Next Article in Journal
Comprehensive Insights into Friction Stir Butt Welding (FSBW) of 3D-Printed Novel Nano Chromium (Cr) Particles-Reinforced PLA Composites
Next Article in Special Issue
Valorization of Agri-Food Waste in Green Composites: Influence of Orange Peel Particulates on Mechanical, Thermal, and Antioxidant PLA Properties
Previous Article in Journal
Comparative DFT Study of Lignocellulosic Binders on N- and S-Monodoped Graphene for Sustainable Li-Ion Battery Electrodes
Previous Article in Special Issue
Cross-Linked Biocomposites with Both Matrix and Fillers Made from Soy-Derived Ingredients
 
 
Font Type:
Arial Georgia Verdana
Font Size:
Aa Aa Aa
Line Spacing:
Column Width:
Background:
Article

Feasibility Study of a Pre-Swelling Microwave-Assisted Recycling Method for GFRP Waste

Department of Materials Engineering, Katholieke Universiteit Leuven (KU Leuven), De Nayerlaan 5, 2860 Sint-Katelijne-Waver, Belgium
*
Author to whom correspondence should be addressed.
J. Compos. Sci. 2026, 10(2), 71; https://doi.org/10.3390/jcs10020071
Submission received: 5 December 2025 / Revised: 12 January 2026 / Accepted: 21 January 2026 / Published: 1 February 2026
(This article belongs to the Special Issue Sustainable Polymer Composites: Waste Reutilization and Valorization)

Abstract

The growing volume of decommissioned wind turbine blades, primarily made of glass fibre-reinforced polymers (GFRP), poses major recycling challenges. This study explores a microwave (MW)-assisted thermochemical recycling to recover high-quality fibres from GFRP waste. Two routes were evaluated: (i) a dry route using direct MW heating, and (ii) a semi-wet route involving solvent pre-swelling followed by microwave pyrolysis. The dry route suffered from poor heating due to GFRP’s inherently low dielectric loss, whereas the semi-wet route enabled more effective resin degradation. Five swelling agents were tested: acetic acid (AcOH), hydrogen peroxide (H2O2), an AcOH/H2O2 mixture, dimethylformamide (DMF), and dimethyl sulfoxide (DMSO). Among these, DMSO achieved 92% resin removal in 9 min at 350 °C. Recycled fibres retained 1.48 ± 0.41 GPa strength (81% of virgin). Gas chromatography–mass spectrometry (GC–MS) analysis of pyrolysis oils revealed predominantly phenolic products with limited bisphenol A (BPA) retention. To demonstrate practical relevance, the semi-wet method was applied to real wind blade waste, where recovered fibres retained 72% of their tensile strength versus virgin fibres. These results indicate that the process remains effective for industrially aged GFRP. This study confirms the feasibility of MW-based semi-wet recycling and offers insights to support future process refinement, which will ultimately contribute to more sustainable end-of-life solutions for GFRP waste.

1. Introduction

In the transition toward climate-neutral energy systems, wind energy plays a vital role due to its low environmental footprint, technological maturity, and cost competitiveness [1]. The European Union aims to increase the share of renewables to 42.5% by 2030 [2], with wind energy expected to supply 36% of the region’s electricity demand by 2050 [3]. However, the rapid expansion of wind installations brings long-term sustainability concerns, particularly regarding the handling of retired wind turbine blades (WTBs).
Wind turbines are designed to have a service life of approximately 20–25 years. As many early installations approach this limit, the number of decommissioned units is rapidly increasing. In Europe alone, over 34,000 turbines are already 15 years or older [4], with many more expected to be retired in the next decade. As for Flanders, it was estimated in the CompositeLoop study that the composite waste from offshore WTB will reach 12,000 tons in Belgium by 2040. From onshore turbines, a significant flux will be released from 2025 onwards to 3000 tons/year in 2030 [5].
While 85–90% of wind turbine components are recyclable, the blades remain particularly challenging due to their composite structure and lack of effective recovery technologies [6]. WTBs are primarily constructed from glass fibre-reinforced polymers (GFRPs), which are composed of high-performance glass fibres embedded in a thermosetting polymer matrix. This composite architecture offers a high strength-to-weight ratio, fatigue resistance, and long-term durability, making GFRPs the preferred material not only in wind turbines, but also in aerospace, automotive, and marine applications. In most blades, E-glass fibres are used as the reinforcements due to their mechanical strength and cost-effectiveness, while epoxy resin serves as the matrix, offering superior stiffness and thermal stability [7,8]. Yet, the very structure that gives GFRPs their performance advantages also makes them extremely difficult to recycle. The thermoset matrix is chemically crosslinked and cannot be remelted, while the strong interfacial bonding between fibres and resin prevents clean separation [9]. Traditional disposal options—such as landfilling and incineration—are increasingly restricted by environmental regulations and rising costs [10]. The European Union’s Waste Framework Directive [11], along with related policies [12,13,14,15], encourages more sustainable waste management practices, but does not yet provide blade-specific recycling guidance.
Current recycling approaches for GFRP waste can be broadly classified into mechanical, chemical, and thermal methods [9,16,17]. Mechanical recycling involves size reduction through shredding and grinding. This method is simple, scalable, and cost-effective, but typically results in short fibres with residual resin attached to the surface. Such fibres have limited potential for high-performance reuse, though they can still be incorporated into construction [9,18], additive manufacturing [19], and dough moulding compounds [20]. Chemical recycling depolymerizes the thermoset matrix using solvent systems, typically operating below 330 °C [21], although pressurized conditions may be applied depending on the solvent and temperature used. It enables recovering relatively clean fibres and extracting resin-derived chemical building blocks. This benefit, however, comes at the cost of high energy and solvent consumption. Moreover, the resulting monomers or oligomers are often difficult to reuse and require upgrading steps to valorize the building blocks of interest [16,22,23].
Thermal recycling includes both energy recovery routes—such as incineration and co-processing—which result in the complete destruction of composite materials, and fibre-recovery methods like pyrolysis, which thermally decompose the polymer matrix to recover reinforcing fibres. Pyrolysis typically yields a solid residue of fibres, along with liquid oil (rich in aromatic and oxygenated compounds) and combustible gases (e.g., CO, CH4, C2H4) as by-products. In a conventional pyrolysis, thermal energy is generated either by fossil fuel combustion or by the Joule effect and transferred to the composite via conduction, convection, and radiation. Given the low thermal conductivity of cured resins, conventional heating results in volumetric thermal gradients and, thus, the surrounding temperature must be increased well above the decomposition threshold (typically 450–700 °C) to ensure full resin removal. However, such high temperatures can severely compromise glass fibre quality, as the prolonged exposure promotes the diffusion of surface defects over the glass fibres. As reported by Oliveux et al., the tensile strength of glass fibres decreases by approximately 50% at 450 °C and can drop by up to 80% at 550 °C [24].
To recover fibres with high fibre strength, it is thus ideal to thermally separate the fibre and matrix at temperatures below 400 °C. However, under such conditions, resin degradation becomes difficult. In this context, microwave (MW)-assisted pyrolysis emerges as a potential solution. Unlike conventional heating, where thermal energy is transferred externally, MW heating delivers energy volumetrically by converting electromagnetic radiation directly into heat through dielectric interactions. This enables faster, more uniform heating and helps minimize thermal gradients within the material.
The heating of a material through microwaves follows three mechanisms: dielectric heating, Joule heating, and magnetic heating. Dielectric heating, also called ‘polarisation loss’, is the most important heating mechanism for this study. It arises from the rotation of polar molecules under the alternating electromagnetic field. The effectiveness of MW heating strongly depends on the material’s dielectric loss factor (ε″), which reflects its ability to transform the absorbed radiation into heat. Based on ε″, materials can be broadly classified into three general categories: (a) absorbers (e.g., water, silicon carbide), (b) transparent materials (e.g., quartz, Teflon), and (c) reflectors (e.g., metals such as Fe, Al, Cu). Composite materials are often considered as mixed absorbers, with their response depending on both the polymer matrix and the fibre reinforcement [25]. For polymers, the dielectric properties are closely related to chemical structure and phase state. Thermosets in their uncured state absorb microwaves efficiently, but as the resin becomes set, dipole mobility becomes restricted and ε″ drops sharply. Thermoplastics, especially those with high crystallinity (>45%), also exhibit limited MW absorption due to restricted dipolar rotation [26]. As for the reinforcements, carbon fibres are conductive and exhibit strong MW heating via conduction losses, whereas glass fibres are non-polar and insulating, leading to very low ε″ and poor MW absorption.
Accordingly, most MW pyrolysis studies have focused on carbon fibre-reinforced polymers (CFRP) and shown promising results. For instance, Lester et al. reported that MW-treated carbon fibres retained ~75% of their original strength [27], and other studies noted superior mechanical retention than those treated via conventional heating [28,29]. In contrast, the application of MW pyrolysis to glass fibre-reinforced polymers (GFRPs) has proven more challenging, due to the combined effects of low dipolar losses in cured thermosets and the inherently insulating nature of glass fibres. As a result, achieving sufficient resin degradation in GFRPs often requires elevated temperatures or prolonged treatment durations. Åkesson et al. [30], for example, applied MW pyrolysis at 300–600 °C for 90 min, but still observed 3–8 wt% of residual organics, with the recovered glass fibres coated in char due to incomplete polyester decomposition. Although the authors reported only a modest tensile strength reduction, the benchmark used was a virgin reference fibre with unusually low strength (1250 MPa), potentially underestimating degradation. Similarly, Moraes et al. [31] treated 1.8 g of GFRP at 170 W for 14 min, achieving nearly complete matrix removal; however, the recycled fibres retained only ~24% of their original tensile strength when reused in composites. Although the authors attributed this largely to silane degradation and surface residues impairing interfacial bonding, such a drastic loss is more plausibly due to a substantial reduction in fibre strength caused by the thermal treatment. In other studies, efforts have been made to improve recycled fibre quality through post-treatment. Hao et al. [32] applied an oxidative air treatment at 550 °C for 30 min following MW pyrolysis of CFRP. They reported increased oxygen-containing functional groups on the surface of fibres, such as C=O and C–OH, which are believed to enhance interfacial adhesion in composites. Nevertheless, such oxidative methods are often unsuitable for glass fibres, as high temperatures will degrade their silica network and/or introduce surface flaws [24]. In a different approach, Åkesson et al. [33] re-sized recycled glass fibres (rGFs) using Neoxil-777 and 3-aminopropyltriethoxysilane, further enhancing composite properties by incorporating maleic anhydride-grafted polypropylene as a compatibilizer.
Beyond fibre post-treatment, strategies to enhance microwave–composite interaction have received growing attention. One approach is microwave-assisted chemical recycling (MACR), which uses oxidative solvents under microwave irradiation. Rani et al. [16] and Zabihi et al. [34] demonstrated that H2O2-based acid mixtures (e.g., with acetic/tartaric acid) could degrade >90% of epoxy resin, while retaining >97% of the fibres’ tensile strength. These results were achieved under relatively mild conditions: microwave power below 800 W and irradiation times as short as 180 s. While promising, MACR processes are not without risks. In particular, certain solvent mixtures—such as hydrogen peroxide with acetone or acetic acid—can form unstable peroxides (e.g., TATP) or explosive oxygen–fuel mixtures under pressurized conditions, raising serious safety concerns for industrial scale-up [35,36].
Another strategy involves adding microwave absorbers with high dielectric loss and thermal stability, such as silicon carbide (SiC). Zhang et al. [37] explored this approach in the microwave pyrolysis of decommissioned wind turbine blades (DWTBs). Without SiC, no pyrolysis occurred; with 0.85 mm SiC particles and a SiC-to-DWTB mass ratio of 4, the process yielded increased tar (4.7%) and gas (17.0%) fractions and a high gas calorific value of 36.95 MJ/Nm3. That said, the study did not evaluate the quality of the recovered fibres. In addition, using susceptors introduces complications, such as additional material costs, risk of contamination, and challenges in post-pyrolysis separation.
Given these limitations, alternative ways are being explored to improve the microwave responsiveness of GFRPs without introducing chemical hazards or solid additives. This study proposes a novel strategy, pre-swelling-assisted microwave pyrolysis, which targets efficient decomposition of the matrix while potentially preserving the integrity of the glass fibres. Unlike solvolysis or MACR—which aim to fully depolymerize the resin—this approach softens the matrix without complete chemical breakdown. In this context, pre-swelling refers to the penetration and expansion of the crosslinked polymer network by selected solvents that are both chemically compatible with the resin (i.e., similar Hansen solubility parameters) and possess high dielectric loss for efficient MW absorption. The solvent is applied only during the pre-swelling step; the subsequent microwave treatment is performed on the swollen solid, where a fraction of the solvent remains physically entrapped within the polymer network. These solvent molecules absorb microwave energy and generate internal heat via dipolar rotation, rather than being present as a bulk liquid phase or participating in chemical reactions. The remaining solvent can be largely recovered and reused. The resulting swollen network is expected to exhibit enhanced polarity and dielectric properties, thus improving microwave energy uptake. By avoiding harsh chemistry and elevated pressure, the process also allows for milder operating conditions during MW pyrolysis, thus reducing solvent consumption, safety risks, and fibre damage.
In this work, a parametric study was conducted to explore the effects of solvent type, treatment time, and temperature on swelling behaviour and MW pyrolysis performance. The recovered fibres were thoroughly characterized to assess their structural integrity and reuse potential. The findings aim to evaluate the technical feasibility of this method and offer new perspectives for the low-temperature, low-risk recycling of GFRP from end-of-life wind turbine blades.

