Optimization of Betalain Pigments Extraction Using Beetroot by-Products as a Valuable Source
Abstract
1. Introduction
2. Materials and Methods
2.1. Reagents and Chemicals
2.2. Beetroot Peels Powder
2.3. Conventional Solvent Extraction
2.4. Determination of Total Betalains (TB) Content
2.5. Determination of Total Polyphenol Content (TPC)
2.6. Statistical Analysis
2.7. Experimental Design
3. Results
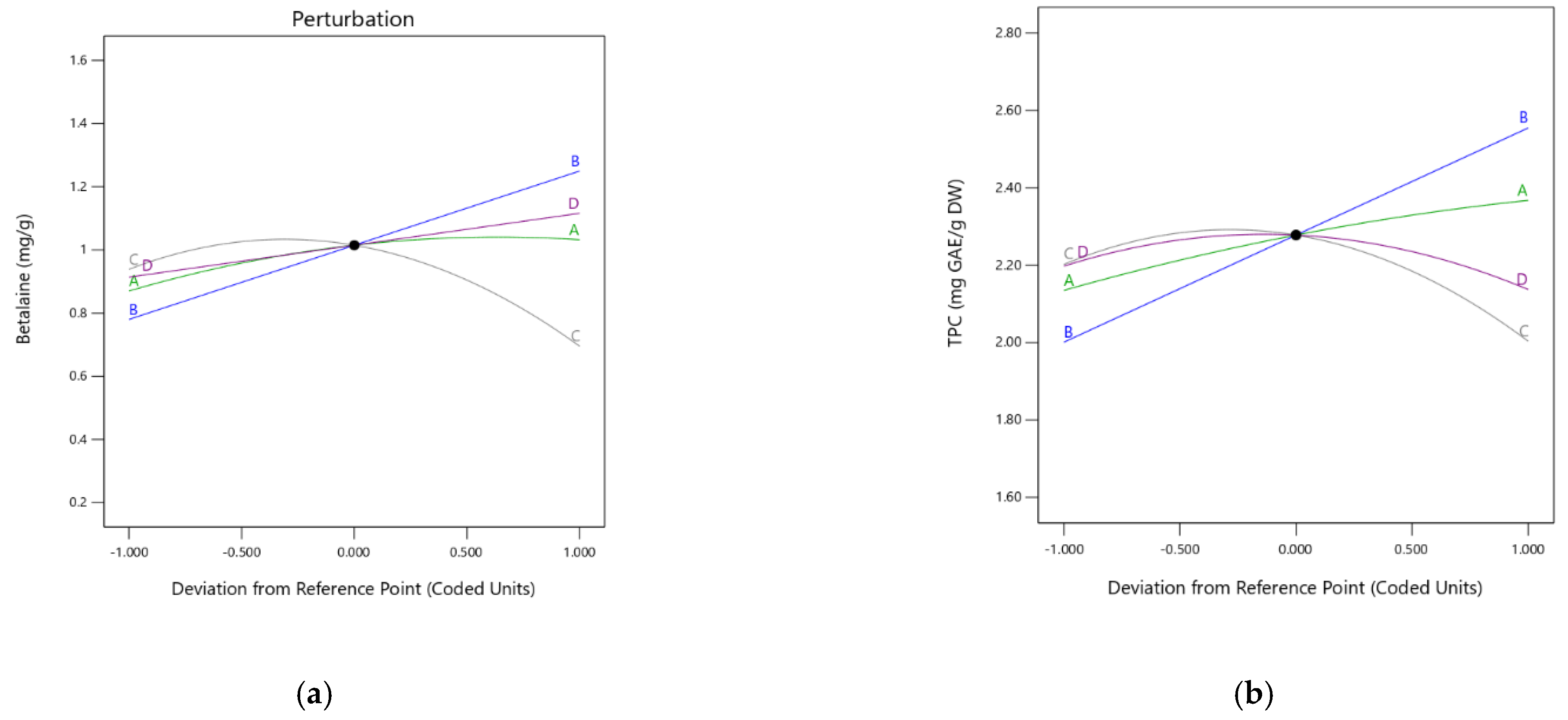
3.1. The Influence of Extraction Parameters on BT
3.2. The Influence of Extraction Parameters on TPC
3.3. Optimization and Validation of Extraction Parameters
4. Discussion
5. Conclusions
Author Contributions
Funding
Institutional Review Board Statement
Informed Consent Statement
Data Availability Statement
Acknowledgments
Conflicts of Interest
References
- Chawla, H.; Parle, M.; Sharma, K.; Yadav, M. Beetroot: A Health Promoting Functional Food. Inventi Rapid Nutraceuticals 2015, 2016, 0976–3872. [Google Scholar]
- Wruss, J.; Waldenberger, G.; Huemer, S.; Uygun, P.; Lanzerstorfer, P.; Muller, U.; Hoglinger, O.; Weghuber, J. Compositional characteristics of commercial beetroot products and beetroot juice prepared from seven beetroot varieties grown in Upper Austria. J. Food Compos. Anal. 2015, 42, 46–55. [Google Scholar] [CrossRef]
- Neha, P.; Jain, S.K.; Jain, N.K.; Jain, H.K.; Mittal, H.K. Chemical and Functional Properties of Beetroot (Beta vulgaris L.) for Product Development: A Review. Int. J. Chem. Stud. 2018, 6, 3190–3194. [Google Scholar]
- Wootton-Beard, P.C.; Ryan, L. A Beetroot Juice Shot Is a Significant and Convenient Source of Bioaccessible Antioxidants. J. Funct. Foods 2011, 3, 329–334. [Google Scholar] [CrossRef]
- Vorobiev, E.; Chemat, F. Principles of Physically Assisted Extractions and Applications in the Food, Beverage and Nutraceutical Industries. In Separation, Extraction and Concentration Processes in the Food, Beverage and Nutraceutical Industries; Syed, S.H., Rizvi, A., Eds.; Woodhead Publishing: Sawston, UK, 2013; pp. 71–108. [Google Scholar]
- Liu, X.; Gao, Y.; Xu, H.; Wang, Q.; Yang, B. Impact of High-Pressure Carbon Dioxide Combined with Thermal Treatment on Degradation of Red Beet (Beta vulgaris L.) Pigments. J. Agric. Food Chem. 2008, 56, 6480–6487. [Google Scholar] [CrossRef] [PubMed]
- Albano, C.; Negro, C.; Tommasi, N.; Gerardi, C.; Mita, G.; Miceli, A.; De Bellis, L.; Blando, F. Betalains, Phenols and Antioxidant Capacity in Cactus Pear [Opuntia ficus-indica (L.) Mill.] Fruits from Apulia (South Italy) Genotypes. Antioxidants 2015, 4, 269–280. [Google Scholar] [CrossRef]
