Synthesis and Properties of Bi1.8Mn0.5Ni0.5Ta2O9-Δ Pyrochlore
Abstract
1. Introduction
2. Experimental Part
3. Results and Discussion
3.1. Synthesis and Microstructure, Raman Spectroscopy
3.2. XPS and NEXAFS Spectroscopy
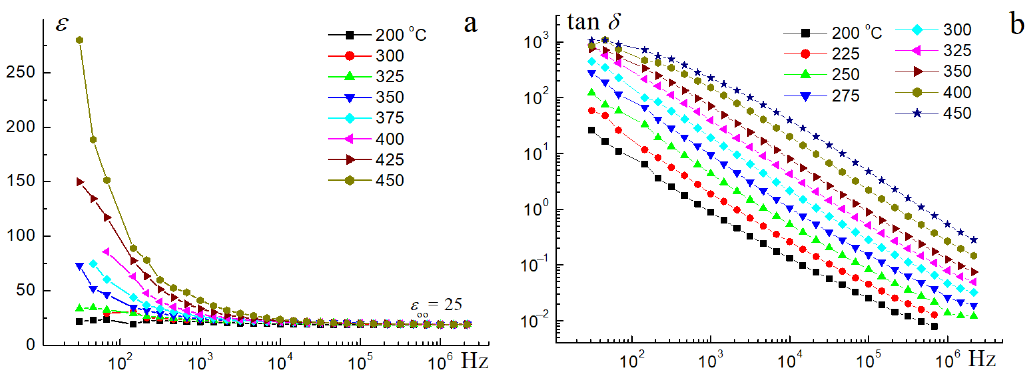
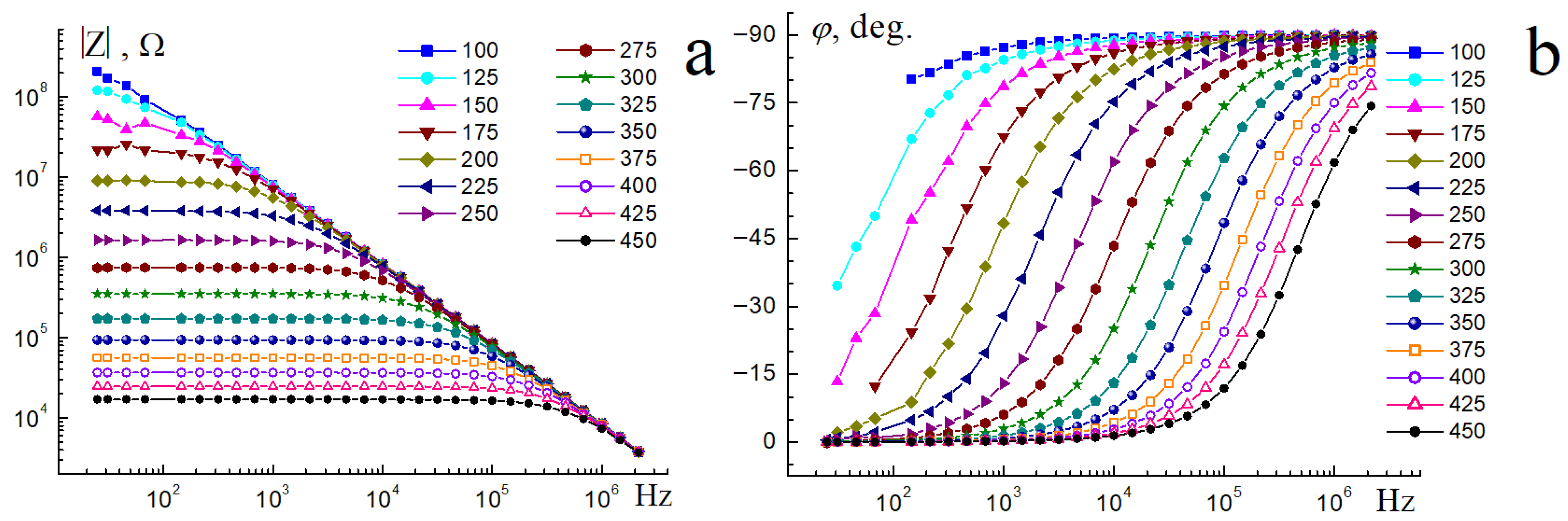
3.3. Electrical Properties
4. Conclusions
Supplementary Materials
Author Contributions
Funding
Data Availability Statement
Acknowledgments
Conflicts of Interest
References
- Bongers, P.F.; Van Meurs, E.R. Ferromagnetism in Compounds with Pyrochlore Structure. J. Appl. Phys. 1967, 38, 944–945. [Google Scholar] [CrossRef]
- Hiroi, Z.; Yamaura, J.I.; Yonezawa, S.; Harima, H. Chemical trends of superconducting properties in pyrochlore oxides. Phys. C Supercond. Appl. 2007, 460–462, 20–27. [Google Scholar] [CrossRef]
- Greedan, J.E. Frustrated rare earth magnetism: Spin glasses, spin liquids and spin ices in pyrochlore oxides. J. Alloys Comp. 2006, 408–412, 444–455. [Google Scholar] [CrossRef]
- Murugesan, S.; Huda, M.N.; Yan, Y.; Al-Jassim, M.M.; Subramanian, V. Band-Engineered Bismuth Titanate Pyrochlores for Visible Light Photocatalysis. J. Phys. Chem. C 2010, 114, 10598–10605. [Google Scholar] [CrossRef]
- Giampaoli, G.; Siritanon, T.; Day, B.; Li, J.; Subramanian, M.A. Temperature in-dependent low loss dielectrics based on quaternary pyrochlore oxides. Prog. Solid State Chem. 2018, 50, 16–23. [Google Scholar] [CrossRef]
- Du, H.; Yao, X. Structural trends and dielectric properties of Bi-based pyrochlores. J. Mater. Sci. Mater. Electron. 2004, 15, 613–616. [Google Scholar] [CrossRef]
- McCaule, R.A. Structural Characteristics of Pyrochlore Formation. J. Appl. Phys. 1980, 51, 290–294. [Google Scholar] [CrossRef]
- Subramanian, M.A.; Aravamudan, G.; Subba Rao, G.V. Oxide pyrochlores—A review. Prog. Sol. St. Chem. 1983, 15, 55–143. [Google Scholar] [CrossRef]
- Matteucci, F.; Cruciani, G.; Dondi, M.; Baldi, G.; Barzanti, A. Crystal structural and optical properties of Cr-doped Y2Ti2O7 and Y2Sn2O7 pyrochlores. Acta Mater. 2007, 55, 2229–2238. [Google Scholar] [CrossRef]