2. Materials and Methods

2.1. GFRP Materials

Two types of glass fibre-reinforced polymer (GFRP) composite samples were used in this study: lab-fabricated laminates and real waste from end-of-life (EoL) WTBs, as shown in Figure 1.
The lab-fabricated GFRP panels were manufactured via the vacuum-assisted resin infusion method. Each laminate comprised four layers of biaxial non-crimp E-glass fibre fabrics (areal weight: 630 g/m2) with a lay-up sequence of [0°/90°–0°/90°–90°/0°–90°/0°]. The resin system consisted of a bisphenol A–based epoxy resin (EPIKOTE™ 828LVEL, Hexion) and a 1,2-diaminocyclohexane hardener (DYTEK® DCH-99, INVISTA) mixed at a 100:15.2 weight ratio; curing was performed at 70 °C for 1 h followed by 150 °C for 1 h. The resulting fibre-to-resin weight ratio was approximately 60:40 (determined by thermogravimetric analysis). The cured panels were 300 mm × 250 mm × 2 mm in size and were subsequently cut into 30 mm × 30 mm × 2 mm samples using a band saw for recycling experiments. The EoL GFRP waste was obtained from a decommissioned WTB, provided by Sirris (Belgium). The section exhibited a sandwich construction, consisting of a polymer foam core enclosed between GFRP laminates (~4 mm thick). For experimental consistency, only the GFRP laminates were retained and cut into 30 mm × 30 mm × 4 mm square specimens to match the geometry of the lab-fabricated samples.

2.2. Swelling Solvents

Five swelling solvents were selected in this study: acetic acid (AcOH, glacial, 99–100%, a.r., Analytichem Belgium NV), hydrogen peroxide (H2O2, 35 wt% aqueous solution, Chem-Lab Analytical BV), a mixture of H2O2 and AcOH (0.3:1 v/v), dimethylformamide (DMF, anhydrous, Thermo Fisher (Kandel) GmbH), and dimethyl sulfoxide (DMSO, anhydrous, ≥99.9%, Merck Life Science BV). The selection was guided by two criteria: compatibility with the cured epoxy resin and microwave responsiveness.
Compatibility was evaluated using the Hansen Solubility Parameter (HSP) sphere for DGEBA epoxy. In this approach, the affinity between the solvent and the epoxy resin is assessed by the relative energy difference ( R E D = R a R 0 ), calculated via
R a = 4 ( δ D s o l δ D e p o x y ) 2 + ( δ P s o l δ P e p o x y ) 2 + ( δ H s o l δ H e p o x y ) 2
where δD the dispersion force component, δP the polar interaction component and δH the hydrogen bonding component.
A solvent is considered compatible if its solubility distance (Ra) falls within the epoxy’s solubility radius (R0 = 7.3 [38]). As shown in Table 1, DMF and DMSO lie well inside the solubility sphere (RED < 1), indicating good swelling capability. AcOH and the H2O2/AcOH mixture fall slightly outside the sphere (RED > 1, but close to unity), suggesting moderate swelling potential. H2O2 alone lies far outside this range, implying limited swelling ability on its own. However, it was included because of its strong oxidative activity, which is known to enhance resin decomposition efficiency [16].
Microwave responsiveness was assessed by comparing dielectric loss factors (ε″) at 2.45 GHz and at 25 °C. From Table 1, DMF and DMSO exhibit relatively high ε″ values, while acetic acid is a moderate absorber. Although data for H2O2 and H2O2/AcOH mixture are unavailable, concentrated aqueous H2O2 is known to couple efficiently with microwave irradiation due to its strong dipolar relaxation and water content [41]. Therefore, both H2O2 and the H2O2/AcOH mixture can be regarded as microwave-responsive media.

