Next Article in Journal
Pilot-Scale Evaluation of Municipal Sewage Sludge Stabilization Using Vermifiltration
Next Article in Special Issue
Linear and Nonlinear Performance Evaluation of Composite Space Truss Decks in Cable-Stayed Bridges: Suez Canal Bridge Case Study
Previous Article in Journal
A Two-Stage Feature Reduction (FIRRE) Framework for Improving Artificial Neural Network Predictions in Civil Engineering Applications
Previous Article in Special Issue
The Fusion Mechanism and Prospective Application of Physics-Informed Machine Learning in Bridge Lifecycle Health Monitoring
 
 
Font Type:
Arial Georgia Verdana
Font Size:
Aa Aa Aa
Line Spacing:
Column Width:
Background:
Article

Degradation Mechanism, Performance Impact, and Maintenance Strategies for Expansion Devices of Large-Span Railway Bridges

1
China Railway Siyuan Survey and Design Group Co., Ltd., Wuhan 430063, China
2
School of Civil Engineering, Southwest Jiaotong University, Chengdu 610031, China
*
Author to whom correspondence should be addressed.
Infrastructures 2026, 11(1), 30; https://doi.org/10.3390/infrastructures11010030
Submission received: 21 October 2025 / Revised: 26 December 2025 / Accepted: 30 December 2025 / Published: 19 January 2026
(This article belongs to the Special Issue Sustainable Bridge Engineering)

Abstract

To ensure the coordinated interaction between the beam and track of large-span bridges and achieve smooth rail transition at beam joints, rail expansion regulators and beam-end expansion devices are essential at bridge ends. However, these devices are structurally fragile, making them a weak link in the seamless track system. This study selected a long-span railway bridge and its expansion devices as research objects, summarized typical in-service diseases of beam-end expansion devices (e.g., adjustable sleeper offset, sleeper skewing, and expansion device jamming), and constructed a train–track–bridge coupled model incorporating these devices. The model was used to analyze the structural performance and train operation safety under defective conditions. Based on the analysis findings, a maintenance evaluation method for the beam-end region was proposed. Criteria include adjustable sleeper offset, lateral displacement difference between adjacent beam-ends, horizontal rotation angle of adjacent beams, vertical rotation angle of beam-ends, and longitudinal expansion amount of beam-end expansion devices in order to address the corresponding issues and achieve sustainable maintenance and operation of bridge structures.

1. Introduction

With the continuous expansion of China’s high-speed railway network, its coverage has extended to vast rivers and mountainous areas. Therefore, the railway network requires the construction of high-speed railway bridges capable of spanning distances of thousands of meters. To ensure the coordinated interaction between the beam and track of these large-span bridges, and to achieve a smooth transition of the steel rails at the large beam joints, it is necessary to install rail expansion regulators and beam-end expansion devices in the end areas of the bridges.
These devices (i.e., rail expansion regulators and beam-end expansion devices) mitigate beam–track interaction, facilitate coordinated longitudinal deformation, and reduce loads on rails and piers. Nevertheless, their structural fragility makes them a weak link in the seamless track system of large-span bridges—untimely maintenance may threaten train operation safety. If maintenance and repair work are not carried out in a timely manner, it may affect the safety of train operation. Under the combined effects of temperature changes, train loads, and wind forces, the beam-end area of large-span bridges undergoes complex spatial displacements, which may lead to geometric position deviations, skewed adjustable sleepers, and expansion obstructions in the track structure at the beam-end area, thereby affecting the normal operation performance of rail expansion regulators and beam-end expansion devices.
Rail expansion regulators, due to their ability to reduce beam-rail interaction, coordinate the longitudinal deformation between bridges and rails, and reduce the load on rails and bridge piers, are widely used on large-span railway bridges. When temperature changes sharply in the structure, huge longitudinal displacements of rails will occur between the switch rail and the stock rail. In actual operation, various diseases have appeared in the regulator area, including scissors fork blockage, skewing, and the unbalanced tracks [1].
To coordinate the interaction between the beam and track of high-speed railway large-span bridges and achieve a smooth transition of the steel rails at the large beam joints, it is imperative to install rail expansion regulators and beam-end expansion devices in the beam-end area. Under combined thermo-mechanical loading (including temperature variations, train operations, and wind forces) the beam-end area of large-span bridges is in a complex state of spatial displacement, which can easily lead to critical track geometry deviations, skewed adjustable sleepers, and expansion constraints in the track structure at the beam-end area [2], affecting the normal performance of rail expansion regulators and beam-end expansion devices [3]. As structurally vulnerable components in the seamless track system of long-span bridges, deficient maintenance of these devices could potentially jeopardize railway operational safety [4].
At present, the inspection and maintenance of rail expansion regulators and beam-end expansion devices mainly rely on weekly manual inspections, monthly comprehensive maintenance combined with inspections by railway track inspection vehicles, as well as annual disassembly inspections of spare parts [5]. Such practices are also applied by Engineering Department of China Railway Shanghai Group on both kilometer-scale railway bridges, Wufengshan and Hushutong railway bridges. The existing maintenance methods have played a critical role in ensuring the safe operation of rail expansion regulators and beam-end expansion devices. But due to the limitations of works’ occupation time and inspection methods, such methods can no longer fulfill the needs of high-speed railway engineering management. In addition, as high-speed railway bridge construction reaches a span of thousands of meters, it is crucial to investigate the degradation mechanism and performance impact of expansion devices. Over the past few years, extensive studies have been conducted on the design of expansion devices and regulators for large-span railway bridges. Such research included model experiments on the overall structure and individual components, studies on train running performance at the beam-ends, analysis of the effects of beam-end displacements, and summaries of difficulties and topics related to on-site maintenance and repair, including the analysis of defects and the development of countermeasures. Field investigations conducted by Yan Qiu [6] on operational high-speed rail lines revealed that track components have developed localized defects during service due to long-term effects of train loads and environmental factors. The observed deterioration patterns include cracking and spalling of track slabs and rail surface defects. Gao Mangmang and Xiong Jianzhen [7] have conducted analyses on the coupled dynamic characteristics of vehicle–track–bridge interactions in the end span of large-span railway bridges. Focusing on the adaptability of ballast-less tracks on the Tongling Yangtze River Bridge with a main span of 630 m, studies have shown that the use of orthotropic steel box structures in bridge decks subjected to extensive forces can significantly enhance the transverse and torsional stiffness of the cross-sections, resulting in smoother deformation curves across the spans [8]. No substantial deformation differences were observed in the local end-span sections, and the application of end-span counterweights effectively reduced the bridge deck vibration acceleration under train operation conditions. Researchers from the China Academy of Railway Sciences, Zang Xiaoqiu, Si Daolin, and Ma Guozhan [9] have conducted research on the expansion devices for the end spans of the Putong Yangtze River Bridge, which features an ultra-long span and large displacement for a rail-cum-road cable-stayed bridge. The research pointed out that the asymmetric hinge-connected rod structure of the expansion device has inconsistent service life, with longer rods being more prone to defects than shorter ones, such as bending, warping, cracking, or breaking. Additionally, the interaction between long and short rods during expansion and contraction can lead to jamming, affecting the structural performance of the expansion devices.
Wang Senrong [10] conducted research and analysis on the main failures in the track structure of rail expansion regulators on large-span bridges and proposed the main monitoring content for the implementation of rail expansion regulators and beam-end expansion device monitoring in the beam-end area. Tan Shehui [11] and others carried out monitoring on the rail expansion regulators and beam-end expansion devices of the Tongling Yangtze River Bridge of the Hefei–Fuzhou High-Speed Railway, and based on one year of monitoring data, they conducted research on the stock rail heel expansion displacement, bridge beam gap width, ballast condition, and on-site failures, proposing that the ballast at the beam-end should be compacted at different frequencies according to different seasons. Wang Hongchang [12] and others carried out monitoring on the operation status of rail expansion regulators on the Xi’an-Baoji Passenger Line, including the expansion amount of regulators, rail temperature, beam gap, and changes in wheel–rail force. From the monitoring data and rail inspection data, the dynamic and static parameters of the rail expansion regulators are all within the safety limit values, and the operation status of the regulators is basically stable.
Existing studies have primarily focused on defect mechanism analysis and dynamic response evaluation, but rarely addressed sustainable engineering for beam-end expansion devices—such as long-term performance prediction, real-time condition monitoring, and life-cycle maintenance strategies. With the operation of kilometer-scale bridges exceeding 5 years, the lack of sustainable management leads to increased maintenance costs and potential safety risks.

