In Situ Estimation of Breach Outflow Hydrographs from Fluvial Dike Failures: A Methodology Integrating Real-Time Monitoring and Physical Modelling †
Abstract
1. Introduction
2. Experimental Setup and Test Protocols
2.1. Experimental Facility and Monitoring Instruments
- -
- An upstream Krohne Optiflux electromagnetic flowmeter (Ludwig Krohne GmbH & Co. KG, Duisburg, Germany) for inflow measurement (Qin).
- -
- Seven Baumer U500 ultrasonic probes (Baumer International GmbH, Stockach, Germany) for water level measurement (four over the main channel, two over the sediment basin and one downstream);
- -
- A GoPro Hero 8 medium-speed camera (GoPro Inc., San Mateo, CA, USA), capable of capturing 240 fps at 1080p resolution for water surface velocity and surrounding parameter estimation;
- -
- Two Microsoft Azure Kinectsynchronized LiDARs (Microsoft Corporation (NASDAQ: MSFT), Redmond, WA, USA), each capable of capturing five point clouds per second for the 3D characterization of the dike and water surface.
2.2. Soil Characterization for Erodible Dike Construction
2.3. Experimental Protocols for Dike Failure Testing
2.3.1. Variable Conditions (Uncontrolled Variables)
2.3.2. Controlled Conditions
3. Breach Outflow Hydrograph Estimation
3.1. Indirect Estimation (Non-Local)
3.1.1. Spillway Discharge Rating Curve
3.1.2. Mass Balance Principles
3.2. Direct Estimation (‘In Situ’)
3.2.1. Determination of Breach Geometry and Flow Transition Cone
3.2.2. Determination of Surface Velocity Fields
4. Data Processing for ISBOH Method
4.1. Three-Dimensional Breach Geometry Reconstruction
4.2. Flow Transition Cone Area Definition
4.3. Surface Velocity Field Measurements
4.4. Breach Outflow Hydrographs
5. Consistency and Accuracy of ISBOH Estimation Technique
5.1. ISBOH Consistency
5.2. ISBOH Accuracy
6. Conclusions and Future Work
6.1. Key Findings
- Live 3D Breach Modeling: The methodology enables real-time 3D monitoring of breach evolution during failure, allowing geometric data extraction for parametric dike failure forecasts.
- Optimized Camera Placement: Strategic camera positioning captured the complete breaching process, with action cameras proving viable for velocity measurement when paired with tracer particles. This suggests potential Unmanned Aerial Vehicle (UAV) applications for monitoring natural channels and rivers.
- Seeding Importance in Velocity Measurements: Adequate seeding distribution on the free surface is crucial for accurate velocity field assessment. Increased particle density would enhance coverage and accuracy.
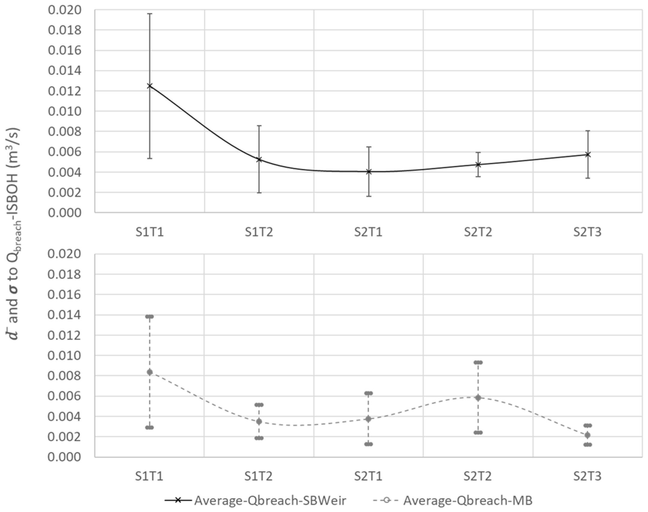
- Hydrograph Estimation: The in situ method demonstrates promising results, aligning closely with indirect breach outflow estimations.
- Seeding Deployment Intermittency: This approach improves breach geometry data quality and refines breach outflow estimations.