2.3. Recycling Process

The full recycling process comprised three sequential steps: (1) pre-swelling, (2) MW-assisted pyrolysis, and (3) post-treatment. To establish an effective recycling protocol, all key process parameters for these steps were first evaluated using lab-fabricated GFRP samples under controlled conditions. Once optimal settings were identified, the same protocol was subsequently applied to EoL-GFRP waste to assess its practical applicability.
(1)
Pre-swelling
Pre-swelling behaviour was examined using the selected solvents. In each trial, dry GFRP samples were weighed ( W 0 ), immersed in a known volume of solvent, and periodically removed, gently blotted to remove surface liquid for 30 s, and re-weighted ( W t ). Samples were then returned to the solvent to continue swelling. The test was terminated when delamination occurred, mass gain became negligible, or mass loss was observed—conditions indicating that the swelling process had reached saturation or that matrix degradation had initiated, beyond which further swelling would no longer be beneficial for preserving fibre integrity prior to MW-assisted recovery.
The swelling ratio ( W r ) was calculated as
W r = W t W 0 W 0
Swelling behaviour was first monitored over 6 h at room temperature. Short intervals were used (30 min initially, followed by 1 h) to capture early swelling kinetics. Later, samples were left overnight to evaluate longer-term solvent uptake. If only limited swelling occurred at room temperature, the temperature was increased to 50 °C using a sand bath. Evaporation was minimized by covering the beaker with a watch glass or aluminum foil, and the system was monitored periodically.
(2)
MW-assisted pyrolysis
Two MW-pyrolysis routes were investigated: (1) a dry route, where GFRP samples are directly subjected to MW irradiation without pre-swelling; and (2) a semi-wet route, where samples are pre-swollen, dried, and subsequently irradiated.
All experiments were carried out in a custom-built microwave reactor system (MEAM Explorer, Houthalen-Helchteren, Belgium), as illustrated in Figure 2. The system includes a 2 kW, 2.45 GHz multimode cavity equipped with a Eurotherm controller for automated power adjustment. GFRP samples were placed in a quartz bowl supported on a beaker inside the cavity. Quartz was chosen for its high microwave transparency and thermal stability (melting point > 1600 °C). A target temperature of 350 °C was selected to ensure initiating resin degradation while avoiding excessive fibre damage. To prevent thermal shock and suppress the formation of localized hotspots, a controlled power ramping protocol was adopted: the system was initially set to 1000 W, and power was increased in 250 W increments once the temperature ramp rate fell below 10 °C/min. Surface temperature was continuously monitored in real-time using an infrared (IR) camera directed at the centre of the sample region. To ensure inert conditions for pyrolysis, a continuous nitrogen purge was applied using a pressure-regulated inlet (approximately 1.1 bar). The evolved volatile products were channelled through a condenser system for pyrolytic oil recovery, while non-condensable gases were safely vented.
The degree of resin degradation was quantified through the mass-loss percentage ( W l p ), calculated as
W l p = W i W f W i
where W i   and W f denote the initial mass before irradiation and the final mass after MW pyrolysis, respectively.
(3)
Post-treatment
Following MW treatment, only GFRP samples showing significant matrix degradation and visible fibre exposure were subjected to post-treatment for fibre recovery. As glass fibres are thermally sensitive, conventional thermal treatment (500 °C) to remove char was avoided. Instead, an acetone soaking and ultrasonic cleaning treatment was adopted.
Samples were immersed in acetone to dissolve residual organic by-products and to soften remaining matrix fragments. The soaked samples were then transferred to an ultrasonic bath and treated for 1 h to promote the removal of loosely attached residues and facilitate fibre liberation. Finally, the recovered fibres were oven-dried at 60 °C for 5 h to remove residual solvent and moisture. Both the “as-recovered” and “post-cleaned” fibres were preserved for subsequent analysis.

2.4. Characterization

The mechanical properties of virgin glass fibres (vGFs) extracted from unused fabric and recycled glass fibres (rGFs) were evaluated using single-fibre tensile tests in accordance with ASTM C1557 [42]. All tests were performed using an automated Dia-Stron system, which consists of an FDAS770 laser rotation unit for diameter measurement and the LEX/LDS module for tensile loading. A 20 N load cell and a crosshead rate of 1.2 mm·min−1 were used, with a fixed gauge length of 12 mm. The single fibre was carefully extracted from bundles using a tweezer and mounted between two tabs, which are positioned in a multi-slot cassette (see Figure 3). Each tab contains a V-shaped slit to assist fibre alignment. A droplet of UV adhesive was applied to each tab and cured for 15 s. Further details of the procedure can be found in Mesquita et al. [43]. A minimum of 30 fibres were tested for each fibre condition to ensure statistical reliability.
A burn-off test was conducted to estimate resin removal efficiency: samples were placed in a ceramic crucible and heated in a muffle furnace at 800 °C for 5 h to ensure complete removal of remaining organics. Fourier-transform infrared (FTIR) spectroscopy was carried out to assess potential changes in chemical structure following MW exposure using a wavelength range of 500–4000 cm−1. Surface morphology of vGFs and rGFs was examined using scanning electron microscopy (SEM) and energy-dispersive X-ray spectroscopy (EDS) at an accelerating voltage of 10 kV with a working distance of 10 mm. A qualitative GC-MS analysis was conducted to determine the chemical composition of the recovered pyrolytic oil.

3. Results and Discussion

3.1. Pre-Swelling Characteristics

A series of small-scale pre-swelling trials was performed to evaluate solvent uptake behaviour in GFRP, and the results are presented in Figure 4.
In short-term tests at ambient temperature, the H2O2/AcOH mixture showed the highest swelling, reaching nearly 3% within 3 h, after which visible surface degradation was observed. In contrast, AcOH showed moderate swelling (~1.3%), while H2O2, DMF and DMSO all induced negligible swelling (<0.4%) over 6 h.
In the long-duration trials at ambient temperature, AcOH gradually reached a swelling ratio of approximately 2.0% after 13 h. H2O2 showed limited uptake at early stages, but reached ~2.3% after 158 h. DMF and DMSO remained largely ineffective at room temperature, with swelling ratios below 0.5% despite prolonged exposure. This is likely due to their limited molecular mobility at room temperature, which restricts diffusion into the epoxy network. Elevated temperature substantially improved swelling for DMF and DMSO. At 50 °C, both solvents exhibited rapid uptake, reaching ~5.7% (DMF) and ~5.9% (DMSO) within 1.5–2 h, respectively, indicating the strong temperature dependence of solvent diffusion into the epoxy matrix.
Subsequently, large-batch pre-swelling experiments were carried out using a solvent-to-GFRP ratio of 8.5 mL/g. As summarized in Table 2, clear differences in swelling efficiency were observed across the solvents. DMSO achieved the highest swelling ratio, followed by DMF, with both requiring an elevated temperature to be effective. AcOH and H2O2 showed slower uptake at room temperature, whereas the H2O2/AcOH mixture enabled faster swelling, but was accompanied by earlier matrix degradation. All final swelling ratios exceeded those obtained in small-scale trials, most notably for DMSO, for which the swelling ratio increased from approximately 6%–23%. This enhancement is likely attributed to the higher solvent-to-sample volume ratio, which improves solvent accessibility and diffusion. Prior work [16] suggested 16 mL/g as an optimal ratio, although no justification was provided. Although higher solvent volumes clearly promote swelling efficiency, the solvent-to-GFRP ratios employed here should be regarded as laboratory-scale feasibility conditions rather than optimized industrial practice. Solvent consumption is therefore expected to be a major cost and environmental footprint driver in GFRP recycling. As such, future work should focus on reducing solvent intensity through solvent recovery and recycling or alternative reactor designs that enhance solvent–polymer efficiency. These aspects are beyond the current scope of the present study, but are essential for industrial implementation.

3.2. MW-Assisted Pyrolysis Characteristics

Following pre-swelling, the dried GFRP samples prepared under the optimized conditions for each solvent (≥12 g per batch) were subjected to microwave-assisted pyrolysis at a target temperature of 350 °C. Untreated GFRP was included as a dry-route reference. Representative appearances of the pyrolysed residues are shown in Figure 5, and the average mass-loss percentages (WLP) are summarized in Table 3.
Dry-route microwave treatment proved largely ineffective, achieving only around 10.49% WLP, corresponding to about 26% resin removal relative to the matrix content. A sharp temperature peak was observed around 12 min, attributed to the onset of pyrolytic gas release. Visual inspection showed superficial surface darkening and uneven degradation, with localized hotspots. Attempts to extend exposure time (i.e., 60 min) or increase power triggered automatic shutdowns due to reactor overheating. This limitation stems from the inherently low dielectric loss factor of neat GFRP: the sample absorbs microwaves poorly, so much of the incident energy is reflected into the cavity and dissipated as heat, ultimately overloading the cooling system. These observations confirm that the dry-route MW process is not a practical standalone route for epoxy removal.
In contrast, the semi-wet route markedly improved matrix degradation for all pre-swollen samples. AcOH-treated GFRP exhibited a moderate WLP of 25.59%, with visible charring but limited fibre liberation. Decomposition initiated at approximately 10 min and followed a relatively uniform and gradual heating profile. H2O2-treated samples showed the earliest decomposition onset (~3 min) and achieved the highest WLP (39.31%), accompanied by extensive charring and early fibre exposure. The H2O2/AcOH mixture demonstrated moderate but stable MW degradation (29.14% WLP), with decomposition beginning around 10 min. This behaviour is intermediate between its components: faster onset than AcOH, less aggressive than H2O2.
DMF- and DMSO-treated samples exhibited rapid degradation and high WLP of 34.86% and 36.66%, respectively. Decomposition began within the first few minutes (2–4 min), and heating progressed rapidly. However, intense localized overheating was observed in both cases. Severe heating heterogeneity either led to rupture of the quartz bowl after 16 min in the case of DMF or resulted in reactor instability and premature shutdown in the case of DMSO.
Overall, the semi-wet route consistently outperformed the dry route, enabling faster degradation and higher resin removal across all solvent systems. The observed differences in decomposition onset, degradation rate, and mass loss among the solvents indicate a strong dependence on the pre-swelling treatment, which is further analyzed in Section 3.3.