2. Mechanism of Beam-End Expansion Device

For high-speed railway large-span bridges, rail expansion devices are installed in the beam-end regions to accommodate longitudinal deformations (e.g., thermal expansion/contraction) of the bridge structure while ensuring continuous and stable track support. The beam-end expansion device investigated in this study is a supported-type structure, as illustrated in Figure 1. The device comprises core components including longitudinal beams, adjustable sleepers (movable sleepers), scissor forks, sleeper end connection plates, and track fasteners (low-resistance and constant-resistance clips).
(1) Longitudinal Beams: Core Load-Bearing and Guiding Component.
The longitudinal beams serve two pivotal functions:
Load transmission and distribution: As the primary load-bearing structure of the expansion device, they are horizontally arranged along the track direction, with one end rigidly connected to the fixed-end sleepers and the other end slidably attached to the sliding-end adjustable sleepers via low-friction sliding clips. When a train passes over the beam gap, wheel loads are transferred from the rails to the adjustable sleepers, then transmitted to the longitudinal beams through sleeper–beam connectors. The longitudinal beams further distribute these concentrated vertical loads evenly to the fixed sleepers on both sides of the beam gap (main bridge and approach bridge sides), avoiding local stress concentration at the beam joint.
Guiding and low-resistance sliding: The longitudinal beams are designed with a smooth surface that mates with the adjustable sleepers’ sliding interfaces. This design provides low frictional resistance, enabling the adjustable sleepers to slide horizontally along the longitudinal beams synchronously with the bridge’s longitudinal deformation (beam gap change), while maintaining the track’s lateral and vertical stability.
(2) Adjustable Sleepers: Continuous Track Support and Deformation Adaptation.
The adjustable sleepers are vertically supported by the longitudinal beams—specifically, each sleeper is suspended below the longitudinal beams via integrated vertical support pads. This vertical support structure ensures uniform load-bearing capacity and prevents sleeper sagging under train loads. Additionally, adjustable sleepers are equipped with low-resistance clips to fasten the rails, providing continuous and elastic support for the rail panel across the beam gap, sliding longitudinally along the longitudinal beams with changes in the beam gap, while the vertical support pads maintain consistent rail elevation and lateral alignment.
The number of adjustable sleepers (ranging from 0 to 4) is determined by the design expansion/contraction amount of the bridge beam gap (e.g., ±900 mm in this study), ensuring sufficient deformation capacity without compromising track smoothness.
(3) Scissor Forks: Sleeper Spacing Adjustment Mechanism.
The scissor forks are hinged between the fixed sleepers (on both sides of the beam gap) and the adjustable sleepers, forming a symmetrical rhombus structure. Their core function is to uniformly adjust the longitudinal spacing of the adjustable sleepers as the beam gap expands or contracts. When the bridge undergoes thermal expansion, the scissor forks contract, pulling the adjustable sleepers to move inward synchronously, maintaining equal spacing between adjacent sleepers; when the bridge contracts, the forks extend, pushing the adjustable sleepers outward evenly, avoiding uneven spacing that could affect train running safety.
From a sustainable engineering perspective, key components of the beam-end expansion device exhibit distinct long-term degradation patterns: (1) longitudinal beams: low friction resistance at the sliding interface decreases, leading to uneven sleeper sliding; (2) scissor forks: asymmetric hinge-connected rods (long rods vs. short rods) show inconsistent service life—long rods are prone to bending or cracking after 3 years, increasing jamming risks; (3) adjustable sleepers: low-resistance clips lose clamping force annually, exacerbating sleeper offset. These degradation patterns highlight the need for component-specific preventive maintenance.

