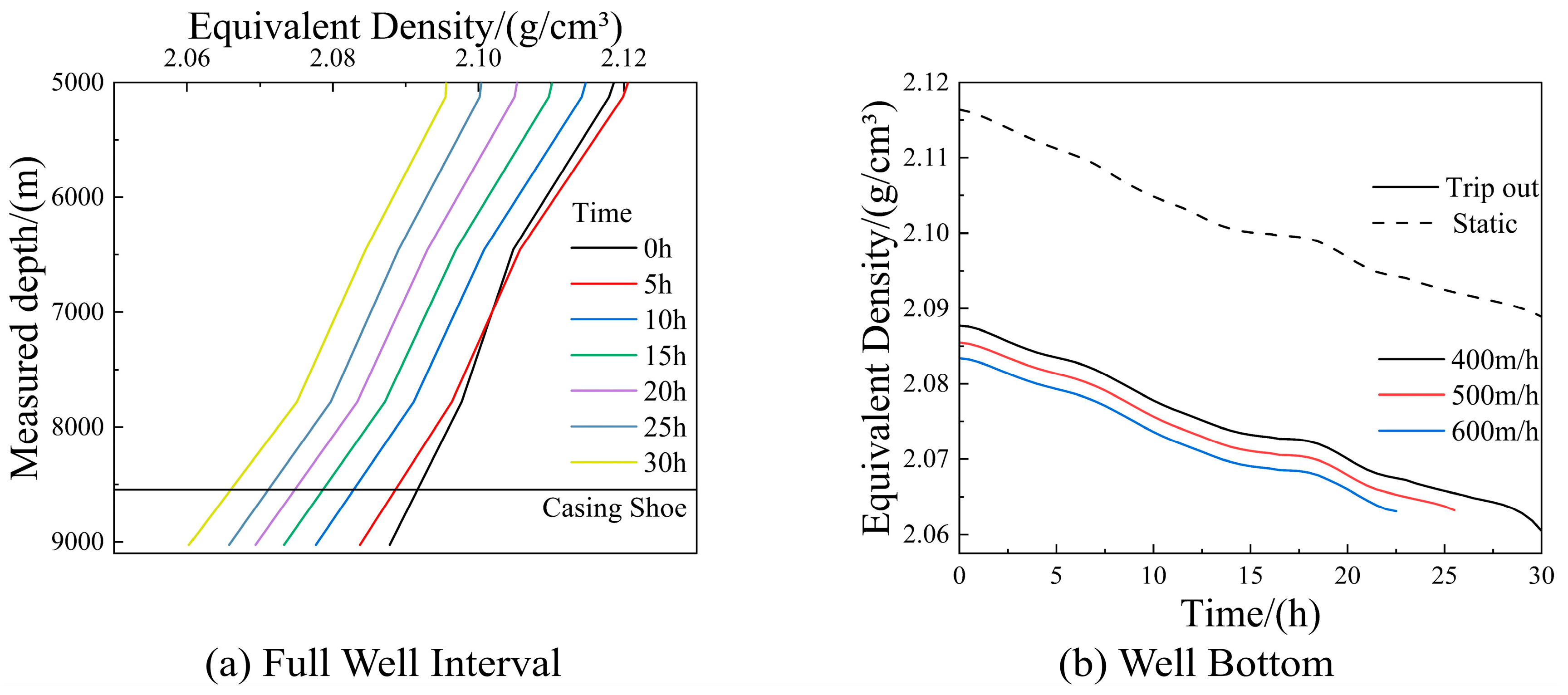
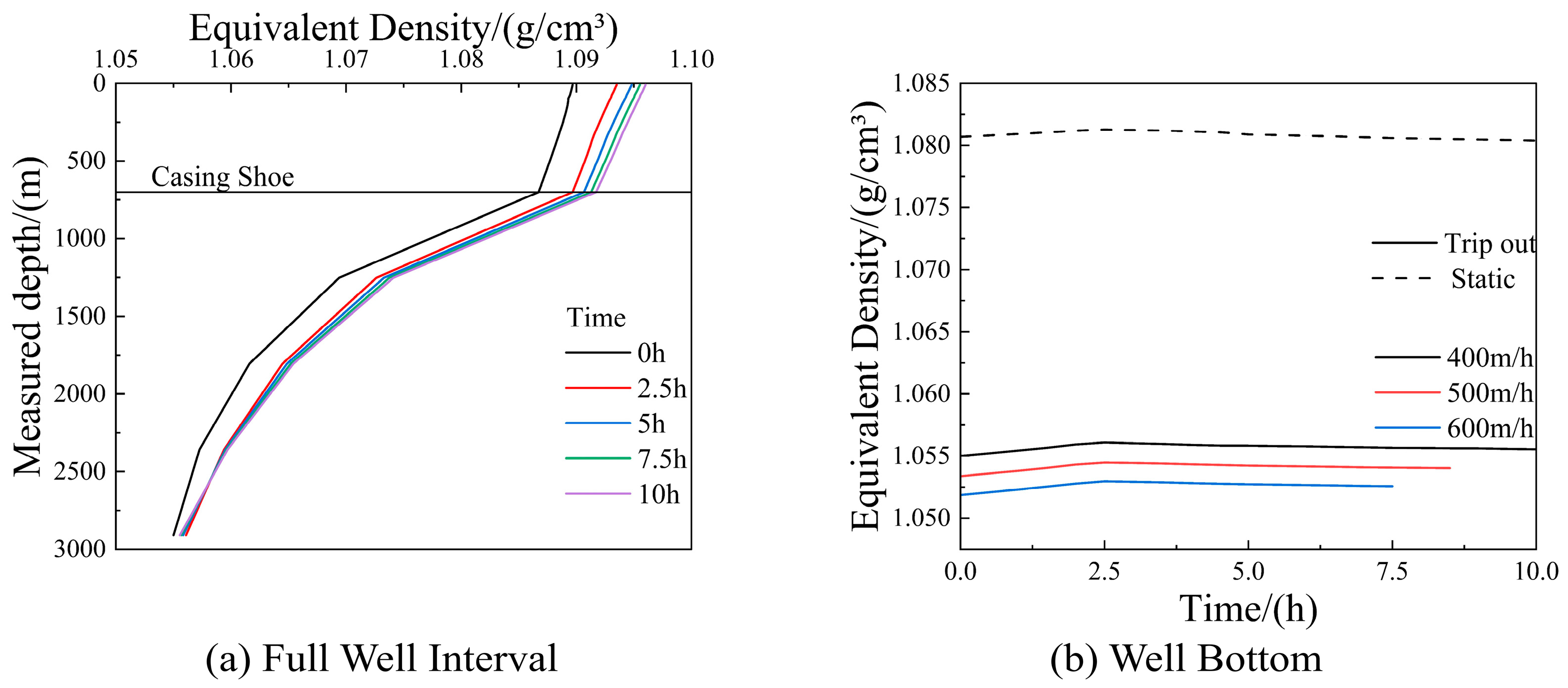
6. Results and Discussion
7. Conclusions
8. Future Work
Author Contributions
Funding
Data Availability Statement
Acknowledgments
Conflicts of Interest
Abbreviations
| BHP | Bottom-hole pressure |
| ESD | Equivalent static density |
| HTHP | High-temperature and high-pressure |
References
- Liu, Y.; Zhang, J.; Huang, H. Key technologies and development direction for deep and ultra-deep drilling and completion in China. Acta Petrol. Sin. 2024, 45, 312–324. [Google Scholar] [CrossRef]
- Wang, H.; Huang, H.; Ji, G.; Chen, C.; Lü, Z.; Chen, W.; Bi, W.; Liu, L. Progress and challenges of drilling and completion technologies for deep, ultra-deep and horizontal wells of CNPC. China Pet. Explor. 2023, 28, 1–11. [Google Scholar] [CrossRef]
- Elmgerbi, A.; Les, B.; Ashena, R.; Atkin, T. A Practical Decision Tool to Evaluate and Rank Potential Solutions for Expected Downhole Drilling Problems During the Well-planning Phase. J. Inst. Eng. India Ser. D 2022, 103, 25–36. [Google Scholar] [CrossRef]
- York, P.L.; Prichard, D.M.; Dodson, J.K.; Dodson, T.; Rosenberg, S.M.; Gala, D.; Utama, B. Eliminating non-productive time associated with drilling through trouble zones. In Proceedings of the Offshore Technology Conference, Houston, TX, USA, 4–7 May 2009. [Google Scholar] [CrossRef]
- Cayeux, E.; Daireaux, B.; Balov, M.K.; Haavardstein, S.; Stokland, L.M.; Saasen, A. Automatic performance analysis and estimation of risk level embedded in drilling operation plans. In Proceedings of the SPE Intelligent Energy International Conference and Exhibition, Aberdeen, UK, 6–8 September 2016. [Google Scholar] [CrossRef]
- Wang, H.; Huang, H.; Bi, W.; Ji, G.; Zhou, B.; Zhuo, L. Deep and ultra-deep oil and gas well drilling technologies: Progress and prospect. Nat. Gas Ind. B 2022, 9, 141–157. [Google Scholar] [CrossRef]
- Wang, H.G.; Su, Y.N. High Temperature & High Pressure (HTHP) Mud P-T Behavior and Its Effect on Wellbore Pressure Calculations. In Proceedings of the IADC/SPE Drilling Conference, New Orleans, LA, USA, 23–25 February 2000. [Google Scholar] [CrossRef]
- Sun, J.S.; Yan, J.B.; Bai, Y.R. Research progress and development of deep and ultra-deep drilling fluid technology. Pet. Explor. Dev. 2024, 51, 1022–1034. [Google Scholar] [CrossRef]
