The Effect of Changing the Beam of an Ancient Ship’s Hull on Its Capacity, Stability, and Performance
Abstract
1. Introduction
2. Materials and Methods
2.1. Generation of CAD Model
2.2. Estimation of the Kyrenia Draft
2.3. Variation in the Ship Beam
2.4. Testing
3. Results
4. Discussion
5. Conclusions
Author Contributions
Funding
Data Availability Statement
Acknowledgments
Conflicts of Interest
Appendix A
| Hull Form Width | 0.9B | 0.95B | Original | 1.05B | 1.1B | CFD |
|---|---|---|---|---|---|---|
| Displacement, t | 19.848 | 20.95 | 22.053 | 23.156 | 24.259 | 22 |
| Velocity, kt | Resistance, N | |||||
| 0.5 | 9.2 | 9.5 | 9.9 | 10.3 | 10.7 | 7.321 |
| 1 | 32.6 | 33.9 | 35.2 | 36.6 | 37.9 | 28.781 |
| 1.5 | 68.6 | 71.3 | 74.1 | 76.9 | 79.8 | |
| 2 | 116.1 | 120.7 | 125.4 | 130.2 | 135 | 114.692 |
| 2.5 | 174.6 | 181.4 | 188.5 | 195.6 | 202.9 | |
| 3 | 243.4 | 252.8 | 262.7 | 272.5 | 282.6 | 250.787 |
| 3.5 | 322.7 | 335 | 347.8 | 360.7 | 373.8 | |
| 4 | 414.9 | 429.9 | 445.6 | 461.4 | 477.6 | 447.895 |
| 4.5 | 527.4 | 544.7 | 562.4 | 580.5 | 599.2 | 590.61 |
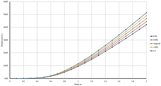
| Hull Form Width | 0.9 B | Hull Form Width | 0.95 B | Hull Form Width | Original | Hull Form Width | 1.05 B | Hull Form Width | 1.1 B |
|---|---|---|---|---|---|---|---|---|---|
| Draft | Displacement, t | Draft | Displacement, t | Draft | Displacement, t | Draft | Displacement, t | Draft | Displacement, t |
| 0.1 | 0.05 | 0.1 | 0.05 | 0.1 | 0.05 | 0.1 | 0.06 | 0.1 | 0.06 |
| 0.2 | 0.12 | 0.2 | 0.13 | 0.2 | 0.13 | 0.2 | 0.14 | 0.2 | 0.15 |
| 0.3 | 0.22 | 0.3 | 0.23 | 0.3 | 0.25 | 0.3 | 0.26 | 0.3 | 0.27 |
| 0.4 | 0.41 | 0.4 | 0.43 | 0.4 | 0.46 | 0.4 | 0.48 | 0.4 | 0.50 |
| 0.5 | 0.81 | 0.5 | 0.86 | 0.5 | 0.90 | 0.5 | 0.95 | 0.5 | 0.99 |
| 0.6 | 1.70 | 0.6 | 1.79 | 0.6 | 1.88 | 0.6 | 1.98 | 0.6 | 2.07 |
| 0.7 | 3.07 | 0.7 | 3.25 | 0.7 | 3.42 | 0.7 | 3.59 | 0.7 | 3.76 |
| 0.8 | 4.85 | 0.8 | 5.12 | 0.8 | 5.39 | 0.8 | 5.66 | 0.8 | 5.93 |
| 0.9 | 6.98 | 0.9 | 7.36 | 0.9 | 7.75 | 0.9 | 8.14 | 0.9 | 8.53 |
| 1 | 9.39 | 1 | 9.91 | 1 | 10.44 | 1 | 10.96 | 1 | 11.48 |
| 1.1 | 12.06 | 1.1 | 12.73 | 1.1 | 13.40 | 1.1 | 14.07 | 1.1 | 14.74 |
| 1.2 | 14.92 | 1.2 | 15.75 | 1.2 | 16.58 | 1.2 | 17.41 | 1.2 | 18.24 |
| 1.3 | 17.96 | 1.3 | 18.96 | 1.3 | 19.95 | 1.3 | 20.95 | 1.3 | 21.95 |
| 1.4 | 21.13 | 1.4 | 22.31 | 1.4 | 23.48 | 1.4 | 24.65 | 1.4 | 25.83 |
| 1.5 | 24.42 | 1.5 | 25.78 | 1.5 | 27.13 | 1.5 | 28.49 | 1.5 | 29.85 |
| 1.6 | 27.80 | 1.6 | 29.34 | 1.6 | 30.89 | 1.6 | 32.43 | 1.6 | 33.98 |
| 1.7 | 31.26 | 1.7 | 33.00 | 1.7 | 34.74 | 1.7 | 36.47 | 1.7 | 38.21 |
