Abstract
This study provides insights into the stabilization effects of certain oxides (CeO2, Cr2O3, Cd2O3, In2O3, MnO2, MgO, Nd2O3, and Pr2O3) in styrene–isoprene–styrene triblock copolymers with respect to neat materials. This study was performed via chemiluminescence (CL), which allowed for the determination of the main parameters characterizing the interphase coexistence: the oxidation induction times, oxidation rates, and onset oxidation temperatures. The improvement in the thermal performances of the pristine and γ-ray-processed samples at a moderate dose was highlighted differently due to the electronic interactions on the particle surface. While the non-isothermal CL measurements pointed to a weaker evolution of oxidation in the studied composites at a higher temperature range over 160 °C, the isothermal CL determinations revealed a delayed start of oxidation, slower oxidation rates, and greater activation energies in the nanocomposite aging patterns. The different individual behaviors of the investigated formulations were ascribed to the dissimilar electronic interactions between the particles and the surrounding matrix, where the oxidation initiators were formed by the molecular fragmentation of the polymer macromolecules. The kinetic features illustrate the influence of the peculiarities due to the electronic interactions. The higher resistance shown by the irradiated samples compared with the non-processed compositions demonstrates the stabilization efficiency of the fillers studied.
1. Introduction
Metallic oxide–polymer composites are receiving significant attention due to their diverse industrial applications. Due to the contributions of fillers, nanocomposites, whose expanding application ranges are tightly related to their improved properties, are becoming more competitive alternative sources for several purposes. The structural modifications that occur in polymers via the addition of inorganic compounds, such as metallic oxides, have been intensively studied [1,2,3]. The envisaged goals cover various achievements in several areas, including medicine, pharmacy, electronics, sensors, environmental applications, space and aircraft engines, nuclear engineering, and many others concerning smart products, based on their structural configurations. Polymer nanocomposites developed via the inclusion of metallic oxides into the engineering process of thermoplastics and biomaterials are considered the products most capable of addressing the degradation stress that occurs during operative life. Despite the numerous studies analyzing the characterization of the functional properties of this large class of compounds, durability has scarcely been investigated as an essential life requirement. The contributions of inorganic fillers in polymer substrates must be addressed, such as assistance factors, including compatibilizers [4,5] or oxidation protectors [6,7]. The prediction of the evolution of polymer nanocomposite degradation can be based on a cylindrical model [8], migration into the broken lattice [9], or the superficial scavenging [7] of primary fragments that appear due to molecular scission before their reaction with diffused oxygen.
Despite the inevitable progress of polymer degradation [10,11], additives or fillers take the degradation mechanism via different routes, either due to the retention of degradation initiators, delaying the start of the oxidation process [12], or the orientation of radical decay into their recombination, as occurs during crosslinking [13]. Many factors affect the stability of nanocomposites. However, due to the thermal strength of the pristine materials [14], filler nature [7,15], loading polymer blends [16], and diffusibility of fluids [17], the challenge of the contribution of the minor phase in nanomaterials concerns the limitation of filler amounts that restrict properties, such as mechanical features or morphology, within a certain concentration range [18]. Though this limitation can be corrected by narrowing the particle size distribution or particle surface functionalization, the most meaningful approach to determining a material’s lifespan is predicting its durability under hazardous aging conditions [19]. In the application of any nanomaterial, anti-aging protection, avoiding continuous use under certain warranties, and resource conservation are crucial. A pertinent composition that includes nanofillers as protective agents against oxidation can preserve the functionality of vulnerable products subjected to permanent degradation [20]. The application areas of nanocomposites can be expanded by comprehensively undertaking quality inspections to characterize their long-term employment, such as in radiation processing [21]. This polymer nanocomposite qualification procedure initiates oxidative degradation by contributing free radicals generated at a high local density via the fast and nonselective fragmentation of macromolecules along the incidental particle tracks. The initiation of oxidation achieved by this high-energy exposure followed by the propagation step may be efficiently delayed by adding oxide particles as nanopowders, hindering the material’s degradation via their scavenging capacity [22].
This class of nanomaterials has several advantages, including improved properties, easy preparation and simplicity, extended application ranges, adaptability to various new goals, and availability for smart recycling [23,24]. The preparation and characterization of compounds consisting of a polymer phase and an inorganic component can be achieved by applying high-energy irradiation [25,26] to generate appropriate concentrations to initiate and feed the studied process, i.e., preparation, crosslinking, and degradation.
This study characterized the contributions of several metallic oxides added to a polymer matrix to understand their roles in the nanocompounds. This investigation of isothermal and non-isothermal chemiluminescence—a sensitive analytical procedure for the decay of free radicals—provides interconnected results to elucidate the superficial interactions between the blended phases and evaluate their stabilization efficiency without any classical antioxidant. The involved protection activity of each oxide has been presented in previous studies [7,26]. This subject sprung from the necessity to characterize material composites that include inorganic oxides as functional fillers. Considering that most manufacturing technologies are based on oxide catalysts, the present results provide useful information on the lifespans of polymers.
2. Materials and Methods
2.1. Materials
The polymer material, styrene–isoprene–styrene (SIS), was purchased from KRATON Corporation, Jacksonville, FL, USA as a D1119 PT-grade polymer. Its molecular structure is shown in Figure 1. The component proportion for styrene–isoprene was initially 1:2. It has been observed that the unsaturation remains after the copolymerization stage, and it becomes the most vulnerable spot for molecular fragmentation via the energetic transfer from γ-rays or via heat treatment. The nanoparticles of oxides were prepared starting with raw compounds (CeO2, Cr2O3, Cd2O3, In2O3, MnO2, MgO, Nd2O3, and Pr2O3) provided by Sigma Aldrich, Louis, MT (USA), whose purities exceeded 99%. The nanopowders were obtained by separate milling in a Fritsch planetary unit for 16 h under a permanent humid atmosphere. After drying at 80 °C for 5 h, the powders were heated for 8 h at 1200 °C, aiming to achieve morphological homogeneity and stabilization. The fresh oxides were stored in a desiccator from where the required amounts were used for the sample preparation. The average particle size was centered around 200 μm.
