Narrow-Band Thermal Photonic Crystal Emitter for Mid-Infrared Applications †
Abstract
:1. Introduction
2. System under Study
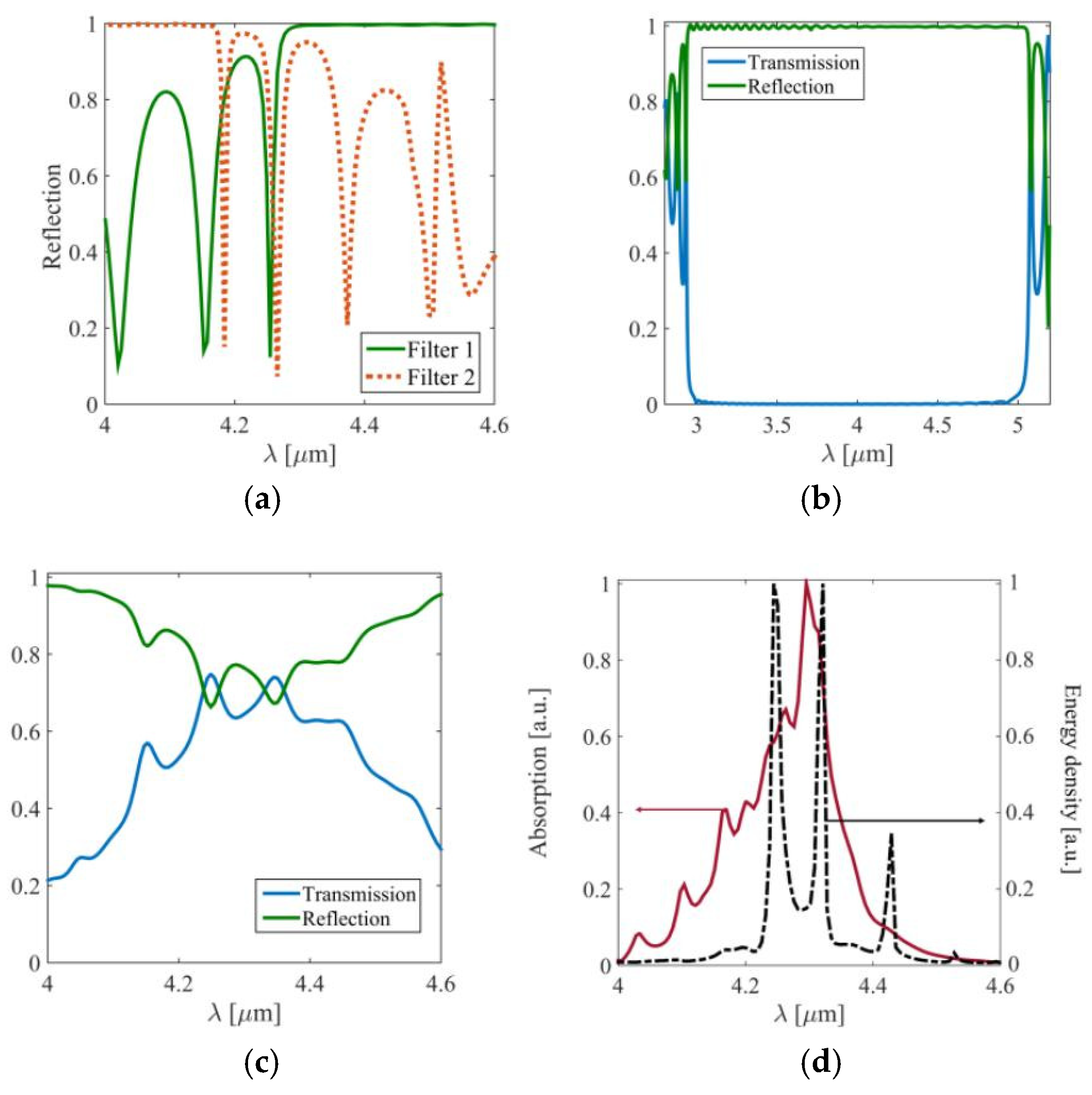
3. Results and Discussion
4. Conclusions
Author Contributions
Acknowledgments
Conflicts of Interest
References
- Sieger, M.; Mizaikoff, B. Toward On-Chip Mid-Infrared Sensors. Anal. Chem. 2016, 88, 5562–5573. [Google Scholar] [CrossRef] [PubMed]
- Tomberg, T.; Vainio, M.; Hieta, T.; Halonen, L. Sub-parts-per-trillion level sensitivity in trace gas detection by cantilever-enhanced photo-acoustic spectroscopy. Sci. Rep. 2018, 8, 1848. [Google Scholar] [CrossRef] [PubMed]
- Peltola, J.; Hieta, T.; Vainio, M. Parts-per-trillion-level detection of nitrogen dioxide by cantilever-enhanced photo-acoustic spectroscopy. Opt. Lett. 2015, 40, 2933–2936. [Google Scholar] [CrossRef] [PubMed]
- Singh, V.; Lin, P.T.; Patel, N.; Lin, H.; Li, L.; Zou, Y.; Deng, F.; Ni, C.; Hu, J.; Giammarco, J.; et al. Mid-infrared materials and devices on a Si platform for optical sensing. Sci. Technol. Adv. Mater. 2014, 15, 014603. [Google Scholar] [CrossRef] [PubMed]
- Hu, T.; Dong, B.; Luo, X.; Liow, T.Y.; Song, J.; Lee, C.; Lo, G.Q. Silicon photonic platforms for mid-infrared applications [Invited]. Photonics Res. 2017, 5, 417–430. [Google Scholar] [CrossRef]
- Wang, R.; Vasiliev, A.; Muneeb, M.; Malik, A.; Sprengel, S.; Boehm, G.; Amann, M.C.; Šimonytė, I.; Vizbaras, A.; Vizbaras, K.; et al. III–V-on-Silicon Photonic Integrated Circuits for Spectroscopic Sensing in the 2–4 μm Wavelength Range. Sensors 2017, 17. [Google Scholar] [CrossRef] [PubMed]
- Razeghi, M.; Lu, Q.Y.; Bandyopadhyay, N.; Zhou, W.; Heydari, D.; Bai, Y.; Slivken, S. Quantum cascade lasers: From tool to product. Opt. Express 2015, 23, 8462–8475. [Google Scholar] [CrossRef] [PubMed]
- Mermelstein, C.; Simanowski, S.; Mayer, M.; Kiefer, R.; Schmitz, J.; Walther, M.; Wagner, J. Room-temperature low-threshold low-loss continuous-wave operation of 2.26 μm GaInAsSb/AlGaAsSb quantum-well laser diodes. Appl. Phys. Lett. 2000, 77, 1581–1583. [Google Scholar] [CrossRef]
- Yao, Y.; Hoffman, A.J.; Gmachl, C.F. Mid-infrared quantum cascade lasers. Nat. Photonics 2012, 6, 432. [Google Scholar] [CrossRef]