- Ramey, H.J. Wellbore heat transmission. J. Pet. Technol. 1962, 14, 427–435. [Google Scholar] [CrossRef]
- Keller, H.H.; Couch, E.J.; Berry, P.M. Temperature distribution in circulating mud columns. Soc. Pet. Eng. J. 1973, 13, 23–30. [Google Scholar] [CrossRef]
- Corre, B.; Eymard, R.; Guenot, A. Numerical computation of temperature distribution in a wellbore while drilling. In Proceedings of the SPE Annual Technical Conference and Exhibition, Houston, TX, USA, 16–19 September 1984; p. SPE-13208-MS. [Google Scholar] [CrossRef]
- Marshall, T.R.; Lie, O.H. A thermal transient model of circulating wells: 1. Model development. In Proceedings of the European Petroleum Computer Conference, Stavanger, Norway, 24–27 May 1992. [Google Scholar] [CrossRef]
- Kabir, C.S.; Hasan, A.R.; Kouba, G.E.; Ameen, M.M. Determining circulating fluid temperature in drilling, workover, and well control operations. SPE Drill. Complet. 1996, 11, 74–79. [Google Scholar] [CrossRef]
- Al Saedi, A.Q.; Flori, R.E.; Kabir, C.S. New analytical solutions of wellbore fluid temperature profiles during drilling, circulating, and cementing operations. J. Pet. Sci. Eng. 2018, 170, 206–217. [Google Scholar] [CrossRef]
- Yang, M.; Luo, D.; Chen, Y.; Li, G.; Tang, D.; Meng, Y. Establishing a practical method to accurately determine and manage wellbore thermal behavior in high-temperature drilling. Appl. Energy 2019, 238, 1471–1483. [Google Scholar] [CrossRef]
- Yang, M.; Xie, R.X.; Liu, X.M.; Chen, Y.H.; Tang, D.Q.; Meng, Y.F. A novel method for estimating transient thermal behavior of the wellbore with the drilling string maintaining an eccentric position in deep well operation. Appl. Therm. Eng. 2019, 163, 114346. [Google Scholar] [CrossRef]
- Abdelhafiz, M.M.; Hegele, L.A., Jr.; Oppelt, J.F. Numerical transient and steady state analytical modeling of the wellbore temperature during drilling fluid circulation. J. Pet. Sci. Eng. 2020, 186, 106775. [Google Scholar] [CrossRef]
- Mao, L.; Wei, C.; Jia, H.; Lu, K. Prediction model of drilling wellbore temperature considering bit heat generation and variation of mud thermophysical parameters. Energy 2023, 284, 129341. [Google Scholar] [CrossRef]
- Dang, Z.; Chen, X.; Yao, X.; Xu, Z.; Zhou, M.; Yang, W.; Song, X. Wellbore Temperature Prediction Model and Influence Law of Ultra-Deep Wells in Shunbei Field, China. Processes 2024, 12, 1715. [Google Scholar] [CrossRef]