6.2. Practical Applications and Future Developments
Author Contributions
Funding
Data Availability Statement
Acknowledgments
Conflicts of Interest
Abbreviations
| LiDAR | Light Detection and Ranging |
| ToF | Time-of-Flight |
| PTV | Particle Tracking Velocimetry |
| LSPIV | Large-Scale Particle Image Velocimetry |
| RGB | Red, Green and Blue |
| IR | Infra-red |
| Fr | Froude number |
| γd | Dry unit weight |
| γdmax | Maximum dry unit weight |
| ω% | Water content |
| ISBOH | In situ breach outflow hydrograph |
| hMChannel | Water level depth in the main channel |
| Qin | Main channel inflow |
| Qmcout | Main channel total outflow |
| Qv | Flow resulting from the main channel volume variations |
| Qout | Downstream channel outflow |
| Qflood | Flood basin flow |
| Qbreach | Breach outflow |
| QbreachISBOH | Breach outflow measured by the in situ breach outflow hydrograph method |
| QbreachSBWeir | Breach outflow measured by the weir located on the sediment basin |
| QbreachMB | Breach outflow measured by the mass balance in the main channel |
| DS | Dividing Streamline |
| ABC | Breach cone area |
| VBL | Velocity vector magnitude |
| t | Time |
| đ | Average difference |
| σ | Standard deviation |
| g | Gravity acceleration |
| b | Height of the gate opening |
| l | Width of the gate opening |
| i | Initial position |
| j | Final position |
| n | Number of vectors |
| d | Distance |
| Phase difference | |
| F | Signal frequency |
| C | Speed of light |
References
- Maldonado, C. Katrina Fact-Check: Guesstimate of Katrina’s Flooding in New Orleans Was Correct. Available online: https://thelensnola.org/2015/07/20/katrina-fact-check-guesstimate-of-katrinas-flooding-in-new-orleans-was-correct/ (accessed on 30 November 2025).
- Alcrudo, F.; Mulet, J. Description of the Tous Dam Break Case Study (Spain). J. Hydraul. Res. 2007, 45, 45–57. [Google Scholar] [CrossRef]
- David, A. Natural Disasters, 1st ed.; Routledge-Taylor & Francis Group: New York, NY, USA, 1993; ISBN 1-85728-094-6. [Google Scholar]
- Dounais, G.T.; Bardanis, M.E. The Failure of Homogeneous Dams by Internal Erosion–The Case of Sparmos Dam, Greece. In Sustainable and Safe Dams Around the World; Tournier, J.P., Bennett, T., Bibeau, J., Eds.; 2019; Available online: https://www.taylorfrancis.com/chapters/edit/10.1201/9780429319778-71/failure-homogeneous-dams-internal-erosion%E2%80%94the-case-sparmos-dam-greece-dounias-bardanis (accessed on 30 November 2025).
- Nunes, A.; Amaro, A.; Vieira, A.; Velez de Castro, F.; Félix, F. Geografia, Riscos e Proteção Civil. Homenagem Ao Professor Doutor Luciano Lourenço. Volume 1; RISCOS—Associação Portuguesa de Riscos, Prevenção e Segurança: 2021; Volume 1. Available online: https://www.riscos.pt/publicacoes/outras-publicacoes/outras/grpc-lhll/volume-1/ (accessed on 30 November 2025).
- Gangadharan, S. In China, Over 5000 People Evacuated After Floodwaters Breach A Dike. Available online: https://stratnewsglobal.com/world-news/in-china-over-5000-people-evacuated-after-floodwaters-breach-a-dike/ (accessed on 30 November 2025).