3.3. Comparative Analysis of Swelling and MW-Pyrolysis Mechanisms

As illustrated in Figure 6, a pre-swelling treatment was employed to enhance solvent diffusion within the cured epoxy matrix and thereby promote MW pyrolysis of GFRP. The promoting mechanism can be described as a sequence of coupled processes involving solvent uptake, dielectric heating, and subsequent thermal degradation.
In general, pre-swelling modifies the cured epoxy network by allowing for the solvent molecules to penetrate within the crosslinked structure. Through non-covalent intermolecular interactions, solvent molecules partially replace polymer–polymer interactions inside the epoxy network, leading to network expansion and local softening of the glassy matrix. This process represents physical absorption rather than dissolution or depolymerization of the thermosetting resin, and it establishes the structural and dielectric conditions under which subsequent microwave heating occurs.
The extent of swelling is governed by solvent–epoxy compatibility, as reflected by Hansen solubility parameters, and by diffusion kinetics controlled by temperature. Polar aprotic solvents such as DMSO and DMF (RED < 1) possess strong dipoles and act as hydrogen-bond acceptors via their S=O and C=O groups, respectively, enabling favourable interactions with hydroxyl groups of epoxy. Once diffusion is thermally activated (i.e., 50 °C), solvent molecules penetrate deeply into the epoxy matrix, leading to pronounced swelling and the formation of pores and microcracks, as reflected by the high swelling ratios reported in Table 2.
In contrast, AcOH exhibits moderate swelling behaviour, consistent with its intermediate compatibility with epoxy (RED = 1.3). Owing to its ability to act as both a hydrogen-bond donor (–OH) and acceptor (C=O), AcOH can gradually penetrate the epoxy network at ambient temperatures, leading to slower but measurable swelling, as observed experimentally in Section 3.1. Oxidative solvent systems (H2O2 and H2O2/AcOH) follow a distinctly different mechanism. For H2O2, the poor compatibility with epoxy (RED = 4.6) suggests that physical swelling should be limited; the swelling observed after prolonged exposure can be attributed to slow oxidative loosening of the resin network. In the H2O2/AcOH system, peracetic acid and its decomposition-derived acyloxy and hydroxyl radicals readily attack the epoxy network, leading to rapid oxidative chain scission [16] and thus short-term swelling accompanied by cracking and visible degradation.
During MW treatment, microwaves primarily interact with polar solvent molecules residing within the swollen epoxy network. Glass fibres are non-polar and electrically insulating, while cured epoxy thermosets have restricted dipole mobility; both show very low dielectric loss factors (ε″) and therefore contribute negligibly to MW absorption. Consequently, the efficiency of MW heating in GFRP is largely governed by the presence, distribution, and dielectric properties of the absorbed solvent. Among the investigated solvents, DMSO exhibits the highest ε″ value (15.8 at 2.45 GHz), followed by DMF (5.0), while AcOH shows relatively low microwave absorbance (ε″ ≈ 2.5). Although ε″ values for H2O2 and the H2O2/AcOH mixture are not available, concentrated aqueous H2O2 is known to couple efficiently with microwave irradiation due to strong dipolar relaxation and high water content. The microwave-assisted pyrolysis results reported in Section 3.2 are closely consistent with these dielectric trends, with solvents exhibiting higher ε″ values generally showing earlier decomposition onset and higher mass-loss ratios.
Following sufficient internal heating, epoxy degradation proceeds predominantly via thermal pyrolysis. While certain solvents—particularly oxidative systems—may chemically facilitate early-stage bond scission, this is not the primary intention of the process.
Among the investigated solvents, DMSO demonstrates the most pronounced enhancement due to the combined effects of high epoxy affinity, strong dielectric loss (ε″), and thermally activated diffusion. These same characteristics also make the process sensitive to heating heterogeneity, underscoring the need for careful process control.

3.4. Recycled Products’ Characteristics

(1)
Single fibre tensile results
Figure 7 provides a visual comparison of the tensile strength of vGF and rGFs both the “as-recovered” and “post-cleaned” states, while Table 4 summarizes the corresponding tensile strengths and fibre diameters together with statistical analysis. Statistical significance was evaluated using Tukey’s post hoc test, where groups sharing letters are not significantly different (p > 0.05).
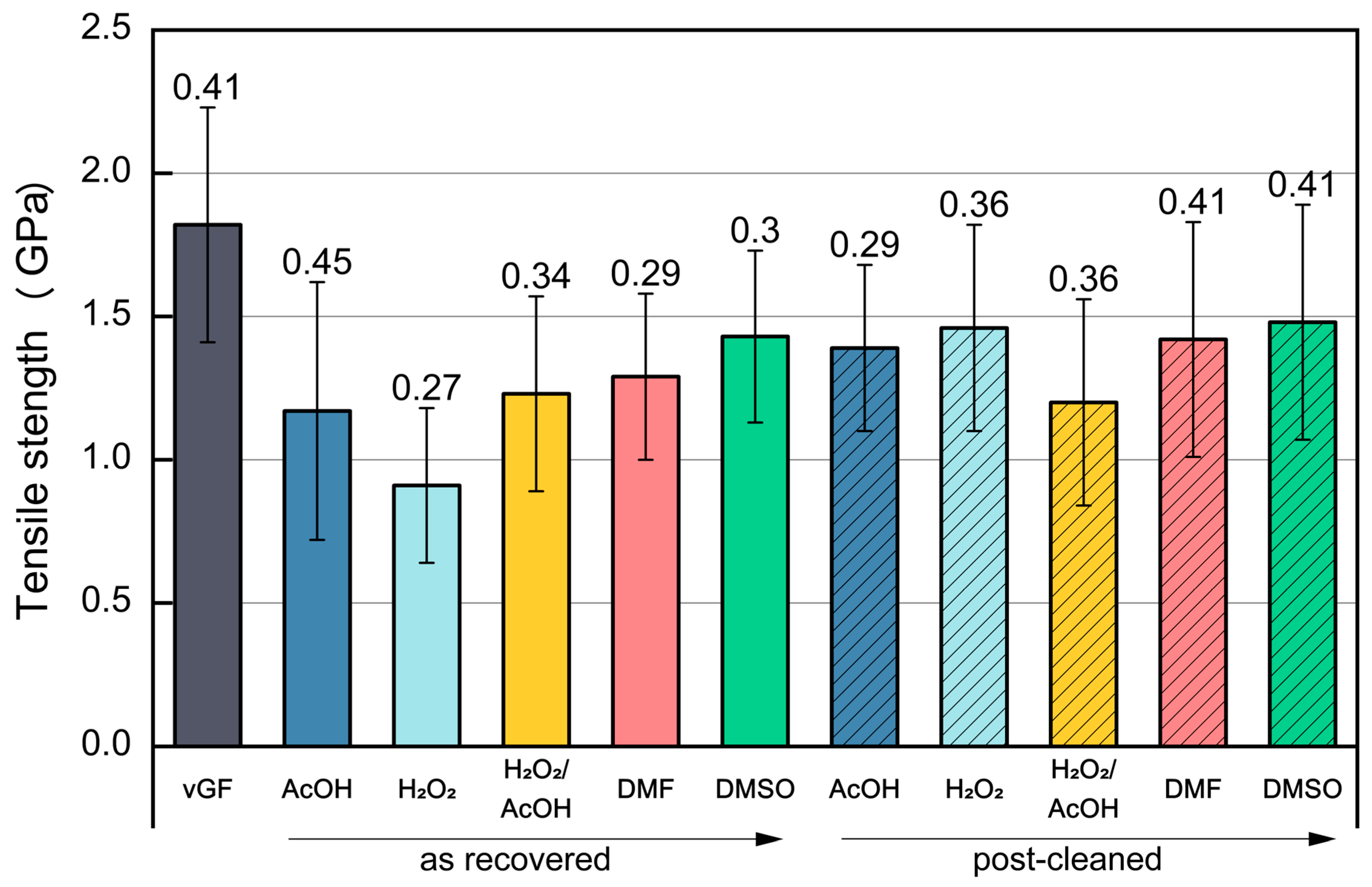
Virgin fibres showed the highest tensile strength (1.82 ± 0.41 GPa, group A), significantly outperforming all rGFs (0.91–1.48 GPa, groups BC). This decline is likely due to surface defects and residual contamination introduced during recycling treatments, rather than changes in the fibre’s diameter. The fibre diameter results support this interpretation. Most rGFs, whether before or after post-cleaning, shared the same statistical group B as vGF (16.07 ± 1.51 μm), indicating that their effective cross-section was largely preserved. One clear exception was the H2O2-treated fibres, whose “as-recovered’’ diameter was significantly larger (18.36 μm, group A). After post-cleaning, the diameter decreased to 15.44 μm (groups B/C), suggesting that the initial enlargement arose from surface residues rather than structural changes in the glass. The apparent strength increase (from 0.91 to 1.46 GPa) therefore reflects the correction of diameter overestimation, although the performance remained below virgin levels. Among all solvents, the post-cleaned DMSO showed the best mechanical performance, achieving a tensile strength of 1.48 ± 0.41 GPa—approximately 81% of the virgin fibre strength.
To further assess the strength distribution and reliability of the recycled fibres, Weibull statistical analysis was performed (Table 5, Figure 8). The lines in Figure 8 represent linear Weibull fits obtained by plotting the logarithm of failure probability against the logarithm of characteristic strength, based on the two-parameter Weibull distribution:
ln [ ln ( 1 P ) ] = m ln ( σ ) m ln ( σ 0 )
where P is the failure probability, σ is the measured strength, m is the Weibull modulus (slope), and σ 0 is the characteristic strength (intercept). The fits were calculated using linear regression of the ranked probability data (median rank method). A higher slope ( m ) indicates lower strength variability, while a higher σ 0 (i.e., a rightward shift) indicates greater characteristic strength.
Compared to vGF, rGFs showed markedly reduced characteristic strength (σ0 = 1.00–1.55 GPa) and largely lower Weibull moduli (m = 3.04–5.67). The broader flaw distributions indicate that flaw sensitivity is high after recycling—a typical consequence of residual char, micro-defects, and roughened surfaces formed during the resin decomposition.
Post-cleaning improved the characteristic strength for all fibre types, with σ0 rising to as high as 1.63 GPa. However, the Weibull modulus improved only marginally. This behaviour suggests that strength increase does not arise from a reduction in defect severity—since that would have increased the Weibull modulus—but rather from the removal of surface residues that previously led to diameter overestimation. Therefore, cleaning improves the accuracy of the strength calculation, but does not reduce defects created during recycling, and thus cannot restore the uniformity of recycled fibres.
Importantly, despite the performance gap with vGF, our most rGFs outperform conventionally pyrolyzed fibres reported in the literature (σ0 = 0.60–1.24 GPa). This highlights the intrinsic advantage of the present pre-swelling-assisted microwave pyrolysis approach, where enhanced dielectric absorption and reduced thermal exposure limit the extent of structural damage.
Collectively, the tensile and Weibull results indicate that strength loss in rGFs originates mainly from surface damage or residual contamination rather than diameter variation from bulk structure change. Post-cleaning partially restores mechanical performance, primarily by removing residues rather than healing defects.
(2)
Burn-off and FTIR analysis of rGFs
Figure 9a presents the burn-off mass loss of virgin fibres, the GFRP composite, and all recycled fibres. Virgin E-glass fibres exhibited a very low mass loss of 1.1%, which could be related to the decomposition of the sizing layer. GFRP composite specimens showed about 40% weight loss, which is in line with the designed epoxy content.
rGFs displayed considerably higher mass losses than vGF (8–17 wt%), reflecting the presence of residual char, partially decomposed epoxy fragments or condensed by-products from microwave pyrolysis. Among the “as-recovered” fibres, the H2O2-treated sample had the highest residual content (16.6%), while the DMSO-treated sample showed the lowest (12.4%), suggesting a more uniform and efficient matrix decomposition. Post-cleaning consistently reduced the residue content for all fibres, with DMSO-p reaching the lowest value (8.0%). The residue trends seemed to be related to tensile performance: fibres with higher residue levels (e.g., H2O2) showed the lowest strength, while cleaner fibres (e.g., DMSO) retained the highest strength. Residual char or epoxy fragments introduce geometric discontinuities along the fibre’s surface, which likely act as stress concentrators, promoting early crack initiation, thereby compromising the mechanical performance of the recovered fibres [18].
Figure 9b shows the FTIR spectra of vGF and post-cleaned rGFs. The vGF spectrum exhibited the characteristic Si–O bending (700–800 cm−1) and Si–O–Si stretching (900–1000 cm−1) bands of silica-based fibres, with a near-flat baseline indicating only a minimal number of organic species from the sizing.
All recycled fibres show very similar spectral features in the 700–1000 cm−1 range as vGF, revealing that the pre-swelling microwave-assisted pyrolysis did not alter the silicate network. Very weak additional shoulders appear in some rGFs at 1500–1600 cm−1 (aromatic C=C), 1680–1750 cm−1 (oxidized C=O), and 2850–2960 cm−1 (C–H stretching), corresponding to trace epoxy-derived residues. Their extremely low intensity aligns with the small residual mass observed in burn-off tests, pointing to only minor organic fragments remaining after recycling and cleaning.
A slight elevation of the baseline is observed for the rGF spectra, with slightly higher intensity in the DMSO-treated sample. This elevation is likely due to surface roughness, scattering effects, or residual deposits rather than any change in the glass chemistry. Overall, the FTIR and burn-off results are consistent. Burn-off confirms only small residual organics, and FTIR detects only very weak organic peaks, while the key Si–O–Si bands remain intact, demonstrating that the recycling process preserves the chemical integrity of the recycled glass fibres.
(3)
Surface morphology of rGFs
Figure 10 presents the SEM micrographs and EDS spectra of the vGF and rGF samples. The reference virgin fibres (Figure 10a) exhibit smooth, clean surfaces and uniform diameters (~16 µm), in agreement with laser diffraction measurements. The detected elements (Si, Al, Ca, O, etc.) match the expected E-glass composition.
In contrast, the “as recovered” rGFs (Figure 10b) display extensive surface residues, appearing as partially adhered shells, flake-like deposits, or bonded bundles. EDS analysis reveals clear carbon peaks, consistent with epoxy-derived residues identified in the burn-off and FTIR results. These residual layers could introduce morphological irregularities that disrupt the smooth cylindrical profile of the fibre and may act as minor stress concentrators. Uneven residue coverage can also lead to diameter overestimation during strength calculation. Together with intrinsic surface damage introduced during recycling, these factors contribute to the reduced tensile strength and lower Weibull modulus of the as-recovered rGFs.
Post-cleaning markedly improves the fibres’ surfaces, as shown in Figure 10c. Most visible residues are removed, revealing smoother glass surfaces with few surface flaws. The marked reduction in carbon signals in EDS further demonstrates that ultrasonic acetone cleaning effectively removes a large proportion of the organic deposits identified previously. Among all solvents, DMSO-p-treated fibres exhibit the cleanest and most uniform surfaces, with only occasional small particles remaining. This observation aligns directly with their superior mechanical performance (1.48 ± 0.41 GPa) and lowest residue content (8.0 wt%), reinforcing the conclusion that surface cleanliness is a key determinant of recycled fibre strength.
(4)
Chemical composition of pyrolytic oil
Capturing pyrolytic oil proved technically challenging due to the limitations of the current microwave setup. The MW cavity is significantly larger than the GFRP samples, creating a thermally inefficient environment for vapour transport. The relatively cold internal walls promote premature condensation of pyrolytic vapours, causing them to deposit inside the cavity rather than being efficiently transferred to the condenser. As a result, only a limited amount of condensable oil was recovered. Among all conditions, the DMSO-pre-swollen samples generated the largest oil yield and produced the clearest chemical signatures.
Figure 11 shows the GC–MS chromatogram of the pyrolytic oil obtained from the DMSO-pre-swollen GFRP during microwave pyrolysis. Several characteristic epoxy degradation products are detected. Phenol (~5.5 min) and a series of substituted phenols (10–11 min) represent the dominant low-molecular-weight fragments. A broad peak between 21 and 24 min is attributed to bisphenol A (BPA), indicating that portions of the epoxy network experience only partial depolymerization under the applied microwave conditions. A small early-eluting peak corresponding to residual DMSO is also observed, confirming that trace swelling solvent was carried into the oil phase.
This behaviour aligns well with the general trends reported in the pyrolysis literature. The distribution of pyrolysis products is known to be strongly governed by both temperature and vapour residence time. At moderate conditions (400–500 °C, short residence times), the epoxy network undergoes only partial depolymerization, leading to predominantly liquid products enriched in small- to mid-sized fragments such as phenol, cresols, alkyl-substituted phenols, and a limited number of BPA-derived units. At higher temperatures or prolonged residence times, cracking becomes significantly more severe, producing larger fractions of permanent gases and light aromatics (e.g., benzene, toluene, and xylene). From a valorization perspective, phenol has previously been identified as the most abundant reusable component in standard WTB pyrolysis oils (~17 wt%), yet monophenols are useless for reverting to thermoset epoxies; one needs at least difunctional compounds such as BPA, which can be reused as the building block for a wide range of BPA-based materials [45].
In summary, the chromatographic profile suggests that the proposed microwave pyrolysis operates under a low-severity depolymerization regime: the epoxy network is mainly cleaved into phenolic compounds, but does not undergo extensive secondary cracking, which allows for higher-molecular-weight BPA-based fragments to persist to some extent in the oil phase. Still, the current method is not yet sufficiently selective to maximize BPA retention and needs further optimization, such as improving microwave coupling, shortening vapour residence time, or introducing catalysts to direct bond cleavage pathways.

3.5. Applicability to Real Wind Turbine Blades

Although the pre-swelling microwave pyrolysis process was demonstrated using lab-made GFRP composites, its applicability to real WTB materials must also be considered. In this section, only the pure GFRP regions of the blade were used (Figure 1), thereby avoiding complications arising from core materials. Nevertheless, real WTB laminates still differ fundamentally from lab-made composites: decades of service expose them to cyclic loading, UV radiation, humidity, temperature fluctuations, abrasive erosion, icing, and occasional impact or lightning. Such long-term ageing may alter the resin chemistry, fibre–matrix interface, and defect population, which affect swelling and microwave pyrolysis behaviour. Evaluating the method on these industrial samples therefore provides a more realistic measure of its applicability to real WTB waste recycling.
Based on the optimal processing parameters established using lab-fabricated GFRP, the same protocol from DMSO samples was subsequently applied to GFRP sections extracted from a decommissioned WTB. The full procedure and corresponding characterization results are summarized in Table 6 and illustrated in Figure 12.
After pre-swelling in DMSO, the WTB GFRP samples exhibited a swelling ratio of 10.29%, together with visible surface texturing (Figure 12a). Despite these changes, the samples remained intact and structurally appropriate for subsequent MW treatment. They were then subjected to 30 min of microwave exposure at 350 °C.
The mass loss ratio was ~36.5%, comparable to laboratory sample results. As shown in Figure 12b, the top surfaces displayed a brown colour typical of partial carbonization, while the bottom surfaces were fully blackened, suggesting stronger carbonization. A pool of dark, viscous pyrolytic oil was also observed, confirming the extensive depolymerization of the epoxy matrix.
The temperature–time profile (Figure 12c) shows a rapid, nearly linear temperature rise during the first 5 min, consistent with effective microwave coupling facilitated by DMSO. Afterwards, temperature fluctuations appeared, coinciding with the formation of a hotspot in the reactor, as captured in the IR image. Post-experiment inspection reveals that locally condensed pyrolytic oil—known to possess a higher dielectric-loss factor—contributed to hotspot formation. Around 15 min, the average sample temperature dropped sharply, likely corresponding to the onset of epoxy decomposition near 250 °C, followed by a brief rebound and gradual decline. By contrast, the maximum temperature continued rising before peaking, which was attributed to the rapid heating of pyrolytic oil/gas generated during degradation. This diverted microwave energy away from the GFRP samples, thus reducing their surface temperature. These observations indicate that inadequate capture of pyrolytic oil within the MW reactor can induce strong local dielectric heating, forming hotspots that disrupt uniform energy distribution and limit process stability.
Post-treatment WTB fibres showed an average diameter of 15.6 ± 1.8 µm, comparable to virgin E-glass fibres; ANOVA with Tukey’s test assigned them to the same statistical group. The mean tensile strength was slightly lower (1.44 ± 0.38 GPa) than that of vGF, but statistically equivalent to the laboratory DMSO-treated fibres.
Weibull analysis (Figure 12d) yielded a modulus of 4.60 and a characteristic strength of 1.58 GPa. Compared with the lab-scale DMSO fibres, the modulus is similar, whereas the characteristic strength is slightly lower than the 1.63 GPa obtained for the lab-fabricated composites. The data points mostly align with the reference line, with only a few low-probability points deviating toward lower strengths. This points to a small fraction of weaker fibres, likely associated with local surface flaws introduced during service life or processing. Overall, these findings show that the proposed method remains effective on industrial composite waste, supporting its potential for real-world implementation.

4. Conclusions

Recycling GFRP from end-of-life wind turbine blades remains difficult, as conventional thermal processes require temperatures above 450 °C for full resin decomposition—conditions that severely degrade glass fibre strength. This study demonstrates the technical feasibility of a low-temperature, semi-wet, microwave-assisted recycling method that combines solvent-based pre-swelling with volumetric MW heating to enhance resin absorbance and enable efficient matrix breakdown under milder conditions.
The results show that pre-swelling is essential for enabling effective MW recycling of GFRP. The dry route—direct MW treatment without solvent pre-swelling—failed due to the intrinsically low dielectric loss of both glass fibres and cured epoxy, whereas the semi-wet route provided more efficient resin removal. Among the five swelling agents tested, DMSO proved the most effective, achieving a highest swelling of about 23% under optimized solvent ratios and enabling rapid matrix decomposition during MW treatment. Using this route, up to 92% of the epoxy matrix was removed within 9 min at 350 °C, while the recovered fibres retained about 81% of their virgin tensile strength after post-cleaning, with residuals reduced to as low as 8%. FTIR, SEM, and TGA analyses confirmed substantial matrix removal and preservation of the silicate network, consistent with limited fibre damage.
The applicability of the proposed process was further tested on real GFRP sections extracted from an end-of-life wind turbine blade. Under the optimized DMSO-based semi-wet route, the WTB samples showed swelling behaviour, heating profiles, and degradation efficiencies comparable to laboratory laminates. The recovered fibres displayed diameter uniformity similar to virgin E-glass and retained tensile strength levels statistically comparable to the laboratory-scale DMSO route. These results indicate that the process remains effective at laboratory scale when applied to industrially aged GFRP.
Despite its demonstrated potential, several limitations must be addressed before this method can be implemented at an industrial scale. The current reactor configuration—particularly the mismatch between the multimode cavity and the small sample volume—reduces microwave coupling efficiency and limits the efficient capture of condensable by-products. As a result, pyrolytic oil and vapours can absorb microwave energy preferentially, diverting power away from the composite, creating localized hotspots and generating non-uniform fields that lead to unstable heating, local overheating, and occasional reactor shutdowns. These effects currently prevent the reliable quantification of volatile products and thus preclude comprehensive mass and energy balance accounting, which constitute key directions for future work. GC–MS results also highlight a key valorization barrier: the process operates under a low-severity depolymerization regime, producing phenolic-rich oils with only a partial retention of higher-molecular-weight BPA fragments. Although this mild condition helps preserve fibre integrity, it is not yet sufficiently selective for achieving high-value monomer recovery. Future improvements should therefore focus on reactor redesign, improved field uniformity, and catalyst-assisted routes to promote selective bond scission and increase BPA yield. Beyond these technical optimizations, solvent recovery, safety and environmental footprint assessments, scale-up studies, and composite-level validations of recycled fibres will be required before any industrial implementation can be envisaged. In particular, surface re-sizing strategies, interfacial performance evaluation (e.g., fibre bundle pull-out or interfacial shear strength tests), and reinforcement trials in relevant composite matrices will be critical to ensure the compatibility and reuse potential of rGFs in practical applications.

Author Contributions

Y.Z.: Writing—original draft and review and editing, Methodology, Investigation, Formal analysis, Data curation, Validation, Conceptualization. S.V.: Writing—original draft, Methodology, Investigation, Formal analysis. J.E.-E.: Writing—original draft, Methodology, Investigation, Formal analysis. J.I.: Writing—review and editing, Methodology, Resources, Supervision, Funding acquisition, Validation, Conceptualization. All authors have read and agreed to the published version of the manuscript.

Funding

This research was carried out as part of the WIN-CE project (HBC.2023.1006), a strategic basic research (cSBO) initiative conducted within the Flemish spearhead clusters Catalisti and De Blauwe Cluster, and supported by Flanders Innovation & Entrepreneurship (VLAIO).

Data Availability Statement

The raw data supporting the conclusions of this article will be made available by the authors on request.

Acknowledgments

The authors gratefully acknowledge the technical support provided by the Department of Materials Engineering at KU Leuven. Special thanks are extended to Floris Hooyberghs (Chem&Tech, KU Leuven) for GC–MS assistance and to Jules Vermeiren (MEAM) for microwave training.

Conflicts of Interest

The authors declare that they have no known competing financial interests or personal relationships that could have appeared to influence the work reported in this paper.

Abbreviations

The following abbreviations are used in this manuscript:
ACOHAcetic acid
DMFDimethylformamide
DMSODimethyl Sulfoxide
EDSEnergy Dispersive Spectroscopy
EoLEnd of life
FTIRFourier transform infrared
GC-MSGas chromatography–mass spectrometry
GFGlass fibres
GFRPGlass fibre-reinforced Polymers
HSPHansen Solubility Parameters
MWMicrowave
rGFRecycled glass fibres
SEMScanning electron microscopy
TGAThermogravimetric analysis
vGFVirgin glass fibres
WTBWind turbine blade

