On the Analytical Solution of the SIRV-Model for the Temporal Evolution of Epidemics for General Time-Dependent Recovery, Infection and Vaccination Rates
Abstract
1. Introduction
2. SIRV Model
3. Approximate Analytical Solutions
3.1. Solution in the Limit of Small
3.2. Comparison with the SIR Model Limit
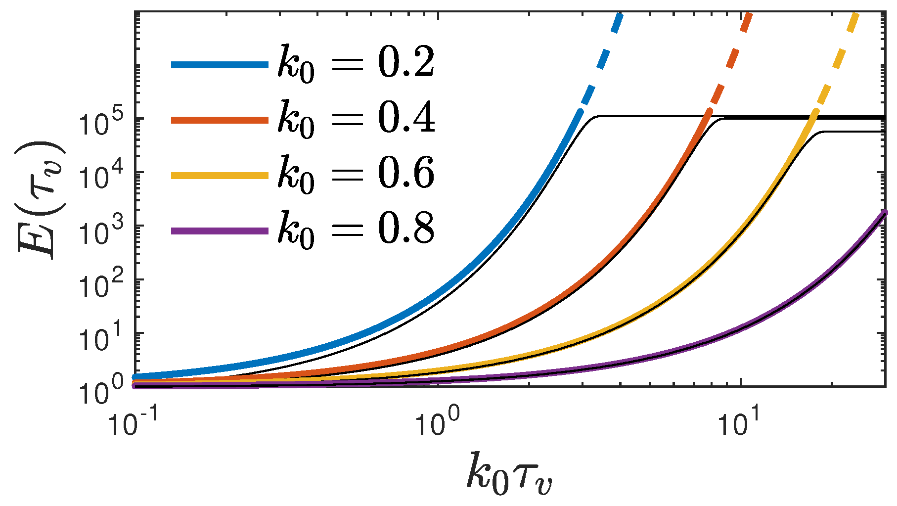
3.3. Properties of the Approximate Solution (22)
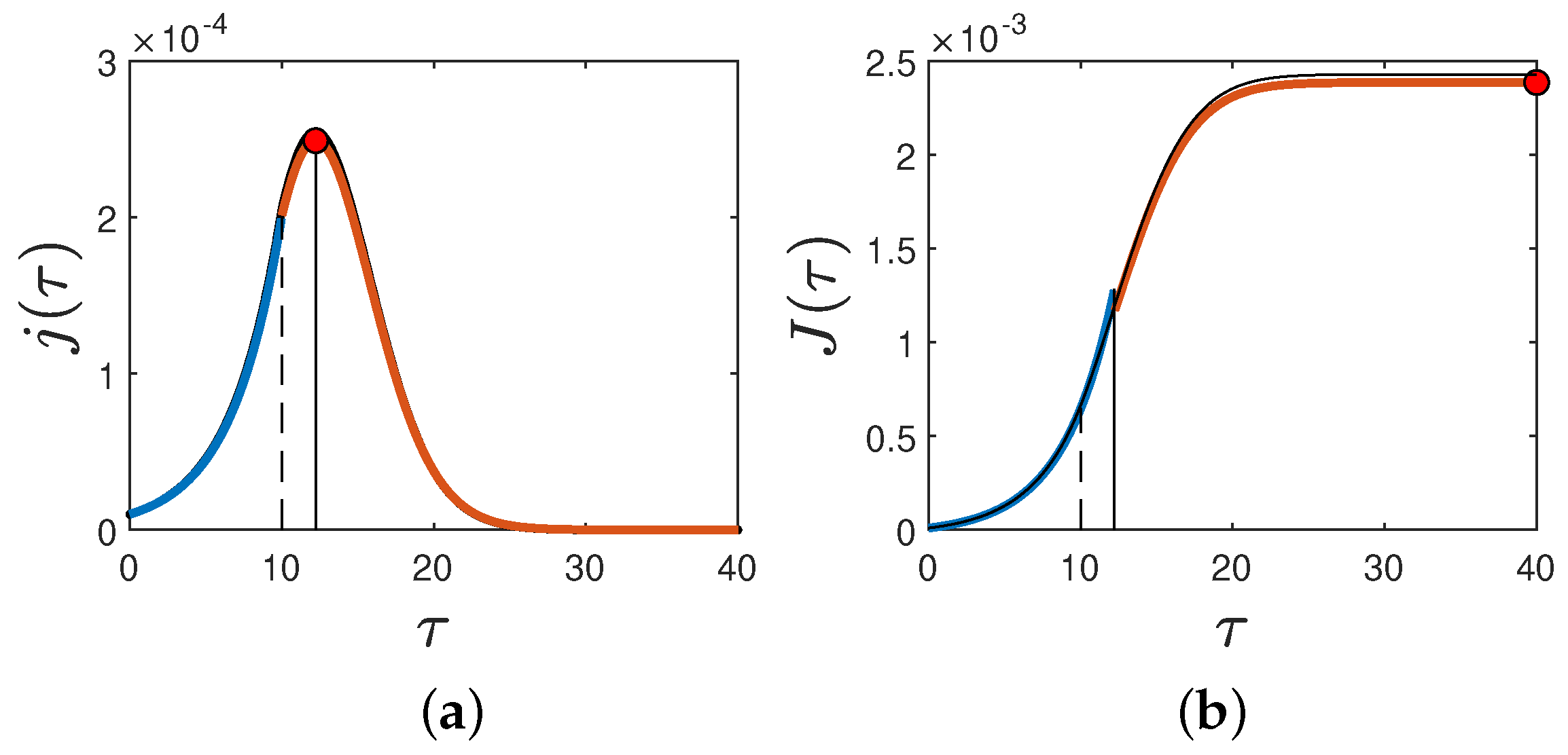
3.4. Cumulative Fraction
4. Special Case: Stationary Ratios
4.1. Cumulative Fraction
4.2. Limit
5. Stationary Ratios with Delayed Start of Vaccinations
6. Oscillating Ratio with Delayed Vaccinations at Constant Rate
7. Summary and Conclusions
Author Contributions
Funding
Data Availability Statement
Conflicts of Interest
Appendix A. Reduction of the Function W n (τ)
References
- Schlickeiser, R.; Kröger, M. Analytical modeling of the temporal evolution of epidemics outbreaks accounting for vaccinations. Physics 2021, 3, 386–426. [Google Scholar] [CrossRef]
- Babaei, N.A.; Özer, T. On exact integrability of a COVID-19 model: SIRV. Math. Meth. Appl. Sci. 2023, 1, 1–18. [Google Scholar]
- Rifhat, R.; Teng, Z.; Wang, C. Extinction and persistence of a stochastic SIRV epidemic model with nonlinear incidence rate. Adv. Diff. Eqs. 2021, 2021, 200. [Google Scholar] [CrossRef] [PubMed]
- Ameen, I.; Baleanu, D.; Ali, H.M. An efficient algorithm for solving the fractional optimal control of SIRV epidemic model with a combination of vaccination and treatment. Chaos Solit. Fract. 2020, 137, 109892. [Google Scholar] [CrossRef]
- Oke, M.; Ogunmiloro, O.M.; Akinwumi, C.T.; Raji, R.A. Mathematical Modeling and Stability Analysis of a SIRV Epidemic Model with Non-linear Force of Infection and Treatment. Commun. Math. Appl. 2019, 10, 717–731. [Google Scholar] [CrossRef]
- Liu, X.D.; Wang, W.; Yang, Y.; Hou, B.H.; Olasehinde, T.S.; Feng, N.; Dong, X.P. Nesting the SIRV model with NAR, LSTM and statistical methods to fit and predict COVID-19 epidemic trend in Africa. BMC Public Health 2023, 23, 138. [Google Scholar] [CrossRef]
- Mahayana, D. Lyapunov Stability Analysis of COVID-19 SIRV Model. In Proceedings of the 2022 IEEE 18th International Colloquium on Signal Processing & Applications (CSPA 2022), Selangor, Malaysia, 12 May 2022; pp. 287–292. [Google Scholar] [CrossRef]
