Next Article in Journal
Quantifying Yield Losses in Canola (Brassica napus) Caused by Verticillium longisporum
Next Article in Special Issue
Melatonin: An Eco-Friendly Preservative for Improving Post-Harvest Quality and Longevity of Cut Flowers
Previous Article in Journal
Electrophysiological Mechanism and Identification of Effective Compounds of Ginger (Zingiber officinale Roscoe) Shoot Volatiles Against Aphis gossypii Glover (Hemiptera: Aphididae)
Previous Article in Special Issue
Melatonin Treatment Delays the Senescence of Cut Flowers of “Diguan” Tree Peony by Affecting Water Balance and Physiological Properties
 
 
Font Type:
Arial Georgia Verdana
Font Size:
Aa Aa Aa
Line Spacing:
Column Width:
Background:
Article

Postharvest Quality and Biochemical Changes in Blood Orange Fruit Exposed to Various Non-Chilling Storage Temperatures

1
Horticultural Sciences Department, University of Florida, Gainesville, FL 32611, USA
2
North Florida Research and Education Center, University of Florida, Quincy, FL 32351, USA
3
Plant Molecular and Cellular Biology Graduate Program, University of Florida, Gainesville, FL 32609, USA
*
Authors to whom correspondence should be addressed.
Horticulturae 2025, 11(5), 493; https://doi.org/10.3390/horticulturae11050493
Submission received: 19 March 2025 / Revised: 30 April 2025 / Accepted: 30 April 2025 / Published: 30 April 2025

Abstract

Blood oranges grown in subtropical and tropical regions have low anthocyanin levels and a pale internal color at the point of commercial maturity. Since blood oranges are cold-dependent and can enhance anthocyanin during postharvest storage, the effects of various non-chilling storage temperatures (10, 15, and 20 °C) on ‘Moro’ blood orange fruit quality and biochemical changes over a period of up to 42 days were investigated for total anthocyanin concentration (TAC), total phenolic content (TPC), total antioxidant activity (TAA), juice attributes, and physical qualities. Fruit weight and firmness losses increased during storage, with the lowest losses occurring at 10 °C. Titratable acidity (TA) decreased, with the lowest values recorded at 20 °C. Total soluble solids (TSSs) and the TSS/TA ratio increased, with the highest values observed at 20 °C. The sucrose content showed slight changes, while glucose and fructose levels increased during storage, with the highest concentrations of glucose and fructose noted at 20 °C. TAC, TPC, and TAA significantly increased during storage, with the highest values recorded at 10 °C, suggesting upregulation of the fruit antioxidant system and associated bioactive components in response to the lower temperature. Throughout the storage period, peel color parameters, such as L*, b*, C*, and h°, decreased at all temperatures, whereas a*, citrus color index (CCI), and total color difference (ΔE) increased. This study concludes that a storage temperature of 10 °C proved effective in enhancing TAC, TPC, and TAA during storage, as well as in maintaining the other physicochemical attributes.

1. Introduction

Blood oranges (Citrus sinensis L. Osbeck) contain bioactive compounds including anthocyanins, flavonoid, polyphenols, hydroxycinnamic acids, and ascorbic acid. These compounds contribute to the antioxidant capacity and overall fruit quality [1]. These bioactive compounds are beneficial for human health, helping to prevent heart disease (atherosclerosis), arteriosclerosis, cancer, diabetes, and other age-related diseases, and they exhibit antiviral activity [2]. Furthermore, these compounds assist in scavenging free radicals and reactive oxygen species [3].
Anthocyanin is an important internal quality marker for blood oranges. Their quality attributes are largely determined by anthocyanin levels, which are greatly linked to antioxidant capacity and health benefits [1]. On the other hand, the deep red pulp color, associated with high concentrations of anthocyanin content, is indicative of high-quality blood orange fruit in the market. Several factors, including genotype, rootstock, cultural practices, nutrient availability, moisture content, climate conditions, maturity, and harvest timing can influence anthocyanin accumulation in blood oranges [4,5]. In addition, seasonal drought stress during the fruit expansion stage can significantly accelerate anthocyanin accumulation and biosynthesis in blood orange fruit by activating the expression of phenylalanine ammonia-lyase (PAL3) and other structural genes in the anthocyanin biosynthesis pathway [6].
Mediterranean climates are superior for the commercial cultivation of blood oranges due to their cooler night temperatures during the ripening period, which lead to optimum anthocyanin biosynthesis. Sufficiently low night temperatures to trigger anthocyanin accumulation are uncommon in subtropical and tropical regions [7]. While blood oranges can be grown in subtropical/tropical climates, each region presents challenges for successful cultivation, often resulting in negligible anthocyanin levels and lower fruit quality at commercial maturity compared to those grown in Mediterranean climates [8].
Cold storage is a simple method for prolonging the postharvest life of blood oranges after harvest by reducing fruit metabolism and other processes that lead to deterioration [1]. Storing blood oranges at room temperature can greatly reduce their bioactive compounds and quickly reduce their shelf life due to water loss, senescence, and fungal decay. Furthermore, storing them below 6 °C can cause chilling injury (CI) [1]. Blood oranges are cold-dependent, and unlike most non-climacteric fruits, their internal quality can be enhanced during postharvest cold storage by the production of anthocyanins. Low-temperature storage boosts anthocyanin levels and improves the fruit’s internal quality [1]. Cold temperatures trigger the accumulation of anthocyanins, and this process is regulated by a gene called Ruby, which is activated by cold stress [7]. It is important to note that while low temperatures are beneficial for enhancing anthocyanin and antioxidant activity, prolonged low temperature storage can lead to a reduction in flavor and overall fruit quality [9]. Therefore, finding the optimal storage temperature is key to maintaining the balance between enhancing beneficial compounds and preserving the overall quality of the fruit.
The effect of cold temperatures on anthocyanin production and accumulation in blood oranges after harvesting is well established. However, in previous studies, how chilling and moderate temperatures affect anthocyanin levels has typically been evaluated without focusing on more than two specific temperatures [8,9,10,11,12]. Storing fruit at moderate temperatures after harvest can significantly enhance anthocyanin concentration and improve the internal quality of the fruit grown in subtropical and tropical regions [1]. Suitable storage temperatures are crucial for enhancing anthocyanin concentration and improving the internal quality of blood oranges after harvest in a specific period. On the other hand, specific temperature strategies may vary depending on the desired result for anthocyanin levels and antioxidant activities. Therefore, careful management of storage temperatures is crucial for maintaining and enhancing the nutritional and antioxidant qualities of blood oranges after harvest [1].
Non-chilling storage temperatures for blood orange storage are typically above the established threshold for the CI of 6 °C. Storing blood oranges at non-chilling temperatures can help maintain their quality without the risk of cold damage that can occur at lower temperatures. This practice is beneficial for short-term storage to preserve the fruit’s quality. Our previous research demonstrated that storing blood orange fruit at temperatures ranging from 6 to 12 °C showed that the higher temperatures (10 and 12 °C) within that range significantly enhanced anthocyanin accumulation and antioxidant activity compared to the lower temperatures (6 and 8 °C) [1]. However, this study was limited to colder postharvest conditions and did not explore the effects of higher, potentially more economical storage temperatures. In addition, storing blood oranges at moderate temperatures can be cost-effective for storage expenses, including reduced electricity consumption. Moderate temperature storage can potentially increase the anthocyanin levels in blood oranges grown in subtropical and tropical regions, where high anthocyanin content does not typically develop on the tree. However, the impact of storage at various moderate, non-chilling temperatures on postharvest physiological and biochemical changes in blood oranges has not yet been reported.
To date, the effect of postharvest storage at temperatures above 12 °C has not been scientifically studied in the ‘Moro’ cultivar, which is commercially important in subtropical regions. The current study addresses this gap by evaluating key postharvest quality parameters of ‘Moro’ blood oranges including anthocyanin concentrations, total phenolic content, antioxidant capacity, juice quality, and changes in physical attributes during storage at 10, 15, and 20 °C. These findings offer practical insights for improving fruit quality in warmer climates where on-tree anthocyanin development is limited. This research further discovers how storage at non-chilling temperatures can be intentionally applied to enhance fruit coloration and biochemical properties. The findings contribute to advancing postharvest management strategies and enhancing the commercial value of blood oranges in subtropical supply chains.

2. Materials and Methods

2.1. Plant Material and Storage Conditions

‘Moro’ blood oranges were harvested at commercial maturity from a commercial orchard in Georgia (30.83.29 N; 83.27.72 W), USA, based on the total soluble solids (TSS) to titratable acidity (TA) ratio of approximately 10. The trees were 6 years old and grafted onto ‘US942′. After harvest, the fruit were immediately transported to the Postharvest Laboratory at the University of Florida in Gainesville. Then, they were inspected for peel damage and sanitized with a solution containing 100 ppm sodium hypochlorite, adjusted to pH 7 [1]. After that, the fruit were allowed to air-dry to remove any excess water on their peel. The fruit were then grouped into four sets of replicates, with each set comprising 10 fruit, and were placed in nylon mesh bags. Fruit were then stored for 42 days in walk-in environmental rooms (Conviron, Pembina, ND, USA) equipped with a dry fog humidification system (Smart Fog, Inc., Reno, NV, USA), which allowed for precise control of temperature (10, 15, or 20 °C) and relative humidity (90 ± 1%). Evaluations of quality and biochemical parameters were conducted at harvest (day 0) and after 14, 28, and 42 days under cold storage, with an additional 2 days at room temperature (23 ± 1 °C) included for each time point as part of the shelf life conditions. For convenience and brevity, from this point on we will refer to the storage treatments as 0, 14, 28, or 42 days at 10, 15, or 20 °C, with the additional 2 days at room temperatures understood to be included in all instances. The sampling times were selected based on our previous findings on blood oranges, where significant changes in fruit quality parameters were observed at two-week intervals under cold storage conditions [1].

2.2. Weight Loss

To assess the weight loss (WL) of the fruit, the initial weight (IW) of each set was measured and recorded prior to storage. Then, the final weight (FW) was determined at every evaluation interval with a digital scale accurate to 0.01 g. The WL percentage at each interval was determined using the formula (IW−W)/IW × 100 [1].

2.3. Firmness

Fruit firmness was assessed using a Stable Micro Systems TA-HD Plus Texture Analyzer (Texture Technologies Corp., Surrey, UK). The analyzer featured a 5 kg load cell and a 45 mm diameter flat plate to evaluate the fruit’s resistance to compression. The plate was positioned at the center of the whole fruit, compressing it by 4 mm, which generated a deformation force curve. Force values were recorded in Newtons (N) [13].

2.4. Chemical Attributes of Juice

For the analysis of TSS, TA, and the TSS/TA ratio, juice was extracted from 10 fruit per sample group. The fruit were cut in half and squeezed by hand, with the juice then passed through cheesecloth. This was followed by centrifugation at 20,000× gn for 20 min at 4 °C. A second filtration through cheesecloth was performed before the resulting clear juice was placed into a sterile tube for further chemical analyses. The TSS was quantified with a portable, temperature-compensated digital refractometer (Reichert AR200, Depew, NY, USA). The TA was obtained with an automated titration device (Metrohm 814 USB Sample Processor, Metrohm AG, Herisau, Switzerland). The titration was performed with 0.1 N NaOH until a pH of 8.2 was reached, and the initial pH was recorded. The TA was reported as the percentage of citric acid equivalents. To determine the maturity index, the TSS value was divided by the TA [1].

2.5. Soluble Sugars Analysis

The presence of soluble sugars (sucrose, glucose, and fructose) was determined through high-performance anion-exchange chromatography with pulsed amperometric detection (HPAEC-PAD) methods and hardware (Metrohm AG, Herisau, Switzerland) based on a setup reported for monosaccharides by Robert et al. [14] and previously adapted for blood orange samples [1]. Extracted juice samples were filtered and diluted with ultrapure water to avoid saturation and to fit within the standard curve. Briefly, 10 µL of each sample or standard was injected using a refrigerated Metrohm 889 IC Sample Center (connected to a 800 Dosino for dual-channel delivery) into a 940 Professional IC Vario system equipped with Metrosep Carb 2–250/4.0 analytical and guard columns with an amperometric detector. A 29 min gradient start with a 20 min isocratic step with 2 mM sodium hydroxide (NaOH) + 3.4 mM sodium acetate (NaOAc), followed by 3 min rinse with 80 mM NaOH + 136 mM NaOAc, before 4 min re-equilibration with the starting eluents. