Dye Identification in Mounting Textiles of Traditional Korean Paintings from the Late Joseon Dynasty
Abstract
1. Introduction
2. Materials and Methods
Reference Materials
3. Results
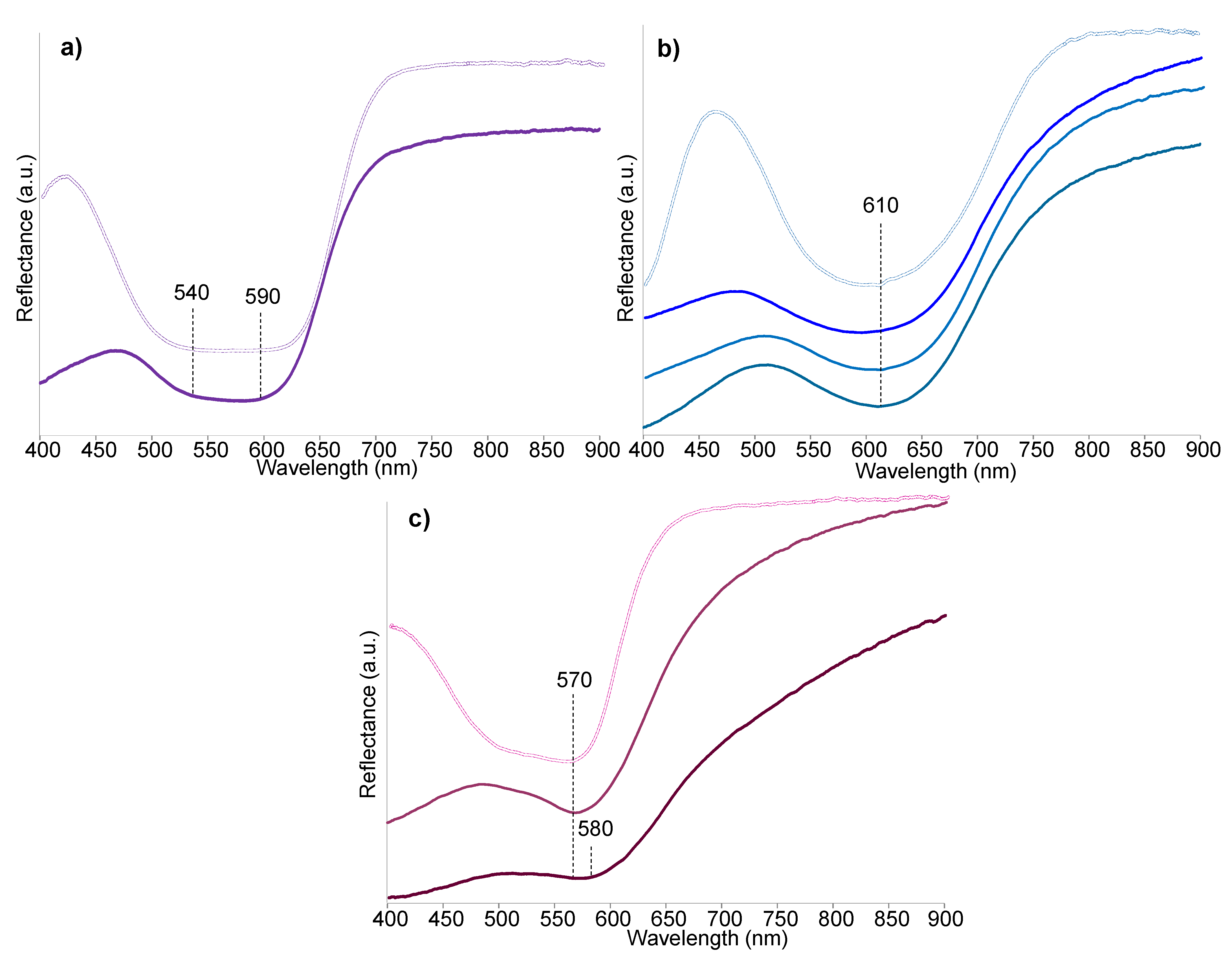
3.1. P1-Portrait Scroll of Chae Je-Gong
3.2. P2-Two-Panel Screen Painting of Pyeongsaeng-do (‘Scenes of Life’)
3.3. P3-Twelve-Panel Screen Painting of Scenes of Five Confucian Virtues
4. Conclusions
Supplementary Materials
Author Contributions
Funding
Institutional Review Board Statement
Informed Consent Statement
Data Availability Statement
Acknowledgments
Conflicts of Interest
References
- Welham, R.D. The Early History of the Synthetic Dye Industry. J. Soc. Dye. Colour. 1963, 79, 146–152. [Google Scholar] [CrossRef]
- Hagan, E.; Castro-Soto, I.; Breault, M.; Poulin, J. The lightfastness of early synthetic organic dyes. Herit. Sci. 2022, 10, 50. [Google Scholar] [CrossRef]
- Degani, L.; Gulmini, M.; Piccablotto, G.; Iacomussi, P.; Gastaldi, D.; Dal Bello, F.; Chiantore, O. Stability of natural dyes under light emitting diode lamps. J. Cult. Herit. 2017, 26, 12–21. [Google Scholar] [CrossRef]
- Tamburini, D.; Dyer, J. Fibre optic reflectance spectroscopy and multispectral imaging for the non-invasive investigation of Asian colourants in Chinese textiles from Dunhuang (7th–10th century AD). Dye. Pigment. 2019, 162, 494–511. [Google Scholar] [CrossRef]
- Van Gulik, R. Chinese Pictorial Art as Viewed by the Connoisseur: Notes on the Means and Methods of Traditonal Chinese Connisseurship of Pictorial Art, Based upon a Study of the Art of Mounting Scrolls in China and Japan; Instituto Italiano per il Medio ed Estremo Oriente: Rome, Italy, 1958. [Google Scholar]
- Kim-Marandet, M. The Mounting of Korean Painting During the Joseon Dynasty (1392); Sorbonne University: Paris, France, 2018. [Google Scholar]
- Zhang, H. Masterpieces of Chinese Painting, 700-1900; Museum, V.A., Ed.; V&A Publishing: London, UK, 2013; pp. 11–25. [Google Scholar]
- Shaftel, A. Conservation Treatment of Tibetan Thangkas. J. Am. Inst. Conserv. 1991, 30, 3–11. [Google Scholar] [CrossRef]
- Tamburini, D.; Dyer, J.; Heady, T.; Derham, A.; Kim-Marandet, M.; Pullan, M.; Luk, Y.-P.; Ramos, I. Bordering on Asian Paintings: Dye Analysis of Textile Borders and Mount Elements to Complement Research on Asian Pictorial Art. Heritage 2021, 4, 240. [Google Scholar] [CrossRef]