3. Model Analysis

The total length of the Wufengshan Bridge is 6408 m, with the main bridge spanning 1428 m and expansion ranging ±900 mm. The design speed is 100 km per hour for the upper layer of the highway with eight lanes in both directions, and 250 km per hour for the lower layer of the high-speed railway with four lines in both directions. The main bridge is a steel truss suspension bridge of (84 + 84 + 1092 + 84 + 84) m (see Figure 2). The stiffening beam is composed of plate trusses and steel trusses (see Figure 3). The height of the truss is 16 m, and the spacing is 14 m, with a transverse center distance of 30 m between the main trusses. The length of each main cable is about 2000 m, and the weight is about 47.8 t. The diameter of the main cable after extrusion is 1300 mm. The hanger and cable clip are connected, and the cable clip is composed of upper and lower matching structures. The No. 4 main tower pier is located on the urban bank, using a group pile foundation, with a dumbbell-shaped platform, a round cap diameter of 40 m, 67 piles with a drilling diameter of 2.8 m, the pile bottom on the gentle breeze rock layer, a pile length of 50~115 m, a cap thickness of 9.5 m, a top height of 7.0 m, and an E-type center beam thickness of 9.4 m. The main tower is 191 m high, and the upper and lower beams of the bridge tower are prestressed concrete box-shaped structures. The lower beam is a single-box double-room section, 43.9 m long, 12 m wide, and 13 m high. The upper beam is about 34.4 m long, 10 m wide, and the height changes from 10 m in the center to 23.2 m on both sides, with a single-room cross-section. The south anchor adopts an expanded foundation. The bearing layer is weakly weathered tuffaceous sandstone.
The bridge under analysis has a main beam 16 m high and 30 m wide, with a span of 14 m, using a plate truss combined with a steel truss beam with a Warren frame. The highway bridge deck uses an orthotropic steel bridge deck structure welded with the chord, with a total width of 15.4 m on one side of the steel bridge deck, a 2% cross-slope, and a transverse beam set every 2.8 m. The height of the web of the transverse beam and the height of the upper chord are the same, at 1.4 m. According to the different cross-sectional forces, the thickness of the top plate of the highway bridge deck is divided into 16 mm and 20 mm. Since the beam-end expansion device is located at the end of the main beam, far from the center of the span, the static and dynamic responses of the main bridge have a small impact on the structure at the end of the main beam. Therefore, the auxiliary span and side span of the bridge are extracted separately for analysis. The main beam auxiliary span and side span are 2 × 84 m and the approach bridge is 4 × 57 m; continuous beam models are established using MIDAS Civil 2021.
The research subject bridge model sets a group of REJ60-1800-type expansion regulators produced by German Voestalpine (BWG) at each line of the main bridge beam-end, with a standard length of 18,400 mm and a design expansion amount of ±900 mm. The design allows train operation speeds of 250 km/h. Its structure adopts an integrated design of the upper beam-end expansion device and the rail expansion regulator, including four longitudinal beams (two longitudinal beams outside the rail, two longitudinal beams inside), four adjustable sleepers, a half-beam-type scissor fork, and two embedded fixed sleepers. The specific structure and deployment of the expansion regulator are shown in Figure 4, the device component properties are listed in Table 1.
To verify the accuracy of the refined beam-end model used in the research, this chapter compares the degree of change in the beam gap under the influence of temperature with the actual monitoring data of the bridge to test the degree to which the model reflects the real situation.
The beam gap is mainly affected by temperature. When the temperature rises, the beam gap narrows. The verified bridge data collected from January to May 2022 (with sampling frequency of 60 Hz and error range of ±0.1 mm) shows that the change rate of the beam gap from the approach side is about −9.9 mm/°C, and the change rate from the main bridge side is about −9.7 mm/°C. In the model, forced displacement was applied to the bridge surface to simulate overall heating and cooling deformation. In the research, the model temperature change rate is −9.358 mm/°C under heating, and −9.329 mm/°C under cooling. The temperature change rate of the structure is basically consistent with the actual monitoring data, confirming the accuracy of the model.
Figure 4. Beam-end expansion model.
Figure 4. Beam-end expansion model.
Infrastructures 11 00030 g004
Table 1. Main component properties.
Table 1. Main component properties.
Density kg/m3Modulus of Elasticity N/m2Expansion Coefficient/°CPoisson Ratio
BEJ device beam 7.85 × 103 2.05 × 1011 1.2 × 10−5 0.3
Device ComponentSection Area mm2Ixx/mm4Iyy/mm4
longitudinal beams (outside) 6.8 × 104 9.3 × 108 8.0 × 108
longitudinal beams (outside) 1.8 × 104 2.6 × 108 1.1 × 108
adjustable sleeper 1.75 × 104 1.25 × 107 6.5 × 107
connection beam 1.0 × 103 3.12 × 104 8.3 × 103
The study establishes a vehicle model in multi-body dynamics software SIMPACK version 2024 by selecting appropriate parameters such as vehicle degrees of freedom and track irregularity spectra, integrating the aforementioned models with actual line conditions. The bridge–track–beam-end expansion device finite element model is subsequently imported into SIMPACK to construct a coupled vehicle–track–bridge dynamic system.
Leveraging the finite element model of the long-span cable-stayed railway bridge, ballasted track, and beam-end expansion device, the research evaluates vehicle dynamic responses under defective conditions involving skewed sleepers, offsetting sleepers and jamming failures in beam-end expansion devices. Key safety indicators include wheel–rail vertical forces, car body vertical acceleration, wheel load reduction rates, and derailment coefficients.
This study establishes a vehicle dynamics model based on the parameters of the CRH2-type train (Figure 5). The vehicle comprises three primary components: the car body, bogies, and wheel-sets. Relative motions between vehicle components, as well as coupler interactions between adjacent vehicles, are simulated through force elements, forming a complete rigid-body system connected via spring–damper mechanisms. The detail components properties are listed in Table 2.
When evaluating train operational safety and ride comfort on bridges, excitation sources within the train–track–bridge system must be considered. The analysis focuses on track structural excitation, primarily characterized by random track irregularity deviations in the rail surface geometry from theoretical smoothness along the longitudinal direction. These irregularities arise predominantly from uneven rail wear caused by prolonged wheel–rail interactions during service. The study adopts German track irregularity spectra as the primary excitation source for dynamic simulations [13].
To further verify the accuracy of the coupled vibration analysis model, a working condition with a train speed of 250 km/h and an expansion amount of 200 mm was established. The vertical accelerations of the support beam of the beam-end expansion device and the fixed sleeper under the track irregularity excitation generated by the German low-disturbance spectrum were calculated and compared with the results from Reference [8]. The maximum vertical accelerations of the support beam and the fixed sleeper of the beam-end expansion device calculated in this study are 7.72 m/s2 and 28.08 m/s2, respectively, while the corresponding results in the literature are 7.375 m/s2 and 26.956 m/s2. With an error of approximately 5%, it indicates that the coupled vehicle–track–beam-end expansion device model established in this study is reliable.