- Horaud, R.; Hansard, M.; Evangelidis, G.; Ménier, C. An Overview of Depth Cameras and Range Scanners Based on Time-of-Flight Technologies. Mach. Vis. Appl. 2016, 27, 1005–1020. [Google Scholar] [CrossRef]
- Kurillo, G.; Hemingway, E.; Cheng, M.-L.; Cheng, L. Evaluating the Accuracy of the Azure Kinect and Kinect V2. Sensors 2022, 22, 2469. [Google Scholar] [CrossRef] [PubMed]
- Aleixo, R.; Carvalho, E.; Lima, M.M.C.L.; Ferreira, R.M.L. Determinação Dos Campos de Velocidades de Escoamentos Bifásicos Usando PIV-PTV. Rev. Recur. Hídricos 2020, 41, 9–15. [Google Scholar] [CrossRef]
- Bento, A.M.; Amaral, S.; Viseu, T.; Cardoso, R.; Ferreira, R.M.L. Direct Estimate of the Breach Hydrograph of an Overtopped Earth Dam. J. Hydraul. Eng. 2017, 143. [Google Scholar] [CrossRef]
- Yoon, J.; Doh, J. Optimal PID Control for Hovering Stabilization of Quadcopter Using Long Short Term Memory. Adv. Eng. Inform. 2022, 53, 101679. [Google Scholar] [CrossRef]
- Amaral, S.; Caldeira, L.; Viseu, T.; Ferreira, R.M.L. Designing Experiments to Study Dam Breach Hydraulic Phenomena. J. Hydraul. Eng. 2020, 146. [Google Scholar] [CrossRef]
- Alvarez, T.; Aleixo, R.; Mendes, S.V.; Amaral, S.; Viseu, T.; Ferreira, R.M.L. Frozen in Time: Continuous Measurements in a Dam Breach Flow. In River Flow 2022; CRC Press: London, UK, 2024; pp. 508–515. [Google Scholar]
- Rifai, I.; Schmitz, V.; Erpicum, S.; Archambeau, P.; Violeau, D.; Pirotton, M.; Dewals, B.; El, K.; Abderrezzak, K. Continuous Monitoring of Fluvial Dike Breaching by a Laser Profilometry Technique. Water Resour. Res. 2020, 56, e2019WR026941. [Google Scholar] [CrossRef]
- Jónatas, R.J.L.; Aleixo, R.J.F.; Amaral, S.R.C.; Mendes, S.V.; Viseu, M.T.F.S.; Ferreira, R.M.L. Laboratory Application of Real-Time LiDAR Technology for Assessing Breach Morphology during the Failure of Earth Dams and Fluvial Dikes. J. Hydraul. Eng. 2025, 151, 04025033. [Google Scholar] [CrossRef]
- Kim, K.; Kim, J. Dynamic Displacement Measurement of a Vibratory Object Using a Terrestrial Laser Scanner. Meas. Sci. Technol. 2015, 26, 045002. [Google Scholar] [CrossRef]
- Aleixo, R.; Amaral, S.; Viseu, T.; Mendes, S.; Alvarez, T.; Alberto, C.; Ferreira, R.M.L. Challenges of Surface Image Velocimetry—The Dam-Breach Example. In Proceedings of the 39th IAHR World Congress: International Association for Hydro-Environment Engineering and Research (IAHR), Spain; 2022; pp. 5150–5155. Available online: https://www.researchgate.net/publication/367592451_Challenges_of_Surface_Image_Velocimetry_the_dam-breach_example (accessed on 30 November 2025).
- Capart, H.; Young, D.L.; Zech, Y. Voronoi Imaging Methods for the Measurement of Granular Flows. Exp. Fluids 2001, 32, 121–135. [Google Scholar] [CrossRef]
- Aleixo, R.; Soares-Frazão, S.; Zech, Y. Velocity-Field Measurements in a Dam-Break Flow Using a PTV Voronoï Imaging Technique. Exp. Fluids 2011, 50, 1633–1649. [Google Scholar] [CrossRef]












| Dike Failure Test (S#T#) | Set Variables | Dike Height (m) | Qin (m3/s) | hMChannel (m) | Fr (-) | ω (%) | RC (%) |
|---|---|---|---|---|---|---|---|
| S1T1 | Uncontrolled | 0.50 | 0.047–0.160 | 0.30–0.50 | 0.1–0.4 | 7.3 | 95.4 |
| S1T2 | Controlled | 0.50 | 0.080 | 0.48 | 0.1 | 10.4 | 99.8 |
| S2T1 | Controlled | 0.50 | 0.080 | 0.47 | 0.1 | 13.4 | 93.7 |