- Hector, A.L.; Wiggin, S.B. Synthesis and structural study of stoichiometric Bi2Ti2O7 pyrochlore. J. Solid State Chem. 2004, 177, 139–145. [Google Scholar] [CrossRef]
- Lufaso, M.W.; Vanderah, T.A.; Pazos, I.M.; Levin, I.; Roth, R.S.; Nino, J.C.; Provenzano, V.; Schenck, P.K. Phase formation, crystal chemistry, and properties in the system Bi2O3-Fe2O3-Nb2O5. J. Sol. St. Chem. 2006, 179, 3900–3910. [Google Scholar] [CrossRef]
- Vanderah, T.A.; Lufaso, M.W.; Adler, A.U.; Levin, I.; Nino, J.C.; Provenzano, V.; Schenck, P.K. Subsolidus phase equilibria and properties in the system Bi2O3:Mn2O3 ± x:Nb2O5. J. Sol. St. Chem. 2006, 179, 3467–3477. [Google Scholar] [CrossRef]
- Nguyen, H.B.; Noren, L.; Liu, Y.; Withers, R.L.; Wei, X.R.; Elcombe, M.M. The disordered structures and low temperature dielectric relaxation properties of two misplaced-displacive cubic pyrochlores found in the Bi2O3-MO-Nb2O5 (M = Mg, Ni) systems. J. Sol. St. Chem. 2007, 180, 2558–2565. [Google Scholar] [CrossRef]
- Valant, M. Dielectric Relaxations in Bi2O3-Nb2O5-NiO Cubic Pyrochlores. J. Am. Ceram. Soc. 2009, 92, 955–958. [Google Scholar] [CrossRef]
- Zhuk, N.A.; Sekushin, N.A.; Krzhizhanovskaya, M.G.; Kharton, V.V. Multiple relaxation, reversible electrical breakdown and bipolar conductivity of pyrochlore–type Bi2Cu0.5Zn0.5Ta2O9 ceramics. Sol. St. Ion. 2022, 377, 115868. [Google Scholar] [CrossRef]
- Abdullah, A.; Wan Khalid, W.E.F.; Abdullah, S.Z. Synthesis and Characterization of Bismuth Nickel Tantalate Pyrochlore. Appl. Mech. Mater. 2015, 749, 30–35. [Google Scholar] [CrossRef]
- Zhuk, N.A.; Krzhizhanovskaya, M.G.; Koroleva, A.V.; Nekipelov, S.V.; Kharton, V.V.; Sekushin, N.A. Thermal Expansion, XPS Spectra, and Structural and Electrical Properties of a New Bi2NiTa2O9 Pyrochlore. Inorg. Chem. 2021, 60, 4924–4934. [Google Scholar] [CrossRef]
- Zhuk, N.A.; Krzhizhanovskaya, M.G.; Sekushin, N.A.; Kharton, V.V.; Koroleva, A.V.; Nekipelov, S.V.; Sivkov, D.V.; Sivkov, V.N.; Makeev, B.A.; Lebedev, A.M.; et al. Novel Ni-Doped Bismuth–Magnesium Tantalate Pyrochlores: Structural and Electrical Properties, Thermal Expansion, X-ray Photoelectron Spectroscopy, and Near-Edge X-ray Absorption Fine Structure Spectra. ACS Omega 2021, 6, 23262–23273. [Google Scholar] [CrossRef]
