Previous Issue
Volume 9, September
 
 

Vision, Volume 9, Issue 4 (December 2025) – 15 articles

  • Issues are regarded as officially published after their release is announced to the table of contents alert mailing list.
  • You may sign up for e-mail alerts to receive table of contents of newly released issues.
  • PDF is the official format for papers published in both, html and pdf forms. To view the papers in pdf format, click on the "PDF Full-text" link, and use the free Adobe Reader to open them.
Order results
Result details
Section
Select all
Export citation of selected articles as:
11 pages, 929 KB  
Article
Clinical Evaluation of an Affordable Handheld Wavefront Autorefractor in an Adult Population in a Low-Resource Setting in the Amazonas
by David Tayah, Ricardo Noguera Louzada, Pedro Lucas Machado Magalhães, Youssef Tayah, Dillan Cunha Amaral, Chow Wang Ming Shato, Daniel Oliveira Dantas and Milton Ruiz Alves
Vision 2025, 9(4), 94; https://doi.org/10.3390/vision9040094 - 6 Nov 2025
Viewed by 41
Abstract
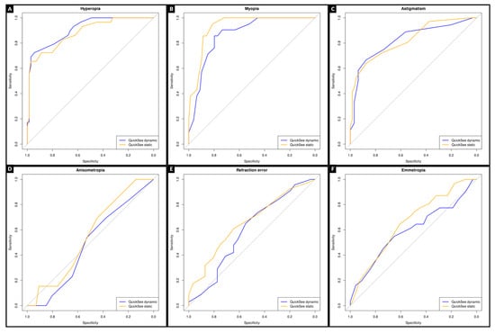
This study evaluates the ability of the QuickSee Free (QSF) portable autorefractor (PlenOptika) to detect and measure refractive error compared to subjective clinical refractometry (SCR) in a Brazilian adult population in a low-resource setting in Amazonas. A total of 100 participants aged 18–65 [...] Read more.
This study evaluates the ability of the QuickSee Free (QSF) portable autorefractor (PlenOptika) to detect and measure refractive error compared to subjective clinical refractometry (SCR) in a Brazilian adult population in a low-resource setting in Amazonas. A total of 100 participants aged 18–65 years underwent visual acuity screening and autorefraction with and without cycloplegia using the QSF, alongside a complete ophthalmic examination including SCR. Refractive error measurements included spherical component (SC), cylindrical component (CC), cylindrical axis (CA), spherical equivalent (SE), and vector powers (MV90 and MV135). Accuracy was assessed for hyperopia ≥ +2.00 D, myopia ≤ −0.75 D, astigmatism ≥ 1.00 DC, and anisometropia ≥ 1.00 D using receiver operating characteristic (ROC) curve analysis. The area under the curve for detecting significant refractive errors ranged from 0.538 to 0.930. The mean difference between QSF without cycloplegia and SCR was −1.08 ± 1.17 D for SC and −1.15 ± 1.15 D for SE (p < 0.0001), and with cycloplegia, it was −0.81 ± 1.07 D and −0.83 ± 1.02 D, respectively. The QSF exhibited a moderate negative bias for both SC and SE with and without cycloplegia, underestimating these values, but it showed good predictability for detecting refractive errors in a low-resource setting. Full article
Show Figures