| S2T2 | Controlled | 0.30 | 0.075 | 0.28 | 0.2 | 13.0 | 96.6 |
| S2T3 | Controlled | 0.30 | 0.075 | 0.28 | 0.2 | 12.1 | 95.1 |
| Time (s) | Breach Cone Area (m2) | Free-Surface Transition Line Length (m) | Distance Between Breach Banks (m) |
|---|---|---|---|
| 200 | 0.003 | 0.195 | 0.155 |
| 255 | 0.017 | 0.376 | 0.161 |
| 275 | 0.043 | 0.571 | 0.221 |
| 291 | 0.047 | 0.595 | 0.248 |
| 296 | 0.064 | 0.676 | 0.260 |
| 301 | 0.083 | 0.711 | 0.246 |
| 328 | 0.071 | 0.635 | 0.287 |
| 332 | 0.076 | 0.597 | 0.339 |
| 358 | 0.165 | 1.140 | 0.625 |
| S1T1—200 s | S1T1—291 s | S1T1—328 s | |||||||||
|---|---|---|---|---|---|---|---|---|---|---|---|
| Cone Area (m2) = 0.003 | Cone Area (m2) = 0.047 | Cone Area (m2) = 0.071 | |||||||||
| x (m) | y (m) | u (m/s) | v (m/s) | x (m) | y (m/s) | u (m) | v (m/s) | x (m) | y (m) | u (m/s) | v (m/s) |
| 0.305 | 0.221 | 0.108 | −0.096 | 0.288 | 0.278 | 0.456 | −0.167 | 0.155 | 0.258 | 0.556 | −0.019 |
| 0.335 | 0.221 | 0.086 | −0.077 | 0.285 | 0.312 | 0.487 | −0.263 | 0.255 | 0.37 | 0.338 | −0.006 |
| 0.365 | 0.221 | 0.055 | −0.010 | 0.315 | 0.342 | 0.610 | −0.502 | 0.345 | 0.39 | 0.512 | −0.225 |
| 0.425 | 0.191 | 0.030 | −0.039 | 0.345 | 0.342 | 0.224 | −0.267 | 0.385 | 0.39 | 0.688 | −0.560 |
| 0.405 | 0.378 | 0.109 | −0.278 | 0.455 | 0.36 | 0.333 | −0.469 | ||||
| 0.525 | 0.342 | 0.001 | −0.257 | 0.495 | 0.36 | 0.176 | −0.456 | ||||
| 0.54 | 0.36 | 0.318 | −0.552 | ||||||||
| 0.595 | 0.36 | −0.036 | −0.527 | ||||||||
Disclaimer/Publisher’s Note: The statements, opinions and data contained in all publications are solely those of the individual author(s) and contributor(s) and not of MDPI and/or the editor(s). MDPI and/or the editor(s) disclaim responsibility for any injury to people or property resulting from any ideas, methods, instructions or products referred to in the content. |
© 2025 by the authors. Licensee MDPI, Basel, Switzerland. This article is an open access article distributed under the terms and conditions of the Creative Commons Attribution (CC BY) license (https://creativecommons.org/licenses/by/4.0/).
Share and Cite
Jónatas, R.; Amaral, S.; Aleixo, R.; Serra, J.B.; Ferreira, R.M.L. In Situ Estimation of Breach Outflow Hydrographs from Fluvial Dike Failures: A Methodology Integrating Real-Time Monitoring and Physical Modelling. Infrastructures 2025, 10, 335. https://doi.org/10.3390/infrastructures10120335
Jónatas R, Amaral S, Aleixo R, Serra JB, Ferreira RML. In Situ Estimation of Breach Outflow Hydrographs from Fluvial Dike Failures: A Methodology Integrating Real-Time Monitoring and Physical Modelling. Infrastructures. 2025; 10(12):335. https://doi.org/10.3390/infrastructures10120335
Chicago/Turabian StyleJónatas, Ricardo, Sílvia Amaral, Rui Aleixo, João Bilé Serra, and Rui M. L. Ferreira. 2025. "In Situ Estimation of Breach Outflow Hydrographs from Fluvial Dike Failures: A Methodology Integrating Real-Time Monitoring and Physical Modelling" Infrastructures 10, no. 12: 335. https://doi.org/10.3390/infrastructures10120335
APA StyleJónatas, R., Amaral, S., Aleixo, R., Serra, J. B., & Ferreira, R. M. L. (2025). In Situ Estimation of Breach Outflow Hydrographs from Fluvial Dike Failures: A Methodology Integrating Real-Time Monitoring and Physical Modelling. Infrastructures, 10(12), 335. https://doi.org/10.3390/infrastructures10120335

