Improved Strategies for the Maritime Industry to Target Vessels for Inspection and to Select Inspection Priority Areas
Abstract
1. Introduction
2. Data and Methodology
- Step 1: Estimation of Risk Formulas
- Step 2: Estimate Probabilities Using Data Feeds from 2018
- Step 3: Calculate Percentile Ranks
- Step 4: Validate Targeting Methods Using Empirical Data from 2018
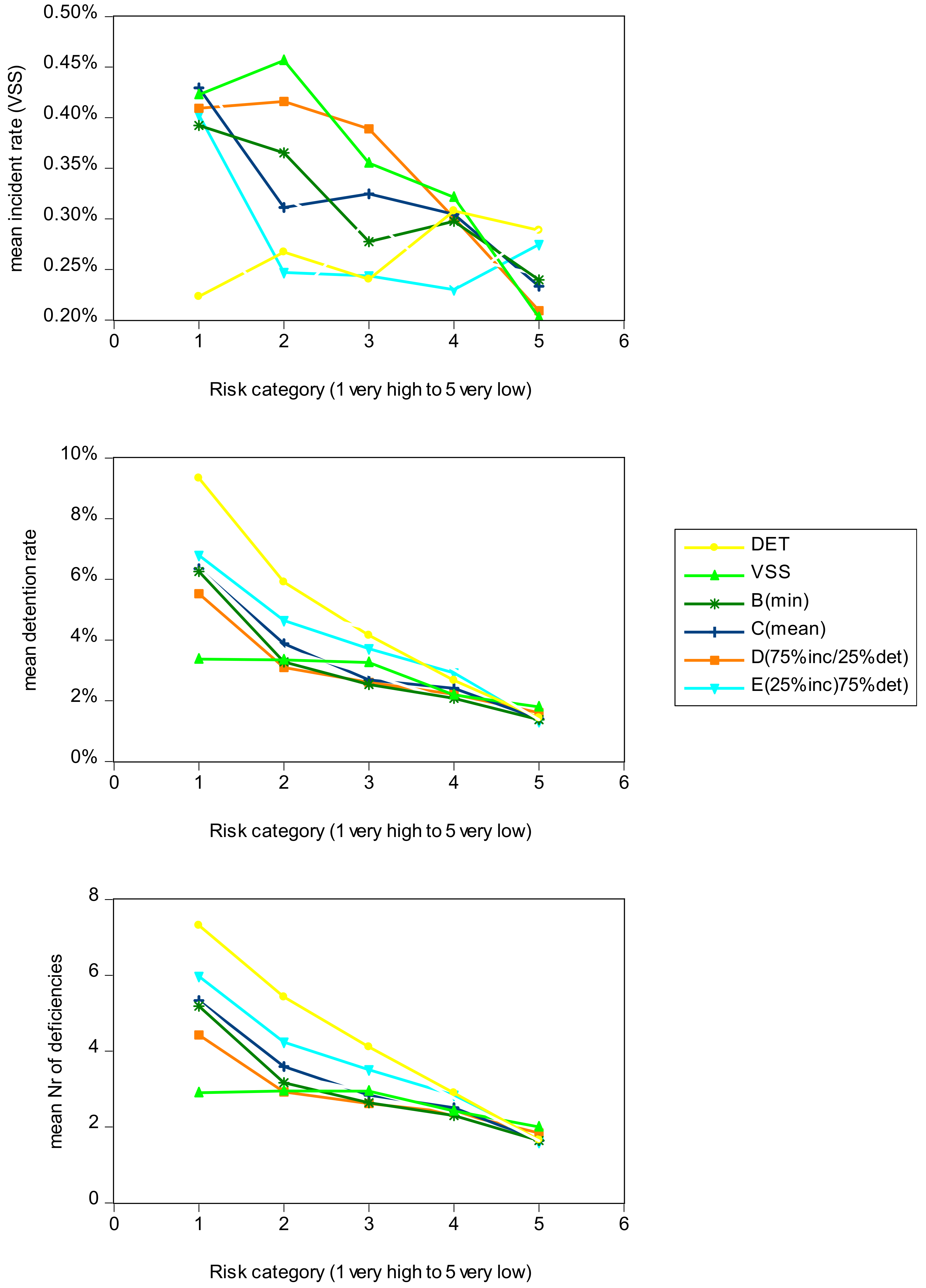
3. Evaluation of Targeting Methods
- P1: Probabilities estimated as of late Dec 2017—empirical data from Jan to March 2018;
- P2: Probabilities estimated as of late March 2018—empirical data from April to June 2018;
- P3: Probabilities estimated as of late June 2018—empirical data from July to Sept 2018;
- P4: Probabilities estimated as of late Sept 2018—empirical data from Oct to Dec 2018.