Figure 1

19 pages, 18085 KB  
Article
Comparative Analysis of Transformer Architectures and Ensemble Methods for Automated Glaucoma Screening in Fundus Images from Portable Ophthalmoscopes
by Rodrigo Otávio Cantanhede Costa, Pedro Alexandre Ferreira França, Alexandre César Pinto Pessoa, Geraldo Braz Júnior, João Dallyson Sousa de Almeida and António Cunha
Vision 2025, 9(4), 93; https://doi.org/10.3390/vision9040093 - 3 Nov 2025
Viewed by 238
Abstract
Deep learning for glaucoma screening often relies on high-resolution clinical images and convolutional neural networks (CNNs). However, these methods face significant performance drops when applied to noisy, low-resolution images from portable devices. To address this, our work investigates ensemble methods using multiple Transformer [...] Read more.
Deep learning for glaucoma screening often relies on high-resolution clinical images and convolutional neural networks (CNNs). However, these methods face significant performance drops when applied to noisy, low-resolution images from portable devices. To address this, our work investigates ensemble methods using multiple Transformer architectures for automated glaucoma detection in challenging scenarios. We use the Brazil Glaucoma (BrG) and private D-Eye datasets to assess model robustness. These datasets include images typical of smartphone-coupled ophthalmoscopes, which are often noisy and variable in quality. Four Transformer models—Swin-Tiny, ViT-Base, MobileViT-Small, and DeiT-Base—were trained and evaluated both individually and in ensembles. We evaluated the results at both image and patient levels to reflect clinical practice. The results show that, although performance drops on lower-quality images, ensemble combinations and patient-level aggregation significantly improve accuracy and sensitivity. We achieved up to 85% accuracy and an 84.2% F1-score on the D-Eye dataset, with a notable reduction in false negatives. Grad-CAM attention maps confirmed that Transformers identify anatomical regions relevant to diagnosis. These findings reinforce the potential of Transformer ensembles as an accessible solution for early glaucoma detection in populations with limited access to specialized equipment. Full article
Show Figures

Figure 1

21 pages, 1691 KB  
Article
Biases in Perceiving Positive Versus Negative Emotions: The Influence of Social Anxiety and State Affect
by Vivian M. Ciaramitaro, Erinda Morina, Jenny L. Wu, Daniel A. Harris and Sarah A. Hayes-Skelton
Vision 2025, 9(4), 92; https://doi.org/10.3390/vision9040092 - 1 Nov 2025
Viewed by 331
Abstract
Models suggest social anxiety is characterized by negative processing biases. Negative biases also arise from negative mood, i.e., state affect. We examined how social anxiety influences emotional processing and whether state affect, or mood, modified the relationship between social anxiety and perceptual bias. [...] Read more.
Models suggest social anxiety is characterized by negative processing biases. Negative biases also arise from negative mood, i.e., state affect. We examined how social anxiety influences emotional processing and whether state affect, or mood, modified the relationship between social anxiety and perceptual bias. We quantified bias by determining the point of subjective equality, PSE, the face judged equally often as happy and as angry. We found perceptual bias depended on social anxiety and state affect. PSE was greater in individuals high (mean PSE: 8.69) versus low (mean PSE: 3.04) in social anxiety. The higher PSE indicated a stronger negative bias in high social anxiety. State affect modified this relationship, with high social anxiety associated with stronger negative biases, but only for individuals with greater negative affect. State affect and trait anxiety interacted such that social anxiety status alone was insufficient to fully characterize perceptual biases. This raises several issues such as the need to consider what constitutes an appropriate control group and the need to consider state affect in social anxiety. Importantly, our results suggest compensatory effects may counteract the influences of negative mood in individuals low in social anxiety. Full article
Show Figures