| 1.8 | 34.79 | 1.8 | 36.72 | 1.8 | 38.66 | 1.8 | 40.59 | 1.8 | 42.52 |
| 1.9 | 38.38 | 1.9 | 40.51 | 1.9 | 42.64 | 1.9 | 44.77 | 1.9 | 46.90 |
| 2 | 42.01 | 2 | 44.34 | 2 | 46.68 | 2 | 49.01 | 2 | 51.35 |
| Hull Form | 0.9 B | Hull Form | 0.95 B | Hull Form | Original | Hull Form | 1.05 B | Hull Form | 1.1 B | |||||
|---|---|---|---|---|---|---|---|---|---|---|---|---|---|---|
| Angle, ° | Lever, mm | Moment, Nm | Angle, ° | Lever, mm | Moment, Nm | Angle, ° | Lever, mm | Moment, Nm | Angle, ° | Lever, mm | Moment, Nm | Angle, ° | Lever, mm | Moment, Nm |
| 0 | 0 | 0 | 0 | 0.00 | 0.00 | 0 | 0.00 | 0.00 | 0 | 0.00 | 0.00 | 0 | 0.00 | 0.00 |
| 1 | 37.00 | 7204.74 | 1 | 39.27 | 8070.34 | 1 | 41.65 | 9011.39 | 1 | 44.16 | 10,031.71 | 1 | 46.79 | 11,135.33 |
| 2 | 74.00 | 14,407.36 | 2 | 78.52 | 16,137.86 | 2 | 83.29 | 18,019.06 | 2 | 88.30 | 20,058.51 | 2 | 93.56 | 22,264.78 |
| 3 | 110.97 | 21,605.80 | 3 | 117.75 | 24,199.78 | 3 | 124.89 | 27,019.30 | 3 | 132.40 | 30,076.48 | 3 | 140.27 | 33,381.47 |
| 4 | 147.90 | 28,797.97 | 4 | 156.93 | 32,253.27 | 4 | 166.44 | 36,008.34 | 4 | 176.43 | 40,078.76 | 4 | 186.91 | 44,479.52 |
| 5 | 184.80 | 35,981.77 | 5 | 196.06 | 40,295.69 | 5 | 207.92 | 44,982.85 | 5 | 220.38 | 50,062.39 | 5 | 233.44 | 55,553.05 |
| 6 | 221.64 | 43,155.43 | 6 | 235.13 | 48,324.58 | 6 | 249.32 | 53,939.51 | 6 | 264.23 | 60,022.49 | 6 | 279.84 | 66,595.19 |
| 7 | 258.42 | 50,316.99 | 7 | 274.11 | 56,337.03 | 7 | 290.62 | 62,874.16 | 7 | 307.95 | 69,954.13 | 7 | 326.09 | 77,601.02 |
| 8 | 295.13 | 57,463.95 | 8 | 313.01 | 64,330.21 | 8 | 331.80 | 71,783.37 | 8 | 351.52 | 79,851.44 | 8 | 372.15 | 88,563.70 |
| 9 | 331.75 | 64,594.43 | 9 | 351.79 | 72,301.17 | 9 | 372.85 | 80,662.72 | 9 | 394.92 | 89,710.49 | 9 | 418.00 | 99,475.36 |
| 10 | 368.28 | 71,705.85 | 10 | 390.45 | 80,246.32 | 10 | 413.74 | 89,508.54 | 10 | 438.13 | 99,525.39 | 10 | 463.62 | 110,330.13 |
| 11 | 404.69 | 78,795.77 | 11 | 428.97 | 88,163.25 | 11 | 454.45 | 98,316.68 | 11 | 481.12 | 109,291.25 | 11 | 508.97 | 121,123.09 |
| 12 | 440.98 | 85,862.26 | 12 | 467.33 | 96,048.70 | 12 | 494.97 | 107,083.65 | 12 | 523.88 | 119,004.13 | 12 | 554.02 | 131,844.44 |
| 13 | 477.14 | 92,903.04 | 13 | 505.54 | 103,899.81 | 13 | 535.29 | 115,805.10 | 13 | 566.36 | 128,655.21 | 13 | 598.75 | 142,490.25 |
| 14 | 513.16 | 99,915.65 | 14 | 543.55 | 111,712.64 | 14 | 575.36 | 124,474.83 | 14 | 608.57 | 138,242.52 | 14 | 643.15 | 153,053.66 |
| 15 | 549.01 | 106,896.79 | 15 | 581.36 | 119,483.97 | 15 | 615.20 | 133,092.88 | 15 | 650.48 | 147,762.14 | 15 | 687.17 | 163,530.74 |
References