4. Safety Analysis of Beam-End Defects on Train Operation

4.1. Vehicle Dynamic Responses Under Offset of Single Adjustable Sleeper

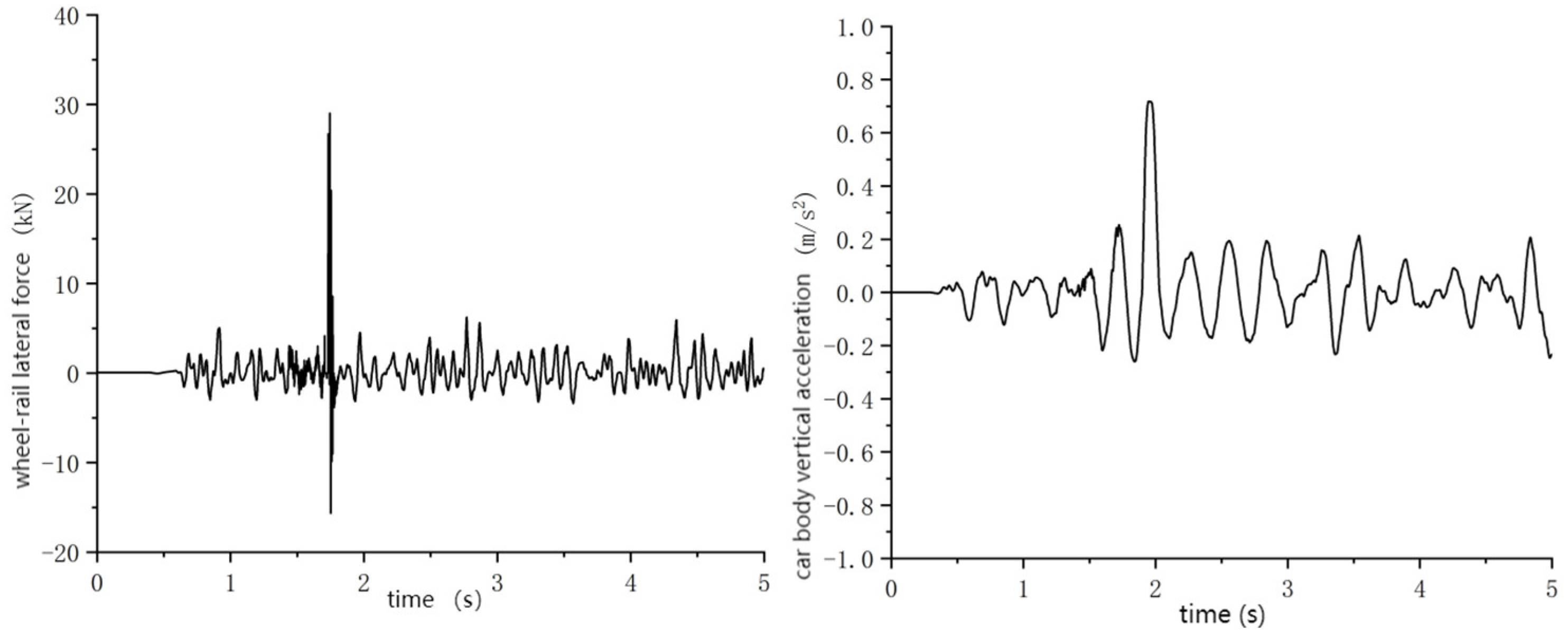
Through field investigations of existing kilometer-level beam-end expansion devices, integrated longitudinal displacement of individual rail sleepers in rail expansion adjusters has been identified as one of the common failure modes in beam-end expansion zones, with its abnormal operational condition schematically illustrated in Figure 6. In this scenario, the second adjustable sleeper is offset 25 mm (peak offset recorded by the engineering department Shanghai Group) to the right to explore the expansion device service limits. Under the excitation of the German low-disturbance spectrum, when the train passes through the beam-end expansion device at a speed of 250 km/h, the time–history curves of the train’s wheel–rail lateral force, car body vertical acceleration, wheel load reduction rate, and derailment coefficient are shown in Figure 7. A comparison of the vehicle dynamic responses between this working condition and the normal working condition is presented in Table 3.
In the single adjustable sleeper offset scenario: maximum wheel–rail lateral force: 29.156 kN; maximum vertical acceleration: 0.708 m/s2; maximum derailment coefficient: 0.264; maximum wheel load reduction rate: 0.645. Compared with the normal working condition, the vehicle dynamic responses all increase: the train’s wheel–rail lateral force increases by 7.5 times, the car body vertical acceleration increases by 2.1 times, the wheel load reduction rate increases by 4.3 times, and the derailment coefficient increases by 3.9 times. Moreover, under this working condition, the maximum value of the wheel load reduction rate is 0.645, which exceeds the code-specified limit.

4.2. Vehicle Dynamic Responses Under Skewing of Adjustable Sleepers

In order to quantify and observe the extent of the impact of sleeper skewing defect on the performance of the beam-end region, in this scenario, the second and third adjustable sleepers deflect horizontally inward by 0.3° (0.00524 rad), presenting a splayed skewing pattern (Figure 8). The 0.3° horizontal inward deflection angle of the adjustable sleepers is determined via trial calculation based on the historical maximum value of the adjustable sleeper spacing difference from field-measured data. Under the excitation of the German low-disturbance spectrum, when the train passes through the beam-end expansion device at a speed of 250 km/h, the time–history curves of the train’s wheel–rail lateral force, car body vertical acceleration, wheel load reduction rate, and derailment coefficient are shown in Figure 9. A comparison of the vehicle dynamic responses between this working condition and the normal working condition is presented in Table 4.
It can be seen from the table that under the working condition of splayed skewing defect of adjustable sleepers, the maximum wheel–rail lateral force of the train is 18.756 kN, the maximum vertical acceleration is 0.751 m/s2, the maximum derailment coefficient is 0.314, and the maximum wheel load reduction rate is 0.568. Compared with the normal working condition, all vehicle dynamic responses increase: the train’s wheel–rail lateral force increases by 4.8 times, the car body vertical acceleration increases by 2.2 times, the wheel load reduction rate increases by 3.8 times, and the derailment coefficient increases by 4.7 times. Moreover, under this working condition, the maximum value of the wheel load reduction rate is 0.568, which reaches 95% of the code-specified limit.