Figure 1

29 pages, 11403 KB  
Article
In-Vivo Characterization of Healthy Retinal Pigment Epithelium and Photoreceptor Cells from AO-(T)FI Imaging
by Sohrab Ferdowsi, Leila Sara Eppenberger, Safa Mohanna, Oliver Pfäffli, Christoph Amstutz, Lucas M. Bachmann, Michael A. Thiel and Martin K. Schmid
Vision 2025, 9(4), 91; https://doi.org/10.3390/vision9040091 - 1 Nov 2025
Viewed by 220
Abstract
We provide an automated characterization of human retinal cells, i.e., RPE’s based on the non-invasive AO-TFI retinal imaging and PR’s based on the non-invasive AO-FI retinal imaging on a large-scale study involving 171 confirmed healthy eyes from 104 participants of 23 to 80 [...] Read more.
We provide an automated characterization of human retinal cells, i.e., RPE’s based on the non-invasive AO-TFI retinal imaging and PR’s based on the non-invasive AO-FI retinal imaging on a large-scale study involving 171 confirmed healthy eyes from 104 participants of 23 to 80 years old. Comprehensive standard checkups based on SD-OCT and Fondus imaging modalities were carried out by Ophthalmologists from the Luzerner Kantonsspital (LUKS) to confirm the absence of retinal pathologies. AO imaging imaging was performed using the Cellularis® device and each eye was imaged at various retinal eccentricities. The images were automatically segmented using a dedicated software and RPE and PR cells were identified and morphometric characterizations, such as cell density and area were computed. The results were stratified based on various criteria, such as age, retinal eccentricity, visual acuity, etc. The automatic segmentation was validated independently on a held-out set by five trained medical students not involved in this study. We plotted cell density variations as a function of eccentricity from the fovea along both nasal and temporal directions. For RPE cells, no consistent trend in density was observed between 0° to 9° eccentricity, contrasting with established histological literature demonstrating foveal density peaks. In contrast, PR cell density showed a clear decrease from 2.5° to 9°. RPE cell density declined linearly with age, whereas no age-related pattern was detected for PR cell density. On average, RPE cell density was found to be ≈6313 cells/mm2 (±σ=757), while the average PR cell density was calculated as ≈10,207 cells/mm2 (±σ=1273). Full article
Show Figures

Figure 1

17 pages, 1109 KB  
Review
Birefringence of the Human Cornea: A Review
by Sudi Patel, Larysa Tutchenko and Igor Dmytruk
Vision 2025, 9(4), 90; https://doi.org/10.3390/vision9040090 - 28 Oct 2025
Viewed by 244
Abstract
Background: This paper aims to provide an overview of corneal birefringence (CB), systematize the knowledge and current understanding of CB, and identify difficulties associated with introducing CB into mainstream clinical practice. Methods: Literature reviews were conducted, seeking articles focused on CB published between [...] Read more.
Background: This paper aims to provide an overview of corneal birefringence (CB), systematize the knowledge and current understanding of CB, and identify difficulties associated with introducing CB into mainstream clinical practice. Methods: Literature reviews were conducted, seeking articles focused on CB published between the early 19th century and the present time. Secondary-level searches were made examining relevant publications referred to in primary-level publications, ranging back to the early 17th century. The key search words were “corneal birefringence” and “non-invasive measurements”. Results: CB was first recorded by Brewster in 1815. Orthogonally polarized rays travel at different speeds through the cornea, creating a slow axis and a fast axis. The slow axis aligns with the pattern of most corneal stromal collagen fibrils. In vivo, it is oriented along the superior temporal–inferior nasal direction at an angle of about 25° (with an approximate range of −54° to 90°) from the horizontal. CB has been reported to (i) influence the estimation of retinal nerve fiber layer thickness; (ii) be affected by corneal interventions; (iii) be altered in keratoconus; (iv) vary along the depth of the cornea; and (v) be affected by intra-ocular pressure. Conclusions: Under precisely controlled conditions, capturing the CB pattern is the first step in a non-destructive process used to model the ultra-fine structure of the individual cornea, and changes thereof, in vivo. Full article
Show Figures