4. Application Example for Inspectors
- Step 1: Use risk formulas that are updated every three to five years to estimate ship-specific probabilities based on up-to-date data feeds that are received daily or weekly.
- Step 2: Calculate percentile ranks relative to the relevant benchmark sample (e.g., global fleet or vessels that visited the relevant region during the last three or five years) and classify vessels into risk categories. Consider inspection priority risk areas to focus inspection activities and to possibly further improve selection of vessels for inspection.
- Step 3: Combine the outcomes of Steps 1 and 2 with expected arrival data in a particular port or wider area of interest and plan the inspection visits based on priorities and capacities, taking the data-driven outcome as guidance. To finalize the inspection planning, use other available intelligence and expert knowledge, for instance, knowledge about specific companies or vessels known to inspectors or the region, market economic conditions, or new legislative requirements.
- Vessel 1 experienced a steering gear failure and stranded in February 2018. The percentile ranks for engine related failure is high (87.81) and drift grounding is medium (73.53). It arrived in port in January 2018 but was not inspected.
- Vessel 3 experienced main engine failures and was towed to port in late June 2018. The percentile rank for engine failure is high (80.87). It arrived three times in port (April, May and June) but was not selected for inspection.
- Vessel 4 experienced main engine failure and piston crown damage in late April 201. Its percentile rank for engine failure is high (85.20). It arrived in port four times prior to within 90 days of the incident and was not inspected.
- Vessel 8 experienced loss of life by mid Sept 2018. Percentile ranks of all methods are very high (above 90, and 94.71 for loss of life). It arrived in port twice in August, the last time just two weeks before the incident, but was not selected for inspection.
- Vessel 10 ran aground late in November 2018, was re-floated and departed. It has very high percentile ranks for drift grounding (97.41) and hull related failures (95.32). It arrived in port twice before the incident and was not inspected.
- Vessel 11 experienced engine problems late in October 2018. While its percentile rank of engine failure is low, the one for drift grounding is medium (78.15).
5. Discussion and Conclusions
Author Contributions
Funding
Acknowledgments
Conflicts of Interest
Appendix A
| Incident Matrix | Detention Matrix | Count Data Feeds | ||||
| (2010 to 2014) | (2010 to 2014) | Per Quarter (2018) | ||||
| Ship Type | Nr Vessels | VSS | Nr Vessels | Detained | Indiv. IMO | % total |
| general cargo | 98,626 | 2,428 | 55,327 | 3,673 | 17,576 | 23.8% |
| dry bulk | 51,250 | 1,340 | 38,071 | 1,524 | 11,623 | 15.7% |
| container | 25,435 | 730 | 21,042 | 497 | 5,178 | 7.0% |
| tanker | 76,535 | 1,020 | 25,347 | 422 | 16,358 | 22.1% |
| passenger | 34,791 | 1,094 | 5,808 | 120 | 7,142 | 9.7% |
| other ship types | 89,871 | 2,262 | 12,592 | 222 | 16,028 | 21.7% |
| Total | 376,508 | 8,874 | 158,187 | 6,458 | 73,905 | 100.0% |
