Assessing Greenhouse Gas Emissions and Energy Efficiency of Four Treatment Methods for Sustainable Food Waste Management
Abstract
:1. Introduction
2. Results and Discussion
2.1. Performances of FW Co-Treatment with Wastewater
2.1.1. GHG Emissions from FW Co-Treated with Sewage
2.1.2. Energy Analysis for FW Co-Treated with Sewage
2.2. Alternatives for FW Management
2.2.1. GHGs Impacts
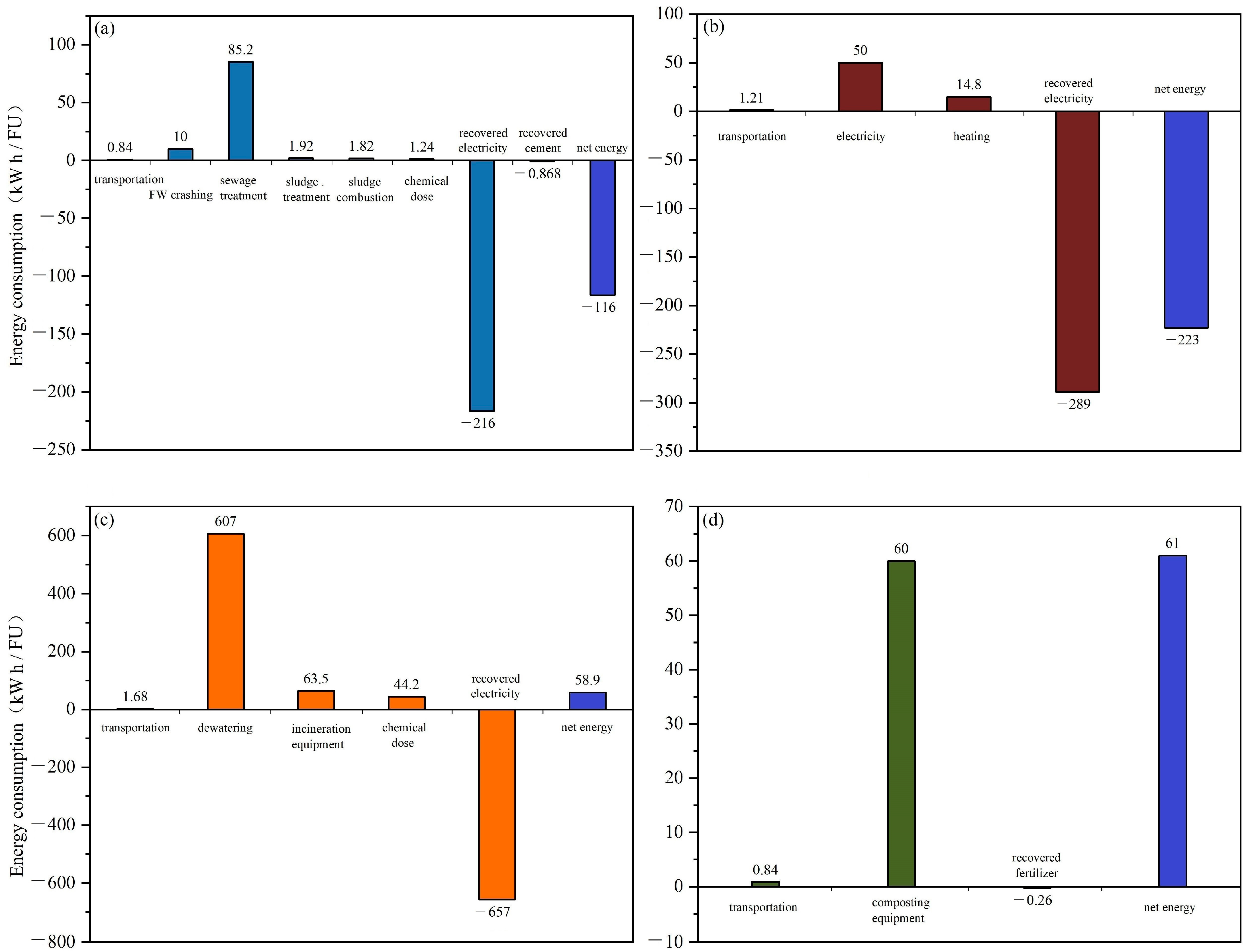
2.2.2. Energy Impacts
2.3. Scenario Analysis from CHP Efficiency, and Energy Consumption in AD and Incineration Process
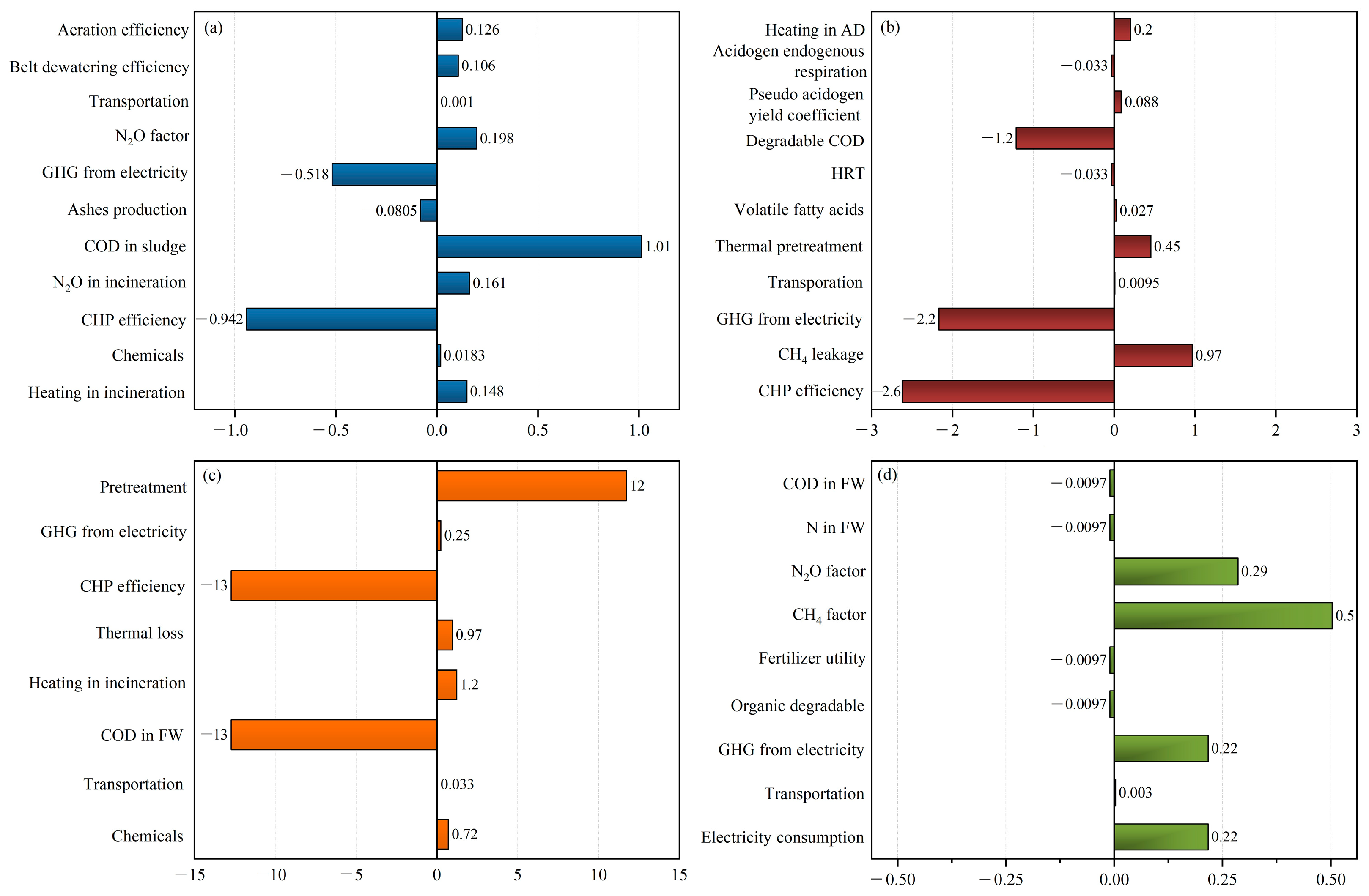
2.4. Perturbation Sensitivity Analysis
3. Methods
3.1. Study Purpose, Scope and Functional Unit
3.2. Food Waste Generation and Collection in Futian District, Shenzhen
3.3. Description of Scenarios
3.3.1. Co-Treatment of FW with Sewage
Simulation of FW Co-Treated with Sewage in BioWin
Energy and GHG Emission Calculation
3.3.2. FW Treated by Anaerobic Digestion
Energy and GHG Emission Calculation
3.3.3. FW Treated by Direct Incineration
3.3.4. FW Treated by Aerobic Composting
4. Conclusions and Perspectives
Supplementary Materials
Author Contributions
Funding
Data Availability Statement
Conflicts of Interest
References
- United Nations. UNEP Food Waste Index Report 2021; United Nations: New York, NY, USA, 2021. [Google Scholar]
- Zhang, H.; Liu, G.; Xue, L.; Zuo, J.; Chen, T.; Vuppaladadiyam, A.; Duan, H. Anaerobic digestion based waste-to-energy technologies can halve the climate impact of China’s fast-growing food waste by 2040. J. Clean. Prod. 2020, 277, 123490. [Google Scholar] [CrossRef]
- Iqbal, A.; Zan, F.; Siddiqui, M.A.; Nizamuddin, S.; Chen, G. Integrated treatment of food waste with wastewater and sewage sludge: Energy and carbon footprint analysis with economic implications. Sci. Total Environ. 2022, 825, 154052. [Google Scholar] [CrossRef] [PubMed]
- Food and Agriculture Organization of the United Nations. Food Wastage Footprint—Impacts on Natural Resources—Summary Report; Food and Agriculture Organization of the United Nations: Rome, Italy, 2023. [Google Scholar]
- Zan, F.; Iqbal, A.; Lu, X.; Wu, X.; Chen, G. “Food waste-Wastewater-Energy/Resource” Nexus: Integrating food waste management with wastewater treatment towards urban sustainability. Water Res. 2022, 211, 118089. [Google Scholar] [CrossRef]