References

  1. WindEurope. Wind Energy Basics. Available online: https://windeurope.org/about-wind/wind-basics/# (accessed on 3 July 2025).
  2. Climate Action. European Climate Law. Available online: https://climate.ec.europa.eu/eu-action/european-climate-law_en#implementation (accessed on 3 July 2025).
  3. Craig Richard. Renewables Forecast to Provide Nearly Half of Global Energy by 2050. Available online: https://www.windpowermonthly.com/article/1443539/renewables-forecast-provide-nearly-half-global-energy-2050 (accessed on 3 July 2025).
  4. Tang, A. What Happens When Wind Turbines Get Old? New Industry Guidance Document for Dismantling and Decommissioning. Available online: https://windeurope.org/newsroom/press-releases/what-happens-when-wind-turbines-get-old-new-industry-guidance-document-for-dismantling-and-decommissioning/ (accessed on 3 July 2025).
  5. Sirris, Z. CompositeLoop Closing Event: Internal Report; Sirris: Zwijnaarde, Belgium, 2019. [Google Scholar]
  6. Zhang, Y.; van Caneghem, J.; Pontikes, Y.; Granata, G.; Lessard, L.; van Vuure, A.W. Environmental and economic assessment of mechanical recycling of end-of-life wind turbine blades into rebars and comparison with conventional disposal routes. Compos. Part A Appl. Sci. Manuf. 2025, 190, 108711. [Google Scholar] [CrossRef]
  7. WindEurope. Discussion Paper on Blade Waste Treatment; WindEurope: Copenhagen, Denmark, 2017. [Google Scholar]
  8. Mishnaevsky, L.; Branner, K.; Petersen, H.N.; Beauson, J.; McGugan, M.; Sørensen, B.F. Materials for Wind Turbine Blades: An Overview. Materials 2017, 10, 1285. [Google Scholar] [CrossRef] [PubMed]
  9. Zhang, Y.; Pontikes, Y.; Lessard, L.; van Willem Vuure, A. Recycling and valorization of glass fibre thermoset composite waste by cold incorporation into a sustainable inorganic polymer matrix. Compos. Part B Eng. 2021, 223, 109120. [Google Scholar] [CrossRef]
  10. European Commission. Landfill Waste. Available online: https://environment.ec.europa.eu/topics/waste-and-recycling/landfill-waste_en (accessed on 3 July 2025).
  11. European Commission. Waste Framework Directive. Available online: https://environment.ec.europa.eu/topics/waste-and-recycling/waste-framework-directive_en (accessed on 3 July 2025).
  12. Europen Union. Council Directive 1999/31/EC of 26 April 1999 on the Landfill of Waste. Available online: https://eur-lex.europa.eu/eli/dir/1999/31/oj (accessed on 3 July 2025).
  13. Europen Union. Directive 2000/76/EC of the European Parliament and of the Council of 4 December 2000 on the Incineration of Waste. Available online: https://eur-lex.europa.eu/eli/dir/2000/76/oj/eng (accessed on 3 July 2025).
  14. Europen Union. 2014/955/EU: Commission Decision of 18 December 2014 Amending Decision 2000/532/EC on the List of Waste Pursuant to Directive 2008/98/EC of the European Parliament and of the Council Text with EEA Relevance. Available online: https://eur-lex.europa.eu/legal-content/EN/TXT/?uri=CELEX%3A32014D0955&qid=1676896557344 (accessed on 3 July 2025).
  15. EuCIA; EuPC; ECRC. Joint industry position paper on Glass fibre reinforced thermosets: Recyclable and compliant with the EU legislation. June 2011. [Google Scholar]
  16. Rani, M.; Choudhary, P.; Krishnan, V.; Zafar, S. Development of sustainable microwave-based approach to recover glass fibers for wind turbine blades composite waste. Resour. Conserv. Recycl. 2022, 179, 106107. [Google Scholar] [CrossRef]
  17. Beauson, J.; Laurent, A.; Rudolph, D.P.; Pagh Jensen, J. The complex end-of-life of wind turbine blades: A review of the European context. Renew. Sustain. Energy Rev. 2022, 155, 111847. [Google Scholar] [CrossRef]
  18. Zhang, Y.; Pontikes, Y.; van Caneghem, J.; Lessard, L.; van Vuure, A.W. Parametric analysis of inorganic polymers reinforced with recycled GFRP materials. Constr. Build. Mater. 2025, 463, 139986. [Google Scholar] [CrossRef]
  19. Yan, Z.; Rahimizadeh, A.; Zhang, Y.; Zhou, Y.; Lessard, L. A finite element model for 3D printed recycled parts from end-of-life wind turbine blades. Compos. Struct. 2023, 320, 117177. [Google Scholar] [CrossRef]
  20. Qureshi, J. A Review of Recycling Methods for Fibre Reinforced Polymer Composites. Sustainability 2022, 14, 16855. [Google Scholar] [CrossRef]
  21. Mattsson, C.; André, A.; Juntikka, M.; Tränkle, T.; Sott, R. Chemical recycling of End-of-Life wind turbine blades by solvolysis/HTL. IOP Conf. Ser. Mater. Sci. Eng. 2020, 942, 12013. [Google Scholar] [CrossRef]
  22. Spini, F.; Bettini, P. End-of-Life wind turbine blades: Review on recycling strategies. Compos. Part B Eng. 2024, 275, 111290. [Google Scholar] [CrossRef]
  23. Piñero-Hernanz, R.; García-Serna, J.; Dodds, C.; Hyde, J.; Poliakoff, M.; Cocero, M.J.; Kingman, S.; Pickering, S.; Lester, E. Chemical recycling of carbon fibre composites using alcohols under subcritical and supercritical conditions. J. Supercrit. Fluids 2008, 46, 83–92. [Google Scholar] [CrossRef]
  24. Oliveux, G.; Dandy, L.O.; Leeke, G.A. Current status of recycling of fibre reinforced polymers: Review of technologies, reuse and resulting properties. Prog. Mater. Sci. 2015, 72, 61–99. [Google Scholar] [CrossRef]
  25. Julian, I.; García-Jiménez, A.; Aguado, A.; Arenal, C.; Calero, A.; Campos, V.; Escobar, G.; López-Buendía, A.M.; Romero, D.; Verdejo, E.; et al. Advances in the circularity of end-of-life fibre-reinforced polymers by microwave intensification. Chem. Eng. Process.-Process Intensif. 2022, 178, 109015. [Google Scholar] [CrossRef]
  26. Mishra, R.R.; Sharma, A.K. Microwave–material interaction phenomena: Heating mechanisms, challenges and opportunities in material processing. Compos. Part A Appl. Sci. Manuf. 2016, 81, 78–97. [Google Scholar] [CrossRef]
  27. Lester, E.; Kingman, S.; Wong, K.H.; Rudd, C.; Pickering, S.; Hilal, N. Microwave heating as a means for carbon fibre recovery from polymer composites: A technical feasibility study. Mater. Res. Bull. 2004, 39, 1549–1556. [Google Scholar] [CrossRef]
  28. Deng, J.; Xu, L.; Zhang, L.; Peng, J.; Guo, S.; Liu, J.; Koppala, S. Recycling of Carbon Fibers from CFRP Waste by Microwave Thermolysis. Processes 2019, 7, 207. [Google Scholar] [CrossRef]
  29. Obunai, K.; Fukuta, T.; Ozaki, K. Carbon fiber extraction from waste CFRP by microwave irradiation. Compos. Part A Appl. Sci. Manuf. 2015, 78, 160–165. [Google Scholar] [CrossRef]
  30. Åkesson, D.; Foltynowicz, Z.; Christéen, J.; Skrifvars, M. Microwave pyrolysis as a method of recycling glass fibre from used blades of wind turbines. J. Reinf. Plast. Compos. 2012, 31, 1136–1142. [Google Scholar] [CrossRef]
  31. Moraes, V.T.D.; Jermolovicius, L.A.; Tenório, J.A.S.; Lebrão, S.M.G.; Lebrão, G.W. Microwave-Assisted Recycling Process to Recover Fiber from Fiberglass Polyester Composites. Mat. Res. 2019, 22, e20190389. [Google Scholar] [CrossRef]
  32. Hao, S.; He, L.; Liu, J.; Liu, Y.; Rudd, C.; Liu, X. Recovery of Carbon Fibre from Waste Prepreg via Microwave Pyrolysis. Polymers 2021, 13, 1231. [Google Scholar] [CrossRef]
  33. Åkesson, D.; Krishnamoorthi, R.; Foltynowicz, Z.; Christέen, J.; Kalantar, A.; Skrifvars, M. Glass Fibres Recovered by Microwave Pyrolysis as a Reinforcement for Polypropylene. Polym. Polym. Compos. 2013, 21, 333–340. [Google Scholar] [CrossRef]
  34. Zabihi, O.; Ahmadi, M.; Liu, C.; Mahmoodi, R.; Li, Q.; Ghandehari Ferdowsi, M.R.; Naebe, M. A Sustainable Approach to the Low-Cost Recycling of Waste Glass Fibres Composites towards Circular Economy. Sustainability 2020, 12, 641. [Google Scholar] [CrossRef]
  35. Branfoot, C.; Folkvord, H.; Keith, M.; Leeke, G.A. Recovery of chemical recyclates from fibre-reinforced composites: A review of progress. Polym. Degrad. Stab. 2023, 215, 110447. [Google Scholar] [CrossRef]
  36. Navarro, C.A.; Kedzie, E.A.; Ma, Y.; Michael, K.H.; Nutt, S.R.; Williams, T.J. Mechanism and Catalysis of Oxidative Degradation of Fiber-Reinforced Epoxy Composites. Top. Catal. 2018, 61, 704–709. [Google Scholar] [CrossRef]
  37. Zhang, D.; Song, Q.; Hou, B.; Zhang, M.; Teng, D.; Zhang, Y.; Bie, R.; Yang, H. Experimental Study on Microwave Pyrolysis of Decommissioned Wind Turbine Blades Based on Silicon Carbide Absorbents. Processes 2024, 12, 1065. [Google Scholar] [CrossRef]
  38. Hansen, C.M. Hansen Solubility Parameters; CRC Press: Boca Raton, FL, USA, 2007. [Google Scholar]
  39. Horikoshi, S.; Matsuzaki, S.; Mitani, T.; Serpone, N. Microwave frequency effects on dielectric properties of some common solvents and on microwave-assisted syntheses: 2-Allylphenol and the C12–C2–C12 Gemini surfactant. Radiat. Phys. Chem. 2012, 81, 1885–1895. [Google Scholar] [CrossRef]
  40. BrandTech® Scientific, Inc. Solvent Boiling Point Chart|BRANDTECH Scientific. Available online: https://www.brandtech.com/support/learning-center/solvent-boiling-points-chart (accessed on 14 November 2025).
  41. Savrun, E.; Sawhill, S. Microwave Decomposition of Hydrogen Peroxide. In Proceedings of the 2006 IEEE International Vacuum Electronics, Monterey, CA, USA, 25–27 April 2006; pp. 387–388. [Google Scholar]
  42. ASTM C1557; Test Method for Tensile Strength and Youngs Modulus of Fibers. ASTM International: West Conshohocken, PA, USA, 2020.
  43. Mesquita, F.; Bucknell, S.; Leray, Y.; Lomov, S.V.; Swolfs, Y. Single carbon and glass fibre properties characterised using large data sets obtained through automated single fibre tensile testing. Compos. Part A Appl. Sci. Manuf. 2021, 145, 106389. [Google Scholar] [CrossRef]
  44. Xu, M.; Yang, J.; Ji, H.; Wu, Y.; Li, J.; Di, J.; Meng, X.; Jiang, H.; Lu, Q. Recovering high-quality glass fibers from end-of-life wind turbine blades through swelling-assisted low-temperature pyrolysis. Waste Manag. 2024, 187, 179–187. [Google Scholar] [CrossRef]
  45. Johansson, A.-C.; Sott, R.; Mattsson, C. Comparative Study of Thermochemical Recycling with Solvolysis and Pyrolysis of End-of-Life Wind Turbine Blades: Rekovind2-WP3; RISE Report P113615-1; RISE Research Institutes of Sweden: Borås, Sweden, 2023. [Google Scholar]
Figure 1. (a) Lab-fabricated glass fibre-reinforced polymer (GFRP) laminate; (b) real wind turbine blade waste provided by Sirris (the Belgian collective research centre for the technology industry).
Figure 1. (a) Lab-fabricated glass fibre-reinforced polymer (GFRP) laminate; (b) real wind turbine blade waste provided by Sirris (the Belgian collective research centre for the technology industry).
Jcs 10 00071 g001
Figure 2. MW pyrolysis system: (a) reactor setup; (b) configuration; (c) multimode cavity.
Figure 2. MW pyrolysis system: (a) reactor setup; (b) configuration; (c) multimode cavity.
Jcs 10 00071 g002
Figure 3. Single-fibre tensile test: (a) multi-slot cassette for 12 mm gauge length; (b) V-shaped slit tab; (c) loading configuration.
Figure 3. Single-fibre tensile test: (a) multi-slot cassette for 12 mm gauge length; (b) V-shaped slit tab; (c) loading configuration.
Jcs 10 00071 g003
Figure 4. Swelling ratios: (a) short-term at ambient condition; (b) long-term at ambient condition; (c) swelling at 50 °C.
Figure 4. Swelling ratios: (a) short-term at ambient condition; (b) long-term at ambient condition; (c) swelling at 50 °C.
Jcs 10 00071 g004
Figure 5. Visual observations of the pyrolysed residues.
Figure 5. Visual observations of the pyrolysed residues.
Jcs 10 00071 g005
Figure 6. Diagram of swelling and MW pyrolysis degradation. The mechanistic concept of acyloxy-radical-induced C–N bond scission (right panel) is based on Ref. [16].
Figure 6. Diagram of swelling and MW pyrolysis degradation. The mechanistic concept of acyloxy-radical-induced C–N bond scission (right panel) is based on Ref. [16].
Jcs 10 00071 g006
Figure 7. Comparison of tensile strength of vGF and rGFs in the as-recovered and post-cleaned states. Bars represent mean values and error bars indicate standard deviations.
Figure 7. Comparison of tensile strength of vGF and rGFs in the as-recovered and post-cleaned states. Bars represent mean values and error bars indicate standard deviations.
Jcs 10 00071 g007
Figure 8. Weibull distributions of vGF and rGFs. The fitted lines represent linearized two-parameter Weibull regression based on ranked probability plots, used to extract characteristic strength and Weibull modulus for comparison of fibre strength variability. Each colored fitted line corresponds to the same-colored data points for the sample group listed in the legend.
Figure 8. Weibull distributions of vGF and rGFs. The fitted lines represent linearized two-parameter Weibull regression based on ranked probability plots, used to extract characteristic strength and Weibull modulus for comparison of fibre strength variability. Each colored fitted line corresponds to the same-colored data points for the sample group listed in the legend.
Jcs 10 00071 g008
Figure 9. (a) Residual mass percentage from the burn-off test and (b) FTIR results of vGF and rGF (post-cleaned).
Figure 9. (a) Residual mass percentage from the burn-off test and (b) FTIR results of vGF and rGF (post-cleaned).
Jcs 10 00071 g009
Figure 10. SEM micrographs of (a) the vGF, (b) rGFs—“as recovered”, and (c) rGFs—“post-cleaned”.
Figure 10. SEM micrographs of (a) the vGF, (b) rGFs—“as recovered”, and (c) rGFs—“post-cleaned”.
Jcs 10 00071 g010
Figure 11. GC-MS of pyrolytic oil (from DMSO GFRP MW-pyrolysis).
Figure 11. GC-MS of pyrolytic oil (from DMSO GFRP MW-pyrolysis).
Jcs 10 00071 g011
Figure 12. (a) Pre-swollen WTB samples; (b) after MW treatment; (c) temperature profile; (d) Weibull probability plot.
Figure 12. (a) Pre-swollen WTB samples; (b) after MW treatment; (c) temperature profile; (d) Weibull probability plot.
Jcs 10 00071 g012
Table 1. Relevant properties of selected swelling solvents.
Table 1. Relevant properties of selected swelling solvents.
SolventConcentration (%) R a (MPa1/2) [38] R E D = R a R 0 Dielectric Loss Factor (ε″) [39]Boiling Point (°C) [40]
AcOH1009.51.32.5118
H2O23533.54.6-108
H2O2/AcOH-13.21.8-~110
DMF99.92.80.45.0153
DMSO99.94.10.615.8189
Table 2. Optimal pre-swelling conditions.
Table 2. Optimal pre-swelling conditions.
SolventNumber of Samples (30 mm × 30 mm × 2 mm)Optimal Swelling Ratio W r (%)Ideal Pre-Swelling Duration (h)Ideal Swelling Temperature (°C)
AcOH143.615Room temperature
H2O2203.7158Room temperature
H2O2/AcOH203.03Room temperature
DMF148.21.550
DMSO1423.2250
Table 3. Best results for the semi-wet route.
Table 3. Best results for the semi-wet route.
GFRP SampleDecomposition Initiation Time (min)Duration Time (min)Mass-Loss Ratio WLP (%)
Untreated 122710.49
AcOH103025.59
H2O233039.31
H2O2/AcOH103029.14
DMF21634.86
DMSO4936.66
Table 4. Tensile strengths and fibre diameters of vGF and rGFs.
Table 4. Tensile strengths and fibre diameters of vGF and rGFs.
SampleTensile Strength (GPa)Tukey Test Letters (for Strength)Fibre Diameter (μm)Tukey Test Letters (for Diameter)
vGF (unused)1.82 ± 0.41A16.05 ± 1.51B
“as recovered”
AcOH1.17 ± 0.45B, C16.68 ± 1.48A, B
H2O20.91 ± 0.27C18.36 ± 2.28A
H2O2/AcOH1.23 ± 0.34B, C17.17 ± 1.98A, B
DMF1.29 ± 0.29B16.48 ± 1.36A, B
DMSO1.43 ± 0.30B16.05 ± 2.23B, C
“post-cleaned”
AcOH-p1.39 ± 0.29B16.14 ± 1.33B,
H2O2-p1.46 ± 0.36B15.44 ± 1.43B, C
H2O2/AcOH-p1.20 ± 0.36B, C16.61 ± 1.64A, B
DMF-p1.42 ± 0.41B16.12 ± 2.15B
DMSO-p1.48 ± 0.41B14.48 ± 1.47C
Tukey letters are reported for tensile strength and fibre diameter; groups sharing a letter are not significantly different (p > 0.05).
Table 5. Comparison of the obtained Weibull parameters (recalculated to the gauge length of 12 mm).
Table 5. Comparison of the obtained Weibull parameters (recalculated to the gauge length of 12 mm).
SampleWeibull Modulus mCharacteristic Strength σ0 (GPa)
vGF (unused)5.401.97
AcOH3.041.31
H2O23.891.00
H2O2/AcOH4.981.34
DMF5.051.41
DMSO5.571.55
AcOH-p *5.671.50
H2O2-p *4.381.60
H2O2/AcOH-p *3.771.34
DMF-p *4.251.56
DMSO-p *4.191.63
Pyrolyzed GF [43,44]3.78–6.270.60–1.24
* XX-p stands for post-treated fibres.
Table 6. Recycling process applied to real WTB GFRP samples and related results.
Table 6. Recycling process applied to real WTB GFRP samples and related results.
StepProcess ConditionsResults
1-Pre-swellingDMSO, 50 °C, 2 hSwelling ratio W r (%) = 10.29%
2-MW-pyrolysis350 °C, 30 minMass loss ratio W l p (%) = 36.5%
3-Post-treatmentUltrasonic bath for 1 h, and oven-dried at 60 °C for 5 h 
CharacterizationLaser diffractionAverage fibre diameter (μm): 15.55 ± 1.76
Single fibre tensileAverage tensile strength (GPa): 1.44 ± 0.38
Weibull parametersWeibull modulus: 4.60
Weibull characteristic strength (GPa): 1.58
Disclaimer/Publisher’s Note: The statements, opinions and data contained in all publications are solely those of the individual author(s) and contributor(s) and not of MDPI and/or the editor(s). MDPI and/or the editor(s) disclaim responsibility for any injury to people or property resulting from any ideas, methods, instructions or products referred to in the content.