- Rylchenko, E.P.; Makeev, B.A.; Sivkov, D.V.; Korolev, R.I.; Zhuk, N.A. Features of phase formation of pyrochlore-type Bi2Cr1/6Mn1/6Fe1/6Co1/6Ni1/6Cu1/6Ta2O9+Δ. Lett. Mater. 2022, 12, 486–492. [Google Scholar] [CrossRef]
- Parshukova, K.N.; Sekushin, N.A.; Makeev, B.A.; Krzhizhanovskaya, M.G.; Koroleva, A.V.; Zhuk, N.A. Synthesis and dielectric properties, XPS spectroscopy study of high-entropy pyrochlore. Lett. Mater. 2022, 12, 469–474. [Google Scholar] [CrossRef]
- Zhuk, N.A.; Makeev, B.A.; Sivkov, D.V.; Rylchenko, E.P.; Parshukova, K.N. Features of bismuth tantalate based high-entropy pyrochlores preparation. Ceram. Intern. 2022, 48, 31723–31727. [Google Scholar] [CrossRef]
- Gilev, A.R.; Kiselev, E.A.; Sukhanov, K.S.; Korona, D.V.; Cherepanov, V.A. Evaluation of La2-x(Ca/Sr)xNi1-yFeyO4+δ (x = 0.5, 0.6; y = 0.4, 0.5) as cathodes for proton-conducting SOFC based on lanthanum tungstate. Electrochim. Acta 2022, 421, 140479. [Google Scholar] [CrossRef]
- Shevchenko, V.A.; Komayko, A.I.; Sivenkova, E.V.; Samigullin, R.R.; Skvortsova, I.A.; Abakumov, A.M.; Nikitina, V.A.; Drozhzhin, O.A.; Antipov, E.V. Effect of Ni/Fe/Mn ratio on electrochemical properties of the O3–NaNi1-x-yFexMnyO2 (0.25 ≤ x,y ≤ 0.75) cathode materials for Na-ion batteries. J. Power Sources 2024, 596, 234092. [Google Scholar] [CrossRef]
- Aksenova, T.V.; Mysik, D.K.; Cherepanov, V.A. Crystal Structure and Properties of Gd1-xSrxCo1-yFeyO3-δ Oxides as Promising Materials for Catalytic and SOFC Application. Catalysts 2022, 12, 1344. [Google Scholar] [CrossRef]
- Sun, S.; Xue, Y.; Yang, D.; Pei, Z.; Fang, L.; Xia, Y.; Ti, R.; Wang, C.; Liu, C.; Xiong, B.; et al. Bismuth pyrochlores with varying Fe/Co ratio for efficient Multi-Functional Catalysis: Structure evolution versus Photo- and Electro-catalytic activities. Chem. Engin. J. 2022, 448, 137580. [Google Scholar] [CrossRef]
- Bruker AXS. Topas, 5.0. General Profile and Structure Analysis Software for Powder Diffraction Data. Bruker AXS: Karlsruhe, Germany, 2014.
