Clinical Evaluation of an Affordable Handheld Wavefront Autorefractor in an Adult Population in a Low-Resource Setting in the Amazonas
Abstract
1. Introduction
2. Materials and Methods
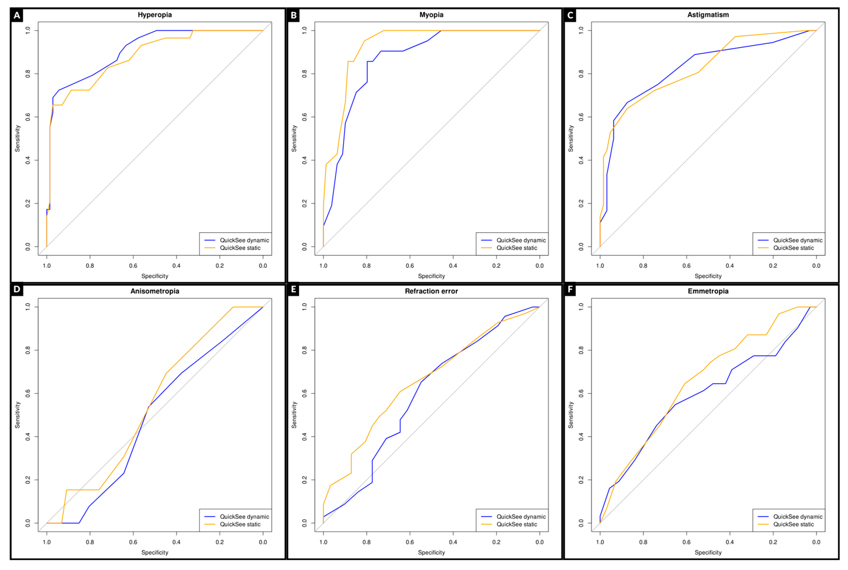
3. Results
4. Discussion
Limitations
5. Conclusions
Supplementary Materials
Author Contributions
Funding
Data Availability Statement
Conflicts of Interest
Abbreviations
| QSF | QuickSee Free (portable autorefractor) |
| SCR | Subjective Clinical Refractometry |
| SC | Spherical Component |
| CC | Cylindrical Component |
| CA | Cylindrical Axis |
| SE | Spherical Equivalent |
| MV90 | Magnitude Vector on the 90° axis |
| MV135 | Magnitude Vector on the 135° axis |
| ROC | Receiver Operating Characteristic curve |
| AUC | Area Under the Curve |
| VA | Visual Acuity |
| FDA | Food and Drug Administration |
| DCs | Cylindrical Diopters |
| D | Diopter |
| RE | Right Eye |
| AAPOS | American Association for Pediatric Ophthalmology and Strabismus |
| VI | Visual Impairment |
| UREs | Uncorrected Refractive Errors |
References
- World Health Organization (WHO). World Report on Vision; World Health Organization: Geneva, Switzerland, 2019. [Google Scholar]
- Pascolini, D.; Mariotti, S.P. Global estimates of visual impairment: 2010. Br. J. Ophthalmol. 2012, 96, 614–618. [Google Scholar] [CrossRef]
- Abdulhussein, D.; Abdul Hussein, M. WHO Vision 2020: Have We Done It? Ophthalmic. Epidemiol. 2023, 30, 331–339. [Google Scholar] [CrossRef]
- Hashemi, H.; Abbastabar, H.; Yekta, A.; Heydarian, S.; Khabazkhoob, M. The prevalence of uncorrected refractive errors in underserved rural areas. J. Curr. Ophthalmol. 2017, 29, 305–309. [Google Scholar] [CrossRef] [PubMed]
- Santos-Neto, E.D.; Dantas, D.O.; Amaral, D.C.; Castro Neto, F.C.; Louzada, R.N.; Alves, M.R. Changes in accommodation and vergence parameters with topical use of 0.025% and 0.05% atropine in myopes aged between 7 and 17 years. Eye 2025, 39, 2664–2670. [Google Scholar] [CrossRef]
- Ferraz, F.H.; Corrente, J.E.; Opromolla, P.; Schellini, S.A. Influence of uncorrected refractive error and unmet refractive error on visual impairment in a Brazilian population. BMC Ophthalmol. 2014, 14, 84. [Google Scholar] [CrossRef]
- Holden, B.A. Uncorrected refractive error: The major and most easily avoidable cause of vision loss. Community Eye Health 2007, 20, 37–39. [Google Scholar]
- Guedes, J.; da Costa Neto, A.B.; Fernandes, B.F.; Faneli, A.C.; Ferreira, M.A.; Amaral, D.C.; Mora-Paez, D.J.; Ambrósio, R. Myopia Prevalence in Latin American Children and Adolescents: A Systematic Review and Meta-Analysis. Cureus 2024, 16, e63482. [Google Scholar] [CrossRef]
- Alves, M. Increased Access to Ocular Health Program. eOftalmo 2017, 3, 1–2. [Google Scholar]
- Neto, A.C.; Guedes, J.; Mora-Paez, D.J.; Ferreira, M.A.; Faneli, A.C.; Amaral, D.C.; Pereira, S.; Almeida, G.; Manteufel, V.; Neto, J.S.H.; et al. Systematic review and meta-analysis of myopia prevalence in Brazilian school children. Rev. Bras. Oftalmol. 2024, 83, e0056. [Google Scholar] [CrossRef]
- Louzada, R.N.; de Alencar Costa Filho, A.; Alves, M.R. Need for national eye health education policies in Brazil. eOftalmo 2024, 10, 1–4. [Google Scholar]
