The 3D Spatial Autocorrelation of the Branching Fractal Vasculature
Abstract
1. Introduction
Fractal Structures and Scattering
2. Theory of Scattering Applied to Fractal Branching Networks
2.1. General Theory
2.2. The Long Cylindrical Shape
3. Methods
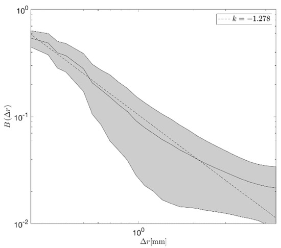
4. Results
5. Discussion
5.1. Consequence of the Model and Power Law
5.2. Refinement of Theory vs. Experiments
6. Conclusions
Author Contributions
Funding
Acknowledgments
Conflicts of Interest
Appendix A. Particular Form of Fourier Transform Pairs
- (a)
 - Fourier transform in one dimension:
 - (b)
 - Fourier transform/Hankel transform for cylindrical symmetry:
 - (c)
 - Three-dimensional Fourier transform with spherical symmetry:
 
References
- Debye, P.; Bueche, A.M. Scattering by an inhomogeneous solid. J. Appl. Phys. 1949, 20, 518–525. [Google Scholar] [CrossRef]
 - Morse, P.M.; Ingard, K.U. Theoretical Acoustics; Princeton University Press: Princeton, NJ, USA, 1987; Chapter 8. [Google Scholar]
 - Mandelbrot, B.B. Fractals: Form, Chance, and Dimension; W.H. Freeman: San Francisco, CA, USA, 1997; p. 365. [Google Scholar]
 - Bassingthwaighte, J.B.; Bever, R.P. Fractal correlation in heterogeneous systems. Phys. D 1991, 53, 71–84. [Google Scholar] [CrossRef]
 - Glenny, R.W.; Robertson, H.T.; Yamashiro, S.; Bassingthwaighte, J.B. Applications of fractal analysis to physiology. J. Appl. Physiol. 1991, 70, 2351–2367. [Google Scholar] [PubMed]
 - Lin, M.Y.; Lindsay, H.M.; Weitz, D.A.; Ball, R.C.; Klein, R.; Meakin, P. Universality of fractal aggregates as probed by light scattering. Proc. R. Soc. Lond. A 1989, 423, 71–87. [Google Scholar]
 - Javanaud, C. The application of a fractal model to the scattering of ultrasound in biological media. J. Acoust. Soc. Am. 1989, 86, 493–496. [Google Scholar] [CrossRef]
 - Shapiro, S.A. Elastic waves scattering and radiation by fractal inhomogeneity of a medium. Geophys. J. Int. 1992, 110, 591–600. [Google Scholar] [CrossRef]
 - Sheppard, C.J.R.; Connolly, T.J. Imaging of random surfaces. J. Mod. Optic. 1995, 42, 861–881. [Google Scholar] [CrossRef]
 - Lambert, S.A.; Nasholm, S.P.; Nordsletten, D.; Michler, C.; Juge, L.; Serfaty, J.M.; Bilston, L.; Guzina, B.; Holm, S.; Sinkus, R. Bridging three orders of magnitude: Multiple scattered waves sense fractal microscopic structures via dispersion. Phys. Rev. Lett. 2015, 115, 094301. [Google Scholar] [CrossRef]
 - Posnansky, O.; Guo, J.; Hirsch, S.; Papazoglou, S.; Braun, J.; Sack, I. Fractal network dimension and viscoelastic powerlaw behavior: I. A modeling approach based on a coarse-graining procedure combined with shear oscillatory rheometry. Phys. Med. Biol. 2012, 57, 4023–4040. [Google Scholar] [CrossRef] [PubMed]
 - Insana, M.F.; Wagner, R.F.; Brown, D.G.; Hall, T.J. Describing small-scale structure in random media using pulse-echo ultrasound. J. Acoust. Soc. Am. 1990, 87, 179–192. [Google Scholar] [CrossRef]
 - Ishimaru, A. Wave Propagation and Scattering in Random Media; Academic Press: New York, NY, USA, 1978; Volume 2, p. 572. [Google Scholar]
 - Campbell, J.A.; Waag, R.C. Ultrasonic scattering properties of three random media with implications for tissue characterization. J. Acoust. Soc. Am. 1984, 75, 1879–1886. [Google Scholar] [CrossRef]
 - Parker, K.J. Hermite scatterers in an ultraviolet sky. Phys. Lett. A 2017, 381, 3845–3848. [Google Scholar]
 - Bracewell, R.N. The Fourier transform and its applications. In The Fourier Transform and Its Applications; McGraw-Hill: New York, NY, USA, 1965; Chapter 12. [Google Scholar]
 - Baddour, N. Operational and convolution properties of three-dimensional Fourier transforms in spherical polar coordinates. J. Opt. Soc. Am. A Opt. Image Sci. Vis. 2010, 27, 2144–2155. [Google Scholar] [CrossRef]
 - Krenz, G.S.; Linehan, J.H.; Dawson, C.A. A fractal continuum model of the pulmonary arterial tree. J. Appl. Physiol. 1992, 72, 2225–2237. [Google Scholar] [CrossRef]
 - Miller, R.K.; Wier, P.J.; Maulik, D.; di Sant’Agnese, P.A. Human placenta in vitro: Characterization during 12 h of dual perfusion. Contrib. Gynecol. Obstet. 1985, 13, 77–84. [Google Scholar]
 - Miller, R.K.; Mace, K.; Polliotti, B.; DeRita, R.; Hall, W.; Treacy, G. Marginal transfer of ReoPro (Abciximab) compared with immunoglobulin G (F105), inulin and water in the perfused human placenta in vitro. Placenta 2003, 24, 727–738. [Google Scholar] [CrossRef]
 - Menjoge, A.R.; Rinderknecht, A.L.; Navath, R.S.; Faridnia, M.; Kim, C.J.; Romero, R.; Miller, R.K.; Kannan, R.M. Transfer of PAMAM dendrimers across human placenta: Prospects of its use as drug carrier during pregnancy. J. Control. Release 2011, 150, 326–338. [Google Scholar] [CrossRef][Green Version]
 - McAleavey, S.A.; Parker, K.J.; Ormachea, J.; Wood, R.W.; Stodgell, C.J.; Katzman, P.J.; Pressman, E.K.; Miller, R.K. Shear wave elastography in the living, perfused, post-delivery placenta. Ultrasound Med. Biol. 2016, 42, 1282–1288. [Google Scholar] [CrossRef]
 - Campbell, J.A.; Waag, R.C. Measurements of calf liver ultrasonic differential and total scattering cross sections. J. Acoust. Soc. Am. 1984, 75, 603–611. [Google Scholar] [CrossRef]
 - Bamber, J.C.; Hill, C.R. Acoustic properties of normal and cancerous human liver—I. Dependence on pathological condition. Ultrasound Med. Biol. 1981, 7, 121–133. [Google Scholar] [CrossRef]
 - Nicholas, D. Evaluation of backscattering coefficients for excised human tissues: Results, interpretation and associated measurements. Ultrasound Med. Biol. 1982, 8, 17–28. [Google Scholar] [CrossRef]
 - Lizzi, F.L.; Greenebaum, M.; Feleppa, E.J.; Elbaum, M.; Coleman, D.J. Theoretical framework for spectrum analysis in ultrasonic tissue characterization. J. Acoust. Soc. Am. 1983, 73, 1366–1373. [Google Scholar] [CrossRef]
 - D’Astous, F.T.; Foster, F.S. Frequency dependence of ultrasound attenuation and backscatter in breast tissue. Ultrasound Med. Biol. 1986, 12, 795–808. [Google Scholar] [CrossRef]
 - Reid, J.M.; Shung, K.K. Quantitative measurements of scattering of ultrasound by heart and liver. In Ultrasonic Tissue Characterization II; Special Publication 525; National Bureau of Standards, U.S. Government Printing Office: Washington, DC, USA, 1979. [Google Scholar]
 - Ghoshal, G.; Lavarello, R.J.; Kemmerer, J.P.; Miller, R.J.; Oelze, M.L. Ex vivo study of quantitative ultrasound parameters in fatty rabbit livers. Ultrasound Med. Biol. 2012, 38, 2238–2248. [Google Scholar] [CrossRef]
 - Lu, Z.F.; Zagzebski, J.A.; Lee, F.T. Ultrasound backscatter and attenuation in human liver with diffuse disease. Ultrasound Med. Biol. 1999, 25, 1047–1054. [Google Scholar] [CrossRef]
 - Oelze, M.L.; Zachary, J.F. Examination of cancer in mouse models using high-frequency quantitative ultrasound. Ultrasound Med. Biol. 2006, 32, 1639–1648. [Google Scholar] [CrossRef] [PubMed]
 - Rouyer, J.; Cueva, T.; Yamamoto, T.; Portal, A.; Lavarello, R.J. In vivo estimation of attenuation and backscatter coefficients from human thyroids. IEEE Trans. Ultrason. Ferroelectr. Freq. Control 2016, 63, 1253–1261. [Google Scholar] [CrossRef] [PubMed]
 - Schmitt, J.M.; Kumar, G. Turbulent nature of refractive-index variations in biological tissue. Opt. Lett. 1996, 21, 1310–1312. [Google Scholar] [CrossRef] [PubMed]
 - Risser, L.; Plouraboue, F.; Steyer, A.; Cloetens, P.; le Duc, G.; Fonta, C. From homogeneous to fractal normal and tumorous microvascular networks in the brain. J. Cereb. Blood Flow Metab. 2007, 27, 293–303. [Google Scholar] [CrossRef] [PubMed]
 - Parker, K.J.; Ormachea, J.; McAleavey, S.A.; Wood, R.W.; Carroll-Nellenback, J.J.; Miller, R.K. Shear wave dispersion behaviors of soft, vascularized tissues from the microchannel flow model. Phys. Med. Biol. 2016, 61, 4890. [Google Scholar] [CrossRef]
 - Gan, R.Z.; Tian, Y.; Yen, R.T.; Kassab, G.S. Morphometry of the dog pulmonary venous tree. J. Appl. Physiol. 1993, 75, 432–440. [Google Scholar] [CrossRef]
 - Singhal, S.; Henderson, R.; Horsfield, K.; Harding, K.; Cumming, G. Morphometry of the human pulmonary arterial tree. Circ. Res. 1973, 33, 190–197. [Google Scholar] [CrossRef]
 






| 10 | 1000 | −1.6 | 
| 10 | 10,000 | −1.5 | 
| 100 | 1000 | −1.3 | 
| 100 | 10,000 | −1.3 | 
| 100 | 100,000 | −1.3 | 
© 2019 by the authors. Licensee MDPI, Basel, Switzerland. This article is an open access article distributed under the terms and conditions of the Creative Commons Attribution (CC BY) license (http://creativecommons.org/licenses/by/4.0/).
Share and Cite
Parker, K.J.; Carroll-Nellenback, J.J.; Wood, R.W. The 3D Spatial Autocorrelation of the Branching Fractal Vasculature. Acoustics 2019, 1, 369-381. https://doi.org/10.3390/acoustics1020020
Parker KJ, Carroll-Nellenback JJ, Wood RW. The 3D Spatial Autocorrelation of the Branching Fractal Vasculature. Acoustics. 2019; 1(2):369-381. https://doi.org/10.3390/acoustics1020020
Chicago/Turabian StyleParker, Kevin J., Jonathan J. Carroll-Nellenback, and Ronald W. Wood. 2019. "The 3D Spatial Autocorrelation of the Branching Fractal Vasculature" Acoustics 1, no. 2: 369-381. https://doi.org/10.3390/acoustics1020020
APA StyleParker, K. J., Carroll-Nellenback, J. J., & Wood, R. W. (2019). The 3D Spatial Autocorrelation of the Branching Fractal Vasculature. Acoustics, 1(2), 369-381. https://doi.org/10.3390/acoustics1020020
        