- Ravichandran, K.; Saw, N.M.M.T.; Mohdaly, A.A.A.; Gabr, A.M.M.; Kastell, A.; Riedel, H.; Cai, Z.; Knorr, D.; Smetanska, I. Impact of Processing of Red Beet on Betalain Content and Antioxidant Activity. Food Res. Int. 2013, 50, 670–675. [Google Scholar] [CrossRef]
- Kumar, N.; Pruthi, V. Potential Applications of Ferulic Acid from Natural Sources. Biotechnol. Rep. 2014, 4, 86–93. [Google Scholar] [CrossRef]
- Hobbs, D.A.; George, T.W.; Lovegrove, J.A. The Effects of Dietary Nitrate on Blood Pressure and Endothelial Function: A Review of Human Intervention Studies. Nutr. Res. Rev. 2013, 26, 210–222. [Google Scholar] [CrossRef]
- Vidal, P.J.; López-Nicolás, J.M.; Gandía-Herrero, F.; García-Carmona, F. Inactivation of Lipoxygenase and Cyclooxygenase by Natural Betalains and Semi-Synthetic Analogues. Food Chem. 2014, 154, 246–254. [Google Scholar] [CrossRef] [PubMed]
- Faridah, A.; Holinesti, R.; Syukri, D. Betalains from Red Pitaya Peel (Hylocereus polyrhizus): Extraction, Spectrophotometric and HPLC-DAD Identification, Bioactivity and Toxicity Screening. Pak. J. Nutr. 2015, 14, 976–982. [Google Scholar] [CrossRef]
- Kusznierewicz, B.; Mróz, M.; Koss-Mikołajczyk, I.; Namieśnik, J. Comparative Evaluation of Different Methods for Determining Phytochemicals and Antioxidant Activity in Products Containing Betalains—Verification of Beetroot Samples. Food Chem. 2021, 362, 130132. [Google Scholar] [CrossRef]
- Azmir, J.; Zaidul, I.S.M.; Rahman, M.M.; Sharif, K.M.; Mohamed, A.; Sahena, F.; Jahurul, M.H.A.; Ghafoor, K.; Norulaini, N.A.N.; Omar, A.K.M. Techniques for Extraction of Bioactive Compounds from Plant Materials: A Review. J. Food Eng. 2013, 117, 426–436. [Google Scholar] [CrossRef]
- Ramli, N.S.; Ismail, P.; Rahmat, A. Influence of Conventional and Ultrasonic-Assisted Extraction on Phenolic Contents, Betacyanin Contents, and Antioxidant Capacity of Red Dragon Fruit (Hylocereus polyrhizus). Sci. World J. 2014, 2014, 964731. [Google Scholar] [CrossRef] [PubMed]
- Hilou, A.; Millogo-Rasolodimby, J.; Nacoulma, O.G. Betacyanins are the most relevant antioxidant molecules of Amaranthus spinosus and Boerhavia erecta. J. Med. Plants Res. 2013, 7, 645–652. [Google Scholar]
- Fu, Y.; Shi, J.; Xie, S.-Y.; Zhang, T.-Y.; Soladoye, O.P.; Aluko, R.E. Red Beetroot Betalains: Perspectives on Extraction, Processing, and Potential Health Benefits. J. Agric. Food Chem. 2020, 68, 11595–11611. [Google Scholar] [CrossRef] [PubMed]
- Castro-Enríquez, D.D.; Montaño-Leyva, B.; Del Toro-Sánchez, C.L.; Juaréz-Onofre, J.E.; Carvajal-Millan, E.; Burruel-Ibarra, S.E.; Tapia-Hernández, J.A.; Barreras-Urbina, C.G.; Rodríguez-Félix, F. Stabilization of Betalains by Encapsulation—A Review. J. Food Sci. Technol. 2020, 57, 1587–1600. [Google Scholar] [CrossRef]