| Empirical Counts Used for Evaluation - Januar to December 2018 | ||||||
| Incident (VSS) | VSS/det Combined | Detention | ||||
| No | Yes | No | Yes | No | Yes | |
| Ship Type | Count | Count | Count | Count | Count | Count |
| general cargo | 70,019 | 285 | 69,177 | 1,127 | 15,025 | 862 |
| dry bulk | 46,373 | 119 | 45,808 | 684 | 20,570 | 569 |
| container | 20,635 | 77 | 20,465 | 247 | 8,846 | 173 |
| tanker | 65,320 | 112 | 65,136 | 296 | 13,062 | 188 |
| passenger | 28,453 | 115 | 28,432 | 136 | 1,554 | 25 |
| other ship types | 64,064 | 48 | 64,013 | 99 | 1,612 | 51 |
| Total | 294,864 | 756 | 293,031 | 2589 | 60,669 | 1868 |
Appendix B



Appendix C
| Method | Random | DET | VSS | B(min) |
| Very Serious and Serious Incidents (756) | ||||
| Top10 | ||||
| DET | 0.2115 | - | - | - |
| VSS | 0.0016 | 0.0000 | - | - |
| B(min) | 0.0118 | 0.0002 | 0.5158 | - |
| D(75inc/25det) | 0.0020 | 0.0000 | 0.9433 | 0.5628 |
| Top 30 | ||||
| DET | 0.0878 | - | - | - |
| VSS | 0.0000 | 0.0000 | - | - |
| B(min) | 0.0066 | 0.0000 | 0.0064 | - |
| D(75inc/25det) | 0.0000 | 0.0000 | 0.8767 | 0.0040 |
| Detention (1868) | ||||
| Top10 | Random | DET | VSS | B(min) |
| DET | 0.0000 | - | - | - |
| VSS | 0.0000 | 0.7531 | - | - |
| B(min) | 0.0000 | 0.0000 | 0.0000 | - |
| D(75inc/25det) | 0.0000 | 0.0000 | 0.0000 | 0.0001 |
| Top 30 | ||||
| DET | 0.0000 | - | - | - |
| VSS | 0.0000 | 0.1777 | - | - |
| B(min) | 0.0000 | 0.0000 | 0.0000 | - |
| D(75inc/25det) | 0.0000 | 0.0001 | 0.0128 | 0.0000 |
| Detention and Incidents Combined (2589) | ||||
| Top10 | Random | DET | VSS | B(min) |
| DET | 0.0001 | - | - | - |
| VSS | 0.0000 | 0.0894 | - | - |
| B(min) | 0.0000 | 0.0000 | 0.0000 | - |
| D(75inc/25det) | 0.0000 | 0.0000 | 0.0000 | 0.001 |
| Top 30 | ||||
| DET | 0.0000 | - | - | - |
| VSS | 0.0000 | 0.0000 | - | - |
| B(min) | 0.0000 | 0.0000 | 0.0000 | - |
| D(75inc/25det) | 0.0000 | 0.0000 | 0.0278 | 0.0144 |
Appendix D
| Area | COLL | DRFT GRD | POW GRD | FIRE | HULL | LIFE | MENG | POL |
|---|---|---|---|---|---|---|---|---|
| COLL | 1.00 | |||||||
| DRFTGRD | 0.72 | 1.00 | ||||||
| POWGRD | 0.60 | 0.54 | 1.00 | |||||
| FIRE | 0.46 | 0.24 | 0.49 | 1.00 | ||||
| HULL | 0.36 | 0.27 | 0.56 | 0.77 | 1.00 | |||
| LIFE | 0.41 | 0.23 | 0.29 | 0.62 | 0.53 | 1.00 | ||
| MENGINE | 0.67 | 0.85 | 0.43 | 0.17 | 0.13 | 0.23 | 1.00 | |
| POL | 0.38 | 0.21 | 0.32 | 0.49 | 0.54 | 0.64 | 0.20 | 1.00 |
References
- Knapp, S. The Econometrics of Maritime Safety–Recommendations to Improve Safety at Sea; ERIM: Rotterdam, The Netherlands, 2006. [Google Scholar]
- Knapp, S.; Franses, P.H. A global view on port state control: Econometric analysis of the differences across port state control regimes. Marit. Policy Manag. 2007, 34, 453–482. [Google Scholar] [CrossRef]
- Heij, C.; Bijwaard, G.; Knapp, S. Ship inspection strategies: Effects on maritime safety and environmental protection. Transp. Res. Part D Transp. Environ. 2011, 16, 42–48. [Google Scholar] [CrossRef]
- Heij, C.; Knapp, S. Shipping Inspections, Detentions and Accidents: An Empirical Analysis of Risk Dimensions. Marit. Policy Manag. 2019, 47. [Google Scholar]