- Roth, R.S.; Waring, J.L. Synthesis and stability of bismutotantalite, stibiotantalite and chemically similar ABO4 compounds. Am. Mineral. 1963, 48, 1348–1356. [Google Scholar] [CrossRef]
- Zhuk, N.A.; Krzhizhanovskaya, M.G.; Belyy, V.A.; Kharton, V.V.; Chichineva, A.I. Phase transformations and thermal expansion of α- and β-BiTaO4 and the high-temperature modification γ-BiTaO4. Chem. Mater 2020, 32, 5493–5501. [Google Scholar] [CrossRef]
- Zhuk, N.A.; Krzhizhanovskaya, M.G.; Sekushin, N.A.; Sivkov, D.V.; Abdurakhmanov, I.E. Crystal structure, dielectric and thermal properties of cobalt doped bismuth tantalate pyrochlore. J. Mater. Res. Technol. 2023, 22, 1791–1799. [Google Scholar] [CrossRef]
- Shannon, R.D. Revised effective ionic radii and systematic studies of interatomic distances in halides and chalcogenides. Acta Crystallogr. A. 1976, 32, 751–767. [Google Scholar] [CrossRef]
- Zhuk, N.A.; Makeev, B.A.; Koroleva, A.V.; Lebedev, A.M.; Petrova, O.V.; Nekipelov, S.V.; Sivkov, V.N. XPS and NEXAFS Characterization of Mg/Zn and Mn Codoped Bismuth Tantalate Pyrochlores. Inorganics 2024, 12, 74. [Google Scholar] [CrossRef]
- Piir, I.V.; Prikhodko, D.A.; Ignatchenko, S.V.; Schukariov, A.V. Preparation and structural investigations of the mixed bismuth niobates, containing transition metals. Sol. St. Ion. 1997, 101–103, 1141–1146. [Google Scholar] [CrossRef]
- Brown, S.; Gupta, H.C.; Alonso, J.A.; Martinez-Lope, M.J. Vibrational spectra and force field calculation of A2Mn2O7(A=Y, Dy, Er, Yb) pyrochlores. J. Raman Spectrosc. 2003, 34, 240–243. [Google Scholar] [CrossRef]
- Fischer, M.; Malcherek, T.; Bismayer, U.; Blaha, P.; Schwarz, K. Structure and stability of Cd2Nb2O7 and Cd2Ta2O7 explored by ab initio calculations. Phys. Rev. B 2008, 78, 014108. [Google Scholar] [CrossRef]
- Patterson, C.H. First-principles calculation of the structure and dielectric properties of Bi2Ti2O7. Phys. Rev. B 2010, 82, 155103. [Google Scholar] [CrossRef]
- Krayzman, V.; Levin, I.; Woicik, J.C. Local structure of displacively disordered pyrochlore dielectrics. Chem. Mater. 2007, 19, 932–936. [Google Scholar] [CrossRef]
- Jana, Y.M.; Nand, S.; Gupta, H.C. Lattice dynamics and force constant calculation for the Raman and infra-red wave numbers of cubic bismuth-based pyrochlore compounds. J. Mol. Struct. 2018, 1154, 463–468. [Google Scholar] [CrossRef]
- Sudheendran, K.; Raju, K.C.J.; Singh, M.K.; Katiyar, R.S. Microwave dielectric and Raman scattering studies on bismuth zinc niobate thin films. J. Appl. Phys. 2008, 104, 104104. [Google Scholar] [CrossRef]