- Zin, M.M.; Borda, F.; Márki, E.; Bánvölgyi, S. Betalains, Total Polyphenols, and Antioxidant Contents in Red Beetroot Peel (Cylindra Type). Prog. Agric. Eng. Sci. 2021, 16, 27–36. [Google Scholar]
- Chhikara, N.; Kushwaha, K.; Sharma, P.; Gat, Y.; Panghal, A. Bioactive Compounds of Beetroot and Utilization in Food Processing Industry: A Critical Review. Food Chem. 2019, 272, 192–200. [Google Scholar] [CrossRef]
- Das, M.; Saeid, A.; Hossain, M.F.; Jiang, G.-H.; Eun, J.B.; Ahmed, M. Influence of Extraction Parameters and Stability of Betacyanins Extracted from Red Amaranth during Storage. J. Food Sci. Technol. 2019, 56, 643–653. [Google Scholar] [CrossRef]
- Tang, C.S.; Norziah, M.N. Stability of Betacyanin Pigments from Red Purple Pitaya Fruit (Hylocereus polyrhizus): Influence of pH, Temperature, Metal Ions and Ascorbic Acid. Indones. J. Chem. 2007, 7, 327–331. [Google Scholar] [CrossRef]
- Sanchez-Gonzalez, N.; Jaime-Fonseca, M.R.; San Martin-Martinez, E.; Zepeda, L.G. Extraction, Stability, and Separation of Betalains from Opuntia Joconostle Cv. Using Response Surface Methodology. J. Agric. Food Chem. 2013, 61, 11995–12004. [Google Scholar] [CrossRef] [PubMed]
- Latorre, M.E.; Narvaiz, P.; Rojas, A.M.; Gerschenson, L.N. Effects of Gamma Irradiation on Bio-Chemical and Physico-Chemical Parameters of Fresh-Cut Red Beet (Beta vulgaris L. var. conditiva) Root. J. Food Eng. 2010, 98, 178–191. [Google Scholar] [CrossRef]
- Thirugnanasambandham, K.; Sivakumar, V. Influence of Process Conditions on the Physicochemical Properties of Pomegranate Juice in Spray Drying Process: Modelling and Optimization. J. Saudi Soc. Agric. Sci. 2017, 16, 358–366. [Google Scholar] [CrossRef]
- Krsnik-Rasol, M.; Pavoković, D. Complex Biochemistry and Biotechnological Production of Betalains. Food Technol. Biotechnol. 2011, 49, 145–155. [Google Scholar]
- Lee, E.J.; An, D.; Nguyen, C.T.T.; Patil, B.S.; Kim, J.; Yoo, K.S. Betalain and Betaine Composition of Greenhouse- or Field-Produced Beetroot (Beta vulgaris L.) and Inhibition of HepG2 Cell Proliferation. J. Agric. Food Chem. 2014, 62, 1324–1331. [Google Scholar] [CrossRef]
- Slatnar, A.; Stampar, F.; Veberic, R.; Jakopic, J. HPLC-MSnIdentification of Betalain Profile of Different Beetroot (Beta vulgaris L. Ssp. vulgaris) Parts and Cultivars. J. Food Sci. 2015, 80, C1952–C1958. [Google Scholar] [CrossRef]
- Ninfali, P.; Angelino, D. Nutritional and Functional Potential of Beta vulgaris cicla and rubra. Fitoterapia 2013, 89, 188–199. [Google Scholar] [CrossRef]