- Knapp, S.; Franses, P.H. Econometric analysis on the effect of port state control inspections on the probability of casualty. Mar. Policy 2007, 31, 550–563. [Google Scholar] [CrossRef]
- Bijwaard, G.; Knapp, S. Analysis of Ship Life Cycles—The Impact of Economic Cycles and Ship Inspections. Marine Policy 2009, 33, 350–369. [Google Scholar] [CrossRef]
- Perepelkin, M.; Knapp, S.; Perepelkin, G.; De Pooter, M. An improved methodology to measure flag performance for the shipping industry. Mar. Policy 2010, 34, 395–405. [Google Scholar] [CrossRef]
- Cariou, P.; Mejia, M.Q., Jr.; Wolff, F.-C. An econometric analysis of deficiencies noted in port state control inspections. Marit. Policy Manag. 2007, 34, 243–258. [Google Scholar] [CrossRef]
- Cariou, P.; Mejia, M.Q., Jr.; Wolff, F.-C. On the effectiveness of port state control inspections. Transp. Res. Part E: Logist. Transp. Rev. 2008, 44, 491–503. [Google Scholar] [CrossRef]
- Ji, X.; Brinkhuis, J.; Knapp, S. A method to measure enforcement effort in shipping with incomplete information. Mar. Policy 2015, 60, 162–170. [Google Scholar] [CrossRef]
- Heij, C.; Knapp, S. Predictive power of inspection outcomes for future shipping accidents – an empirical appraisal with special attention for human factor aspects. Marit. Policy Manag. 2018, 45, 604–621. [Google Scholar] [CrossRef]
- Chung, W.-H.; Kao, S.-L.; Chang, C.-M.; Yuan, C.-C. Association rule learning to improve deficiency inspection in port state control. Marit. Policy Manag. 2019, 1–20. [Google Scholar] [CrossRef]
- Wang, S.; Yan, R.; Qu, X. Development of a non-parametric classifier: Effective identification, algorithm, and applications in port state control for maritime transportation. Transp. Res. Part B Methodol. 2019, 128, 129–157. [Google Scholar] [CrossRef]
- Li, K.X.; Yin, J.; Fan, L. Ship safety index. Transp. Res. Part A Policy Pr. 2014, 66, 75–87. [Google Scholar] [CrossRef]
- Yang, Z.; Wang, J.; Li, K.X. Maritime safety analysis in retrospect. Marit. Policy Manag. 2013, 40, 261–277. [Google Scholar] [CrossRef]
- Yang, Z.; Yang, Z.; Yin, J. Realising advanced risk-based port state control inspection using data-driven Bayesian networks. Transp. Res. Part A: Policy Pr. 2018, 110, 38–56. [Google Scholar] [CrossRef]
- Luo, M.; Shin, S. Half-century research developments in maritime accidents: Future directions. Accid. Anal. Prev. 2019, 123, 448–460. [Google Scholar] [CrossRef] [PubMed]
- IMO. Reports on Marine Casualties and Incidents—Revised Harmonized Reporting Procedures; IMO Document MSC/Circ. 953, MEPC/Circ. 372; IMO: London, UK, 2000. [Google Scholar]
- Hassel, M.; Asbjørnslett, B.E.; Hole, L.P. Underreporting of maritime accidents to vessel accident databases. Accid. Anal. Prev. 2011, 43, 2053–2063. [Google Scholar] [CrossRef] [PubMed]
- Knapp, S.; Franses, P.H. Econometric analysis to differentiate effects of various ship safety inspections. Mar. Policy 2008, 32, 653–662. [Google Scholar] [CrossRef]
- Knapp, S. An Integrated Risk Estimation Methodology: Ship Specific Incident Type Risk; Econometric Institute Report; Erasmus School of Economics: Rotterdam, The Netherlands, 2013; Available online: http://repub.eur.nl/res/pub/39596/ (accessed on 29 March 2020).