- Yoshida, H.; ten Hoeve, M.; Christensen, T.H.; Bruun, S.; Jensen, L.S.; Scheutz, C. Life cycle assessment of sewage sludge management options including long-term impacts after land application. J. Clean. Prod. 2018, 174, 538–547. [Google Scholar] [CrossRef]
- Hao, X.; Chen, Q.; van Loosdrecht, M.C.M.; Li, J.; Jiang, H. Sustainable disposal of excess sludge: Incineration without anaerobic digestion. Water Res. 2020, 170, 115298. [Google Scholar] [CrossRef] [PubMed]
- Wen, Z.; Wang, Y.; De Clercq, D. What is the true value of food waste? A case study of technology integration in urban food waste treatment in Suzhou City, China. J. Clean. Prod. 2016, 118, 88–96. [Google Scholar] [CrossRef]
- Li, Y.; Jin, Y.; Borrion, A.; Li, H. Current status of food waste generation and management in China. Bioresour. Technol. 2019, 273, 654–665. [Google Scholar] [CrossRef]
- Wang, Y.; Wang, C.; Wang, Y.; Xia, Y.; Chen, G.; Zhang, T. Investigation on the anaerobic co-digestion of food waste with sewage sludge. Appl. Microbiol. Biotechnol. 2017, 101, 7755–7766. [Google Scholar] [CrossRef] [PubMed]
- Liu, M.; Ogunmoroti, A.; Liu, W.; Li, M.; Bi, M.; Liu, W.; Cui, Z. Assessment and projection of environmental impacts of food waste treatment in China from life cycle perspectives. Sci. Total Environ. 2022, 807, 150751. [Google Scholar] [CrossRef] [PubMed]
- Thomsen, M.; Romeo, D.; Caro, D.; Seghetta, M.; Cong, R.G. Environmental-economic analysis of integrated organicwaste and wastewater management systems: A case study from Aarhus City (Denmark). Sustainability 2018, 10, 3742. [Google Scholar] [CrossRef]
- Yang, G.; Zhang, G.; Wang, H. Current state of sludge production, management, treatment and disposal in China. Water Res. 2015, 78, 60–73. [Google Scholar] [CrossRef] [PubMed]
- Zan, F.; Zeng, Q.; Hao, T.; Ekama, G.A.; Hao, X.; Chen, G. Achieving methane production enhancement from waste activated sludge with sulfite pretreatment: Feasibility, kinetics and mechanism study. Water Res. 2019, 158, 438–448. [Google Scholar] [CrossRef]
- Iqbal, A.; Ekama, G.A.; Zan, F.; Liu, X.; Chui, H.-K.; Chen, G.-H. Potential for co-disposal and treatment of food waste with sewage: A plant-wide steady-state model evaluation. Water Res. 2020, 184, 116175. [Google Scholar] [CrossRef]