- Kavalcová, P.; Bystrická, J.; Tomáš, J.; Karovičová, J.; Kovarovič, J.; Lenková, M. The Content of Total Polyphenols and Antioxidant Activity in Red Beetroot. Potravin. Slovak J. Food Sci. 2015, 9, 77–83. [Google Scholar] [CrossRef]
- Kovarovič, J.; Bystrická, J.; Tomáš, J.; Lenková, M. The Influence of Variety on the Content of Bioactive Compounds in Beetroot (Beta vulgaris L.). Potravin. Slovak J. Food Sci. 2017, 11, 106–112. [Google Scholar] [CrossRef][Green Version]
- Yasaminshirazi, K.; Hartung, J.; Fleck, M.; Graeff-Hoenninger, S. Bioactive Compounds and Total Sugar Contents of Different Open-Pollinated Beetroot Genotypes Grown Organically. Molecules 2020, 25, 4884. [Google Scholar] [CrossRef] [PubMed]




| Code | Independent Variables | Units | Minimum | Maximum | Coded Low | Coded High |
|---|---|---|---|---|---|---|
| A | Citric acid | % | 0.03 | 1.98 | −1 ↔ 0.10 | +1 ↔ 1.50 |
| B | Ethanol | % | 9.77 | 60.23 | −1 ↔ 20.00 | +1 ↔ 50.00 |
| C | Temperature | °C | 2.96 | 87.04 | −1 ↔ 20.00 | +1 ↔ 60.00 |
| D | Time | min | 3.07 | 61.93 | −1 ↔ 15.00 | +1 ↔ 50.00 |
| Run | Factor 1 A: Citric Acid % | Factor 2 B: Ethanol % | Factor 3 C: Temperature °C | Factor 4 D: Time min | Response 1 Betalains mg/g DW | Response 2 TPC mg GAE/g DW |
|---|---|---|---|---|---|---|
| 1 | 0.80 | 35.00 | 40.00 | 3.07 | 0.80 | 2.02 |
| 2 | 0.80 | 35.00 | 40.00 | 32.50 | 0.98 | 2.30 |
| 3 | 1.98 | 35.00 | 40.00 | 32.50 | 1.03 | 2.38 |
| 4 | 0.10 | 50.00 | 20.00 | 50.00 | 0.88 | 2.12 |
| 5 | 0.10 | 50.00 | 60.00 | 50.00 | 0.70 | 1.92 |
| 6 | 1.50 | 20.00 | 20.00 | 50.00 | 0.85 | 2.00 |
| 7 | 1.50 | 20.00 | 60.00 | 50.00 | 0.62 | 1.80 |
| 8 | 0.80 | 35.00 | 6.36 | 32.50 | 0.65 | 1.89 |
| 9 | 0.80 | 35.00 | 40.00 | 32.50 | 1.02 | 2.28 |
| 10 | 1.50 | 50.00 | 60.00 | 15.00 | 0.76 | 1.96 |
| 11 | 0.10 | 20.00 | 20.00 | 15.00 | 0.78 | 2.05 |
| 12 | 0.80 | 35.00 | 73.64 | 32.50 | 0.29 | 1.64 |
| 13 | 0.03 | 35.00 | 40.00 | 32.50 | 0.67 | 1.99 |
| 14 | 0.80 | 60.23 | 40.00 | 32.50 | 1.44 | 2.74 |
| 15 | 0.80 | 35.00 | 40.00 | 61.93 | 1.14 | 1.87 |
| 16 | 1.50 | 50.00 | 20.00 | 15.00 | 0.99 | 2.22 |
| 17 | 0.80 | 35.00 | 40.00 | 32.50 | 1.10 | 2.26 |
| 18 | 0.80 | 9.77 | 40.00 | 32.50 | 0.65 | 1.81 |
| 19 | 0.10 | 20.00 | 60.00 | 15.00 | 0.36 | 1.77 |
| Total Betalains (TB) Content | Total Polyphenol Content (TPC) | |||||||||
|---|---|---|---|---|---|---|---|---|---|---|
| Source | Sum of Squares | df | Mean Square | F-Value | p-Value | Sum of Squares | df | Mean Square | F-Value | p-Value |
| Model | 1.30 | 8 | 0.1625 | 39.84 | <0.0001 a | 1.22 | 9 | 0.1356 | 80.87 | <0.0001 |
| A-Citric acid | 0.0898 | 1 | 0.0898 | 22.02 | 0.0009 | 0.0765 | 1 | 0.0765 | 45.61 | <0.0001 |