Figure 1.
The molecular structure of the studied styrene–isoprene–styrene triblock copolymer.
2.2. Sample Preparation
A primary solution of SIS in chloroform (10−2 g mL−1) was prepared via simple dissolution. Aliquots of 10 mL were separately transferred from this primary solution to glass flasks, where the appropriate amounts of the oxide powders were added to prepare polymeric solutions containing 1 wt% of the nanocomponent. To prepare the specimens, 50 μL of each second-round solution was poured into aluminum caps. The obtained samples were gently dried at room temperature.
2.3. γ-Irradiation and Measurements
The dried samples underwent γ-exposure in an irradiation unit (Ob Servo Sanguis, Budapest, Hungary) provided with a 60Co source at a dose rate of 0.5 kGy h−1. The irradiation at 0, 25, 50, and 100 kGy was accomplished via the permanent rotation of the irradiation room for a homogenous γ-treatment. The stability measurements via chemiluminescence were achieved immediately after the irradiation treatment, avoiding the alteration of the results that may occur due to the decay of short-life radicals.
2.4. Chemiluminescence Measurements
The chemiluminescence measurements were carried out with a specialized spectrometer, LUMIPOL 3, produced by the Institute of Polymers, the Slovak Academy of Sciences, Bratislava (Slovak Republic). The basic principle for detecting the oxidation intermediates that may have occurred involved recording the quantum numbers using a photomultiplier. This emission arose from the de-excitation of carbonyl units, which described the oxidation state of the studied sample (Figure 2). Our measurements were achieved under the following conditions: for non-isothermal measurements, the heating rate option was 10 °C min−1; for isothermal measurements, the selected testing temperatures were 140 °C, 150 °C, and 160 °C. These three isothermal parameters were appropriate to evaluate the activation energy (Ea) values required for the oxidation of the inspected samples with either pristine or irradiated patterns. The Ea values were calculated based on the Arrhenius method using the oxidation induction time (OIT), which indicated the time when any variation in the CL intensity values could not be measured. For the modification in the oxidation states of the samples via non-isothermal measurements, the onset oxidation temperatures (OOTs) were compared. This kinetic parameter indicated the temperature value that determined a significant increase in the CL emission intensity. It was obtained by crossing the tangent drawn on the CL curve, where the increase in the CL intensity was evident. The description of the principles for the CL procedures, the detailed presentation of the degradation mechanism, and the correlation between the significance of the CL variations and the aging process have been published in [27]. Due to the errors in the temperature readings (±0.5 °C) and CL intensity recordings (±2%) and the multiplier’s high sensitivity, chemiluminescence was chosen as a highly sensitive thermal analysis technique with which a researcher can identify the structural modifications that occurred during the processing and measurement of a polymer sample.
Figure 2.
The chemiluminescence principle applied to investigate the polymer composites.
3. Results
The progress of the oxidation of polymers can be efficiently slowed down by adding organic antioxidants [28] or inorganic compounds [29], crosslinking [30,31], or compounding with nanofillers [32]. All these methods are justified by the interaction between the free molecular fragments of the polymeric substrate and the additive or filler particles before oxidation begins. The improvement in thermal stability is regularly assisted by adding various nanoparticles such as carbonaceous powders [33], clays [34], or oxides [7].
Any polymer composition can be characterized using γ-treatment, a versatile version of degradation assay that provides a convenient accelerated process [35]. The action of energy transfer onto polymer molecules causes scissions according to the bond tightness. The vulnerable places where the free radicals initiate oxidation are indicated in Figure 1. Primarily, the double bonds are broken, in addition to the bonds linking methyl. Besides the fragmentation of the substrate molecules, the particles can turn the forming radicals onto the particle surface (Figure 2), where they are attached by hydrogen bonds [36]. The oxide structures that may be grafted by several compounds [37] can initiate linkages on the surfaces of the nanoparticles containing oxygen atoms that are available for connections with protons belonging to the hosting polymer substrate.
A previous investigation demonstrated the radiation stability of styrene–isoprene–styrene triblock copolymer (SIS) to be unsatisfactory, assessing its compatibilization with poly(lactic acid) using radiation processing [38]. This strength grade demanded compositional modifications that could be obtained by adding oxide nanoparticles (Figure 3). The protective action sustained by these oxide nanoparticles was modeled by the chemical nature of the metal. The addition of the studied powders in the composition of SIS-based nanomaterials is challenging due to the unexpected effects on the progress of oxidative degradation in the polymer matrices. The aspects of the CL curves (Figure 3) and the comparison of the differences between the OIT values of each composition with respect to the analogous characteristics of the pristine polymer (Figure 4) indicate the importance of these additives in the formulations of the various plastic products. They did not play a harmful role.
Figure 3.
The isothermal CL spectra records for the un-irradiated SIS nanocomposites. Compositions: (a) pristine SIS, (b) SIS/CeO2, (c) SIS/Cr2O3, (d) SIS/Gd2O3, (e) SIS/In2O3, (f) SIS/MgO, (g) SIS/MnO2, (h) SIS/Nd2O3, and (i) SIS/Pr2O3. Testing temperatures: (1) 140 °C, (2) 150 °C, and (3) 160 °C.
Figure 4.
The variations in the OIT values characterizing the steady-state period before the start of oxidation for each composition with respect to the pristine polymer. Testing temperatures: (light gray) 140 °C, (dark gray) 150 °C, and (black) 160 °C.