- Petrakova, V.S.; Shaydurov, V.V. SIRV-D Optimal Control Model for COVID-19 Propagation Scenarios. J. Siber. Fed. Univ. Math. Phys. 2023, 16, 87–97. [Google Scholar]
- Zhao, Z.; Li, X.; Liu, F.; Jin, R.; Ma, C.; Huang, B.; Wu, A.; Nie, X. Stringent Nonpharmaceutical Interventions Are Crucial for Curbing COVID-19 Transmission in the Course of Vaccination: A Case Study of South and Southeast Asian Countries. Healthcare 2021, 9, 1292. [Google Scholar] [CrossRef]
- Smith, D.K.; Lauro, K.; Kelly, D.; Fish, J.; Lintelman, E.; McEwen, D.; Smith, C.; Stecz, M.; Ambagaspitiya, T.D.; Chen, J. Teaching Undergraduate Physical Chemistry Lab with Kinetic Analysis of COVID-19 in the United States. J. Chem. Educ. 2022, 99, 3471–3477. [Google Scholar] [CrossRef]
- Huntingford, C.; Rawson, T.; Bonsall, M.B. Optimal COVID-19 Vaccine Sharing Between Two Nations That Also Have Extensive Travel Exchanges. Front. Public Health 2021, 9, 633144. [Google Scholar] [CrossRef]
- Marinov, T.T.; Marinova, R.S. Adaptive SIR model with vaccination: Simultaneous identification of rates and functions illustrated with COVID-19. Sci. Rep. 2022, 12, 15688. [Google Scholar] [CrossRef] [PubMed]
- Beenstock, M.; Felsenstein, D.; Gdaliahu, M. The joint determination of morbidity and vaccination in the spatiotemporal epidemiology of COVID-19. Spat. Spat.-Tempor. Epidem. 2023, 47, 100621. [Google Scholar] [CrossRef] [PubMed]
- Haas, F.; Kröger, M.; Schlickeiser, R. Multi-Hamiltonian structure of the epidemics model accounting for vaccinations and a suitable test for the accuracy of its numerical solvers. J. Phys. A 2022, 55, 225206. [Google Scholar] [CrossRef]
- Li, X.; Li, X.; Zhang, Q. Time to extinction and stationary distribution of a stochastic susceptible-infected-recovered-susceptible model with vaccination under Markov switching. Math. Popul. Stud. 2020, 27, 259–274. [Google Scholar] [CrossRef]
- Cai, C.R.; Wu, Z.X.; Guan, J.Y. Behavior of susceptible-vaccinated-infected-recovered epidemics with diversity in the infection rate of individuals. Phys. Rev. E 2013, 88, 062805. [Google Scholar] [CrossRef] [PubMed]
- Widyaningsih, P.; Nugroho, A.A.; Saputro, D.R.S. Susceptible Infected Recovered Model with Vaccination, Immunity Loss, and Relapse to Study Tuberculosis Transmission in Indonesia. AIP Conf. Proc. 2018, 2014, 020121. [Google Scholar] [CrossRef]