| B-Ethanol | 0.3120 | 1 | 0.3120 | 76.50 | <0.0001 | 0.4336 | 1 | 0.4336 | 258.56 | <0.0001 |
| C-Temperature | 0.2026 | 1 | 0.2026 | 49.67 | <0.0001 | 0.1340 | 1 | 0.1340 | 79.93 | <0.0001 |
| D-Time | 0.0578 | 1 | 0.0578 | 14.17 | 0.0037 | 0.0125 | 1 | 0.0125 | 7.44 | 0.0233 |
| AB | 0.0213 | 1 | 0.0213 | 5.23 | 0.0453 | 0.1383 | 1 | 0.1383 | 82.49 | <0.0001 |
| AD | 0.0687 | 1 | 0.0687 | 16.85 | 0.0021 | 0.0345 | 1 | 0.0345 | 20.58 | 0.0014 |
| A2 | 0.0567 | 1 | 0.0567 | 13.90 | 0.0039 | 0.0097 | 1 | 0.0097 | 5.77 | 0.0397 |
| C2 | 0.5475 | 1 | 0.5475 | 134.20 | <0.0001 | 0.4186 | 1 | 0.4186 | 249.63 | <0.0001 |
| D2 | - | - | - | - | - | 0.1666 | 1 | 0.1666 | 99.38 | <0.0001 |
| Residual | 0.0408 | 10 | 0.0041 | 0.0151 | 9 | 0.0017 | ||||
| Lack of Fit | 0.0333 | 8 | 0.0042 | 1.12 | 0.5545 b | 0.0145 | 7 | 0.0021 | 7.58 | 0.1215 |
| Pure Error | 0.0075 | 2 | 0.0037 | 0.0005 | 2 | 0.0003 | ||||
| Cor Total | 1.34 | 18 | 1.24 | 18 | ||||||
| Dependent Variable | Predicted Value | 95% Confidence Intervals | Experimental Value |
|---|---|---|---|
| BT (mg/g DW) | 1.15 | 1.06–1.25 | 1.20 |
| TPC (mg GAE/g DW) | 2.44 | 2.39–2.49 | 2.39 |
Publisher’s Note: MDPI stays neutral with regard to jurisdictional claims in published maps and institutional affiliations. |
© 2021 by the authors. Licensee MDPI, Basel, Switzerland. This article is an open access article distributed under the terms and conditions of the Creative Commons Attribution (CC BY) license (https://creativecommons.org/licenses/by/4.0/).
Share and Cite
Lazăr, S.; Constantin, O.E.; Stănciuc, N.; Aprodu, I.; Croitoru, C.; Râpeanu, G. Optimization of Betalain Pigments Extraction Using Beetroot by-Products as a Valuable Source. Inventions 2021, 6, 50. https://doi.org/10.3390/inventions6030050
Lazăr S, Constantin OE, Stănciuc N, Aprodu I, Croitoru C, Râpeanu G. Optimization of Betalain Pigments Extraction Using Beetroot by-Products as a Valuable Source. Inventions. 2021; 6(3):50. https://doi.org/10.3390/inventions6030050
Chicago/Turabian StyleLazăr (Mistrianu), Silvia, Oana Emilia Constantin, Nicoleta Stănciuc, Iuliana Aprodu, Constantin Croitoru, and Gabriela Râpeanu. 2021. "Optimization of Betalain Pigments Extraction Using Beetroot by-Products as a Valuable Source" Inventions 6, no. 3: 50. https://doi.org/10.3390/inventions6030050
APA StyleLazăr, S., Constantin, O. E., Stănciuc, N., Aprodu, I., Croitoru, C., & Râpeanu, G. (2021). Optimization of Betalain Pigments Extraction Using Beetroot by-Products as a Valuable Source. Inventions, 6(3), 50. https://doi.org/10.3390/inventions6030050