- Alves, M. On the visual screening of schoolchildren enrolled in the official elementary-school system. eOftalmo 2019, 5, 164–166. [Google Scholar] [CrossRef]
- Hernández, C.S.; Gil, A.; Zaytouny, A.; Casares, I.; Poderoso, J.; de Lara, A.; Wehse, A.; Dave, S.R.; Lim, D.; Lage, E.; et al. Ametropia detection using a novel, compact wavefront autorefractor. Ophthalmic Physiol. Opt. 2024, 44, 311–320. [Google Scholar] [CrossRef]
- Amaral, D.C.; Batista, S.; Dos Santos-Neto, E.; Manso, J.E.F.; Rodrigues, M.P.M.; Monteiro, M.L.R.; Alves, M.R.; Louzada, R.N. Low-level red-light therapy for myopia control in children: A systematic review and meta-analysis. Clinics 2024, 79, 100375. [Google Scholar] [CrossRef] [PubMed]
- Chaves Filho, C.D.C.; Dantas, D.O.; Neto, F.C.C.; Amaral, D.C.; Louzada, R.N.; Alves, M.R. Evaluation of Refraction Outcomes From the QuickSee Wavefront Autorefractor Versus Subjective Clinical Refractometry in Children With Restricted Access to Eye Care in Amazonas, Brazil. Cureus 2024, 16, e69945. [Google Scholar] [CrossRef] [PubMed]
- de Castro Neto, F.C.; Louzada, R.N.; Dantas, D.O.; Amaral, D.C.; Chaves Filho, C.D.C.; Alves, M.R. Evaluation of Portable, Low-Cost Autorefractor in School Students with Limited Eye Care Access in Northeastern Brazil. Vision 2025, 9, 17. [Google Scholar] [CrossRef] [PubMed]
- Joseph, S.; Varadaraj, V.; Dave, S.R.; Lage, E.; Lim, D.; Aziz, K.; Dudgeon, S.; Ravilla, T.D.; Friedman, D.S. Investigation of the Accuracy of a Low-Cost, Portable Autorefractor to Provide Well-Tolerated Eyeglass Prescriptions: A Randomized Crossover Trial. Ophthalmology 2021, 128, 1672–1680. [Google Scholar] [CrossRef]
- Naeser, K.; Hjortdal, J. Multivariate analysis of refractive data: Mathematics and statistics of spherocylinders. J. Cataract. Refract. Surg. 2001, 27, 129–142. [Google Scholar] [CrossRef]
- Hashemi, H.; Fotouhi, A.; Yekta, A.; Pakzad, R.; Ostadimoghaddam, H.; Khabazkhoob, M. Global and regional estimates of prevalence of refractive errors: Systematic review and meta-analysis. J. Curr. Ophthalmol. 2018, 30, 3–22. [Google Scholar] [CrossRef]
- World Health Organization (WHO). Blindness and Visual Impairment; World Health Organization: Geneva, Switzerland, 2023. [Google Scholar]
- Sengo, D.B.; Dos Santos, I.I.D.B.; Faquihe, M.F.; Tomo, H.B.J.F.; Muaprato, A.M.; Puchar, S.; Lôbo, G.M.R.J.; López-Izquierdo, I.; Caballero, P. The Prevalence of Visual Impairment and Refractive Errors among a Youth Population in Mozambique: Evidence of the Need for Intervention. Children 2021, 8, 892. [Google Scholar] [CrossRef]
- Chandra, S.R. Global blindness: VISION 2020: The right to sight. Arch. Ophthalmol. 2008, 126, 1457. [Google Scholar] [CrossRef]
- Gil, A.; Hernández, C.S.; Pérez-Merino, P.; Rubio, M.; Velarde, G.; Abellanas-Lodares, M.; Román-Daza, Á.; Alejandre, N.; Jiménez-Alfaro, I.; Casares, I.; et al. Assesment of the QuickSee wavefront autorefractor for characterizing refractive errors in school-age children. PLoS ONE 2020, 15, e0240933. [Google Scholar] [CrossRef]
- Rubio, M.; Hernández, C.S.; Seco, E.; Perez-Merino, P.; Casares, I.; Dave, S.R.; Lim, D.; Durr, N.J.; Lage, E. Validation of an Affordable Handheld Wavefront Autorefractor. Optom. Vis. Sci. 2019, 96, 726–732. [Google Scholar] [CrossRef]