Figure 1

13 pages, 268 KB  
Article
Prevalence of Keratoconus and Associated Risk Factors Among High School Students in Couva, Trinidad: A Cross-Sectional Study
by Ngozika Esther Ezinne, Shinead Phagoo, Ameera Roopnarinesingh and Michael Agyemang Kwarteng
Vision 2025, 9(4), 89; https://doi.org/10.3390/vision9040089 - 20 Oct 2025
Viewed by 368
Abstract
Purpose: This study aimed to determine the prevalence and associated risk factors of keratoconus (KC) among high school students in Couva, Trinidad and Tobago. Method: A cross-sectional, school-based approach was used, involving a simple random sampling technique to select schools and students. A [...] Read more.
Purpose: This study aimed to determine the prevalence and associated risk factors of keratoconus (KC) among high school students in Couva, Trinidad and Tobago. Method: A cross-sectional, school-based approach was used, involving a simple random sampling technique to select schools and students. A structured questionnaire assessed KC risk factors, while clinical assessments, including visual acuity, refraction, slit lamp biomicroscopy, and topography, were performed. Data were analyzed using R. Exact tests were used for KC (n = 2 cases) and robust Poisson regression estimated adjusted prevalence ratios for the ‘at-risk’ screening endpoint. Results: A total of 432 students aged 12–17 years participated, with a response rate of 97.5%. Most participants were of East Indian descent (48.1%), female (52.1%), and 14 years old (23.1%). Approximately 47.7% (95% CI 43.0–52.5%) were at risk of KC, with 0.5% (2/432; exact 95% CI 0.06–1.67%) diagnosed with the condition. The most common risk factors were eye rubbing (87.4%), over eight hours of sun exposure weekly (71.8%), and atopy (68.4%). KC was observed to be significantly higher among people with a family history (p = 0.018). Conclusions: The study highlights a low prevalence and a high risk of KC among high school students, with a strong link to family history and common risk factors such as eye rubbing and sun exposure. These findings emphasize the urgent need for regular KC screening in schools to ensure early diagnosis and effective management. Full article
13 pages, 1312 KB  
Article
Comparing Visual Search Efficiency Across Different Facial Characteristics
by Navdeep Kaur, Isabella Hooge and Andrea Albonico
Vision 2025, 9(4), 88; https://doi.org/10.3390/vision9040088 - 15 Oct 2025
Viewed by 320
Abstract
Face recognition is an important skill that helps people make social judgments by identifying both who a person is and other characteristics such as their expression, age, and ethnicity. Previous models of face processing, such as those proposed by Bruce and Young and [...] Read more.
Face recognition is an important skill that helps people make social judgments by identifying both who a person is and other characteristics such as their expression, age, and ethnicity. Previous models of face processing, such as those proposed by Bruce and Young and by Haxby and colleagues, suggest that identity and other facial features are processed through partly independent systems. This study aimed to compare the efficiency with which different facial characteristics are processed in a visual search task. Participants viewed arrays of two, four, or six faces and judged whether one face differed from the others. Four tasks were created, focusing separately on identity, expression, ethnicity, and gender. We found that search times were significantly longer when looking for identity and shorter when looking for ethnicity. Significant correlations were found among almost all tests in all outcome variables. Comparison of target-present and target-absent trials suggested that performance in none of the tests seems to follow a serial-search-terminating model. These results suggest that different facial characteristics share early processing but differentiate into independent recognition mechanisms at a later stage. Full article
(This article belongs to the Section Visual Neuroscience)
Show Figures

Figure 1

11 pages, 923 KB  
Article
Development of a Neural Network to Predict Optimal IOP Reduction in Glaucoma Management
by Raheem Remtulla, Sidrat Rahman and Hady Saheb
Vision 2025, 9(4), 87; https://doi.org/10.3390/vision9040087 - 15 Oct 2025
Viewed by 332
Abstract
Glaucoma management relies on lowering intraocular pressure (IOP), but determining the target reduction at presentation is challenging, particularly in normal-tension glaucoma (NTG). We developed and internally validated a neural network regression model using retrospective clinical data from Qiu et al. (2015), including 270 [...] Read more.
Glaucoma management relies on lowering intraocular pressure (IOP), but determining the target reduction at presentation is challenging, particularly in normal-tension glaucoma (NTG). We developed and internally validated a neural network regression model using retrospective clinical data from Qiu et al. (2015), including 270 patients (118 with NTG). A single-layer artificial neural network with five nodes was trained in MATLAB R2024b using the Levenberg–Marquardt algorithm. Inputs included demographic, refractive, structural, and functional parameters, with IOP reduction as the output. Data were split into 65% training, 15% validation, and 20% testing, with training repeated 10 times. Model performance was strong and consistent (average RMSE: 1.90 ± 0.29 training, 2.18 ± 0.34 validation, 2.11 ± 0.30 testing; Pearson’s r: 0.92 ± 0.02, 0.88 ± 0.02, 0.88 ± 0.04). The best-performing model achieved RMSEs of 1.57, 2.90, and 1.77 with r values of 0.93, 0.91, and 0.93, respectively. Feature ablation revealed significant contributions from IOP, axial length, CCT, diagnosis, VCDR, spherical equivalent, mean deviation, and laterality. This study demonstrates that a simple neural network can reliably predict individualized IOP reduction targets, supporting personalized glaucoma management and improved outcomes. Full article
Show Figures