- Chen, X.; Wang, S.; He, M.; Xu, M. A comprehensive prediction model of drilling wellbore temperature variation mechanism under deepwater high temperature and high pressure. Ocean Eng. 2024, 296, 117063. [Google Scholar] [CrossRef]
- Hoberock, L.L.; Thomas, D.C.; Nickens, H.V. Here’s how compressibility and temperature affect bottom-hole mud pressure. Oil Gas J. 1982, 80, 112–115. [Google Scholar]
- Peters, E.J.; Chenevert, M.E.; Zhang, C. A model for predicting the density of oil-based muds at high pressures and temperatures. SPE Drill. Eng. 1990, 5, 141–148. [Google Scholar] [CrossRef]
- Zamora, M.; Broussard, P.N.; Stephens, M.P. The top 10 mud-related concerns in deepwater drilling operations. In Proceedings of the SPE International Oil Conference and Exhibition in Mexico, Villahermosa, Mexico, 1–3 February 2000; p. SPE-59019-MS. [Google Scholar] [CrossRef]
- Demirdal, B.; Miska, S.; Takach, N. Drilling fluids rheological and volumetric characterization under downhole conditions. In Proceedings of the SPE Latin America and Caribbean Petroleum Engineering Conference, Buenos Aires, Argentina, 15–18 April 2007; p. SPE-108111-MS. [Google Scholar] [CrossRef]
- American Petroleum Institute. Rheology and Hydraulics of Oil-Well Drilling Fluids (API RP 13B-1); American Petroleum Institute: Washington, DC, USA, 2010. [Google Scholar]
- Wang, G.; Pu, X.L.; Tao, H.Z. A support vector machine approach for the prediction of drilling fluid density at high temperature and high pressure. Pet. Sci. Technol. 2012, 30, 435–442. [Google Scholar] [CrossRef]
- Tatar, A.; Halali, M.A.; Mohammadi, A.H. On the estimation of the density of brine with an extensive range of different salts compositions and concentrations. J. Thermodyn. Catal. 2016, 7, 1000167. [Google Scholar] [CrossRef]
- Agwu, O.E.; Akpabio, J.U.; Dosunmu, A. Artificial neural network model for predicting the density of oil-based muds in high-temperature, high-pressure wells. J. Pet. Explor. Prod. Technol. 2020, 10, 1081–1095. [Google Scholar] [CrossRef]
- Alizadeh, S.; Alruyemi, I.; Daneshfar, R.; Mohammadi-Khanaposhtani, M.; Naseri, M. An insight into the estimation of drilling fluid density at HPHT condition using PSO-, ICA-, and GA-LSSVM strategies. Sci. Rep. 2021, 11, 7033. [Google Scholar] [CrossRef]