- Bennett, J.R.; Stalboerger, G.M.; Hodge, D.O.; Schornack, M.M. Comparison of refractive assessment by wavefront aberrometry, autorefraction, and subjective refraction. J. Optom. 2015, 8, 109–115. [Google Scholar] [CrossRef]
- Arslantürk Eren, M.; Nalcı Baytaroğlu, H.; Atilla, H. Comparison of Spot Vision Screener and Tabletop Autorefractometer with Retinoscopy in the Pediatric Population. Turk. J. Ophthalmol. 2024, 54, 56–62. [Google Scholar] [CrossRef]
- Lei, Y.; Chen, X.; Cheng, M.; Li, B.; Jiang, Y.; Xu, Y.; Wang, X. Comparisons of objective and subjective refraction with and without cycloplegia using binocular wavefront optometer with autorefraction and retinoscopy in school-age children. Graefes Arch. Clin. Exp. Ophthalmol. 2023, 261, 1465–1472. [Google Scholar] [CrossRef]
- Kaphle, D.; Varnas, S.R.; Schmid, K.L.; Suheimat, M.; Leube, A.; Atchison, D.A. Accommodation lags are higher in myopia than in emmetropia: Measurement methods and metrics matter. Ophthalmic Physiol. Opt. 2022, 42, 1103–1114. [Google Scholar] [CrossRef] [PubMed]
- Gil, A.; Hernández, C.S.; Nam, A.S.; Varadaraj, V.; Durr, N.J.; Lim, D.; Dave, S.R.; Lage, E. Predicting subjective refraction with dynamic retinal image quality analysis. Sci. Rep. 2022, 12, 3714. [Google Scholar] [CrossRef] [PubMed]
- Bamdad, S.; Momeni-Moghaddam, H.; Abdolahian, M.; Piñero, D.P. Agreement of wavefront-based refraction, dry and cycloplegic autorefraction with subjective refraction. J. Optom. 2022, 15, 100–106. [Google Scholar] [CrossRef] [PubMed]
- Musa, M.J.; Zeppieri, M. Principles and Technique of Fogging During Subjective Refraction; StatPearls: Treasure Island, FL, USA, 2023. [Google Scholar]
- Loayza, A.; Lewis, A.; Chamberlin, S.; Trivedi, R.; Wolf, B.; Peterseim, M.M. Evaluation of the PlenOptika QuickSee Free Portable Autorefractor in Schools in The Gambia. J. Pediatr. Ophthalmol. Strabismus 2025, 62, 122–127. [Google Scholar] [CrossRef]
- Arnold, R.W.; Donahue, S.P.; Silbert, D.I.; Longmuir, S.Q.; Bradford, G.E.; Peterseim, M.M.W.; Hutchinson, A.K.; O’Neil, J.W.; de Alba Campomanes, A.G.; Pineles, S.L.; et al. AAPOS uniform guidelines for instrument-based pediatric vision screen validation 2021. J. Am. Assoc. Pediatr. Ophthalmol. Strabismus 2022, 26, 1.e1–1.e6. [Google Scholar] [CrossRef]
- Choi, B.C. Slopes of a receiver operating characteristic curve and likelihood ratios for a diagnostic test. Am. J. Epidemiol. 1998, 148, 1127–1132. [Google Scholar] [CrossRef] [PubMed]
- Ruiz Alves, M.; Temporini, E.R.; Kara-José, N. Ophthalmological evaluation of schoolchildren of the public educational system of the city of São Paulo, Brazil: Medical and social aspects. Arq. Bras. Oftalmol. 2000, 63, 359–363. [Google Scholar] [CrossRef]



| Variables | Mean ± SD 1 | Median | Min | Max | |
|---|---|---|---|---|---|
| QSF * | SC 2 | −0.66 ± 1.70 | −1.00 | −3.75 | 3.75 |
| CC 3 | −0.83 ± 0.75 | −0.50 | −3.75 | 0.00 | |
| CA 4 | 9.53 ± 54.06 | 6.00 | −89 | 90 | |
| SE 5 | −1.08 ± 1.67 | −1.19 | −4.25 | 3.38 | |
| MV90 6 | 0.10 ± 0.51 | 0.00 | −0.99 | 1.78 | |
| MV135 7 | 0.04 ± 0.22 | 0.03 | −0.58 | 0.86 |