Share and Cite

MDPI and ACS Style

Zhang, Y.; Verschuere, S.; Eliat-Eliat, J.; Ivens, J. Feasibility Study of a Pre-Swelling Microwave-Assisted Recycling Method for GFRP Waste. J. Compos. Sci. 2026, 10, 71. https://doi.org/10.3390/jcs10020071

AMA Style

Zhang Y, Verschuere S, Eliat-Eliat J, Ivens J. Feasibility Study of a Pre-Swelling Microwave-Assisted Recycling Method for GFRP Waste. Journal of Composites Science. 2026; 10(2):71. https://doi.org/10.3390/jcs10020071

Chicago/Turabian Style

Zhang, Yixue, Stefanie Verschuere, Joachim Eliat-Eliat, and Jan Ivens. 2026. "Feasibility Study of a Pre-Swelling Microwave-Assisted Recycling Method for GFRP Waste" Journal of Composites Science 10, no. 2: 71. https://doi.org/10.3390/jcs10020071

APA Style

Zhang, Y., Verschuere, S., Eliat-Eliat, J., & Ivens, J. (2026). Feasibility Study of a Pre-Swelling Microwave-Assisted Recycling Method for GFRP Waste. Journal of Composites Science, 10(2), 71. https://doi.org/10.3390/jcs10020071

Article Metrics

Back to TopTop