Figure 1

12 pages, 507 KB  
Article
Clinical Assessment of a Virtual Reality Perimeter Versus the Humphrey Field Analyzer: Comparative Reliability, Usability, and Prospective Applications
by Marco Zeppieri, Caterina Gagliano, Francesco Cappellani, Federico Visalli, Fabiana D’Esposito, Alessandro Avitabile, Roberta Amato, Alessandra Cuna and Francesco Pellegrini
Vision 2025, 9(4), 86; https://doi.org/10.3390/vision9040086 - 11 Oct 2025
Viewed by 463
Abstract
Background: This study compared the performance of a Head-mounted Virtual Reality Perimeter (HVRP) with the Humphrey Field Analyzer (HFA), the standard in automated perimetry. The HFA is the established standard for automated perimetry but is constrained by lengthy testing, bulky equipment, and limited [...] Read more.
Background: This study compared the performance of a Head-mounted Virtual Reality Perimeter (HVRP) with the Humphrey Field Analyzer (HFA), the standard in automated perimetry. The HFA is the established standard for automated perimetry but is constrained by lengthy testing, bulky equipment, and limited patient comfort. Comparative data on newer head-mounted virtual reality perimeters are limited, leaving uncertainty about their clinical reliability and potential advantages. Aim: The aim was to evaluate parameters such as visual field outcomes, portability, patient comfort, eye tracking, and usability. Methods: Participants underwent testing with both devices, assessing metrics like mean deviation (MD), pattern standard deviation (PSD), and duration. Results: The HVRP demonstrated small but statistically significant differences in MD and PSD compared to the HFA, while maintaining a consistent trend across participants. MD values were slightly more negative for HFA than HVRP (average difference −0.60 dB, p = 0.0006), while pattern standard deviation was marginally higher with HFA (average difference 0.38 dB, p = 0.00018). Although statistically significant, these differences were small in magnitude and do not undermine the clinical utility or reproducibility of the device. Notably, HVRP showed markedly shorter testing times with HVRP (7.15 vs. 18.11 min, mean difference 10.96 min, p < 0.0001). Its lightweight, portable design allowed for bedside and home testing, enhancing accessibility for pediatric, geriatric, and mobility-impaired patients. Participants reported greater comfort due to the headset design, which eliminated the need for chin rests. The device also offers potential for AI integration and remote data analysis. Conclusions: The HVRP proved to be a reliable, user-friendly alternative to traditional perimetry. Its advantages in comfort, portability, and test efficiency support its use in both clinical settings and remote screening programs for visual field assessment. Its portability and user-friendly design support broader use in clinical practice and expand possibilities for bedside assessment, home monitoring, and remote screening, particularly in populations with limited access to conventional perimetry. Full article
Show Figures