- Tamburini, D.; Cartwright, C.R.; Pullan, M.; Vickers, H. An investigation of the dye palette in Chinese silk embroidery from Dunhuang (Tang dynasty). Archaeol. Anthropol. Sci. 2019, 11, 1221–1239. [Google Scholar] [CrossRef]
- Tamburini, D. Investigating Asian colourants in Chinese textiles from Dunhuang (7th-10th century AD) by high performance liquid chromatography tandem mass spectrometry—Towards the creation of a mass spectra database. Dye. Pigment. 2019, 163, 454–474. [Google Scholar] [CrossRef]
- Chavanne, C.; Troalen, L.G.; Fronty, I.B.; Buléon, P.; Walter, P. Noninvasive Characterization and Quantification of Anthraquinones in Dyed Woolen Threads by Visible Diffuse Reflectance Spectroscopy. Anal. Chem. 2022, 94, 7674–7682. [Google Scholar] [CrossRef]
- Caggiani, M.C.; Forleo, T.; Pojana, G.; Lagioia, G.; Mangone, A.; Giannossa, L.C. Characterization of silk-cotton and wool-cotton blends pattern books by fibre optic reflectance spectroscopy. The booming market of first synthetic textile dyes in early 20th century. Microchem. J. 2022, 175, 107178. [Google Scholar] [CrossRef]
- Ding, L.; Gong, T.; Wang, B.; Yang, Q.; Liu, W.; Pemo, R.; Metok, T. Non-invasive study of natural dyes in textiles of the Qing Dynasty using fiber optic reflectance spectroscopy. J. Cult. Herit. 2021, 47, 69–78. [Google Scholar] [CrossRef]
- Tamburini, D.; Breitung, E.; Mori, C.; Kotajima, T.; Clarke, M.L.; McCarthy, B. Exploring the transition from natural to synthetic dyes in the production of 19th-century Central Asian ikat textiles. Herit. Sci. 2020, 8, 114. [Google Scholar] [CrossRef]
- Fonseca, B.; Schmidt Patterson, C.; Ganio, M.; MacLennan, D.; Trentelman, K. Seeing red: Towards an improved protocol for the identification of madder- and cochineal-based pigments by fiber optics reflectance spectroscopy (FORS). Herit. Sci. 2019, 7, 92. [Google Scholar] [CrossRef]
- Aceto, M.; Agostino, A.; Fenoglio, G.; Idone, A.; Gulmini, M.; Picollo, M.; Ricciardi, P.; Delaney, J.K. Characterisation of colourants on illuminated manuscripts by portable fibre optic UV-visible-NIR reflectance spectrophotometry. Anal. Methods 2014, 6, 1488–1500. [Google Scholar] [CrossRef]