- Gillmer, T.C.; Johnson, B. Introduction to Naval Architecture; Naval Institute Press: Annapolis, MD, USA, 1982. [Google Scholar]
- McGrail, S. Experimental archaeology and the estimation of performance. In Studies in Maritime Archaeology; BAR Publishing: Oxford, UK, 1997; pp. 313–315. [Google Scholar]
- Dumas, F. Deep-Water Archaeology; Routledge & Kegan Paul: London, UK, 1962; pp. 9–12. [Google Scholar]
- Muckelroy, K. Maritime Archaeology; Cambridge University Press: Cambridge, UK, 1978; pp. 53, 170–172. [Google Scholar]
- Martin, C. Wreck-Site Formation. In The Oxford Handbook of Maritime Archaeology; Oxford University Press: Oxford, UK, 2011; pp. 47–67. [Google Scholar]
- Steffy, J.R. Wooden Ship Building and the Interpretation of Shipwrecks; Texas A&M University Press: College Station, TX, USA, 1994; pp. 42–59. [Google Scholar]
- Steffy, J.R. The Kyrenia ship: An interim report on its Hull construction. Am. J. Archaeol. 1985, 89, 71–101. [Google Scholar] [CrossRef]
- Katzev, M.L. The Kyrenia. Shipwreck. Exped. Mag. 1969, 11, 6–11. [Google Scholar]
- Katzev, M.L. The Kyrenia Ship. In A History of Seafaring Based on Underwater Archaeology; Bass, G.F., Ed.; Walker and Company: New York, NY, USA, 1972; pp. 50–52. [Google Scholar]
- Katzev, S.W. The Ancient Ship of Kyrenia, Beneath Cyprus Seas. In Great Moments of Archaeology; Valavanes, P., Delevorrias, A., Eds.; Kapon: Athens, Greece, 2007; pp. 286–299. [Google Scholar]
- Katzev, S.W.; Wylde Swiny, H. The Kyrenia Ship Final Excavation Report; History of the Excavation, Amphoras, Ceramics, Coins and Evidence for Dating; Oxbow: Oxford, UK; Philadelphia, PA, USA, 2023; Volume I. [Google Scholar]
- Katzev, M.L. A replica of the Kyrenia ship. INA Newsl. 1980, 7, 1–6. [Google Scholar]
- Katzev, M.L. The Reconstruction of the Kyrenia Ship, 1972–1975. Natl. Geopgraphic Soc. Res. Rep. 1981, 13, 315–328. [Google Scholar]
- Katzev, M.L. Voyage of Kyrenia II. INA Newsl. 1989, 16, 4–10. [Google Scholar]
- Katzev, M.L. An analysis of the experimental voyages of Kyrenia II. In Proceedings of the 2nd International Symposium on Ship Construction in Antiquity, Delphi, Greece, 27–29 August 1987. [Google Scholar]
- Tzalas, H.E. Kyrenia Ship Exhibition: A Voyage into Time and Legend aboard the Kyrenia Ship. National Archaeological Museum. In Proceedings of the 2nd International Symposium on Ship Construction in Antiquity, Delphi, Greece, 27–29 August 1987. [Google Scholar]
- Tzalas, H.E. The Kyrenia II. An Attempt of Experimental Archaeology. In Great Moments in Greek Archaeology; Valavanis, P., Ed.; The J. Paul Getty Museum: Los Angeles, CA, USA, 2007; pp. 300–305. [Google Scholar]