Figure 1

15 pages, 897 KB  
Article
Comparative Assessment of Large Language Models in Optics and Refractive Surgery: Performance on Multiple-Choice Questions
by Leah Attal, Elad Shvartz, Alon Gorenshtein, Shirley Pincovich and Daniel Bahir
Vision 2025, 9(4), 85; https://doi.org/10.3390/vision9040085 - 9 Oct 2025
Viewed by 491
Abstract
This study aimed to evaluate the performance of seven advanced AI Large Language Models (LLMs)—ChatGPT 4o, ChatGPT O3 Mini, ChatGPT O1, DeepSeek V3, DeepSeek R1, Gemini 2.0 Flash, and Grok-3—in answering multiple-choice questions (MCQs) in optics and refractive surgery, to assess their role [...] Read more.
This study aimed to evaluate the performance of seven advanced AI Large Language Models (LLMs)—ChatGPT 4o, ChatGPT O3 Mini, ChatGPT O1, DeepSeek V3, DeepSeek R1, Gemini 2.0 Flash, and Grok-3—in answering multiple-choice questions (MCQs) in optics and refractive surgery, to assess their role in medical education for residents. The AI models were tested using 134 publicly available MCQs from national ophthalmology certification exams, categorized by the need to perform calculations, the relevant subspecialty, and the use of images. Accuracy was analyzed and compared statistically. ChatGPT O1 achieved the highest overall accuracy (83.5%), excelling in complex optical calculations (84.1%) and optics questions (82.4%). DeepSeek V3 displayed superior accuracy in refractive surgery-related questions (89.7%), followed by ChatGPT O3 Mini (88.4%). ChatGPT O3 Mini significantly outperformed others in image analysis, with 88.2% accuracy. Moreover, ChatGPT O1 demonstrated comparable accuracy rates for both calculated and non-calculated questions (84.1% vs. 83.3%). This is in stark contrast to other models, which exhibited significant discrepancies in accuracy for calculated and non-calculated questions. The findings highlight the ability of LLMs to achieve high accuracy in ophthalmology MCQs, particularly in complex optical calculations and visual items. These results suggest potential applications in exam preparation and medical training contexts, while underscoring the need for future studies designed to directly evaluate their role and impact in medical education. The findings highlight the significant potential of AI models in ophthalmology education, particularly in performing complex optical calculations and visual stem questions. Future studies should utilize larger, multilingual datasets to confirm and extend these preliminary findings. Full article
Show Figures

Figure 1

14 pages, 1203 KB  
Article
Myopia Prediction Using Machine Learning: An External Validation Study
by Rajat S. Chandra, Bole Ying, Jianyong Wang, Hongguang Cui, Guishuang Ying and Julius T. Oatts
Vision 2025, 9(4), 84; https://doi.org/10.3390/vision9040084 - 9 Oct 2025
Viewed by 466
Abstract
We previously developed machine learning (ML) models for predicting cycloplegic spherical equivalent refraction (SER) and myopia using non-cycloplegic data and following a standardized protocol (cycloplegia with 0.5% tropicamide and biometry using NIDEK A-scan), but the models’ performance may not be generalizable to other [...] Read more.
We previously developed machine learning (ML) models for predicting cycloplegic spherical equivalent refraction (SER) and myopia using non-cycloplegic data and following a standardized protocol (cycloplegia with 0.5% tropicamide and biometry using NIDEK A-scan), but the models’ performance may not be generalizable to other settings. This study evaluated the performance of ML models in an independent cohort using a different cycloplegic agent and biometer. Chinese students (N = 614) aged 8–13 years underwent autorefraction before and after cycloplegia with 0.5% tropicamide (n = 505) or 1% cyclopentolate (n = 109). Biometric measures were obtained using an IOLMaster 700 (n = 207) or Optical Biometer SW-9000 (n = 407). ML models were evaluated using R2, mean absolute error (MAE), sensitivity, specificity, and area under the ROC curve (AUC). The XGBoost model predicted cycloplegic SER very well (R2 = 0.95, MAE (SD) = 0.32 (0.30) D). Both ML models predicted myopia well (random forest: AUC 0.99, sensitivity 93.7%, specificity 96.4%; XGBoost: sensitivity 90.1%, specificity 96.8%) and accurately predicted the myopia rate (observed 62.9%; random forest: 60.6%; XGBoost: 58.8%) despite heterogeneous cycloplegia and biometry factors. In this independent cohort of students, XGBoost and random forest performed very well for predicting cycloplegic SER and myopia status using non-cycloplegic data. This external validation study demonstrated that ML may provide a useful tool for estimating cycloplegic SER and myopia prevalence with heterogeneous clinical parameters, and study in additional populations is warranted. Full article
Show Figures