- Zan, F.; Iqbal, A.; Guo, G.; Liu, X.; Dai, J.; Ekama, G.A.; Chen, G. Integrated food waste management with wastewater treatment in Hong Kong: Transformation, energy balance and economic analysis. Water Res. 2020, 184, 116155. [Google Scholar] [CrossRef] [PubMed]
- Yeo, J.; Chopra, S.S.; Zhang, L.; An, A.K. Life cycle assessment (LCA) of food waste treatment in Hong Kong: On-site fermentation methodology. J. Environ. Manag. 2019, 240, 343–351. [Google Scholar] [CrossRef]
- You, S.; Wang, W.; Dai, Y.; Tong, Y.W.; Wang, C.-H. Comparison of the co-gasification of sewage sludge and food wastes and cost-benefit analysis of gasification- and incineration-based waste treatment schemes. Bioresour. Technol. 2016, 218, 595–605. [Google Scholar] [CrossRef]
- Yu, Q.; Li, H.; Deng, Z.; Liao, X.; Liu, S.; Liu, J. Comparative assessment on two full-scale food waste treatment plants with different anaerobic digestion processes. J. Clean. Prod. 2020, 263, 121625. [Google Scholar] [CrossRef]
- IPCC. 2019 IPCC Guidelines for National Greenhouse Gas Inventories; IPCC: Geneva, Switzerland, 2019. [Google Scholar]
- Corominas, L.; Foley, J.; Guest, J.S.; Hospido, A.; Larsen, H.F.; Morera, S.; Shaw, A. Life cycle assessment applied to wastewater treatment: State of the art. Water Res. 2013, 47, 5480–5492. [Google Scholar] [CrossRef] [PubMed]
- Lam, K.L.; Zlatanović, L.; van der Hoek, J.P. Life cycle assessment of nutrient recycling from wastewater: A critical review. Water Res. 2020, 173, 115519. [Google Scholar] [CrossRef]
- Woon, K.S.; Lo, I.M.C. An integrated life cycle costing and human health impact analysis of municipal solid waste management options in Hong Kong using modified eco-efficiency indicator. Resour. Conserv. Recycl. 2016, 107, 104–114. [Google Scholar] [CrossRef]
- Liu, X.; Iqbal, A.; Huang, H.; Zan, F.; Chen, G.; Wu, D. Life cycle assessment of deploying sludge minimization with (sulfidogenic-)oxic-settling-anaerobic configurations in sewage-sludge management systems. Bioresour. Technol. 2021, 335, 125266. [Google Scholar] [CrossRef]