Conversely, they amplify polymers’ thermal resistances, potentially delaying the propagation rate of the oxidation of polymers that are degraded by the radical-based mechanism, such as SIS. The extended interface boundary obtained in the preparation of nanocomposites enables the advanced scavenging attraction of free radicals on the particle surface. This study revealed the oxidation prevention of the abundant distribution of radiolysis products due to the contribution of superficial defects attracting the oxidation promoters. The large-scale suitability of polymer-based nanomaterials starts with energetic considerations, which enables the improvement in a product’s durability without altering its mechanical properties [39]; however, its electrical characteristics are significantly improved [40]. The formation of oxygenated products is conditioned by the chemistry of a metal, whose electron density influences the bridging strength. This characteristic behavior is demonstrated in Figure 4, where the variation in OIT values depended on the nature of the oxide. This characteristic maintained generally smaller values at 140 °C and very high values at 150 °C and 160 °C. Hence, the SIS–metallic oxide nanocomposites became high-performance materials when the higher loading percentage reached 5 wt%, as occurred with SIS modified with silica nanoparticles [26]. The degradation mechanism was similar to that with the pristine polymers [41]. If ionic metals are added to the polymeric matrix, they will act as oxidation promoters [42], and the present oxides will inhibit the degradation chain. The styrene moieties are very stable because of the conjugation of π bonds contributed by the benzene rings. The other unit, isoprene, provides radicals, which support the progress of oxidation without an inhibitor.
Several issues concerning the improvement in material properties in the presence of nanophases occur; however, in a few cases, the assays cover the evolution of the oxidation state. Because the understanding of the evaluation of the oxidation degree is correlated with the variation in the material’s behavior, including its durability, the energetic approach may define its wearability and availability for certain applications. A detailed investigation based on isothermal chemiluminescence (Figure 3) allows the calculation of the activation energies involved in the development of oxidative degradation (Table 1). If the OIT input values describe the extension of controlling the delay of degradation, the stabilization involvement of the metallic oxide nanoparticles can be depicted by the activation energy values (Table 1).
Table 1.
Activation energies and their correlation factors.
Because all the involved factors, including the molecular susceptibility to scission (the availability of the particle surface to scavenge and link radicals, the mobility of intermediates, and the diffusion rate of oxygen), act simultaneously on the advancement of aging, the listed Ea values reflect the cumulative effect. However, the chemical properties of metals related to their electronic distributions are essential for certain applications that require appropriate nanofillers. The Ea figure highlights the limitation of operation conditions to the end user. The augmentation in Ea values for the studied nanocomposites with more than 5 kJ mol−1 indicates the improvement in stability based on the interaction between the two blended phases.
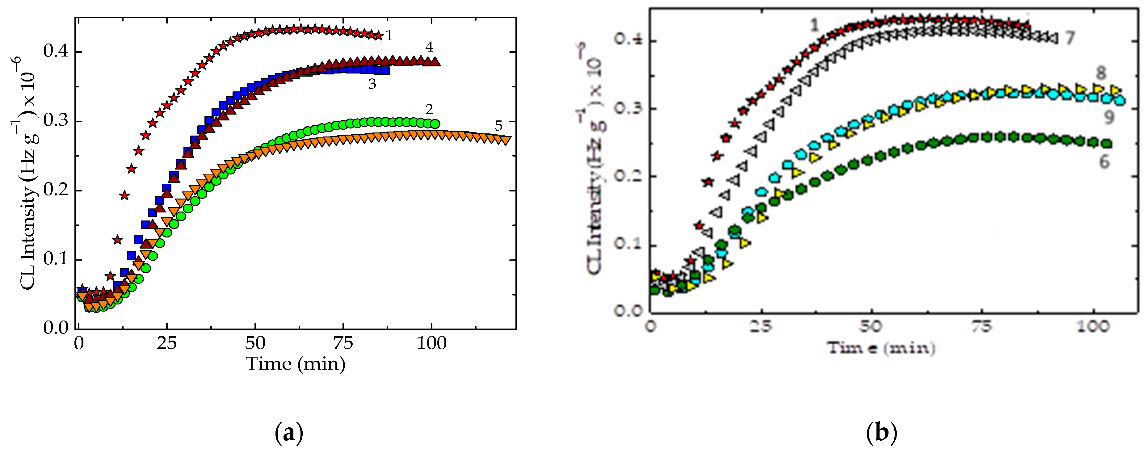
The γ-exposure of SIS–metal oxide nanomaterials affects only the organic substrate via the fragmentation of molecular chains. The crystalline lattices of oxides preserve their stabilization activities. Figure 5 displays all the CL curves recorded at a moderate temperature (140 °C). This conformation reveals the availability of the oxides for their usage in radiation processing technologies, γ-sterilization, or hazardous conditions wherein the received energy exceeds the activation energy. The irradiation effects are smoother at lower doses because the amplitudes of the modifications are less acute as the irradiation is carried out more rapidly on the investigated nanosystems placed under the spectrum of the pristine polymer. The lower the position in the CL curve family, the more stable the product. Although all the oxidation induction times are placed around 10 min, the oxidation rates mark the differences between the presences of the studied oxides, illustrating the importance of electronic interactions that reveal the delaying effects during irradiation. In addition, the height of each curve suggests the quality improvement trend. The integrity of the powder particles reveals a great advantage of the inorganic structure of protectors against the hindered phenols or amines, the classical antioxidants, which are consumed by either degradation or migration onto the outer part of the polymer products.
Figure 5.
The isothermal CL spectra recorded for the SIS-based nanocomposites γ-irradiated at a dose of 100 kGy. (a) Samples 1–5, with 1 as reference; (b) samples 6–9, with 1 as reference. Compositions: (1) neat SIS, (2) SIS/CeO2, (3) SIS/Cr2O3, (4) SIS/Nd2O3, (5) SIS/Gd2O3, (6) SIS/Pr2O3, (7) SIS/MnO2, (8) SIS/MgO, and (9) SIS/In2O3. Testing temperature: 140 °C.
Oxides occupy a privileged place within the class of inorganic oxidative degradation inhibitors, which is disputed by other compounds, such as clays. However, their diversity, hygroscopic nature, compatibility with polymers, easy preparation of nano-sized particles, and conveniently low price are serious arguments for their selection in the manufacture of high-performance and durable items.
The non-isothermal measurements, which provide the theoretical temperatures for the start of oxidation (Figure 6), show the capacity of metallic oxides to prevent oxidation. The onset oxidation temperature values vary to a small extent; nevertheless, the evolutions of the CL intensities present various slopes. The higher positions of CL curves recorded for the control (neat polymer) samples demonstrate that the pristine SIS was oxidized faster at higher temperatures than for any other investigated SIS-based composites with metallic oxides.

Figure 6.
The isothermal CL spectra recorded for the SIS-based nanocomposites under various irradiation states: (a,b) 0 kGy, (c,d) 25 kGy, (e,f) 50 kGy, and (g,h) 100 kGy. Compositions: (1) neat SIS, (2) SIS/CeO2, (3) SIS/Cr2O3, (4) SIS/Nd2O3, (5) SIS/Gd2O3, (6) SIS/Pr2O3, (7) SIS/MnO2, (8) SIS/MgO, and (9) SIS/In2O3. Heating rate: 10 °C min−1.
Their contributions led to an improvement in thermal strength in the high temperature range. This behavior is the main characteristic of the strong interaction between the two phases: the polymer and filler particles. The protection offered by the metallic oxides consists of a decreased oxidation rate when the nanocomposites are added for other benefits, e.g., the modification of the composite’s electrical properties. In Figure 6g,h, the distances between the curves for the pristine polymer are further from those for the composites, proving the protective action of the oxides during advanced exposure (100 kGy). It is easy to extrapolate this influence for thermal conditions, where overheating can destroy the integrity of the products. All the oxides have a specific influence on the preservation of the oxidation state, which depends on the superficial electronic density and specificity in the adsorption of oxygen. Regarding technological conditions, the requirement of an antioxidant may be disregarded when a higher thermal regime must be applied.
The connection between the soft-loaded metallic oxides in the composite compositions allows the qualification of the protection on the metallic surfaces where the items are placed for their sealing purposes. Due to the large interaction surface inside the polymer bulk, the oxide content plays a double-protection role with respect to the hosting polymer and the contact surface.
4. Discussion
A detailed analysis that emphasized the stabilization character of inorganic fillers was reported in [43]. Most of the articles on the beneficial effects of oxides on materials’ functional properties did not characterize the lifespans of the resulting materials [44,45,46]. The contribution of the surface activity in the interaction between the polymer phase and the oxide loading, such as the propagation of polymerization [47], the preservation of compositional integrity [48], the health care of medical wear [49], the manufacture of high-performance electrical materials [50], and the preservation of the environment [51], have been reported. However, other published studies have addressed the materials’ stability based on the phase interactions [52,53]. These studies present a common feature; the improvement in material properties is based on the progress of the association processing on the surfaces of the inorganic particles. The stabilization of various composite candidates belonging to the category of high-performance composites depends on the strategic availability of filler particles to form joining bridges [54]. These bonds are promoted by the creation of penetration holes in the particle structure, which allow the diffusion of radicals into the inorganic lattice [55]. The most illustrative examples of the interaction between the surfaces of oxide particles and various chemical structures are catalytic processes, where the feeding material is different from the outlet products [56].
The survey results presented in the previous section are the consequence of the superficial coupling of polymer fragments before their oxidation. The general view in Figure 3 and Table 1 highlights the contribution of the oxide particle surfaces to lowering the oxidation rates in the degradation initiation stage. A stabilization feature of these inorganic oxide fillers is their behavior at high irradiation doses. Two processes simultaneously occur at an exposure at 100 kGy: the radiolysis of the polymer phase, which is characterized by the fragmentation of macromolecular chains, and the formation of several lattice defects that act as radical scavengers. Figure 6 demonstrates that the progress of these separate effects leads to the efficient retention of free radicals, whereby the relatively high-temperature assay (140 °C) provides all the isothermal chemiluminescence spectra of the composites under the spectrum recorded for the pristine polymer. The analogous proofs for the thermal stability of the studied composites are provided due to the attraction of divided moieties by superficial traps, which place the non-isothermal spectra of all the γ-irradiated composites under the similar curve of the neat polymer (Figure 6). Hence, the reactivity of the radicals with respect to diffused oxygen is efficiently restricted. This statement recommends the pre-irradiation of the filler before its addition into composite formulations, avoiding the early aging of the polymer phase. This advantage of the radiation treatment would increase the lifespan of the composites.
The essential criterion for selecting a functional filler is its contribution to strengthening the material structure when the inorganic component ensures its durability [57]. According to the progress in radiation technology, the suggested improvement in high-energy irradiation increases the stabilization activity, which is provided by the inorganic loadings of composites [58]. The reported results demonstrate the composites’ remarkable thermal resistance, which may be a challenge, as demonstrated by the transformations. This innovative procedure that extends the composites’ lifetimes provides promising new competitive products with unforeseen applications.
Some researchers, for example [59], who studied the consequence of conjugation involving electron-rich nitrogen atoms in polar solvents, have found an association between various entities existing in the environment and the added electrolytes. Degrading polymers may demonstrate a similar situation, where the competition between the oxidation of the studied structure and the scavenging of fragments characterizes the material’s stability. In these cases, such as in the aging of polymers via various processes (thermolysis, photolysis, and radiolysis), the interaction within a denser electronic space is attracted by free orbitals. However, an unpaired electron belonging to a free radical (a fragment born via molecular scission) is scavenged by scanty electron zones. In polymers, these kinds of spots may concern an atom with free inner orbitals and lattice defects.
Another similar interaction between a degrading polymer and filler consisting of inorganic complexes promotes real stabilization activity [60]. The attraction of free radicals is assisted by the central metal, which has unfilled inner electron orbitals. This contribution extends the lifespan of the polymer, which is directly related to the nature of the ligands. Their influence may be altered by the duration of the oxidation induction time, which characterizes the material’s stability. The stabilization efficiency depends on the electric field surrounding the central metal, which is created by the ligands. Though the ligands form a spatial barrier, the jointed fragments are drawn out from the degradation chain. Consequently, the inorganic complexes act as efficient oxidation-resistant protectors.
The stabilization activities of the studied oxides are similar to those of chain-breaking antioxidants, but the substitution of protons is replaced by the scavenging of polymer fragments produced by molecular scissions. The most illustrative examples are fire-retardant polymer composites [61]. The additional stability reached in the presence of certain inorganic oxides measures the attained safety. The propagation of heat damage associated with the oxidation and burning of the polymer is assured with the intervention activity of the oxide fillers, which pull out the free radicals resulting from the energy deposited on the macromolecules. The material integrity is conditioned by the filler particles’ ability to catch the oxidation initiators. The size of particles is the main characteristic because the extension of the total interface surface determines the degree of stabilization [62].
The presence of metal oxides in the formulations of the studied composites indicates a solution for improving stability to recycle medium-aged polymeric wastes. The extension of polymer recycling would reduce the consumption of new products by substituting primary products by 80% in reformulated materials [63], which would be possible due to the circular economy and appropriate technologies using classical or irradiation procedures.
5. Conclusions
This study discussed the protective effects of metallic oxide (CeO2, Cr2O3, Cd2O3, In2O3, MnO2, MgO, Nd2O3, and Pr2O3) particles on a hydrocarbon polymer subjected to accelerated degradation initiated by γ-irradiation. The main study findings are as follows:
The isothermal chemiluminescence measurements illustrate the antioxidative protection activities with longer oxidation induction times and lower oxidation rates; meanwhile, the non-isothermal chemiluminescence determinations provide proof of the stabilization effects with higher onset oxidation temperatures and slower oxidation degrees at temperatures exceeding 150 °C.
The specific contribution to the amplitude of oxidation retardation in hydrocarbon polymers such as SIS is related to the electronic density of the metal and the attachment strength of the degradation intermediates.
The values of the activation energy required for the passivation of the polymer prove the presence of interphase interactions, which determines the potential activity of metallic oxides for the abstraction of free radicals from the chain of oxidative degradation.
The advanced degradation induced by γ-exposure does not alter the capacity of the studied oxides, even at 100 kGy, which is the technological dose for the radiation processing of polymers.
This study’s results may be considered for any hydrocarbon polymer that is degraded via the radical mechanism.
The advantages of using metallic oxides instead of classical antioxidants include their stability under degradation, their inertness with respect to their consumption via diffusion, their long-life operation, and their contributions to the functional characteristics of the polymer substrate.
This research opens a new direction for improving polymers’ durability, illustrating the optimization of anti-aging protection.
Author Contributions
Conceptualization, T.Z. and A.B.L.; methodology, V.M.; software, R.M.; validation, T.Z. and A.B.L.; formal analysis, R.M.; investigation, T.Z. and A.B.L.; data curation, V.M. and R.M.; writing—original draft preparation, T.Z.; writing—review and editing, A.B.L.; visualization, T.Z. and A.B.L.; supervision, V.M.; project administration, R.M.; funding acquisition, A.B.L. All authors have read and agreed to the published version of the manuscript.
Funding
This research was funded by the São Paulo Research Foundation (Fundação de Amparo à Pesquisa do Estado de São Paulo (FAPESP)) (grant number: 2024/11337-0).
Data Availability Statement
The data will be made available upon request.
Acknowledgments
The authors want to thank FAPESP for their financial support under grant 2024/11337-0 for making the presented experiments possible.
Conflicts of Interest
The authors declare no conflicts of interest.
References
- Elkahlout, Z.I.; Al Ahzm, A.M.; Alejli, M.O.; Al Maadeed, F.Z.; Al-Maadeed, M.A. Polymer–metal oxide composite nanofibers. In Metal Oxide-Based Nanofibers and Their Applications; Esposito, V., Marani, D., Eds.; Elsevier: Amsterdam, The Netherlands, 2022; pp. 89–109. [Google Scholar]
- Haider, S.; Haider, A. Renewable Polymers and Polymer-Metal Oxide Composites. Synthesis, Properties, and Applications; Elsevier: London, UK, 2022. [Google Scholar]
- Jacob, J.; Cacciotti, I.; Thomas, S. Nanostructured Materials for Food Packaging Applications; Elsevier: Amsterdam, The Netherlands, 2024. [Google Scholar]
- Idumah, C.I.; Okonkwo, U.C.; Obele, C.M. Recently emerging advancements in montmorillonite polymeric nanoarchitectures and applications. Clean. Mater. 2022, 4, 100071. [Google Scholar] [CrossRef]
- Sawunyama, L.; Ajiboye, T.O.; Oyewo, O.; Onwudiwe, D.C. Ceramic-polymer composite membranes: Synthesis methods and environmental applications. Ceram. Int. 2024, 50, 5067–5079. [Google Scholar] [CrossRef]
- Jayalath, S.; Herath, M.; Epaarachchi, J.; Trifoni, E.; Gdoutos, E.E.; Fang, L. Durability and long-term behaviour of shape memory polymers and composites for the space industry—A review of current status and future perspectives. Polym. Degrad. Stab. 2023, 211, 10297. [Google Scholar] [CrossRef]
- Zaharescu, T. Stabilization effects of doped inorganic filler on EPDM for space and terrestrial applications. Mater. Chem. Phys. 2019, 234, 102–109. [Google Scholar] [CrossRef]
- Upadhyaya, P.; Singh, S.; Roy, S. A mechanism-based multi-scale model for predicting thermo-oxidative degradation in high temperature polymer matrix composites. Compos. Sci. Technol. 2011, 71, 1309–1315. [Google Scholar] [CrossRef]
- Blanco, I.; Cicala, G.; Tosto, C.; Bottino, F.A. Kinetic study of the thermal and thermo-oxidative degradations of polystyrene reinforced with multiple-cages POSS. Polymers 2020, 12, 2742. [Google Scholar] [CrossRef] [PubMed]
- Gupta, A.; Kumar, N.; Sachdeva, A. Factors affecting the ageing of polymer composite: A state of art. Polym. Degrad. Stab. 2024, 21, 110670. [Google Scholar] [CrossRef]
- Bernstein, R.; Thornberg, S.M.; Irwin, A.N.; Hochrein, J.M.; Derzon, D.K.; Klamo, S.B.; Clough, R.L. Radiation-oxidation mechanisms: Volatile organic degradation products from polypropylene having selective C-13 labeling studied by GC/MS. Polym. Degrad. Stab. 2008, 93, 854–870. [Google Scholar] [CrossRef]
- Kumar, A.P.; Depan, D.; Tomer, N.S.; Singh, R.P. Nanoscale particles for polymer degradation and stabilization mechanism—Trends and future perspectives. Prog. Polym. Sci. 2009, 34, 479–515. [Google Scholar] [CrossRef]
- Barsbay, M.; Güven, O. Nanostructuring of polymers by controlling of ionizing radiation-induced free radical polymerization, copolymerization, grafting and crosslinking by RAFT mechanism. Radiat. Phys. Chem. 2020, 169, 107816. [Google Scholar] [CrossRef]
- Lucarini, M.; Pedulli, G.F.; Matyakin, M.V.; Schlick, S. Electron spin resonance imaging of polymer degradation and stabilization. Prog. Polym. Sci. 2003, 28, 331–340. [Google Scholar] [CrossRef]
- Blanco, I.; Bottino, F.A.; Cicala, G.; Latteri, A.; Recca, A. A kinetic study of the thermal and thermal oxidative degradations of new bridged POSS/PS nanocomposites. Polym. Degrad. Stab. 2013, 98, 2564–2570. [Google Scholar] [CrossRef]
- Davachi, S.M.; Heidari, B.S.; Hejazi, I.; Seyfi, J.; Oliaei, E.; Farzaneh, A.; Rashedi, H. Interface modified polylactic acid/starch/poly ε-caprolactone antibacterial nanocomposite blends for medical applications. Carbohyd. Polym. 2017, 155, 336–344. [Google Scholar] [CrossRef] [PubMed]
- Choi, J.; Hore, M.J.A.; Clarke, N.; Winey, K.I.; Composto, R.J. Nanoparticle brush architecture controls polymer diffusion in nanocomposites. Macromolecules 2014, 47, 2404–2410. [Google Scholar] [CrossRef]
- Dintcheva, N.T.; Alessi, S.; Arrig, R.; Przybytniak, G.; Spadaro, G. Influence of the e-beam irradiation and photo-oxidation aging on the structure and properties of LDPE-OMMT nanocomposite films. Radiat. Phys. Chem. 2013, 81, 432–436. [Google Scholar] [CrossRef]
- Delozier, D.M.; Watson, K.A.; Smith, J.G.; Connell, J.W. Preparation and characterization of space durable polymer nanocomposite films. Compos. Sci. Technol. 2003, 65, 749–755. [Google Scholar] [CrossRef]
- Zegebreal, L.T.; Tegegne, N.A.; Hon, F.G. Recent progress in hybrid conducting polymers and metal oxide nanocomposite for room-temperature gas sensor applications: A review. Sens. Actuators A Phys. 2023, 359, 114472. [Google Scholar] [CrossRef]
- Chmielewska, D. Radiation methods and uses in nanotechnology. In Applications of Ionizing Radiation in Materials Processing; Sun, Y., Chmielewski, A.G., Eds.; Institute of Nuclear Chemistry and Technology: Warsaw, Poland, 2017; pp. 395–414. [Google Scholar]
- Zaharescu, T.; Blanco, I.; Bottino, F.A. Antioxidant activity assisted by modified particle surface in POSS/EPDM hybrids. Appl. Surf. Sci. 2020, 509, 144702. [Google Scholar] [CrossRef]
- Singh, N.; Gaur, S.; Chawla, S.; Singh, S.; Husen, A. Use of smart nanomaterials in food packaging. In Advances in Smart Nanomaterials and Their Applications; Husen, A., Siddiqi, K.S., Eds.; Elsevier: Amsterdam, The Netherlands, 2023; pp. 233–245. [Google Scholar]
- Sanu, S.M.; Gejo, G.; Sajna, M.S.; Prakashan, V.P.; Twinkle, A.J.; Prathibha, V.; Saritha, A.C.; Biju, P.R.; Joseph, C. Unnikrishnan NV, Recent advancements in multifunctional applications of sol-gel derived polymer incorporated TiO2-ZrO2 composite coatings: A comprehensive review. Appl. Surface Sci. Adv. 2021, 6, 100173. [Google Scholar] [CrossRef]
- Zezina, E.A.; Emel’yanov, A.I.; Pozdnyakov, A.S.; Prozorova, G.F.; Abramchuk, S.S.; Feldman, V.I.; Zezin, A.A. Radiation-induced synthesis of copper nanostructures in the films of interpolymer complexes. Radiat. Phys. Chem. 2019, 158, 115–121. [Google Scholar] [CrossRef]