Figure 1

17 pages, 1050 KB  
Article
Oculomotor Training Improves Reading and Associated Cognitive Functions in Children with Learning Difficulties: A Pilot Study
by Alessio Facchin, Silvio Maffioletti, Marta Maffioletti, Gabriele Esposito, Marta Bonetti, Luisa Girelli and Roberta Daini
Vision 2025, 9(4), 83; https://doi.org/10.3390/vision9040083 - 7 Oct 2025
Viewed by 1546
Abstract
In the first years of schooling, inefficient eye movements can impair the development of reading skills. Nonetheless, the improvement of these abilities has been little investigated in children. This pilot study aimed to verify the effectiveness of Office Based Oculomotor Training (OBOT) in [...] Read more.
In the first years of schooling, inefficient eye movements can impair the development of reading skills. Nonetheless, the improvement of these abilities has been little investigated in children. This pilot study aimed to verify the effectiveness of Office Based Oculomotor Training (OBOT) in enhancing reading skills in ‘poor’ readers. Twenty-one children (aged 7–12 years) underwent an assessment of reading, visual, and perceptual abilities before and after a training of oculomotor skills (i.e., execution of saccadic movements with symbol charts in various modes and types; 14 participants) or a simple reading exercise (7 participants). The overall duration of the training was six weeks. The results showed a specific improvement, in the group subjected to oculomotor training only, not only in oculomotor abilities but also in reading, visuo-perceptual skills, and the ability to resolve crowding. These primary results suggest that the improvement of oculomotor abilities can lead to an indirect increase in reading in developmental age. Full article
Show Figures

Figure 1

9 pages, 201 KB  
Article
Ocular Manifestations in Pediatric Traumatic Brain Injury Admitted to the ICU: A Prospective Analysis
by Amer Jaradat, Rami Al-Dwairi, Adam Abdallah, Atef F. Hulliel, Rawhi Alshaykh, Mahmood Al Nuaimi, Ala’ Al Barbarawi, Seren Al Beiruti and Abdelwahab Aleshawi
Vision 2025, 9(4), 82; https://doi.org/10.3390/vision9040082 - 4 Oct 2025
Viewed by 463
Abstract
Background: Traumatic Brain Injury (TBI) in children is a major cause of morbidity and mortality worldwide. Ocular manifestations are common but often overlooked, despite their potential to cause long-term visual impairment. This study aimed to evaluate the prevalence and characteristics of ocular findings [...] Read more.
Background: Traumatic Brain Injury (TBI) in children is a major cause of morbidity and mortality worldwide. Ocular manifestations are common but often overlooked, despite their potential to cause long-term visual impairment. This study aimed to evaluate the prevalence and characteristics of ocular findings in pediatric TBI patients admitted to the intensive care unit (ICU). Method: We prospectively reviewed records of pediatric patients (≤16 years) with TBI admitted to the Neurosurgery ICU at King Abdullah University Hospital (January 2022–December 2024). TBI was defined using U.S. CDC criteria and confirmed by clinical and radiological findings. Ocular manifestations were identified from ophthalmology consultations, neurosurgical notes, and bedside examinations. Demographics, injury details, and clinical outcomes were recorded. Statistical analyses included Chi-square, Fisher’s exact, and Mann–Whitney U tests, with significance set at p ≤ 0.05. Results: Thirty-eight patients (median age: 8 years; 55.3% male) were included. Ocular findings were present in 20 patients (52.6%). These patients were significantly older (median age 10 vs. 6 years, p = 0.007) and had lower admission GCS scores (11 vs. 14, p = 0.016). Male predominance was higher in the ocular group (75.0% vs. 33.3%, p = 0.030). Ocular findings were significantly associated with surgical intervention (60.0% vs. 22.2%, p = 0.025), orbital fractures (40.0% vs. 5.6%, p = 0.021), basal skull fracture signs (p = 0.036), and extraocular muscle limitation (p = 0.048). On multivariable analysis, orbital fracture remained the only independent predictor of ocular findings (aOR 2.22, 95% CI 1.17–3.57, p = 0.02). Conclusion: Over half of pediatric ICU TBI patients demonstrated ocular manifestations, closely linked to greater injury severity and craniofacial trauma. Routine, comprehensive ophthalmological evaluation should be integrated into the multidisciplinary management of severe pediatric TBI to optimize visual and functional outcomes. Full article
17 pages, 1767 KB  
Article
Too Bright to Focus? Influence of Brightness Illusions and Ambient Light Levels on the Dynamics of Ocular Accommodation
by Antonio Rodán, Angélica Fernández-López, Jesús Vera, Pedro R. Montoro, Beatriz Redondo and Antonio Prieto
Vision 2025, 9(4), 81; https://doi.org/10.3390/vision9040081 - 30 Sep 2025
Viewed by 768
Abstract
Can brightness illusions modulate ocular accommodation? Previous studies have shown that brightness illusions can influence pupil size as if caused by actual luminance increases. However, their effects on other ocular responses—such as accommodative or focusing dynamics—remain largely unexplored. This study investigates the influence [...] Read more.
Can brightness illusions modulate ocular accommodation? Previous studies have shown that brightness illusions can influence pupil size as if caused by actual luminance increases. However, their effects on other ocular responses—such as accommodative or focusing dynamics—remain largely unexplored. This study investigates the influence of brightness illusions, under two ambient lighting conditions, on accommodative and pupillary dynamics (physiological responses), and on perceived brightness and visual comfort (subjective responses). Thirty-two young adults with healthy vision viewed four stimulus types (blue bright and non-bright, yellow bright and non-bright) under low- and high-contrast ambient lighting while ocular responses were recorded using a WAM-5500 open-field autorefractor. Brightness and comfort were rated after each session. The results showed that high ambient contrast (mesopic) and brightness illusions increased accommodative variability, while yellow stimuli elicited a greater lag under photopic condition. Pupil size decreased only under mesopic lighting. Perceived brightness was enhanced by brightness illusions and blue color, whereas visual comfort decreased for bright illusions, especially under low light. These findings suggest that ambient lighting and visual stimulus properties modulate both physiological and subjective responses, highlighting the need for dynamic accommodative assessment and visually ergonomic display design to reduce visual fatigue during digital device use. Full article
Show Figures