4.3. Vehicle Dynamic Responses Under Jamming of Adjustable Sleepers

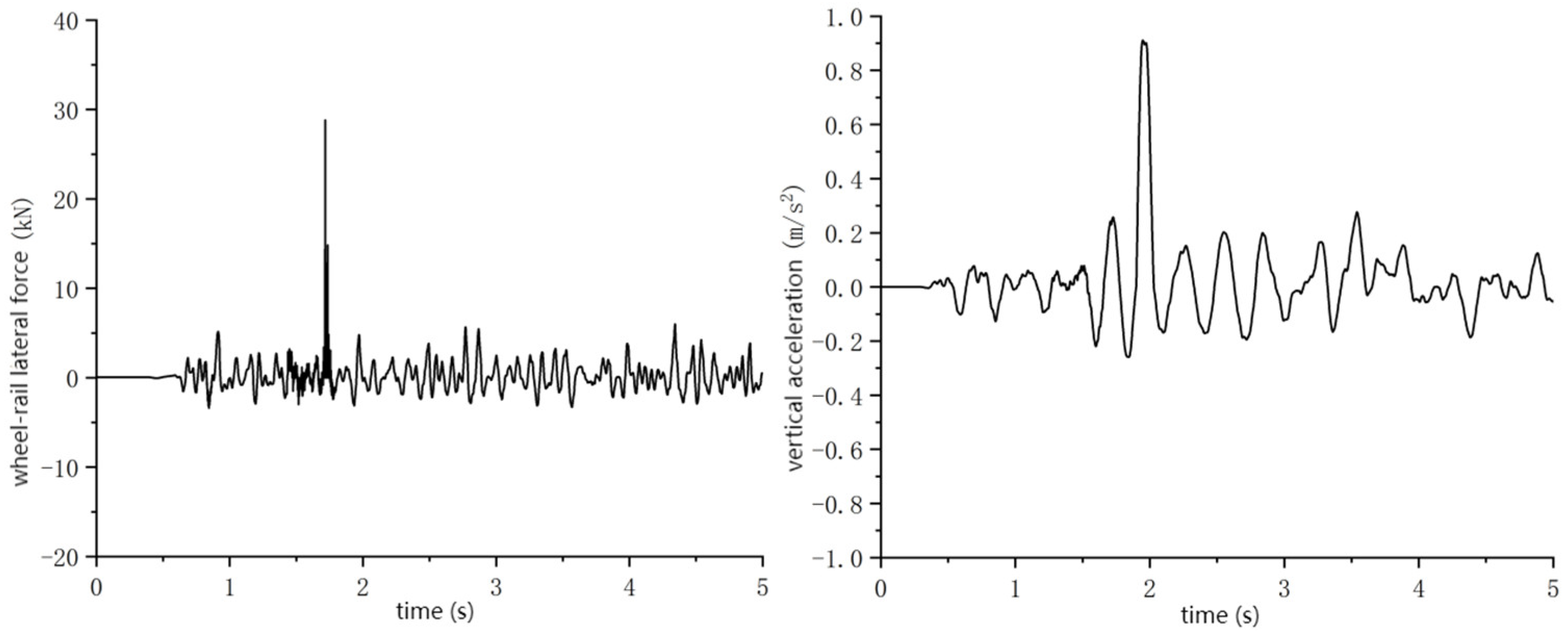
Under repeated and drastic environmental temperature fluctuations, the longitudinal load transfer between rail expansion adjusters and beam-end expansion devices becomes highly complex. For kilometer-level bridges, the transferred loads intensify, potentially causing the scissor mechanisms connecting adjustable sleepers in adjusters to malfunction at designed pivot points, leading to expansion jamming in beam-end regions. In this scenario, the sleeper jamming is simulated by elevating the fixed sleeper upward by 10 mm (Figure 10), causing the adjustable sleeper to overturn (as described by the field maintenance guild). Under the excitation of the German low-disturbance spectrum, when the train passes through the beam-end expansion device at a speed of 250 km/h, the time–history curves of the train’s wheel–rail lateral force, car body vertical acceleration, wheel load reduction rate, and derailment coefficient are shown in Figure 11. A comparison of the vehicle dynamic responses between this working condition and the normal working condition is presented in Table 5.
It can be seen from the table that under the working condition of jamming of adjustable sleepers, the maximum wheel–rail lateral force of the train is 28.863 kN, the maximum vertical acceleration is 0.916 m/s2, the maximum derailment coefficient is 0.307, and the maximum wheel load reduction rate is 0.686. Compared with the normal working condition, all vehicle dynamic responses increase: the train’s wheel–rail lateral force increases by 7.4 times, the car body vertical acceleration increases by 2.7 times, the wheel load reduction rate increases by 4.5 times, and the derailment coefficient increases by 4.6 times. Moreover, under this working condition, the maximum value of the wheel load reduction rate is 0.686, which exceeds the code-specified limit.