- Rahman, R.A.U.; Ruth, D.E.J.; Ramaswamy, M. Emerging scenario on displacive cubic bismuth pyrochlores (Bi,M)MNO7-δ (M = transition metal, N = Nb, Ta, Sb) in context of their fascinating structural, dielectric and magnetic properties. Ceram. Int. 2020, 46, 14346–14360. [Google Scholar] [CrossRef]
- Zhuk, N.A.; Nekipelov, S.V.; Petrova, O.V.; Makeev, B.A.; Isaenko, S.I.; Krzhizhanovskaya, M.G.; Parshukova, K.N.; Korolev, R.I.; Simpeleva, R.A. Synthesis, Phase Formation, and Raman Spectroscopy of Ni and Zn(Mg) Codoped Bismuth Stibate Pyrochlore. Chemistry 2025, 7, 110. [Google Scholar] [CrossRef]
- Gupta, H.C.; Brown, S.; Rani, N.; Gohel, V.B. Lattice dynamic investigation of the zone center wavenumbers of the cubic A2Ti2O7 pyrochlores. J. Raman Spectrosc. 2001, 32, 41–44. [Google Scholar] [CrossRef]
- Arenas, D.J.; Gasparov, L.V.; Qiu, W.; Nino, J.C.; Patterson, C.H.; Tanner, D.B. Raman study of phonon modes in bismuth pyrochlores. Phys. Rev. B Condens. Matter Mater. Phys. 2010, 82, 214302. [Google Scholar] [CrossRef]
- Chen, M.; Tanner, D.B.; Nino, J.C. Infrared study of the phonon modes in bismuth pyrochlores. Phys. Rev. B 2005, 72, 054303. [Google Scholar] [CrossRef]
- Grissa, R.; Martinez, H.; Cotte, S.; Galipaud, J.; Pecquenard, B.; Cras, F.L. Thorough XPS analyses on overlithiated manganese spinel cycled around the 3V plateau. Appl. Surf. Sci. 2017, 411, 449–456. [Google Scholar] [CrossRef]
- Stranick, M.A. Mn2O3 by XPS. Surf. Sci. Spectra 1999, 6, 39–46. [Google Scholar] [CrossRef]
- Gri, F.; Bigiani, L.; Gasparotto, A.; Maccato, C.; Barreca, D. XPS investigation of F-doped MnO2 nanosystems fabricated by plasma assisted-CVD. Surf. Sci. Spectra 2018, 25, 024004. [Google Scholar] [CrossRef]
- Lasia, A. Electrochemical Impedance Spectroscopy and Its Applications; Springer Science + Business Media: New York, NY, USA, 2014; p. 369. [Google Scholar] [CrossRef]
- Barsoukov, E.; Macdonald, J.R. Impedance Spectroscopy: Theory, Experiment and Application; Wiley—Interscience: Hoboken, NJ, USA, 2005; p. 606. [Google Scholar]











| Frequency (cm−1) | Symmetry | Oscillation Type | ||
|---|---|---|---|---|
| Sample Number | ||||
| 1 | 2 | 3 | ||
| 136 | 135 | 136 | F1u | Angular oscillations O-A-O, O′-A-O′ |
| 175 | 168 | 168 | F1u | Chemical bond vibrations A-BO6 |
| 223 | 221 | 223 | F2g + F1u | Chemical bond vibrations A-O (A-Bi) |
| 265 | 270 | 267 | Eg + F2g + F1 | Chemical bond vibrations A-O′, O-B-O in the octahedra BO6 |
| 477 | 480 | 480 | A1g + F2g | Bond vibrations B-O, Bi-O′ (B-Ta) |
| 511 | 511 | 517 | A1g + F2g | Bond vibrations B-O (B-Mn, Ni) |
| 723 | 724 | 728 | F2g | Bond vibrations B-O (B-Mn, Ni, Ta) |