- Murakami, T.; Suzuki, Y.; Nagasawa, H.; Yamamoto, T.; Koseki, T.; Hirose, H.; Okamoto, S. Combustion characteristics of sewage sludge in an incineration plant for energy recovery. Fuel Process. Technol. 2009, 90, 778–783. [Google Scholar] [CrossRef]
- Yoshida, H.; Clavreul, J.; Scheutz, C.; Christensen, T.H. Influence of data collection schemes on the Life Cycle Assessment of a municipal wastewater treatment plant. Water Res. 2014, 56, 292–303. [Google Scholar] [CrossRef]
- Liu, X.; Huang, H.; Iqbal, A.; Chen, J.; Zan, F.; Jiang, C.; Chen, G. Sustainability analysis of implementing sludge reduction in overall sludge management process: Where do we stand? Waste Manag. 2022, 152, 80–93. [Google Scholar] [CrossRef]
- Lu, D.; Iqbal, A.; Zan, F.; Liu, X.; Chen, G. Life-cycle-based greenhouse gas, energy, and economic analysis of municipal solid waste management using system dynamics model. Sustainability 2021, 13, 1641. [Google Scholar] [CrossRef]
- Evangelisti, S.; Lettieri, P.; Borello, D.; Clift, R. Life cycle assessment of energy from waste via anaerobic digestion: A UK case study. Waste Manag. 2014, 34, 226–237. [Google Scholar] [CrossRef]
- Samolada, M.C.; Zabaniotou, A.A. Comparative assessment of municipal sewage sludge incineration, gasification and pyrolysis for a sustainable sludge-to-energy management in Greece. Waste Manag. 2014, 34, 411–420. [Google Scholar] [CrossRef] [PubMed]
- Bruun, S.; Yoshida, H.; Nielsen, M.P.; Jensen, L.S.; Christensen, T.H.; Scheutz, C. Estimation of long-term environmental inventory factors associated with land application of sewage sludge. J. Clean. Prod. 2016, 126, 440–450. [Google Scholar] [CrossRef]
- Liikanen, M.; Havukainen, J.; Hupponen, M.; Horttanainen, M. Influence of different factors in the life cycle assessment of mixed municipal solid waste management systems—A comparison of case studies in Finland and China. J. Clean. Prod. 2017, 154, 389–400. [Google Scholar] [CrossRef]
- Risch, E.; Gutierrez, O.; Roux, P.; Boutin, C.; Corominas, L. Life cycle assessment of urban wastewater systems: Quantifying the relative contribution of sewer systems. Water Res. 2015, 77, 35–48. [Google Scholar] [CrossRef]
- McCarty, P.L.; Bae, J.; Kim, J. Domestic Wastewater Treatment as a Net Energy Producer–Can This be Achieved? Environ. Sci. Technol. 2011, 45, 7100–7106. [Google Scholar] [CrossRef] [PubMed]