- Zaharescu, T.; Bumbac, M.; Nicolescu, C.M.; Blanco, I. The contribution of silica nanoparticles to the stability of styrene-isoprene-styrene triblock copolymer (SIS). II. Energetic peculiarities. Radiat. Phys. Chem. 2024, 215, 111318. [Google Scholar] [CrossRef]
- Rychlý, J.; Rychlá, L.; Novák, I.; Vanko, V.; Preƭo, J.; Janigová, I.; Chodák, I. Thermooxidative stability of hot melt adhesives based on metallocene polyolefins grafted with polar acrylic acid moieties. Polym. Test. 2020, 85, 106422. [Google Scholar] [CrossRef]
- Okamba-Diogo, O.; Fernagut, F.; Guilment, J.; Pery, F.; Fayolle, B.; Richaud, E. Thermal stabilization of polyamide 11 by phenolic antioxidants. Polym. Degrad. Stab. 2020, 79, 109206. [Google Scholar] [CrossRef]
- Tayouri, M.I.; Estaji, S.; Mousavi, S.R.; Khasraghi, S.S.; Jahanmardi, R.; Nouranian, S.; Arjmand, M.; Khonakdar, H.A. Degradation of polymer nanocomposites filled with graphene oxide and reduced graphene oxide nanoparticles: A review of current status. Polym. Degrad. Stab. 2022, 206, 110179. [Google Scholar] [CrossRef]
- Hearon, K.; Smith, S.E.; Maher, C.A.; Wilson, T.S.; Maitland, D.J. The effect of free radical inhibitor on the sensitized radiation crosslinking and thermal processing stabilization of polyurethane shape memory polymers. Radiat. Phys. Chem. 2013, 83, 111–121. [Google Scholar] [CrossRef]
- Morsch, S.; Wand, C.R.; Gibbon, S.; Irwin, M.; Siperstein, F.; Lyon, S. The effect of cross-linker structure on interfacial interactions, polymer dynamics and network composition in an epoxy-amine resin. Appl. Surf. Sci. 2023, 609, 155380. [Google Scholar] [CrossRef]
- Li, Y.; Liu, Y.; Zhu, H.; Shuai, S.; Zhao, C.; Zhou, K.; Ge, W.; Hao, J. Degradation of methoxy-poly (ethylene glycol)-block-poly(a-carboxyl-ε-caprolactone)/magnetite nanocomposites in vitro polymer degradation and stability. Polym. Degrad. Stab. 2020, 177, 109191. [Google Scholar] [CrossRef]
- Vassiliou, A.; Bikiaris, D.; Chrissafis, K.; Paraskevopoulos, K.M.; Stavrev, S.Y.; Docoslis, A. Nanocomposites of isotactic polypropylene with carbon nanoparticles exhibiting enhanced stiffness, thermal stability and gas barrier properties. Compos. Sci. Technol. 2008, 68, 933–943. [Google Scholar] [CrossRef]
- Cheikh, D.; Majdoub, H.; Darder, M. An overview of clay-polymer nanocomposites containing bioactive compounds for food packaging applications. Appl. Clay Sci. 2022, 216, 106335. [Google Scholar] [CrossRef]
- Ferry, M.; Ngono, Y. Energy transfer in polymers submitted to ionizing radiation: A review. Radiat. Phys. Chem. 2021, 180, 109320. [Google Scholar] [CrossRef]
- Tanaka, T.; Kozako, M.; Fuse, N.; Okhi, Y. Proposal of a multi-core model for polymer nanocomposite dielectrics. IEEE Trans. Dielect. Electr. Insul. 2005, 12, 669–681. [Google Scholar] [CrossRef]
- Fatimah, I.; Fadillah, G.; Purwiandono, G.; Sahroni, I.; Purwaningsih, D.; Riantana, H.; Avif, A.N.; Sagadevan, S. Magnetic-silica nanocomposites and the functionalized forms for environment and medical applications: A review. Inorg. Chem. Commun. 2022, 137, 109213. [Google Scholar] [CrossRef]
- Lupu (Luchian), A.-M.; Zaharescu, T.; Râpă, M.; Mariș, M.; Iovu, H. Availability of PLA/SIS blends for packaging and medical applications. Part II: Contribution of stabilizer agents. Radiat. Phys. Chem. 2022, 201, 110446. [Google Scholar] [CrossRef]
- Champa-Bujaico, E.; Díez-Pascual, A.M.; Redondo, A.L.; Garcia-Diaz, P. Optimization of mechanical properties of multiscale hybrid polymer nanocomposites: A combination of experimental and machine learning techniques. Compos. Part B Eng. 2024, 269, 111099. [Google Scholar] [CrossRef]
- Singh, M.; Pandey, J.C. Effect of particle surface treatment on dielectric properties of epoxy-alumina nano-compositesIn Proceedings of the 2016 IEEE 7th Power India International Conference (PIICON), Bikaner, India, 25–27 November 2016. [CrossRef]
- Kornacka, E.M. Radiation induced oxidation in polymers. In Applications of Ionizing Radiation in Materials Processing; Sun, Y., Chmielewski, A.G., Eds.; Institute of Nuclear Chemistry and Technology: Warsaw, Poland, 2017; pp. 183–193. [Google Scholar]
- Singh, B.; Sharma, N. Mechanistic implications of plastic degradation. Polym. Degrad. Stab. 2008, 93, 561–584. [Google Scholar] [CrossRef]
- Zaharescu, T.; Lugaõ, A.B. Stability improvement of irradiated polymer composites by inorganic compounds—A pertinent solution with respect to phenolic antioxidants. J. Compos. Sci. 2025, 9, 47. [Google Scholar] [CrossRef]
- Huang, G.; Gao, G.; Leng, J.; Wu, Y.; Chen, L.; Jing, R.; Xie, P.; Deng, H.; Shi, Q. Controlling terahertz dielectric responses in polymer composites by engineering α-Al2O3 whisker filler distribution. J. Compos. Sci. 2025, 9, 136. [Google Scholar] [CrossRef]
- Ma, Q.; Dong, K.; Li, F.; Yu, M.; Xiong, Y. Inverse design of material, structure, and process for dielectric properties of additively manufactured PLA/BaTiO3 polymer composites. Compos. Commun. 2025, 55, 102314. [Google Scholar] [CrossRef]