- Yan, Z.; Okere, C.J.; Zeng, X.; Yao, Z.; Su, G.; Gan, M.; Fu, Y.; Tao, X.; Zheng, L. Preventing sour gas kicks during workover of natural gas wells from deep carbonate reservoirs with anti-hydrogen sulfide fuzzy-ball kill fluid. Energy Sci. Eng. 2022, 10, 2674–2688. [Google Scholar] [CrossRef]
- Liu, P.; He, J.; Ye, Z.; Yi, B.; Zheng, R.; Mou, Y. Study on effects of fluid properties on borehole pressure under temperature and pressure coupling in high temperature deep wells. Drill. Fluid Complet. Fluid 2024, 41, 288–295. [Google Scholar] [CrossRef]
- Dabiri, M.S.; Haji-Hashemi, R.; Ashoorian, S.; Schaffie, M.; Zabihi, R.; Hemmati-Sarapardeh, A. Modeling drilling fluid density at high-pressure high-temperature conditions using advanced machine-learning techniques. Geoenergy Sci. Eng. 2025, 244, 213369. [Google Scholar] [CrossRef]
- Ullah, S.Z.; Ruzhnikov, A.; Prasetia, A.E.; Al-Fakih, A.; Almomen, M.S. Pressurized mud cap drilling replacing floating mud cap to reduce drilling risk and optimize mud consumption. In Proceedings of the Abu Dhabi International Petroleum Exhibition and Conference, Abu Dhabi, United Arab Emirates, 9–12 November 2020; p. D012S116R199. [Google Scholar] [CrossRef]
- Xu, Q.C.; Fu, Q.; Zhou, J.H.; Chen, K.; Wan, F. Design and applicability evaluation of ultra-deep wellbore structure in Shuangyushi Block, Sichuan Basin. Drill. Prod. Technol. 2024, 47, 83–92. [Google Scholar] [CrossRef]


















| Drilling | Tripping-Out |
|---|---|
| Drilling fluid circulation carries away heat | Drilling fluid is stationary, causing wellbore temperature rise |
| Pump activation increases BHP | Swabbing pressure decreases BHP |
| Annular liquid level remains constant | Drill pipe tripping-out causes annular liquid level drop |
| BHP is obtainable | BHP acquisition is difficult |
| Material | Density ) | Specific Heat Capacity ) | Thermal Conductivity ) |
|---|---|---|---|
| Drilling fluid 1 | 1.11 | 1600 | 1.75 |
| Drilling fluid 2 | 2.18 | 1897 | 1.52 |
| Drill pipe | 7.84 | 400 | 43.75 |
| Casing | 7.84 | 400 | 43.75 |
| Cement | 2.09 | 2000 | 1 |
| Formation rock | 2.5 | 1414 | 2.41 |
| Parameter | Value | Units |
|---|---|---|
| Weight on the bit | 75 | |
| Rotary speed | 100 | |
| Rate of penetration | 5 | |
| Mud flow rate | 20 | |
| Mud inlet temperature | 10 | |
| Geothermal gradient | 2.7 | |
| Surface temperature | 10 | |
| Formation friction coefficient | 0.4 | Dimensionless |