- Corominas, L.; Byrne, D.M.; Guest, J.S.; Hospido, A.; Roux, P.; Shaw, A.; Short, M.D. The application of life cycle assessment (LCA) to wastewater treatment: A best practice guide and critical review. Water Res. 2020, 184, 116058. [Google Scholar] [CrossRef]
- Mughal, K.; Mughal, M.P.; Farooq, M.U.; Anwar, S.; Ammarullah, M.I. Using Nano-Fluids Minimum Quantity Lubrication (NF-MQL) to Improve Tool Wear Characteristics for Efficient Machining of CFRP/Ti6Al4V Aeronautical Structural Composite. Processes 2023, 11, 1540. [Google Scholar] [CrossRef]
- Ammarullah, M.I.; Hartono, R.; Supriyono, T.; Santoso, G.; Sugiharto, S.; Permana, M.S. Polycrystalline Diamond as a Potential Material for the Hard-on-Hard Bearing of Total Hip Prosthesis: Von Mises Stress Analysis. Biomedicines 2023, 11, 951. [Google Scholar] [CrossRef]
- Santoso, B.; Ammarullah, M.I.; Haryati, S.; Sofijan, A.; Bustan, M.D. Power and Energy Optimization of Carbon Based Lithium-Ion Battery from Water Spinach (Ipomoea Aquatica). J. Ecol. Eng. 2023, 24, 213–223. [Google Scholar] [CrossRef]
- Fang, L.L.; Valverde-Pérez, B.; Damgaard, A.; Plósz, B.G.; Rygaard, M. Life cycle assessment as development and decision support tool for wastewater resource recovery technology. Water Res. 2016, 88, 538–549. [Google Scholar] [CrossRef] [PubMed]
- Li, H.; Zhou, Y.; Liu, J.; Sun, G. Comprehensive somparison and optimal strategies of food waste treatment modes. Chin. J. Environ. Eng. 2021, 15, 2398–2408. (In Chinese) [Google Scholar]
- Woon, K.S.; Lo, I.M.C. Analyzing environmental hotspots of proposed landfill extension and advanced incineration facility in Hong Kong using life cycle assessment. J. Clean. Prod. 2014, 75, 64–74. [Google Scholar] [CrossRef]
- Hou, K.; Luo, X.; Liang, M.; Liu, X.; Xu, Q.; Chen, J.; Lu, X.; Wu, X.; Zan, F. Heat-enhanced sulfite pretreatment improves the release of soluble substances and the stimulation of methanogenic pathways for anaerobic digestion of waste activated sludge. Process Saf. Environ. Prot. 2023, 176, 997–1006. [Google Scholar] [CrossRef]