- Nakamura, R.; Tanaka, Y.; Ogata, A.; Masakazu, N. Scientific evidence by fluorescence spectrometry for safflower red on ancient Japanese textiles stored in the Shosoin Treasure House repository. Stud. Conserv. 2014, 59, 367–376. [Google Scholar] [CrossRef]
- Sasaki, Y.; Sasaki, K. Analysis of protoberberines in historical textiles: Determining the provenance of East Asian textiles by analysis of phellodendron. e-Preserv. Sci. 2013, 10, 83–89. [Google Scholar]
- Nakamura, R.; Tanaka, Y.; Ogata, A.; Naruse, M. Dye Analysis of Shosoin Textiles Using Excitation−Emission Matrix Fluorescence and Ultraviolet−Visible Reflectance Spectroscopic Techniques. Anal. Chem. 2009, 81, 5691–5698. [Google Scholar] [CrossRef]
- de Ferri, L.; Tripodi, R.; Martignon, A.; Ferrari, E.S.; Lagrutta-Diaz, A.C.; Vallotto, D.; Pojana, G. Non-invasive study of natural dyes on historical textiles from the collection of Michelangelo Guggenheim. Spectrochim. Acta Part A Mol. Biomol. Spectrosc. 2018, 204, 548–567. [Google Scholar] [CrossRef]
- Guo, Y.; Shi, L.; Zhou, X.; Xia, W.; Zhang, L.; Xu, Z.; Luo, X.; Zhang, W. A precise self-built MS/MS database for identifying red dyes and dyeing techniques with UPLC-QTOF-ESI-MS/MS. J. Mass Spectrom. 2022, 57, e4823. [Google Scholar] [CrossRef]
- Chen, V.; Minto, R.; Manicke, N.; Smith, G. Structural elucidation of two Congo red derivatives on dyed historical objects indicative of formaldehyde exposure and the potential for chemical fading. Dye. Pigment. 2022, 201, 110173. [Google Scholar] [CrossRef]
- Wozniak, M.M.; Witkowski, B.; Ganeczko, M.; Gierczak, T.; Biesaga, M. Textile dyeing in Medieval Sudan evidenced by HPLC-MS analyses: Material traces of a disappeared activity. J. Archaeol. Sci. Rep. 2021, 38, 103098. [Google Scholar] [CrossRef]
- Tamburini, D.; Shimada, C.M.; McCarthy, B. The molecular characterization of early synthetic dyes in E. Knecht et al’s textile sample book “A Manual of Dyeing” (1893) by high performance liquid chromatography—Diode array detector—Mass spectrometry (HPLC-DAD-MS). Dye. Pigment. 2021, 190, 109286. [Google Scholar] [CrossRef]
- Liu, J.; Li, W.; Kang, X.; Zhao, F.; He, M.; She, Y.; Zhou, Y. Profiling by HPLC-DAD-MSD reveals a 2500-year history of the use of natural dyes in Northwest China. Dye. Pigment. 2021, 187, 109143. [Google Scholar] [CrossRef]
- Lech, K.; Nawała, J.; Popiel, S. Mass Spectrometry for Investigation of Natural Dyes in Historical Textiles: Unveiling the Mystery behind Safflower-Dyed Fibers. J. Am. Soc. Mass Spectrom. 2021, 32, 2552–2566. [Google Scholar] [CrossRef]
- Sabatini, F.; La Nasa, J.; Guerrini, C.; Modugno, F.; Bonadio, S.; Ursino, F.; Tosini, I.; Colombini, M.P.; Degano, I. On the Set of Fellini’s Movies: Investigating and Preserving Multi-Material Stage Costumes Exploiting Spectroscopic and Mass Spectrometric Techniques. Appl. Sci. 2021, 11, 2954. [Google Scholar] [CrossRef]
- Armitage, R.A.; Fraser, D.; Degano, I.; Colombini, M.P. The analysis of the Saltzman Collection of Peruvian dyes by high performance liquid chromatography and ambient ionisation mass spectrometry. Herit. Sci. 2019, 7, 81. [Google Scholar] [CrossRef]
- Mouri, C.; Mozaffarian, V.; Zhang, X.; Laursen, R. Characterization of flavonols in plants used for textile dyeing and the significance of flavonol conjugates. Dye. Pigment. 2014, 100, 135–141. [Google Scholar] [CrossRef]
- Liu, J.; Mouri, C.; Laursen, R.; Zhao, F.; Zhou, Y.; Li, W. Characterization of dyes in ancient textiles from Yingpan, Xinjiang. J. Archaeol. Sci. 2013, 40, 4444–4449. [Google Scholar] [CrossRef]
- Mouri, C.; Laursen, R. Identification of anthraquinone markers for distinguishing Rubia species in madder-dyed textiles by HPLC. Microchim. Acta 2012, 179, 105–113. [Google Scholar] [CrossRef]
- Available online: https://www.britishmuseum.org/collection/object/A_1996-0329-0-1 (accessed on 1 November 2022).
- Available online: https://m.cha.go.kr/public/commentary/culSelectDetail.do;jsessionid=SXMh8K0B2XxFo1lVGjU5r0vc7ibL0TmAutVPAApT1zD2vxpfJljNe5cOieNANtBa.cha-was01_servlet_engine2?ccbaKdcd=12&ccbaAsno=14770100&ccbaCtcd=31&ccbaCpno=&menuId=03 (accessed on 1 November 2022).
- Kim, M. Broken history: Redefining eighteenth-century Korean portrait painting mounts. Stud. Conserv. 2014, 59, S58–S61. [Google Scholar] [CrossRef]
- Available online: https://www.britishmuseum.org/collection/object/A_2016-3028-1 (accessed on 1 November 2022).
- Available online: https://www.britishmuseum.org/collection/object/A_1957-1214-0-1 (accessed on 1 November 2022).