- Belahsene, S.; Naehle, L.; Fischer, M.; Koeth, J.; Boissier, G.; Grech, P.; Narcy, G.; Vicet, A.; Rouillard, Y. Laser Diodes for Gas Sensing Emitting at 3.06 <formula formulatype=“inline”><tex Notation=“TeX”>$mu$</tex></formula>m at Room Temperature. IEEE Photonics Technol. Lett. 2010, 22, 1084–1086. [Google Scholar] [CrossRef]
- Ranacher, C.; Consani, C.; Hedenig, U.; Grille, T.; Lavchiev, V.; Jakoby, B. A photonic silicon waveguide gas sensor using evanescent-wave absorption. IEEE Sens. 2016. [Google Scholar] [CrossRef]
- Jannesari, R.; Ranacher, C.; Consani, C.; Grille, T.; Jakoby, B. Sensitivity optimization of a photonic crystal ring resonator for gas sensing applications. Sensors Actuators A Physical 2017. [Google Scholar] [CrossRef]
- Luo, C.; Narayanaswamy, A.; Chen, G.; Joannopoulos, J.D. Thermal Radiation from Photonic Crystals: A Direct Calculation. Phys. Rev. Lett. 2004, 93, 213905. [Google Scholar] [CrossRef] [PubMed]


Publisher’s Note: MDPI stays neutral with regard to jurisdictional claims in published maps and institutional affiliations. |
© 2018 by the authors. Licensee MDPI, Basel, Switzerland. This article is an open access article distributed under the terms and conditions of the Creative Commons Attribution (CC BY) license (https://creativecommons.org/licenses/by/4.0/).
Share and Cite
Abasahl, B.; Jannesari, R.; Jakoby, B. Narrow-Band Thermal Photonic Crystal Emitter for Mid-Infrared Applications. Proceedings 2018, 2, 752. https://doi.org/10.3390/proceedings2130752
Abasahl B, Jannesari R, Jakoby B. Narrow-Band Thermal Photonic Crystal Emitter for Mid-Infrared Applications. Proceedings. 2018; 2(13):752. https://doi.org/10.3390/proceedings2130752
Chicago/Turabian StyleAbasahl, Banafsheh, Reyhaneh Jannesari, and Bernhard Jakoby. 2018. "Narrow-Band Thermal Photonic Crystal Emitter for Mid-Infrared Applications" Proceedings 2, no. 13: 752. https://doi.org/10.3390/proceedings2130752
APA StyleAbasahl, B., Jannesari, R., & Jakoby, B. (2018). Narrow-Band Thermal Photonic Crystal Emitter for Mid-Infrared Applications. Proceedings, 2(13), 752. https://doi.org/10.3390/proceedings2130752