- Chin, M.Y.; Phuang, Z.X.; Woon, K.S.; Hanafiah, M.M.; Zhang, Z.; Liu, X. Life cycle assessment of bioelectrochemical and integrated microbial fuel cell systems for sustainable wastewater treatment and resource recovery. J. Environ. Manag. 2022, 320, 115778. [Google Scholar] [CrossRef]
- Iqbal, A.; Zan, F.; Liu, X.; Chen, G. Net Zero Greenhouse Emissions and Energy Recovery from Food Waste: Manifestation from Modelling a City-Wide Food Waste Management Plan. Water Res. 2023, 244, 120481. [Google Scholar] [CrossRef]
- Iqbal, A.; Zan, F.; Liu, X.; Chen, G.-H. Integrated municipal solid waste management scheme of Hong Kong: A comprehensive analysis in terms of global warming potential and energy use. J. Clean. Prod. 2019, 225, 1079–1088. [Google Scholar] [CrossRef]
- Yoshida, H.; Mønster, J.; Scheutz, C. Plant-integrated measurement of greenhouse gas emissions from a municipal wastewater treatment plant. Water Res. 2014, 61, 108–118. [Google Scholar] [CrossRef]
- Iqbal, A.; Liu, X.; Chen, G.H. Municipal solid waste: Review of best practices in application of life cycle assessment and sustainable management techniques. Sci. Total Environ. 2020, 729, 138622. [Google Scholar] [CrossRef] [PubMed]
- Liu, X.; Dai, J.; Ng, T.-L.; Chen, G. Evaluation of potential environmental benefits from seawater toilet flushing. Water Res. 2019, 162, 505–515. [Google Scholar] [CrossRef]
- Shenzhen Municipal People’s Government Bulletin. Bulletin of the Seventh National Census of Shenzhen; Shenzhen Municipal People’s Government Bulletin: Shenzhen, China, 2021. (In Chinese)
- Shenzhen Municipal People’s Government Bulletin. 2021 Shenzhen Ecological Environment Status Bulletin; Shenzhen Municipal People’s Government Bulletin: Shenzhen, China, 2021. (In Chinese)
- Zhang, H.; Duan, H.; Andric, J.M.; Song, M.; Yang, B. Characterization of household food waste and strategies for its reduction: A Shenzhen City case study. Waste Manag. 2018, 78, 426–433. [Google Scholar] [CrossRef]
- Liu, R.; Deng, Z.; Liang, W.; Li, S.; Xun, R.; Wang, W.; Chen, H.; Feng, K. Tolerance analysis of municipal sewage plants in Shenzhen by the application of kitchen waste disposer. Environ. Sanit. Eng. 2018, 26, 43–47. (In Chinese) [Google Scholar]
- Biowin 6.0. EnviroSim—Wastewater Modeling Softwre. EnviroSim Associates LTD. Available online: https://envirosim.com/ (accessed on 21 June 2023).