| T, °C | C, pF | R, Ω | RW, Ω | TW, s | P | χ2 × 104 |
|---|---|---|---|---|---|---|
| 200 | 18.7 | 1.006 × 107 | 9.41 × 107 | 1.18 × 10−3 | 0.460 | 9.7 |
| 225 | 18.7 | 4.396 × 106 | 3.15 × 107 | 4.33 × 10−4 | 0.411 | 4.6 |
| 250 | 18.6 | 1.826 × 106 | 1.724 × 107 | 2.15 × 10−4 | 0.436 | 4 |
| 275 | 18.6 | 8.185 × 105 | 8.84 × 106 | 9.60 × 10−5 | 0.463 | 4 |
| 300 | 18.6 | 3.87 × 105 | 3.74 × 106 | 4.13 × 10−5 | 0.449 | 4 |
| 325 | 18.6 | 1.97 × 105 | 1.40 × 106 | 1.53 × 10−5 | 0.410 | 4.5 |
| 350 | 18.4 | 1.158 × 105 | 4.91 × 105 | 4.10 × 10−6 | 0.399 | 6 |
| 375 | 17.9 | 1.27 × 105 | 1.01 × 105 | 6.524 × 10−7 | 0.398 | 6 |
| 400 | 17.9 | 5.80 × 104 | 1.012 × 105 | 6.78 × 10−7 | 0.391 | 9 |
| 425 | 17.8 | 3.30 × 104 | 1.009 × 105 | 6.54 × 10−7 | 0.402 | 9 |
| 450 | 17.8 | 2.05 × 104 | 1.004 × 105 | 7.49 × 10−7 | 0.382 | 4.5 |
Disclaimer/Publisher’s Note: The statements, opinions and data contained in all publications are solely those of the individual author(s) and contributor(s) and not of MDPI and/or the editor(s). MDPI and/or the editor(s) disclaim responsibility for any injury to people or property resulting from any ideas, methods, instructions or products referred to in the content. |
© 2025 by the authors. Licensee MDPI, Basel, Switzerland. This article is an open access article distributed under the terms and conditions of the Creative Commons Attribution (CC BY) license (https://creativecommons.org/licenses/by/4.0/).
Share and Cite
Nekipelov, S.V.; Petrova, O.V.; Koroleva, A.V.; Krzhizhanovskaya, M.G.; Parshukova, K.N.; Sekushin, N.A.; Makeev, B.A.; Zhuk, N.A. Synthesis and Properties of Bi1.8Mn0.5Ni0.5Ta2O9-Δ Pyrochlore. Chemistry 2025, 7, 119. https://doi.org/10.3390/chemistry7040119
Nekipelov SV, Petrova OV, Koroleva AV, Krzhizhanovskaya MG, Parshukova KN, Sekushin NA, Makeev BA, Zhuk NA. Synthesis and Properties of Bi1.8Mn0.5Ni0.5Ta2O9-Δ Pyrochlore. Chemistry. 2025; 7(4):119. https://doi.org/10.3390/chemistry7040119
Chicago/Turabian StyleNekipelov, Sergey V., Olga V. Petrova, Alexandra V. Koroleva, Mariya G. Krzhizhanovskaya, Kristina N. Parshukova, Nikolay A. Sekushin, Boris A. Makeev, and Nadezhda A. Zhuk. 2025. "Synthesis and Properties of Bi1.8Mn0.5Ni0.5Ta2O9-Δ Pyrochlore" Chemistry 7, no. 4: 119. https://doi.org/10.3390/chemistry7040119
APA StyleNekipelov, S. V., Petrova, O. V., Koroleva, A. V., Krzhizhanovskaya, M. G., Parshukova, K. N., Sekushin, N. A., Makeev, B. A., & Zhuk, N. A. (2025). Synthesis and Properties of Bi1.8Mn0.5Ni0.5Ta2O9-Δ Pyrochlore. Chemistry, 7(4), 119. https://doi.org/10.3390/chemistry7040119