- Bera, A.K.; Greene, W.H. Econometric Analysis. J. Am. Stat. Assoc. 1994, 89, 1567. [Google Scholar] [CrossRef]





| Data Used for: | Time Frame and Number of Observations | Data Types and Sources |
|---|---|---|
| Estimating risk formulas (incident, VSS and 8 incident types) | Jan 2010 to Dec 2014 376,508 total observations 8874 VSS incidents | Ship-particular data from IHSM Global PSC inspection data Global incident data from IMO, IHSM and LLI |
| Estimating risk formulas (detention) | Jan 2010 to Dec 2014 158,187 inspections 6458 detentions | |
| Estimating probabilities (detention and incident types) | Dec 2017 to Sept 2018 73,905 vessels per period 295,620 for 4 periods | Quarterly data feeds of incident, inspection and ship particular data from IMO, IHSM and LLI |
| Validating methods | Jan 2018 to Dec 2018 1868 detentions 756 VSS incidents | Global quarterly incidents and detention feeds (756 incidents when counting incident by quarter by IMO without duplicates, and 817 incidents when counting duplicates) |
| Acronym | Model Type | Use of Model |
|---|---|---|
| DET | Detention | For targeting—to combine with VSS |
| VSS | Incident (very serious and serious) | For targeting—to combine with detention |
| COLL | Collision (VSS) and | Collision and powered groundings are both proxies to passage planning, bridge management, crew qualification |
| POWGRD | Powered grounding (VSS) | |
| ENG | Main engine failures (VSS) and | Engine failures and drift groundings are both proxies to main engine failures, black outs, emergency procedures |
| DRFTGRD | Drift grounding (VSS) | |
| FIRE | Fire and explosion (VSS) | Proxy to fire related aspects, emergency procedures |
| HULL | Hull failure (VSS) | Proxy to maintenance related issues including tanks and water integrity |
| LIFE | Loss of life (VSS) | Proxy to occupational safety, safety management, lifeboats |
| POL | Pollution (VSS) | Proxy to pollution prevention and emergency response |
| Targeting Methods | Description |
|---|---|
| Detention (only) | Vessels are ranked by percentile ranks from detention probabilities only. |
| Incidents (only) | Vessels are ranked by percentile ranks from VSS incident type probability (TLVSS = total loss, very serious and serious). |
| Combined methods – combining percentile ranks of detention and VSS: | |
| Method A (max) | Vessels are ranked by the highest of the two base percentile ranks |
| Method B (min) | Vessels are ranked by the lowest of the two base percentile ranks |
| Method C (weight) | Vessels are ranked by a weight of 50/50 incident to detention |
| Method D (weight) | Vessels are ranked by a weight of 75/25 incident to detention |
| Method E (weight) | Vessels are ranked by a weight of 25/75 incident to detention |
| Risk Category | Percentile Rank | Suggested Target Inspection Coverage |
|---|---|---|
| RC1: Very high risk | 90 to 100 | 100% |
| RC2: High risk | 80 to 89 | 100% |
| RC3: Medium risk | 70 to 79 | 90% |
| RC4: Low risk | 60 to 69 | 10% random selection |
| RC5: Very low risk | 0 to 59 | 5% random selection |
| Evaluation Variable | % Top | Emp. Count | DET | VSS | A | B | C | D | E |