Figure 1

14 pages, 428 KB  
Systematic Review
Evaluating the Clinical Validity of Commercially Available Virtual Reality Headsets for Visual Field Testing: A Systematic Review
by Jesús Vera, Alan N. Glazier, Mark T. Dunbar, Douglas Ripkin and Masoud Nafey
Vision 2025, 9(4), 80; https://doi.org/10.3390/vision9040080 - 24 Sep 2025
Viewed by 1615
Abstract
Virtual reality (VR) technology has emerged as a promising alternative to conventional perimetry for assessing visual fields. However, the clinical validity of commercially available VR-based perimetry devices remains uncertain due to variability in hardware, software, and testing protocols. A systematic review was conducted [...] Read more.
Virtual reality (VR) technology has emerged as a promising alternative to conventional perimetry for assessing visual fields. However, the clinical validity of commercially available VR-based perimetry devices remains uncertain due to variability in hardware, software, and testing protocols. A systematic review was conducted following PRISMA guidelines to evaluate the validity of VR-based perimetry compared to the Humphrey Field Analyzer (HFA). Literature searches were performed across MEDLINE, Embase, Scopus, and Web of Science. Studies were included if they assessed commercially available VR-based visual field devices in comparison to HFA and reported visual field outcomes. Devices were categorized by regulatory status (FDA, CE, or uncertified), and results were synthesized narratively. Nineteen studies were included. Devices such as Heru, Olleyes VisuALL, and the Advanced Vision Analyzer showed promising agreement with HFA metrics, especially in moderate to advanced glaucoma. However, variability in performance was observed depending on disease severity, population type, and device specifications. Limited dynamic range and lack of eye tracking were common limitations in lower-complexity devices. Pediatric validation and performance in early-stage disease were often suboptimal. Several VR-based perimetry systems demonstrate clinically acceptable validity compared to HFA, particularly in certain patient subgroups. However, broader validation, protocol standardization, and regulatory approval are essential for widespread clinical adoption. These devices may support more accessible visual field testing through telemedicine and decentralized care. Full article
Show Figures

Figure 1

Previous Issue
Back to TopTop