- Chapman, J.D.; Evans, N.D. The structural identifiability of susceptible-infective-recovered type epidemic models with incomplete immunity and birth targeted vaccination. Biomed. Signal Process. Control 2009, 4, 278–284. [Google Scholar] [CrossRef]
- Wang, J.; Zhang, R.; Kuniya, T. A reaction-diffusion Susceptible-Vaccinated-Infected-Recovered model in a spatially heterogeneous environment with Dirichlet boundary condition. Math. Comp. Simul. 2021, 190, 848–865. [Google Scholar] [CrossRef]
- Khader, M.M.; Adel, M. Numerical Treatment of the Fractional Modeling on Susceptible-Infected-Recovered Equations with a Constant Vaccination Rate by Using GEM. Int. J. Nonlin. Sci. Numer. Simul. 2019, 20, 69–75. [Google Scholar] [CrossRef]
- Dai, Y.; Zhou, B.; Jiang, D.; Hayat, T. Stationary distribution and density function analysis of stochastic susceptible-vaccinated-infected-recovered (SVIR) epidemic model with vaccination of newborns. Math. Meth. Appl. Sci. 2022, 45, 3401–3416. [Google Scholar] [CrossRef]
- Kiouach, D.; El-idrissi, S.E.A.; Sabbar, Y. The impact of Levy noise on the threshold dynamics of a stochastic susceptible-vaccinated-infected-recovered epidemic model with general incidence functions. Math. Meth. Appl. Sci. 2023, 47, 297–317. [Google Scholar] [CrossRef]
- Kermack, W.O.; McKendrick, A.G. A contribution to the mathematical theory of epidemics. Proc. R. Soc. A 1927, 115, 700. [Google Scholar] [CrossRef]
- Kendall, D.G. Deterministic and stochastic epidemics in closed populations. In Proceedings of the Third Berkeley Symposium on Mathematical Statistics and Probability; University of California Press: Berkeley, CA, USA, 1956; Volume 4, p. 149. [Google Scholar] [CrossRef]
- Schlickeiser, R.; Kröger, M. Analytical solution of the SIR-model for the temporal evolution of epidemics: Part B. Semi-time case. J. Phys. A 2021, 54, 175601. [Google Scholar] [CrossRef]
- Albidah, A.B. A proposed analytical and numerical treatment for the nonlinear SIR model via a hybrid approach. Mathematics 2023, 11, 2749. [Google Scholar] [CrossRef]
- Schlickeiser, R.; Kröger, M. Analytical solution of the SIR-model for the not too late temporal evolution of epidemics for general time-dependent recovery and infection rates. COVID 2023, 3, 1781–1796. [Google Scholar] [CrossRef]