- Knecht, E.; Rawson, C.; Loewenthal, R. A Manual of Dyeing: For the Use of Practical Dyers, Manufacturers, Students, and All Interested in the Art of Dyeing (Specimen of Dyed Fabrics); Charles Griffin and Company: London, UK, 1893. [Google Scholar]
- Tamburini, D.; Dyer, J.; Vandenbeusch, M.; Borla, M.; Angelici, D.; Aceto, M.; Oliva, C.; Facchetti, F.; Aicardi, S.; Davit, P.; et al. A multi-scalar investigation of the colouring materials used in textile wrappings of Egyptian votive animal mummies. Herit. Sci. 2021, 9, 106. [Google Scholar] [CrossRef]
- Tamburini, D.; Dyer, J.; Davit, P.; Aceto, M.; Turina, V.; Borla, M.; Vandenbeusch, M.; Gulmini, M. Compositional and Micro-Morphological Characterisation of Red Colourants in Archaeological Textiles from Pharaonic Egypt. Molecules 2019, 24, 3761. [Google Scholar] [CrossRef] [PubMed]
- Witkoś, K.; Lech, K.; Jarosz, M. Identification of degradation products of indigoids by tandem mass spectrometry. J. Mass Spectrom. 2015, 50, 1245–1251. [Google Scholar] [CrossRef] [PubMed]
- Laursen, R.; Mouri, C. Decomposition and analysis of carthamin in safflower-dyed textiles. e-Preserv. Sci. 2013, 10, 35–37. [Google Scholar]
- Costantini, R.; Vanden Berghe, I.; Izzo, F.C. New insights into the fading problems of safflower red dyed textiles through a HPLC-PDA and colorimetric study. J. Cult. Herit. 2019, 38, 37–45. [Google Scholar] [CrossRef]
- Wouters, J.; Grzywacz, C.M.; Claro, A. Markers for Identification of Faded Safflower (Carthamus tinctorius L.) Colorants by HPLC-PDA-MS—Ancient Fibres, Pigments, Paints and Cosmetics Derived from Antique Recipes. Stud. Conserv. 2010, 55, 186–203. [Google Scholar] [CrossRef]
- Doherty, B.; Degano, I.; Romani, A.; Higgitt, C.; Peggie, D.; Colombini, M.P.; Miliani, C. Identifying Brazilwood’s Marker Component, Urolithin C, in Historical Textiles by Surface-Enhanced Raman Spectroscopy. Heritage 2021, 4, 78. [Google Scholar] [CrossRef]
- Peggie, D.A.; Kirby, J.; Poulin, J.; Genuit, W.; Romanuka, J.; Wills, D.F.; De Simone, A.; Hulme, A.N. Historical mystery solved: A multi-analytical approach to the identification of a key marker for the historical use of brazilwood (Caesalpinia spp.) in paintings and textiles. Anal. Methods 2018, 10, 617–623. [Google Scholar] [CrossRef]
- Han, J.; Quye, A. Dyes and Dyeing in the Ming and Qing Dynasties in China: Preliminary Evidence Based on Primary Sources of Documented Recipes. Text. Hist. 2018, 49, 44–70. [Google Scholar] [CrossRef]
- Kim, S.-Y. Kinds and Types of Dyes Used in the Joseon Dynasty. J. Korean Soc. Cloth. Text. 2014, 38, 201–215. [Google Scholar] [CrossRef][Green Version]
- Montagner, C.; Bacci, M.; Bracci, S.; Freeman, R.; Picollo, M. Library of UV–Vis–NIR reflectance spectra of modern organic dyes from historic pattern-card coloured papers. Spectrochim. Acta Part A Mol. Biomol. Spectrosc. 2011, 79, 1669–1680. [Google Scholar] [CrossRef] [PubMed]
- Degano, I.; Sabatini, F.; Braccini, C.; Colombini, M.P. Triarylmethine dyes: Characterization of isomers using integrated mass spectrometry. Dye. Pigment. 2019, 160, 587–596. [Google Scholar] [CrossRef]
- Knecht, E.; Rawson, C.; Loewenthal, R. A Manual of Dyeing: For the Use of Practical Dyers, Manufacturers, Students, and All Interested in the Art of Dyeing (Volume II); Charles Griffin and Company: London, UK, 1893; Volume II. [Google Scholar]
- Colour Index, 3rd ed.; Society of Dyers and Colourists: Bradford, UK, 1971; Volume 1–5.