|---|---|---|---|---|---|---|---|---|---|
| VSS | 5 | 756 | 1.0% | −1.6% | 0.0% | −3.2% | −2.7% | −1.8% | −1.6% |
| (295,620) | 10 | 756 | 1.8% | −5.5% | −0.5% | −4.3% | −3.6% | −5.3% | −2.6% |
| 15 | 756 | 2.2% | −8.9% | −1.1% | −6.4% | −6.3% | −7.6% | −3.0% | |
| 20 | 756 | 2.3% | −11.5% | −3.9% | −7.1% | −6.9% | −11.0% | −1.0% | |
| 25 | 756 | 2.9% | −14.0% | −6.2% | −7.4% | −8.1% | −12.7% | −1.2% | |
| 30 | 756 | 3.4% | −14.1% | −6.0% | −7.2% | −8.8% | −14.4% | −1.4% | |
| Detained | 5 | 1868 | −4.2% | −2.0% | −3.0% | −12.0% | −11.8% | −10.3% | −9.8% |
| (62,537) | 10 | 1868 | −5.9% | −5.5% | −4.7% | −19.0% | −17.9% | −13.3% | −15.5% |
| 15 | 1868 | −7.3% | −8.6% | −6.4% | −22.1% | −21.7% | −16.4% | −17.3% | |
| 20 | 1868 | −9.9% | −11.1% | −7.3% | −24.6% | −22.3% | −18.0% | −19.0% | |
| 25 | 1868 | −11.1% | −13.1% | −9.3% | −26.5% | −22.8% | −19.1% | −19.2% | |
| 30 | 1868 | −14.0% | −6.2% | −10.5% | −27.7% | −23.4% | −20.2% | −19.3% | |
| VSS and | 5 | 2589 | −2.7% | −1.8% | −2.2% | −9.4% | −9.1% | −7.7% | −7.4% |
| detained | 10 | 2589 | −3.6% | −5.3% | −3.4% | −14.6% | −13.8% | −10.8% | −11.8% |
| combined | 15 | 2589 | −4.5% | −8.5% | −4.9% | −17.5% | −17.1% | −13.8% | −13.0% |
| (295,620) | 20 | 2589 | −6.3% | −11.0% | −6.1% | −19.6% | −17.8% | −15.9% | −13.6% |
| 25 | 2589 | −7.0% | −13.2% | −8.2% | −21.0% | −18.5% | −17.1% | −13.9% | |
| 30 | 2589 | −8.8% | −15.4% | −9.0% | −21.9% | −19.1% | −18.5% | −14.0% |
| Observed | Corresponding | VSS | VS | ||
|---|---|---|---|---|---|
| Incident Type/First Event | Inspection Priority Areas | Total | RC1-RC3 | Total | RC1-RC3 |
| Pollution | Pollution | 52 | 30.8% | 3 | 0.0% |
| Loss of life | Loss of life | 31 | 12.9% | 31 | 12.9% |
| Collision/contact | Collision and Contact | 202 | 31.2% | 5 | 0.0% |
| Fire and explosion | Fire and Explosion | 72 | 34.7% | 12 | 25.0% |
| Engine/mechanical failures | Engine related failures | 317 | 59.9% | 4 | 50.0% |
| Propulsion/Steering gear failure | Drift grounding | 32 | 34.4% | - | n/a |
| Hull related/stranding | Hull related failures | 160 | 33.1% | 19 | 47.4% |
| Grounding/standing | Powered grounding | 19 | 63.2% | 10 | 70.0% |
| Drift grounding | 19 | 57.9% | 10 | 60.0% | |
| Methods | Random | Using Methods | Adding Inspection Priorities Showing High Risk Ranking (RC1 to RC3) with at Least: | |||||||
|---|---|---|---|---|---|---|---|---|---|---|
| Alone | 1 | 2 | 3 | 4 | 5 | 6 | 7 | 8 | ||
| detention | 1 | 0.88 | 2.71 | 2.36 | 2.04 | 1.73 | 1.36 | 1.20 | 1.04 | 0.98 |
| incident (VSS) | 1 | 1.49 | 2.59 | 2.19 | 1.86 | 1.66 | 1.54 | 1.49 | 1.49 | 1.49 |
| method A | 1 | 1.20 | 2.65 | 2.26 | 1.90 | 1.60 | 1.33 | 1.23 | 1.22 | 1.20 |
| method B | 1 | 1.24 | 2.63 | 2.31 | 2.04 | 1.82 | 1.55 | 1.45 | 1.35 | 1.31 |
| method C | 1 | 1.29 | 2.60 | 2.27 | 1.97 | 1.74 | 1.49 | 1.42 | 1.34 | 1.32 |
| method D | 1 | 1.49 | 2.58 | 2.21 | 1.89 | 1.69 | 1.55 | 1.50 | 1.50 | 1.49 |
| method E | 1 | 1.06 | 2.68 | 2.35 | 2.03 | 1.76 | 1.44 | 1.32 | 1.20 | 1.15 |
| Additional vessels selected | 343 | 252 | 177 | 117 | 58 | 33 | 16 | 9 | ||
| Percentiles for Targeting Methods | |||||||||