- Liwarska-Bizukojc, E.; Biernacki, R. Identification of the most sensitive parameters in the activated sludge model implemented in BioWin software. Bioresour. Technol. 2010, 101, 7278–7285. [Google Scholar] [CrossRef]
- Chen, G.-H.; van Loosdrecht, M.C.M.; Ekama, G.A.; Brdjanovic, D. Biological Wastewater Treatment: Principles, Modeling and Design; IWA Publishing: London, UK, 2020; ISBN 1789060354. [Google Scholar]
- SCLCI. Ecoinvent V3.0 Database; SCLCI: Dubendorf, Switzerland, 2020. [Google Scholar]
- Li, Z.; Zhang, L.; Du, Z.; Li, F.; Liu, Y. Comparision of carbon emissions in different treatment and disposal process routes of municipal sludge. Environ. Sci. 2023, 44, 1181–1190. (In Chinese) [Google Scholar]
- Yu, Q.; Li, H. Life cycle environmental performance of two restaurant food waste management strategies at Shenzhen, China. J. Mater. Cycles Waste Manag. 2021, 23, 826–839. [Google Scholar] [CrossRef]
- Ministry of Ecology and Environment of the People’s Republic of China. 2019 Annual Emission Reduction Project of China’s Regional Power Grid Baseline Emission Factors; Ministry of Ecology and Environment of the People’s Republic of China: Beijing, China, 2020.
- Sotemann, S.; Ristow, N.; Wentzel, M.; Ekama, G. A steady state model for anaerobic digestion of sewge sludges. Water 2005, 31, 511–527. [Google Scholar]
- Xu, C.; Chen, W.; Hong, J. Life-cycle environmental and economic assessment of sewage sludge treatment in China. J. Clean. Prod. 2014, 67, 79–87. [Google Scholar] [CrossRef]
- Liu, X.; Dai, J.; Wu, D.; Jiang, F.; Chen, G.; Chui, H.K.; van Loosdrecht, M.C.M. Sustainable Application of a Novel Water Cycle Using Seawater for Toilet Flushing. Engineering 2016, 2, 460–469. [Google Scholar] [CrossRef]
- Liang, Y.; Xu, D.; Feng, P.; Hao, B.; Guo, Y.; Wang, S. Municipal sewage sludge incineration and its air pollution control. J. Clean. Prod. 2021, 295, 126456. [Google Scholar] [CrossRef]
- Xiao, B.; Hui, G.; Zhong, Y.; Junkai, W. Comparison of carbon emission estimation among different “collection-disposal” modes for food waste. Chin. J. Environ. Eng. 2019, 13, 449–456. [Google Scholar]
- Bernstad Saraiva, A.; Davidsson, Å.; Bissmont, M. Lifecycle Assessment of a System for Food Waste Disposers to Tank—A Full-Scale System Evaluation. Waste Manag. 2016, 54, 169–177. [Google Scholar] [CrossRef]
- Kim, M.-H.; Kim, J.-W. Comparison through a LCA Evaluation Analysis of Food Waste Disposal Options from the Perspective of Global Warming and Resource Recovery. Sci. Total Environ. 2010, 408, 3998–4006. [Google Scholar] [CrossRef]
- Ahamed, A.; Yin, K.; Ng, B.J.H.; Ren, F.; Chang, V.W.-C.; Wang, J.-Y. Life Cycle Assessment of the Present and Proposed Food Waste Management Technologies from Environmental and Economic Impact Perspectives. J. Clean. Prod. 2016, 131, 607–614. [Google Scholar] [CrossRef]
- Eriksson, M.; Strid, I.; Hansson, P.-A. Carbon Footprint of Food Waste Management Options in the Waste Hierarchy—A Swedish Case Study. J. Clean. Prod. 2015, 93, 115–125. [Google Scholar] [CrossRef]
- Bernstad Saraiva Schott, A.; Andersson, T. Food Waste Minimization from a Life-Cycle Perspective. J. Environ. Manage. 2015, 147, 219–226. [Google Scholar] [CrossRef]