- Chen, V.J.; Smith, G.D.; Whitaker, M.R.; von Rabenau, B. Identification of Red Dyes in Selected Textiles from Chin and Karen Ethnic Groups of Myanmar by LC-DAD-ESI-MS. In Dyes in History and Archaeology 33/34; Kirby, J., Ed.; Archetype Publications: London, UK, 2021; pp. 92–101. [Google Scholar]
- Vermeulen, M.; Tamburini, D.; Müller, E.M.K.; Centeno, S.A.; Basso, E.; Leona, M. Integrating liquid chromatography mass spectrometry into an analytical protocol for the identification of organic colorants in Japanese woodblock prints. Sci. Rep. 2020, 10, 20921. [Google Scholar] [CrossRef] [PubMed]
- Vermeulen, M.; Burgio, L.; Vandeperre, N.; Driscoll, E.; Viljoen, M.; Woo, J.; Leona, M. Beyond the connoisseurship approach: Creating a chronology in Hokusai prints using non-invasive techniques and multivariate data analysis. Herit. Sci. 2020, 8, 62. [Google Scholar] [CrossRef]
- Palladino, N.; Hacke, M.; Poggi, G.; Nechyporchuk, O.; Kolman, K.; Xu, Q.; Persson, M.; Giorgi, R.; Holmberg, K.; Baglioni, P.; et al. Nanomaterials for Combined Stabilisation and Deacidification of Cellulosic Materials—The Case of Iron-Tannate Dyed Cotton. Nanomaterials 2020, 10, 900. [Google Scholar] [CrossRef]
- Wilson, H.; Carr, C.; Hacke, M. Production and validation of model iron-tannate dyed textiles for use as historic textile substitutes in stabilisation treatment studies. Chem. Cent. J. 2012, 6, 44. [Google Scholar] [CrossRef]













| Molecules | Formula | [M]+/[M+H]+ | [M-2H]2− | [M-H]− | Fragment Ions (+) | Fragment Ions (-) | Dye Sources | |
|---|---|---|---|---|---|---|---|---|
| 1996,0329,0.1-Portrait scroll of Chae Je-gong (P1) | ||||||||
| Light blue | Isatin | C8H5NO2 | 148.0393 | 146.0248 | 130, 120, 102, 92, 77, 65 | 118 | Indigo–unknown botanical origin | |
| Indigotin | C16H10N2O2 | 263.0815 | 261.067 | 235, 219, 206, 190, 132 | ||||
| Indirubin | C16H10N2O2 | 263.0815 | 261.067 | 235, 219, 206, 190, 132 | ||||
| Dark red/orange from tassel | Brasilein | C16H12O5 | 285.0757 | 283.0612 | 239, 175, 147, 123 | 265, 240, 196, 173 | Sappanwod (Biancaea sappan) | |
| Urolithin C | C13H8O5 | 245.0444 | 243.0299 | 226, 215, 198, 187, 171, 143 | ||||
| Hydroxyberberine | C20H17NO5+ | 352.1185 | 336, 320, 308, 290 | Amur cork tree (Phellodendron amurense) | ||||
| Hydroxypalmatine | C21H21NO5+ | 368.1492 | 352, 338, 324, 310 | |||||
| Jatrorrhizine | C20H19NO4+ | 338.1387 | 323, 322, 308, 306, 294, 280, 279 | |||||
| Berberine | C20H17NO4+ | 336.123 | 321, 320, 306, 304, 292, 278 | |||||
| Palmatine | C21H21NO4+ | 352.1543 | 336, 322, 308, 294 | |||||
| Bright red from hanging rod | Carthamin | C43H42O22 | 911.224 | 909.2095 | 891, 847, 659, 501, 449, 407, 287 | Safflower (Carthamus tinctorius) | ||
| Carthamin degradation product I | C21H22O11 | 451.1235 | 449.1089 | 299, 286, 261, 207, 153, 141, 119 | ||||
| Carthamin degradation product II | C22H22O12 | 479.1184 | 477.1038 | 459, 339, 327, 314, 309, 287, 269, 179, 119 | ||||
| 2016,3028.1-Two-panel screen painting of Pyeongsaeng-do (‘Scenes of life’) (P2) | ||||||||
| Purple | N-methyl-pararosaniline (rosaniline) | C20H20N3+ | 302.1656 | 286, 209, 195, 135, 119, 102, 62 | Methyl violet 3B–C.I. 42536-1866 | |||
| N,N-dimethyl-pararosaniline | C21H22N3+ | 316.1808 | 300, 286, 223, 209, 106 | |||||
| N,N,N-trimethyl-pararosaniline | C22H24N3+ | 330.1965 | 314, 300, 223, 208, 120 | |||||
| N,N,N,N-tetramethyl-pararosaniline | C23H26N3+ | 344.2121 | 328, 313, 301 237, 223 | |||||
| N,N,N,N,N-pentamethyl-pararosaniline | C24H28N3+ | 358.2278 | 342, 326, 289, 237, 214, 133, 119 | |||||
| N,N,N,N,N,N-hexamethyl-pararosaniline | C25H30N3+ | 372.2434 | 356, 328, 251 | |||||
| N-benzyl-N-methyl-pararosaniline | C27H26N3+ | 392.2121 | ||||||
| N-benzyl-N,N-dimethyl-pararosaniline | C28H28N3+ | 406.2278 | ||||||
| N-benzyl-N,N,N-trimethyl-pararosaniline | C29H30N3+ | 420.2434 | 404, 328, 313, 300, 258, 223 | |||||
| N-benzyl-N,N,N,N-tetramethyl-pararosaniline | C30H32N3+ | 434.2591 | 418, 342, 314, 272 | |||||
| N-benzyl-N,N,N,N,N- pentamethyl-pararosaniline | C31H34N3+ | 448.2747 | 432, 356, 342, 328 | |||||
| N,N-dibenzyl-N,N-dimethyl-pararosaniline | C35H34N3+ | 496.2724 | 404, 376, 312, 284 | |||||
| N,N-dibenzyl-N,N,N-trimethyl-pararosaniline | C36H36N3+ | 510.2904 | 418, 390, 326 | |||||
| N,N-dibenzyl-N,N,N,N-tetramethyl-pararosaniline | C37H38N3+ | 524.3060 | 432, 404, 340, 312 | |||||
| Blue | Disulphonated N,N-diphenyl-N-methyl-pararosaniline | C32H27N3O6S2 | 614.1414 | 305.5598 | 612.1269 | 532, 452, 367, 231, 80 | Methyl blue-C.I. 42780-1862 | |
| Disulphonated N,N-diiphenyl-N,N-dimethyl-pararosaniline | C33H29N3O6S2 | 628.1571 | 312.5676 | 626.1425 | 546, 466, 375, 177, 80 | |||
| Disulphonated N,N,N-triphenyl-pararosaniline | C37H29N3O6S2 | 676.1571 | 674.1425 | 596, 583, 516, 503, 427, 412, 347, 332, 254, 239, 215 | 594, 530, 514, 156, 80 | |||
| Disulphonated N,N,N-triphenyl-N-methyl-pararosaniline | C38H31N3O6S2 | 690.1727 | 688.1582 | 610, 530, 426, 346, 254, 217 | 608, 544, 530, 453, 171, 156, 107, 80 | |||
| Disulphonated N,N,N-triphenyl-N,N-dimethyl-pararosaniline | C39H33N3O6S2 | 704.1875 | 702.1738 | 624, 597, 544, 517, 440, 360, 268 | 622, 542, 476, 171, 156, 80 | |||
| Trisulphonated N,N,N-triphenyl-pararosaniline | C37H29N3O9S3 | 756.1139 | 376.5460 | 754.0993 | 676, 596, 507, 412, 345, 254 | 674, 594, 514 | ||
| Trisulphonated N,N,N-triphenyl-N-methyl-pararosaniline | C38H31N3O9S3 | 770.1295 | 383.2253 | 768.1150 | 690, 610, 583, 521, 426, 262 | 688, 608, 528 | ||
| Trisulphonated N,N,N-triphenyl-N,N-dimethyl-pararosaniline | C39H33N3O9S3 | 784.1452 | 390.5617 | 782.1306 | 704, 597, 535, 377, 320 | 702, 622 | ||
| Trisulphonated N,N,N-triphenyl-N,N,N-trimethyl-pararosaniline | C40H35N3O9S3 | 798.1608 | 397.5695 | 796.1463 | ||||
| Pink | Pararosaniline | C19H18N3+ | 288.1495 | 271, 195, 168,137 | Fuchsin-C.I. 42510-1856 | |||
| Methyl-pararosaniline | C20H20N3+ | 302.1656 | 286, 209, 195, 135, 119, 102, 62 | |||||
| Dimethyl-pararosaniline | C21H22N3+ | 316.1808 | 300, 286, 223, 209, 106 | |||||
| Trimethyl-pararosaniline | C22H24N3+ | 330.1965 | 314, 300, 223, 208, 120 | |||||
| Brown | Brasilein, Urolithin C | See “Dark red/orange from tassel” sample from P1 | Sappanwod (Biancaea sappan) | |||||
| Pararosaniline Methyl-pararosaniline Dimethyl-pararosaniline Trimethylpararosaniline | See “Pink” sample from P2 | Fuchsin-C.I. 42510-1856 | ||||||
| 1957,1214,0.1-Twelve-panel screen painting of scenes of Five Confucian virtues (P3) | ||||||||
| Blue cotton | Isatin, Indigotin, Indirubin | See “Light blue” sample from P1 | Indigo–unknown botanical origin | |||||
| Blue silk | See “blue” sample from P2 | Methyl blue | ||||||
| Brown | Ellagic acid | C14H6O8 | 303.0135 | 300.999 | 284, 245, 228, 200, 173, 145, 117 | 285, 275, 257, 229, 201 | Tannins–unknown botanical origin | |
| Pararosaniline Methyl-pararosaniline Dimethyl-pararosaniline Trimethylpararosaniline | See “Pink” sample from P2 | Fuchsin-C.I. 42510-1856 | ||||||
| Pink | Benzopurpurin 4B | C34H28N6O6S2 | 681.1585 | 339.0683 | 679.1439 | 445.1322, 353.1609, 222.0241, 196.1157 | 663, 599, 571, 445, 427, 234 | Benzopurpurin 4B–C.I. 23500-1884 |
| Benzopurpurin 4B + 1C | C35H28N6O6S2 | 693.1585 | 345.0683 | 691.1439 | ||||
| Benzopurpurin 4B + 2C | C36H28N6O6S2 | 705.1585 | 351.0683 | 703.1439 | 455, 391, 375, 247, 182, 167, 107 | |||
Disclaimer/Publisher’s Note: The statements, opinions and data contained in all publications are solely those of the individual author(s) and contributor(s) and not of MDPI and/or the editor(s). MDPI and/or the editor(s) disclaim responsibility for any injury to people or property resulting from any ideas, methods, instructions or products referred to in the content. |
© 2022 by the authors. Licensee MDPI, Basel, Switzerland. This article is an open access article distributed under the terms and conditions of the Creative Commons Attribution (CC BY) license (https://creativecommons.org/licenses/by/4.0/).
Share and Cite
Tamburini, D.; Kim-Marandet, M.; Kim, S.-a. Dye Identification in Mounting Textiles of Traditional Korean Paintings from the Late Joseon Dynasty. Heritage 2023, 6, 44-66. https://doi.org/10.3390/heritage6010003
Tamburini D, Kim-Marandet M, Kim S-a. Dye Identification in Mounting Textiles of Traditional Korean Paintings from the Late Joseon Dynasty. Heritage. 2023; 6(1):44-66. https://doi.org/10.3390/heritage6010003
Chicago/Turabian StyleTamburini, Diego, Meejung Kim-Marandet, and Sang-ah Kim. 2023. "Dye Identification in Mounting Textiles of Traditional Korean Paintings from the Late Joseon Dynasty" Heritage 6, no. 1: 44-66. https://doi.org/10.3390/heritage6010003
APA StyleTamburini, D., Kim-Marandet, M., & Kim, S.-a. (2023). Dye Identification in Mounting Textiles of Traditional Korean Paintings from the Late Joseon Dynasty. Heritage, 6(1), 44-66. https://doi.org/10.3390/heritage6010003