- Tzalas, H.E. Kyrenia II, the trireme Olympias, the papyrella: Three different endeavours in nautical experimental archaeology. Archaeonautica 2018, 20, 239–246. [Google Scholar] [CrossRef]
- Katzev, S.W. The Kyrenia Ship: Her Recent Journey. NEA 2008, 71, 76–81. [Google Scholar] [CrossRef]
- Green, J.; Adams, D.; Woods, A. The Kyrenia Ship Three-dimensional Modelling Project. AIMA Newsl. 2022, 2022, 5–71. [Google Scholar]
- Harpster, M. Kyrenia shipwreck excavation. In Encyclopedia of Global Archaeology; Smith, C., Ed.; Springer Nature Switzerland AG: Cham, Switzerland, 2019. [Google Scholar] [CrossRef]
- Katzev, M.L.; Katzev, S.W. ‘Kyrenia II’: Building a replica of an ancient Greek merchantman. In Proceedings of the 1st International Symposium on Ship Construction in Antiquity, Piraeus, Greece, 30 August–1 September 1985. [Google Scholar]
- Katzev, S.W.; Katzev, M.L. Kyrenia II. Research on an ancient shipwreck comes full circle in a full-scale replication. INA Newsl. 1986, 13, 1–11. [Google Scholar]
- Parker, A.J. Ancient Shipwrecks of the Mediterranean and the Roman Provinces; BAR International Series 580; Archaeopress: Oxford, UK, 1992. [Google Scholar]
- Cariolou, G.A. Kyrenia II: The Return from Cyprus to Greece of the Replica of a Hellenic Merchant Ship. In Res Maritimae; Cyprus and the Eastern Mediterranean from Prehistory to Late Antiquity; Swiny, S., Hohlfelder, R.L., Wylde Swiny, H., Eds.; Schoolar Press: Atlanta, Georgia, 1997; pp. 83–97. [Google Scholar]
- Hellenica World. Available online: https://www.hellenicaworld.com/Cyprus/History/en/KyreniaShip.html (accessed on 23 May 2024).
- Rudan, S.; Sviličić, Š.; Munić, I.; Cantilena, A.L.; Radić Rossi, I.; Lucchini, A. Comparison of Different Methods for Ancient Ship Calm Water Resistance Estimation. J. Mar. Sci. Eng. 2024, 12, 658. [Google Scholar] [CrossRef]
- Tanner, P. 3D laser scanning for the digital reconstruction and analysis of a 16th century clinker built sailing vessel. In ACUA Underwater Archaeology Proceedings; Advisory Council on Underwater Archaeology: Pensacola, FL, USA, 2013. [Google Scholar]
- Cannon, S.; Boyd, S.; Whitewright, J. Development of a Quantitative Method for the Assessment of Historic Ship Performance, In Practical Design of Ships and Other Floating Structures; PRADS 2019, Lecture Notes in Civil Engineering, 63; Okada, T., Suzuki, K., Kawamura, Y., Eds.; Springer: Singapore, 2021. [Google Scholar] [CrossRef]
- Vis Central. Available online: https://vis-central.com/vodic/ribarski-muzej (accessed on 23 May 2024).