5. Suggestion for Maintenance Strategy

Vehicles should maintain safety and stability when passing through the beam-end region. This study aims to investigate the safety and stability criteria for trains traversing the beam-end area and evaluate the in-service performance of the beam-end structure of high-speed railway bridges with kilometer-level spans. Referring to relevant standards and specifications, namely Technical Code for Dynamic Acceptance of High-Speed Railway Engineering (TB10761-2024) [14] and Code for Evaluation and Test Authentication of Dynamic Performance of Railway Rolling Stock (GB/T5599-2019) [15], the evaluation criteria for vehicles are specified as follows:
  • Derailment Coefficient: The derailment coefficient is an index for assessing the stability against wheel derailment. It is defined as the ratio of the lateral force on one wheel of a wheel set to the dynamic wheel load. The derailment coefficient shall not exceed 0.8.
  • The wheel load reduction rate is defined as the ratio of the wheel load reduction of one axle to the average wheel load of the left and right wheels. The wheel load reduction rate shall not exceed 0.6.
  • Lateral Wheel–rail Force: Excessively large lateral forces during vehicle operation may cause issues such as gauge widening, rail panel lateral displacement, and seamless railway instability. The lateral force Q shall not exceed 10 + P_0/3, where P is the static axle load. In this study, the CRH2 is adopted for simulation analysis; for the CRH2, the limit of Q ≤ 48.64 kN.
  • Car Body Acceleration: Car body acceleration includes vertical vibration acceleration and lateral vibration acceleration. The vertical acceleration is ≤1.3 m/s2, and the lateral acceleration is ≤1.0 m/s2.
Based on the dynamic response results and requirements of the enterprise standard Technical Specification for Health Monitoring Systems of Long-span Railway Bridges and Tracks (Q/CR9576-2023) [16], a two-level safety early-warning mechanism is established for sustainable train operation safety: (1) level-1 warning (critical): triggered when one of these criteria above is reached; (2) level-2 warning (attention): triggered when indices has reach 75% of level-1 critical value.
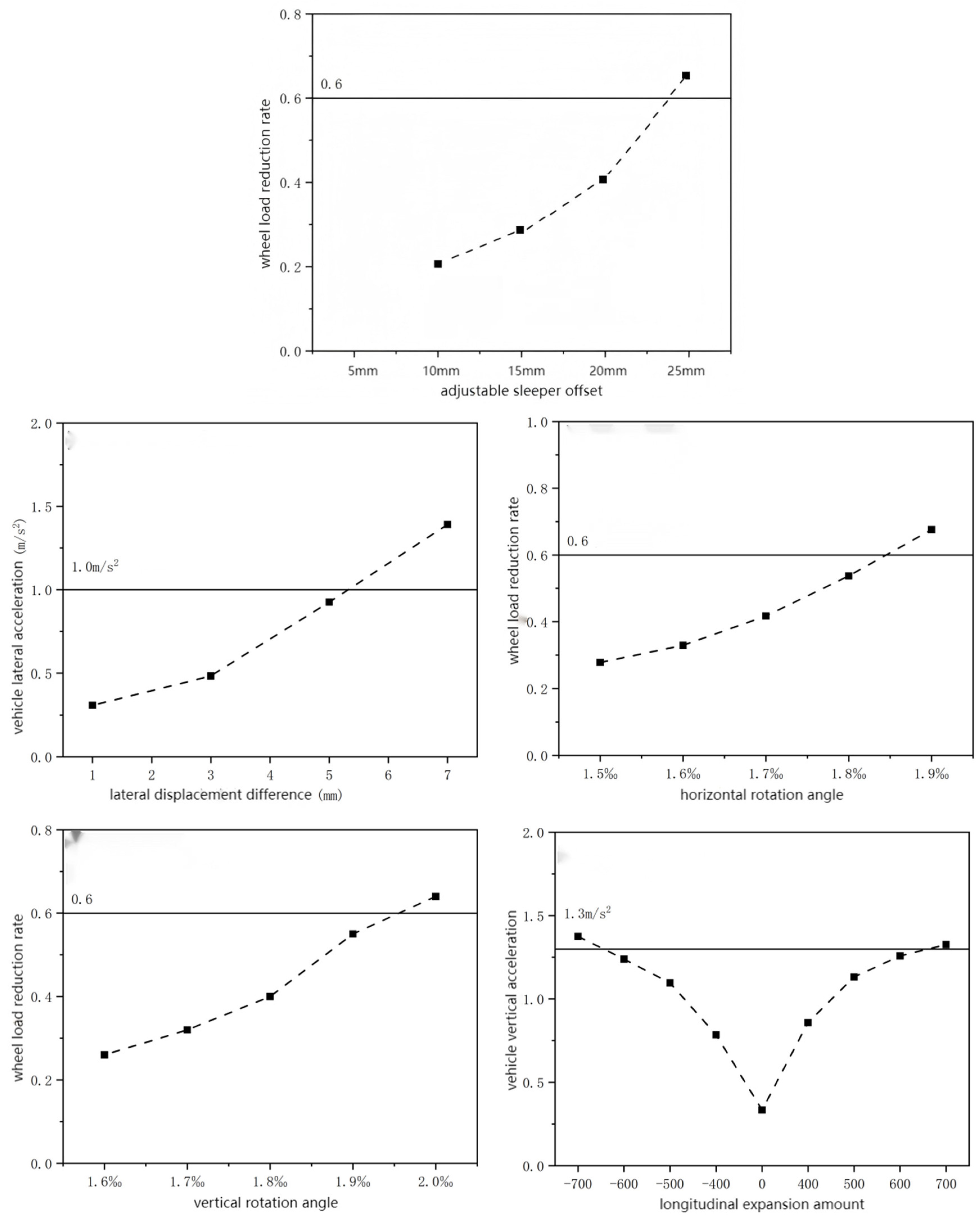
To further improve the maintenance evaluation method for the beam-end region, this study conducts similar studies on items including lateral displacement difference between adjacent beam-ends, horizontal rotation angle of adjacent beams, vertical rotation angle of beam-ends, and longitudinal expansion amount of beam-end expansion devices, based on the defects of beam-end expansion devices. The results are summarized in Figure 12. For example, when establishing the threshold system for the vertical rotation angle of beam-ends, the vertical rotation angle of beam-ends under self-weight and static train live load is taken as the reference value, and the vertical rotation angle of beam-ends is gradually increased for trial calculation. Nodes at the beam-ends are selected in the finite element software ABAQUS 2022, boundary conditions are set to input the corresponding vertical rotation angle of beam-ends, and finite element analysis is performed. Subsequently, the calculated rail deformation is superimposed with the random track irregularity as additional track irregularity, which is imported into SIMPACK as excitation for vehicle–bridge coupling calculation and analysis. When the train dynamic response corresponding to a specific vertical rotation angle of beam-ends exceeds the specification limits, the corresponding vertical rotation angle of beam-ends is selected as the driving safety evaluation threshold for the beam-end region. The maintenance thresholds for the beam-end expansion region are summarized in Table 6.

6. Discussion and Conclusions

This study investigates a beam-end expansion device of a long-span railway bridge through a coupled train–track–expansion device dynamics model, analyzing structural performance and train operational safety under various expansion states and typical defect scenarios. The key findings are summarized as follows:
(1) Impacts on Vehicle Dynamic Responses.
Different expansion device defects exhibit distinct influences on train dynamics: Single adjustable sleeper offset increases all dynamic responses without exceeding regulatory limits, with the wheel load reduction rate showing the largest increment, while adjustable sleeper skewing induces the highest escalation in wheel–rail vertical forces. Sleeper jamming elevates the car body vertical acceleration to maximum levels. All these types of defects primarily alter the vertical stiffness of the expansion device, amplifying dynamic responses. Sleeper jamming elevates rail surfaces, intensifying track vertical irregularity excitation and thereby aggravating dynamic responses.
(2) Railway Operational Safety and Ride Comfort.
We systematically investigated the vehicle dynamic responses of large-span railway bridge beam-end expansion devices under three typical adjustable sleeper defects (single sleeper offset, splayed sleeper skewing, and sleeper jamming), with the aim of quantifying the impacts of such defects on train operation safety. All analyses were conducted under a unified set of conditions: train speed of 250 km/h and excitation from the German low-disturbance spectrum. The dynamic performance was evaluated using four core indicators—wheel–rail lateral force, car body vertical acceleration, wheel load reduction rate, and derailment coefficient—with the “defect-free normal working condition” as the baseline for comparison. Time–history curves of dynamic indicators and extreme value comparisons were used to characterize the defect impacts.
Key findings are as follows:
  • Single adjustable sleeper offset (25 mm to the right): All dynamic responses increased significantly, with wheel–rail lateral force showing the largest relative increase (+6.0 times, reaching 29.156 kN). The maximum wheel load reduction rate was 0.645, which exceeds the code-specified limit.
  • Splayed skewing of adjustable sleepers (0.3° inward deflection): This defect posed the highest derailment risk, with the derailment coefficient increasing by 4.7 times to 0.314. The wheel load reduction rate reached 0.568 (95% of the code limit), leaving minimal safety redundancy.
  • Adjustable sleeper jamming (simulated by 10 mm elevation of fixed sleepers causing overturning): This defect resulted in the most severe overall dynamic response escalation. Wheel–rail lateral force increased by 7.4 times to 28.863 kN, and the wheel load reduction rate reached 0.686—exceeding the code-specified limit, representing the highest safety hazard among the three defects.
(3) Sustainable Engineering Implications: A maintenance evaluation method for the beam-end region was proposed; criteria included adjustable sleeper offset, lateral displacement difference between adjacent beam-ends, horizontal rotation angle of adjacent beams, vertical rotation angle of beam-ends, and longitudinal expansion amount of beam-end expansion devices in order to address the corresponding issues and achieve sustainable maintenance and operation of bridge structures.