| Multiply Coefficients by ρ Density in kg/m3 | Mineral Oils | CaCl2 Brine19.3%wt |
|---|---|---|
| × 100 | × 100 | |
| × 10−6 | × 10−6 | |
| × 10−11 | × 10−11 | |
| × 10−4 | × 10−4 | |
| × 10−9 | × 10−9 | |
| × 10−13 | × 10−14 | |
| 803.55 | 1174.2948 |
| Operation | Tripping Speed | Cumulative Time (h) |
|---|---|---|
| Tripping-out at 2910 m | 400 m/h | 7.275 |
| 500 m/h | 6 | |
| 600 m/h | 5 | |
| Break Out Stands | 1 min/30 m | 1.5 |
| Filling the Annulus | 1.5 min/90 m | 1 |
| Operation | Tripping Speed | Cumulative Time (h) |
|---|---|---|
| Tripping-out at 9026 m | 400 m/h | 22.56 |
| 500 m/h | 18 | |
| 600 m/h | 15 | |
| Break Out Stands | 1 min/30 m | 5 |
| Filling the Annulus | 1.5 min/90 m | 2.5 |
Disclaimer/Publisher’s Note: The statements, opinions and data contained in all publications are solely those of the individual author(s) and contributor(s) and not of MDPI and/or the editor(s). MDPI and/or the editor(s) disclaim responsibility for any injury to people or property resulting from any ideas, methods, instructions or products referred to in the content. |
© 2026 by the authors. Licensee MDPI, Basel, Switzerland. This article is an open access article distributed under the terms and conditions of the Creative Commons Attribution (CC BY) license.
Share and Cite
Yin, H.; Yan, H.; Chen, C. Numerical Modeling and Simulation of Thermal Effect-Driven Bottom Hole Pressure Variation and Control Technology During Tripping-Out in HTHP Ultra-Deep Wells. Modelling 2026, 7, 21. https://doi.org/10.3390/modelling7010021
Yin H, Yan H, Chen C. Numerical Modeling and Simulation of Thermal Effect-Driven Bottom Hole Pressure Variation and Control Technology During Tripping-Out in HTHP Ultra-Deep Wells. Modelling. 2026; 7(1):21. https://doi.org/10.3390/modelling7010021
Chicago/Turabian StyleYin, Hu, Hongzhuo Yan, and Chunzhu Chen. 2026. "Numerical Modeling and Simulation of Thermal Effect-Driven Bottom Hole Pressure Variation and Control Technology During Tripping-Out in HTHP Ultra-Deep Wells" Modelling 7, no. 1: 21. https://doi.org/10.3390/modelling7010021
APA StyleYin, H., Yan, H., & Chen, C. (2026). Numerical Modeling and Simulation of Thermal Effect-Driven Bottom Hole Pressure Variation and Control Technology During Tripping-Out in HTHP Ultra-Deep Wells. Modelling, 7(1), 21. https://doi.org/10.3390/modelling7010021