- Al-Shbeil, I.; Djenina, N.; Jaradat, A.; Al-Husban, A.; Ouannas, A.; Grassi, G. A New COVID-19 Pandemic Model including the Compartment of Vaccinated Individuals: Global Stability of the Disease-Free Fixed Point. Mathematics 2023, 11, 576. [Google Scholar] [CrossRef]
- Sepulveda, G.; Arenas, A.J.; Gonzalez-Parra, G. Mathematical Modeling of COVID-19 Dynamics under Two Vaccination Doses and Delay Effects. Mathematics 2023, 11, 369. [Google Scholar] [CrossRef]
- Ul Haq, I.; Ullah, N.; Ali, N.; Nisar, K.S. A New Mathematical Model of COVID-19 with Quarantine and Vaccination. Mathematics 2023, 11, 142. [Google Scholar] [CrossRef]
- Liu, X.; Ding, Y. Stability and Numerical Simulations of a New SVIR Model with Two Delays on COVID-19 Booster Vaccination. Mathematics 2022, 10, 1772. [Google Scholar] [CrossRef]
- Olivares, A.; Staffetti, E. Optimal control applied to vaccination and testing Ppolicies for COVID-19. Mathematics 2021, 9, 3100. [Google Scholar] [CrossRef]
- Schlickeiser, R.; Kröger, M. Key epidemic parameters of the SIRV model determined from past COVID-19 mutant waves. COVID 2023, 3, 592–600. [Google Scholar] [CrossRef]
- Morse, P.M.; Feshbach, H. Methods of Theoretical Physics, Part I; McGraw-Hill: New York, NY, USA, 1953. [Google Scholar]
- Mathews, J.; Walker, R.L. Mathematical Methods in Physics, 2nd ed.; Benjamin: Menlo Park, CA, USA, 1970. [Google Scholar]
- Abramowitz, M.; Stegun, I.A. Handbook of Mathematical Functions; Dover Publications: New York, NY, USA, 1970. [Google Scholar]
- Bärwolff, G. A Local and Time Resolution of the COVID-19 Propagation—A Two-Dimensional Approach for Germany Including Diffusion Phenomena to Describe the Spatial Spread of the COVID-19 Pandemic. Physics 2021, 3, 536–548. [Google Scholar] [CrossRef]
- Baazeem, A.S.; Nawaz, Y.; Arif, M.S.; Abodayeh, K. Modelling infectious disease dynamics: A robust computational approach for stochastic SIRS with partial immunity and an incidence rate. Mathematics 2023, 11, 4794. [Google Scholar] [CrossRef]
- Gribaudo, M.; Iacono, M.; Manini, D. COVID-19 spatial diffusion: A Markovian agent-based model. Mathematics 2021, 9, 485. [Google Scholar] [CrossRef]
- Wu, K.; Zhou, K. Traveling waves in a nonlocal dispersal SIR model with standard incidence rate and nonlocal delayed transmission. Mathematics 2019, 7, 641. [Google Scholar] [CrossRef]
- Wang, Z.; Guo, Q.; Sun, S.; Xia, C. The impact of awareness diffusion on SIR-like epidemics in multiplex networks. Appl. Math. Comput. 2019, 349, 134–147. [Google Scholar] [CrossRef]