Author Contributions

Conceptualization, A.Y., P.Y. and Y.Y.; methodology, Y.Y.; formal analysis, Y.Y. and Z.Z.; writing, Y.Y.; supervision, P.Y.; project administration, J.L.; funding acquisition, J.L. All authors have read and agreed to the published version of the manuscript.

Funding

This research was funded by Project: National Key Research and Development Program of China (2022YFB2602900) and China Railway Siyuan Survey and Design Group Project (KY2023126S).

Data Availability Statement

The data supporting results in this study can be retrieved from the National Key Research and Development Program of China official website https://service.most.gov.cn/ (relevant to Project No. 2022YFB2602905).

Conflicts of Interest

This study was funded by the National Key Research and Development Program of China (Grant No.: 2022YFB2602900) and the Project of China Railway Siyuan Survey and Design Group Co., Ltd. (Grant No.: KY2023126S). Authors Yunchao YE, Aiguo YAN, Pengcheng YIN, and Jinbao LIANG are employed by China Railway Siyuan Survey and Design Group Co., Ltd., and author Zhiqiang ZHU is affiliated with the School of Civil Engineering, Southwest Jiaotong University. Beyond the aforementione funding support and employment affiliations, all authors declare no known conflicts of interest, including but not limited to financial interests, non-financial relationships, or other associations that could inappropriately influence the design, data analysis, interpretation of results, or publication of this study.

References

  1. Wu, W.G. Analysis of Causes and Treatment of Track Irregularity at Beam Ends of Ballasted Track Bridges. China Railw. 2023, 66–73. [Google Scholar] [CrossRef]
  2. Fu, J.J. Cause Analysis and Treatment Measures for Rail Expansion Adjuster Defects on Dashengguan Yangtze River Bridge. Jiangsu Transp. Sci. Technol. 2016, 5, 17–20. [Google Scholar]
  3. Cao, J.J. Discussion on Maintenance of Rail Expansion Adjusters for Beijing-Guangzhou High-Speed Railway. Archit. Eng. Technol. Des. 2014, 493–494. [Google Scholar] [CrossRef]
  4. Yang, Y.M.; Cheng, Q.G.; Pan, J.Y. Experimental Study on the Influence of Bridge Track Angles on Train Dynamic Responses. J. Northwest Inst. Archit. Eng. (Nat. Sci. Ed.) 1997, 2, 1–5. [Google Scholar]
  5. Zhuang, J.S. Bridge Bearings, 3rd ed.; China Railway Publishing House: Beijing, China, 2008. [Google Scholar]
  6. Yan, Q. Analysis of Diseases and Maintenance Technologies for High-Speed Railway Ballastless Track Structures. Urban Constr. Theory Res. (Electron. Ed.) 2015, 5, 4698–4699. [Google Scholar]
  7. Gao, M.M.; Xiong, J.Z.; Sun, J.L. Dynamic Performance Study of Ballastless Track on Tongling Yangtze River Bridge. China Railw. Sci. 2012, 33, 69–75. [Google Scholar] [CrossRef]
  8. Gao, M.M.; Zang, X.Q.; Xiong, J.Z. Dynamic Performance Study of Large-Displacement Beam End Expansion Devices on Hutong Yangtze River Bridge. Bridge Constr. 2015, 45, 41–46. [Google Scholar]
  9. Zang, X.Q.; Si, D.L.; Ma, Z.G. Research on New Materials and Track Geometry Control Technology for Super-Long-Span Rail-Cum-Road Cable-Stayed Bridges: Study on Ultra-Large Displacement (2000 mm Class) Rail Expansion Adjusters and Beam End Expansion Devices; Railway Engineering Research Institute, China Academy of Railway Sciences: Beijing, China, 2015. [Google Scholar]
  10. Wang, S.R. Track Disease Analysis and Monitoring in Rail Expansion Adjuster Zones on Long-Span Bridges. Railw. Stand. Des. 2018, 62, 18–22. [Google Scholar] [CrossRef]
  11. Tan, S.H.; Lin, C.; Mei, Q. Operational Status of Rail Expansion Adjusters for High-Speed Railway Ballasted Tracks. J. Railw. Sci. Eng. 2021, 18, 837–843. [Google Scholar] [CrossRef]
  12. Wang, H.; Wang, G.; Jiang, J. Monitoring and Maintenance of Rail Expansion Adjusters on Xi’an-Baoji Passenger Dedicated Line. Railw. Eng. 2017, 129–132. [Google Scholar] [CrossRef]
  13. German Federal Railway Research Center Munich. Technical Specification for the Urban Express Train ICE; German Federal Railway Research Center Munich: Munich, Germany, 1993. [Google Scholar]
  14. TB10761-2024; Technical Code for Dynamic Acceptance of High-Speed Railway Engineering. China Railway Publishing House Co., Ltd.: Beijing, China, 2024.
  15. GB/T5599-2019; Evaluation and Test Authentication of Dynamic Performance of Railway Rolling Stock. China Quality and Standards Publishing & Media Co., Ltd: Beijing, China, 2019.
  16. Q/CR9576-2023; Technical Specification for Health Monitoring Systems of Long-span Railway Bridges and Tracks. China Railway Publishing House Co., Ltd.: Beijing, China, 2023.
Figure 1. Beam-end expansion model (1—rail; 2—longitudinal beams; 3—scissor forks; 4—adjustable sleeper; 5—fixed sleeper; 6—connection pad; 7, 8—rail fastener).
Figure 1. Beam-end expansion model (1—rail; 2—longitudinal beams; 3—scissor forks; 4—adjustable sleeper; 5—fixed sleeper; 6—connection pad; 7, 8—rail fastener).
Infrastructures 11 00030 g001
Figure 2. Main bridge elevation layout.
Figure 2. Main bridge elevation layout.
Infrastructures 11 00030 g002
Figure 3. Standard main girder cross-sectional view.
Figure 3. Standard main girder cross-sectional view.
Infrastructures 11 00030 g003
Figure 5. CRH2 vehicle model in train–track–bridge system.
Figure 5. CRH2 vehicle model in train–track–bridge system.
Infrastructures 11 00030 g005
Figure 6. Schematic diagram of adjustable sleeper displacement.
Figure 6. Schematic diagram of adjustable sleeper displacement.
Infrastructures 11 00030 g006
Figure 7. Time–History curves of expansion device under sleeper offset scenario.
Figure 7. Time–History curves of expansion device under sleeper offset scenario.
Infrastructures 11 00030 g007aInfrastructures 11 00030 g007b
Figure 8. Schematic diagram of skewed adjustable sleepers.
Figure 8. Schematic diagram of skewed adjustable sleepers.
Infrastructures 11 00030 g008
Figure 9. Time–History curves of expansion device under skewing sleeper scenario.
Figure 9. Time–History curves of expansion device under skewing sleeper scenario.
Infrastructures 11 00030 g009
Figure 10. Schematic diagram of jammed adjustable sleepers.
Figure 10. Schematic diagram of jammed adjustable sleepers.
Infrastructures 11 00030 g010
Figure 11. Time–history curves of expansion device under sleeper jamming scenario.
Figure 11. Time–history curves of expansion device under sleeper jamming scenario.
Infrastructures 11 00030 g011aInfrastructures 11 00030 g011b
Figure 12. Maintenance evaluation criteria.
Figure 12. Maintenance evaluation criteria.
Infrastructures 11 00030 g012
Table 2. Vehicle multi-body dynamics model parameters.
Table 2. Vehicle multi-body dynamics model parameters.
CategoryItemUnitValue
Mass and InertiaCar Body Masskg31,600
Bogie Masskg3200
Wheel-set Masskg2000
Car Body Rolling Moment of Inertiakg·m2123,444
Car Body Pitching Moment of Inertiakg·m21,866,900
Car Body Yawing Moment of Inertiakg·m21,609,725
Bogie Rolling Moment of Inertiakg·m22592
Bogie Pitching Moment of Inertiakg·m21753
Bogie Yawing Moment of Inertiakg·m23200
Suspension ParametersPrimary Suspension Longitudinal Stiffness (per Axle Box)kN/m980
Primary Suspension Lateral Stiffness (per Axle Box)kN/m980
Primary Suspension Vertical Stiffness (per Axle Box)kN/m1176
Primary Suspension Longitudinal Damping (per Axle Box)kN·s/m0
Primary Suspension Lateral Damping (per Axle Box)kN·s/m0
Primary Suspension Vertical Damping (per Axle Box)kN·s/m19.6
Coupler Longitudinal StiffnesskN/m2 × 106
Coupler Longitudinal DampingkN·s/m5000
Table 3. Maximum train response for sleeper offset.
Table 3. Maximum train response for sleeper offset.
Wheel–Rail Lateral Force/(kN)Car Body Vertical Acceleration/(m/s2)Wheel Load Reduction RateDerailment Coefficient
Normal condition3.9120.3340.1510.067
Sleeper offset29.1560.7080.6450.264
Table 4. Maximum train response for skewed sleeper.
Table 4. Maximum train response for skewed sleeper.
Wheel–Rail Lateral Force/(kN)Car Body Vertical Acceleration/(m/s2)Wheel Load Reduction RateDerailment Coefficient
Normal condition3.9120.3340.1510.067
Skewed sleeper18.7560.7510.5680.314
Table 5. Maximum train response for sleeper jamming.
Table 5. Maximum train response for sleeper jamming.
Wheel–Rail Lateral Force/(kN)Car Body Vertical Acceleration/(m/s2)Wheel Load Reduction RateDerailment Coefficient
Normal condition3.9120.3340.1510.067
Jamming sleeper28.8630.9160.6860.307
Table 6. Maintenance thresholds for beam-end expansion region.
Table 6. Maintenance thresholds for beam-end expansion region.
Thresholds LevelsLevel 1 (Critical)Level 2 (Attention)
Adjustable sleeper offset24 mm18 mm
Lateral displacement difference between adjacent beam-ends4.5 mm3.5 mm
Horizontal rotation angle of adjacent beams1.82‰ rad1.37‰ rad
Vertical rotation angle of beam-ends1.94‰ rad1.46‰ rad
Longitudinal expansion amount of beam-end expansion devices (250 km/h)−640 mm
+680 mm
−480 mm
+510 mm
Disclaimer/Publisher’s Note: The statements, opinions and data contained in all publications are solely those of the individual author(s) and contributor(s) and not of MDPI and/or the editor(s). MDPI and/or the editor(s) disclaim responsibility for any injury to people or property resulting from any ideas, methods, instructions or products referred to in the content.

Share and Cite

MDPI and ACS Style

Ye, Y.; Yan, A.; Yin, P.; Liang, J.; Zhu, Z. Degradation Mechanism, Performance Impact, and Maintenance Strategies for Expansion Devices of Large-Span Railway Bridges. Infrastructures 2026, 11, 30. https://doi.org/10.3390/infrastructures11010030

AMA Style

Ye Y, Yan A, Yin P, Liang J, Zhu Z. Degradation Mechanism, Performance Impact, and Maintenance Strategies for Expansion Devices of Large-Span Railway Bridges. Infrastructures. 2026; 11(1):30. https://doi.org/10.3390/infrastructures11010030

Chicago/Turabian Style

Ye, Yunchao, Aiguo Yan, Pengcheng Yin, Jinbao Liang, and Zhiqiang Zhu. 2026. "Degradation Mechanism, Performance Impact, and Maintenance Strategies for Expansion Devices of Large-Span Railway Bridges" Infrastructures 11, no. 1: 30. https://doi.org/10.3390/infrastructures11010030

APA Style

Ye, Y., Yan, A., Yin, P., Liang, J., & Zhu, Z. (2026). Degradation Mechanism, Performance Impact, and Maintenance Strategies for Expansion Devices of Large-Span Railway Bridges. Infrastructures, 11(1), 30. https://doi.org/10.3390/infrastructures11010030

Article Metrics

Back to TopTop