- Myrthong, B.; Ansari, S.; Choudhary, R.B. Bimetallic oxide-conducting polymer composites for robust supercapacitor performance and applications: A review. J. Energy Storage 2025, 117, 116182. [Google Scholar] [CrossRef]
- Alonzo, S.M.M.; Ashie, M.D.; Pathiraja, G.; Bastakoti, B.P. A novel organic-inorganic hybrid polymerization strategy for titanium oxide/polymer nanocomposites with supercapacitive properties. Chm. Eng. J. 2025, 505, 159208. [Google Scholar] [CrossRef]
- Milazzo, M.; Serena Danti, S.; Livens, P.; Dirckx, J.; Scaffaro, R.; Gammino, M. Electrospun graphene oxide/polymeric nanocomposites for eardrum replacements. Compos. Commum. 2024, 51, 102048. [Google Scholar] [CrossRef]
- Romero, L.M.; Palacio, D.A.; Esquivel, S.; Sánchez-Sanhueza, G.A.; Montaño, M.; Rojas, D.; Jaramillo, A.F.; Medina, C.; Montalba, C.; Meléndrez, M.F. Contact antibacterial and biocompatible polymeric, composite with copper zeolite filler and copper oxide, nanoparticles: A step towards new raw materials for the biomedical industry. Polymer 2024, 315, 127795. [Google Scholar] [CrossRef]
- Gadtaya, A.S.; Sahu, B.B.; Sagadevan, S.; Mahaling, R.N.; Moharana, S. Piezoelectric polymer composites for energy harvesting. In Polymer Composites. Fundamentals and Applications; Moharana, S., Sahu, B.B., Nayak, A.K., Tiwari, S.K., Eds.; Springer Nature: Singapore, 2024; pp. 459–488. [Google Scholar]
- Saini, A.; Saini, S.K. Polymer composites for environmental pollution and remediation. In Polymer Compositions: From Computational to Experimental Aspects; Sethi, S.K., Gupta, H.S., Verma, A., Eds.; Springer Nature: Singapore, 2024; pp. 151–180. [Google Scholar]
- Jia, W.; Lin, F.; Li, Z.; Hao Zhang, H.; Liu, F.; Yang, Y. Novel experimental approach to evaluate silica–elastomer interactions of vulcanizates. Polym. Eng. Sci. 2024, 64, 5551–5565. [Google Scholar] [CrossRef]
- Drakopoulos, S.X.; Wu, J.; Maguire, S.M.; Srinivasan, S.; Randazzo, K.; Davidson, E.C.; Priestley, R.D. Polymer nanocomposites: Interfacial properties and capacitive energy storage. Prog. Polym. Sci. 2024, 156, 101870. [Google Scholar] [CrossRef]
- Bian, J.; Liao, L.; Lv, G. Preparation strategy of photo-thermal composite phase change materials: A review. J. Energy Storage 2024, 102, 114155. [Google Scholar] [CrossRef]
- Arif, M.; Rauf, A.; Akhter, T. A comprehensive review on crosslinked network systems of zinc oxide-organic polymer composites. Int. J. Biol. Macromol. 2024, 274, 133250. [Google Scholar] [CrossRef]
- Osakoo, N.; Khemthong, P.; Roessner, F.; Kidkhunthod, P.; Chanlek, N.; Prayoonpokarach, S.; Wittayakun, J. Development and characterization of silica supported cobalt oxides for ethanol oxidation using different preparation methods. Radiat. Phys. Chem. 2020, 171, 108718. [Google Scholar] [CrossRef]
- Bansal, N.; Arora, S. Exploring the impact of gamma rays and electron beam irradiation on physico-mechanical properties of polymers & polymer composites: A comprehensive review. Nucl. Instrum. Meth. Phys. Res. 2024, 549, 165297. [Google Scholar] [CrossRef]
- Żenkiewicz, M.; Rauchfleisz, M.; Czupryńska, J.; Polański, J.; Karasiewicz, T.; Engelgard, W. Effects of electron-beam irradiation on surface oxidation of polymer composites. Appl. Surf. Sci. 2007, 253, 8992–8999. [Google Scholar] [CrossRef]
- Shi, Y.; Shao, J.; Wang, J.; Guo, R.; Li, Z.; Li, N.; Zhang, Q.; Chu, L. Solvent-induced polyelectrolyte conjugation for fluorescence-dependence solvent detection. Adv. Funct. Mater, 2024; Early View. [Google Scholar] [CrossRef]
- Zaharescu, T.; Ilieş, C.-D.; Roşu, T. Thermal and spectroscopic analysis of stabilization effect of copper complexes in EPDM. J. Therm. Anal. Calorim. 2016, 123, 231–239. [Google Scholar] [CrossRef]
- Gupta, R.; Singh, M.K.; Rangappa, S.M.; Siengchin, S.; Dhakal, H.N.; Zafar, S. Recent progress in additive inorganic flame retardants polymer composites: Degradation mechanisms, modeling and applications. Heliyon 2024, 10, e39662. [Google Scholar] [CrossRef] [PubMed]
- Zaharescu, T.; Tardei, C.; Marinescu, V.; Râpă, M.; Iordoc, M. Interphase surface effects on the thermal stability of hydroxyapatite/poly(lactic acid) hybrids. Ceram. Int. 2020, 46, 7288–7297. [Google Scholar] [CrossRef]
- Kolluru, S.; Thakur, A.; Tamakuwala, D.; Kumar, V.V.; Ramakrishna, S.; Chandran, S. Sustainable recycling of polymers: A comprehensive review. Polym. Bull. 2024, 81, 9569–9610. [Google Scholar] [CrossRef]
Disclaimer/Publisher’s Note: The statements, opinions and data contained in all publications are solely those of the individual author(s) and contributor(s) and not of MDPI and/or the editor(s). MDPI and/or the editor(s) disclaim responsibility for any injury to people or property resulting from any ideas, methods, instructions or products referred to in the content. |
© 2025 by the authors. Licensee MDPI, Basel, Switzerland. This article is an open access article distributed under the terms and conditions of the Creative Commons Attribution (CC BY) license (https://creativecommons.org/licenses/by/4.0/).