- Pastor-Satorras, R.; Castellano, C.; Van Mieghem, P.; Vespignani, A. Epidemic processes in complex networks. Rev. Mod. Phys. 2015, 87, 925–979. [Google Scholar] [CrossRef]
- Yang, J.; Liang, S.; Zhang, Y. Travelling waves of a delayed SIR epidemic model with nonlinear incidence rate and spatial diffusion. PLoS ONE 2011, 6, e21128. [Google Scholar] [CrossRef] [PubMed]





| Country | |||||
|---|---|---|---|---|---|
| France | 64.88 | 39.867 | 0.6145 | 0.166 | 0.0026 |
| Korea South | 51.63 | 30.616 | 0.5930 | 0.034 | 0.0007 |
| Portugal | 10.33 | 5.570 | 0.5395 | 0.026 | 0.0025 |
| Greece | 10.75 | 5.548 | 0.5163 | 0.035 | 0.0032 |
| Netherlands | 17.02 | 8.713 | 0.5120 | 0.024 | 0.0014 |
| Australia | 24.13 | 11.399 | 0.4725 | 0.020 | 0.0008 |
| Germany | 84.08 | 38.249 | 0.4549 | 0.169 | 0.0020 |
| Czechia | 10.56 | 4.618 | 0.4373 | 0.042 | 0.0040 |
| Italy | 60.60 | 25.604 | 0.4225 | 0.188 | 0.0031 |
| Belgium | 11.35 | 4.739 | 0.4176 | 0.034 | 0.0030 |
| United Kingdom | 65.64 | 24.659 | 0.3757 | 0.221 | 0.0034 |
| United States | 323.13 | 103.803 | 0.3212 | 1.124 | 0.0035 |
| Spain | 46.44 | 13.770 | 0.2965 | 0.119 | 0.0026 |
| Chile | 17.91 | 5.192 | 0.2899 | 0.064 | 0.0036 |
| Japan | 126.99 | 33.320 | 0.2624 | 0.073 | 0.0006 |
| Argentina | 43.85 | 10.045 | 0.2291 | 0.130 | 0.0030 |
| Turkey | 79.51 | 17.043 | 0.2143 | 0.101 | 0.0013 |
| Brazil | 207.65 | 37.076 | 0.1785 | 0.699 | 0.0034 |
| Romania | 19.71 | 3.346 | 0.1698 | 0.068 | 0.0034 |
| Poland | 37.95 | 6.445 | 0.1698 | 0.119 | 0.0031 |
| Malaysia | 31.18 | 5.045 | 0.1618 | 0.037 | 0.0012 |
| Russia | 144.34 | 22.076 | 0.1529 | 0.388 | 0.0027 |
| Peru | 31.77 | 4.488 | 0.1412 | 0.220 | 0.0069 |
| Colombia | 48.65 | 6.359 | 0.1307 | 0.142 | 0.0029 |
| Canada | 36.28 | 4.617 | 0.1272 | 0.052 | 0.0014 |
| Ukraine | 45.01 | 5.712 | 0.1269 | 0.119 | 0.0027 |
| Vietnam | 92.70 | 11.527 | 0.1243 | 0.043 | 0.0005 |
| Bolivia | 10.89 | 1.194 | 0.1097 | 0.022 | 0.0021 |
| Cuba | 11.48 | 1.113 | 0.0970 | 0.009 | 0.0007 |
| Iran | 80.27 | 7.572 | 0.0943 | 0.145 | 0.0018 |
| Guatemala | 16.58 | 1.238 | 0.0747 | 0.020 | 0.0012 |
| South Africa | 55.91 | 4.067 | 0.0727 | 0.103 | 0.0018 |
| Thailand | 68.86 | 4.728 | 0.0687 | 0.034 | 0.0005 |
| Iraq | 37.20 | 2.466 | 0.0663 | 0.025 | 0.0007 |
| Ecuador | 16.38 | 1.057 | 0.0645 | 0.036 | 0.0022 |
| Dominican Republic | 10.65 | 0.661 | 0.0621 | 0.004 | 0.0004 |
| Mexico | 127.54 | 7.483 | 0.0587 | 0.333 | 0.0026 |
| Philippines | 103.32 | 4.077 | 0.0395 | 0.066 | 0.0006 |
| Morocco | 35.27 | 1.272 | 0.0361 | 0.016 | 0.0005 |
| India | 1420.00 | 44.691 | 0.0315 | 0.531 | 0.0004 |
| Indonesia | 261.12 | 6.738 | 0.0258 | 0.161 | 0.0006 |
| Saudi Arabia | 32.28 | 0.830 | 0.0257 | 0.010 | 0.0003 |
| Venezuela | 31.57 | 0.552 | 0.0175 | 0.006 | 0.0002 |
| Algeria | 40.61 | 0.271 | 0.0067 | 0.007 | 0.0002 |
| Senegal | 15.41 | 0.089 | 0.0058 | 0.002 | 0.0001 |
| Egypt | 95.69 | 0.516 | 0.0054 | 0.025 | 0.0003 |
| China | 1410.00 | 4.904 | 0.0035 | 0.101 | 0.0001 |
Disclaimer/Publisher’s Note: The statements, opinions and data contained in all publications are solely those of the individual author(s) and contributor(s) and not of MDPI and/or the editor(s). MDPI and/or the editor(s) disclaim responsibility for any injury to people or property resulting from any ideas, methods, instructions or products referred to in the content. |
© 2024 by the authors. Licensee MDPI, Basel, Switzerland. This article is an open access article distributed under the terms and conditions of the Creative Commons Attribution (CC BY) license (https://creativecommons.org/licenses/by/4.0/).
Share and Cite
Kröger, M.; Schlickeiser, R. On the Analytical Solution of the SIRV-Model for the Temporal Evolution of Epidemics for General Time-Dependent Recovery, Infection and Vaccination Rates. Mathematics 2024, 12, 326. https://doi.org/10.3390/math12020326
Kröger M, Schlickeiser R. On the Analytical Solution of the SIRV-Model for the Temporal Evolution of Epidemics for General Time-Dependent Recovery, Infection and Vaccination Rates. Mathematics. 2024; 12(2):326. https://doi.org/10.3390/math12020326
Chicago/Turabian StyleKröger, Martin, and Reinhard Schlickeiser. 2024. "On the Analytical Solution of the SIRV-Model for the Temporal Evolution of Epidemics for General Time-Dependent Recovery, Infection and Vaccination Rates" Mathematics 12, no. 2: 326. https://doi.org/10.3390/math12020326
APA StyleKröger, M., & Schlickeiser, R. (2024). On the Analytical Solution of the SIRV-Model for the Temporal Evolution of Epidemics for General Time-Dependent Recovery, Infection and Vaccination Rates. Mathematics, 12(2), 326. https://doi.org/10.3390/math12020326