- Maalouf, A.; El-Fadel, M. Effect of a Food Waste Disposer Policy on Solid Waste and Wastewater Management with Economic Implications of Environmental Externalities. Waste Manag. 2017, 69, 455–462. [Google Scholar] [CrossRef] [PubMed]
- Kaur, G.; Luo, L.; Chen, G.; Wong, J.W.C. Integrated Food Waste and Sewage Treatment—A Better Approach than Conventional Food Waste-Sludge Co-Digestion for Higher Energy Recovery via Anaerobic Digestion. Bioresour. Technol. 2019, 289, 121698. [Google Scholar] [CrossRef] [PubMed]
- Edwards, J.; Othman, M.; Crossin, E.; Burn, S. Life Cycle Assessment to Compare the Environmental Impact of Seven Contemporary Food Waste Management Systems. Bioresour. Technol. 2018, 248, 156–173. [Google Scholar] [CrossRef]
- Cristóbal, J.; Limleamthong, P.; Manfredi, S.; Guillén-Gosálbez, G. Methodology for Combined Use of Data Envelopment Analysis and Life Cycle Assessment Applied to Food Waste Management. J. Clean. Prod. 2016, 135, 158–168. [Google Scholar] [CrossRef]
- Thyberg, K.L.; Tonjes, D.J. The Environmental Impacts of Alternative Food Waste Treatment Technologies in the U.S. J. Clean. Prod. 2017, 158, 101–108. [Google Scholar] [CrossRef]
- HKEMSD, Study on the Potential Applications of Renewable Energy in Hong Kong. Stage 1 Study Report; 2002. Available online: https://re.emsd.gov.hk/english/gen/overview/files/stage1_report.pdf (accessed on 21 June 2023).








Disclaimer/Publisher’s Note: The statements, opinions and data contained in all publications are solely those of the individual author(s) and contributor(s) and not of MDPI and/or the editor(s). MDPI and/or the editor(s) disclaim responsibility for any injury to people or property resulting from any ideas, methods, instructions or products referred to in the content. |
© 2023 by the authors. Licensee MDPI, Basel, Switzerland. This article is an open access article distributed under the terms and conditions of the Creative Commons Attribution (CC BY) license (https://creativecommons.org/licenses/by/4.0/).
Share and Cite
Liu, X.; Li, S.; Chen, W.; Yuan, H.; Ma, Y.; Siddiqui, M.A.; Iqbal, A. Assessing Greenhouse Gas Emissions and Energy Efficiency of Four Treatment Methods for Sustainable Food Waste Management. Recycling 2023, 8, 66. https://doi.org/10.3390/recycling8050066
Liu X, Li S, Chen W, Yuan H, Ma Y, Siddiqui MA, Iqbal A. Assessing Greenhouse Gas Emissions and Energy Efficiency of Four Treatment Methods for Sustainable Food Waste Management. Recycling. 2023; 8(5):66. https://doi.org/10.3390/recycling8050066
Chicago/Turabian StyleLiu, Xiaoming, Si Li, Wenhao Chen, Huizhou Yuan, Yiguan Ma, Muhammad Ahmar Siddiqui, and Asad Iqbal. 2023. "Assessing Greenhouse Gas Emissions and Energy Efficiency of Four Treatment Methods for Sustainable Food Waste Management" Recycling 8, no. 5: 66. https://doi.org/10.3390/recycling8050066
APA StyleLiu, X., Li, S., Chen, W., Yuan, H., Ma, Y., Siddiqui, M. A., & Iqbal, A. (2023). Assessing Greenhouse Gas Emissions and Energy Efficiency of Four Treatment Methods for Sustainable Food Waste Management. Recycling, 8(5), 66. https://doi.org/10.3390/recycling8050066