- Crumlin-Pedersen, O.; McGrail, S. Some principles for the reconstruction of ancient boat structures. Int. J. Naut. Archaeol. 2006, 35, 53–57. [Google Scholar] [CrossRef]
- Coates, J.; McGrail, S.; Brown, D.; Gifford, E.; Grainge, G.; Greenhill, B.; Marsden, P.; Rankov, B.; Tipping, C.; Wright, E. Experimental boat and ship archaeology: Principles and methods. Int. J. Naut. Archaeol. 1995, 24, 293–301. [Google Scholar] [CrossRef]













| Length (m) | Beam (m) | Height (m) | Draft (m) | Deadweight (t) | Displacement (t) | Freeboard (m) | |
| KYRENIA | |||||||
| Katzev 1981 | 14.7 | 4.3 | 30 | ||||
| Steffy 1985 | 13.86 | 4.2 | around 2.1 at midships | 25 | |||
| Parker 1992 | 13.6 | 4.4 | 20 (cargo) | 14 | |||
| Steffy 1994 | 13.86 | 4.2 | around 2.1 at midships | 25 | |||
| Katzev 2005 | 14 | 4.2 | over 17 | ||||
| Katzev 2007 | 14 | 4.2 | over 17 | ||||
| Harpster 2019 | around 14 | around 4 | slightly over 2 at midships | 25 | |||
| Katzev. Wylde. Swiny 2023 | 14.7 | 4.3 | 1.4 | slightly below 30 | |||
| KYRENIA II | |||||||
| Katzev. Katzev 1985 | 13.76 | 4.2 | |||||
| Katzev. Katzev 1986 | 13.76 | 4.2 | 25 | ||||
| Katzev 1989 | 14 | 30 | |||||
| Katzev 1990 | 14 | 30 | |||||
| Cariolou 1997 | 17.574 (amphoras cargo) | 1.5 | |||||
| Length overall (including posts) | 14.22 m |
| Length at waterline for a draft of 1.36 m | 13.37 m |
| Beam | 4.24 m |
| Beam at waterline for a draft of 1.36 m | 3.87 m |
Disclaimer/Publisher’s Note: The statements, opinions and data contained in all publications are solely those of the individual author(s) and contributor(s) and not of MDPI and/or the editor(s). MDPI and/or the editor(s) disclaim responsibility for any injury to people or property resulting from any ideas, methods, instructions or products referred to in the content. |
© 2024 by the authors. Licensee MDPI, Basel, Switzerland. This article is an open access article distributed under the terms and conditions of the Creative Commons Attribution (CC BY) license (https://creativecommons.org/licenses/by/4.0/).
Share and Cite
Rudan, S.; Radić Rossi, I.; Jerat, G.; Zamarin, A.; Sviličić, Š.; Lucchini, A. The Effect of Changing the Beam of an Ancient Ship’s Hull on Its Capacity, Stability, and Performance. Heritage 2024, 7, 6712-6728. https://doi.org/10.3390/heritage7120310
Rudan S, Radić Rossi I, Jerat G, Zamarin A, Sviličić Š, Lucchini A. The Effect of Changing the Beam of an Ancient Ship’s Hull on Its Capacity, Stability, and Performance. Heritage. 2024; 7(12):6712-6728. https://doi.org/10.3390/heritage7120310
Chicago/Turabian StyleRudan, Smiljko, Irena Radić Rossi, Grgo Jerat, Albert Zamarin, Šimun Sviličić, and Alice Lucchini. 2024. "The Effect of Changing the Beam of an Ancient Ship’s Hull on Its Capacity, Stability, and Performance" Heritage 7, no. 12: 6712-6728. https://doi.org/10.3390/heritage7120310
APA StyleRudan, S., Radić Rossi, I., Jerat, G., Zamarin, A., Sviličić, Š., & Lucchini, A. (2024). The Effect of Changing the Beam of an Ancient Ship’s Hull on Its Capacity, Stability, and Performance. Heritage, 7(12), 6712-6728. https://doi.org/10.3390/heritage7120310