| Nr | Ship Type | DET | VSS | A(max) | B(min) | C(mean) | D(75/25) | E(25/75) | |
| 1 | oil tanker | 83.51 | 90.45 | 83.47 | 93.87 | 93.05 | 93.70 | 90.61 | |
| 2 | dry bulk | 85.58 | 13.92 | 76.21 | 24.32 | 50.93 | 27.68 | 71.71 | |
| 3 | LNG tanker | 36.84 | 70.85 | 55.63 | 55.42 | 57.00 | 65.44 | 45.47 | |
| 4 | chemical tanker | 52.34 | 86.56 | 77.66 | 71.01 | 76.96 | 83.85 | 63.49 | |
| 5 | container | 36.51 | 59.11 | 40.84 | 55.09 | 48.20 | 54.61 | 41.81 | |
| 6 | dry bulk | 24.75 | 44.50 | 25.28 | 40.46 | 27.94 | 37.50 | 25.05 | |
| 7 | container | 58.35 | 73.82 | 59.53 | 76.72 | 72.79 | 74.32 | 64.97 | |
| 8 | general cargo | 96.15 | 94.94 | 92.89 | 99.02 | 98.63 | 98.33 | 98.52 | |
| 9 | general cargo | 79.12 | 63.79 | 66.71 | 81.28 | 79.14 | 72.11 | 80.40 | |
| 10 | dry bulk | 69.54 | 70.38 | 54.77 | 85.47 | 77.60 | 74.91 | 74.16 | |
| 11 | dry bulk | 91.06 | 79.55 | 84.27 | 91.72 | 91.98 | 88.10 | 93.13 | |
| Percentiles for Vessel Inspection Priorities Risk Areas | |||||||||
| Nr | Ship Type | COLL | DRFTGRD | POWGRD | ENGINE | FIRE | HULL | POL | LIFE |
| 1 | oil tanker | 84.58 | 73.53 | 77.77 | 87.81 | 96.40 | 72.62 | 90.16 | 95.06 |
| 2 | dry bulk | 13.28 | 51.20 | 42.49 | 64.34 | 29.82 | 25.78 | 3.06 | 12.84 |
| 3 | LNG tanker | 82.35 | 77.62 | 73.85 | 80.87 | 53.42 | 28.78 | 95.19 | 91.15 |
| 4 | chemical tanker | 72.25 | 76.37 | 75.77 | 85.20 | 96.91 | 78.66 | 21.65 | 78.17 |
| 5 | container | 79.22 | 55.55 | 42.01 | 42.91 | 74.94 | 50.38 | 57.49 | 54.65 |
| 6 | dry bulk | 61.21 | 38.59 | 71.39 | 45.17 | 69.66 | 32.83 | 38.96 | 12.78 |
| 7 | container | 69.99 | 40.58 | 67.44 | 49.69 | 14.58 | 80.09 | 21.18 | 75.91 |
| 8 | general cargo | 83.53 | 89.63 | 93.62 | 93.31 | 8.43 | 86.70 | 87.61 | 94.71 |
| 9 | general cargo | 18.36 | 20.46 | 44.36 | 24.03 | 29.14 | 10.03 | 69.05 | 15.67 |
| 10 | dry bulk | 59.66 | 97.41 | 46.48 | 59.02 | 45.05 | 95.32 | 35.90 | 39.41 |
| 11 | dry bulk | 73.46 | 78.15 | 79.22 | 58.47 | 68.22 | 82.25 | 66.59 | 66.49 |
© 2020 by the authors. Licensee MDPI, Basel, Switzerland. This article is an open access article distributed under the terms and conditions of the Creative Commons Attribution (CC BY) license (http://creativecommons.org/licenses/by/4.0/).
Share and Cite
Knapp, S.; Heij, C. Improved Strategies for the Maritime Industry to Target Vessels for Inspection and to Select Inspection Priority Areas. Safety 2020, 6, 18. https://doi.org/10.3390/safety6020018
Knapp S, Heij C. Improved Strategies for the Maritime Industry to Target Vessels for Inspection and to Select Inspection Priority Areas. Safety. 2020; 6(2):18. https://doi.org/10.3390/safety6020018
Chicago/Turabian StyleKnapp, Sabine, and Christiaan Heij. 2020. "Improved Strategies for the Maritime Industry to Target Vessels for Inspection and to Select Inspection Priority Areas" Safety 6, no. 2: 18. https://doi.org/10.3390/safety6020018
APA StyleKnapp, S., & Heij, C. (2020). Improved Strategies for the Maritime Industry to Target Vessels for Inspection and to Select Inspection Priority Areas. Safety, 6(2), 18. https://doi.org/10.3390/safety6020018