| Variables | Mean ± SD 1 | Median | Min | Max | |
|---|---|---|---|---|---|
| SCR * | SC 2 | 0.42 ± 1.32 | 0.00 | −2.50 | 2.75 |
| CC 3 | −0.71 ± 0.63 | −0.50 | −3.50 | 0 | |
| CA 4 | 17.09 ± 48.40 | 7.50 | −85 | 90 | |
| SE 5 | 0.07 ± 1.38 | −0.25 | −2.50 | 2.50 | |
| MV90 6 | 0.10 ± 0.41 | 0.00 | −0.74 | 1.75 | |
| MV135 7 | 0.06 ± 0.21 | 0.02 | −0.47 | 0.96 |
| Variables | Mean ± SD 1 | Median | IC 95% | p-Value | |
|---|---|---|---|---|---|
| QSF-SCR * | SC 2 | −1.08 ± 1.17 | −1.00 | −1.37...−1.00 | <0.0001 * |
| CC 3 | −0.13 ± 0.63 | 0.00 | −0.25...0.00 | 0.0365 * | |
| CA 4 | −4.96 ± 42.18 | −1.00 | −8.00...+2.50 | 0.3532 | |
| SE 5 | −1.15 ± 1.15 | −1.12 | −1.31...−0.94 | <0.0001 | |
| MV90 6 | 0.00 ± 0.44 | 0.00 | −0.05...+0.07 | 0.7271 | |
| MV135 7 | −0.02 ± 0.21 | −0.03 | −0.05...+0.01 | 0.2896 |
| Variables | Mean ± SD 1 | Median | IC 95% | p-Value | |
|---|---|---|---|---|---|
| QSF-SCR * | SC 2 | −0.81 ± 1.07 | −0.75 | −1.12...−0.63 | <0.0001 |
| CC 3 | −0.05 ± 0.61 | 0.00 | −0.13...0.00 | 0.0850 | |
| CA 4 | −14.70 ± 60.40 | 0.00 | −17.50...+2.00 | 0.2896 | |
| SE 5 | −0.83 ± 1.02 | −0.62 | −1.00...−0.63 | <0.0001 * | |
| MV90 6 | −0.02 ± 0.35 | −0.01 | −0.06...+0.04 | 0.6830 | |
| MV135 7 | −0.03 ± 0.26 | 0.00 | −0.06...+0.03 | 0.5037 |
Disclaimer/Publisher’s Note: The statements, opinions and data contained in all publications are solely those of the individual author(s) and contributor(s) and not of MDPI and/or the editor(s). MDPI and/or the editor(s) disclaim responsibility for any injury to people or property resulting from any ideas, methods, instructions or products referred to in the content. |
© 2025 by the authors. Licensee MDPI, Basel, Switzerland. This article is an open access article distributed under the terms and conditions of the Creative Commons Attribution (CC BY) license (https://creativecommons.org/licenses/by/4.0/).
Share and Cite
Tayah, D.; Louzada, R.N.; Magalhães, P.L.M.; Tayah, Y.; Amaral, D.C.; Shato, C.W.M.; Dantas, D.O.; Alves, M.R. Clinical Evaluation of an Affordable Handheld Wavefront Autorefractor in an Adult Population in a Low-Resource Setting in the Amazonas. Vision 2025, 9, 94. https://doi.org/10.3390/vision9040094
Tayah D, Louzada RN, Magalhães PLM, Tayah Y, Amaral DC, Shato CWM, Dantas DO, Alves MR. Clinical Evaluation of an Affordable Handheld Wavefront Autorefractor in an Adult Population in a Low-Resource Setting in the Amazonas. Vision. 2025; 9(4):94. https://doi.org/10.3390/vision9040094
Chicago/Turabian StyleTayah, David, Ricardo Noguera Louzada, Pedro Lucas Machado Magalhães, Youssef Tayah, Dillan Cunha Amaral, Chow Wang Ming Shato, Daniel Oliveira Dantas, and Milton Ruiz Alves. 2025. "Clinical Evaluation of an Affordable Handheld Wavefront Autorefractor in an Adult Population in a Low-Resource Setting in the Amazonas" Vision 9, no. 4: 94. https://doi.org/10.3390/vision9040094
APA StyleTayah, D., Louzada, R. N., Magalhães, P. L. M., Tayah, Y., Amaral, D. C., Shato, C. W. M., Dantas, D. O., & Alves, M. R. (2025). Clinical Evaluation of an Affordable Handheld Wavefront Autorefractor in an Adult Population in a Low-Resource Setting in the Amazonas. Vision, 9(4), 94. https://doi.org/10.3390/vision9040094

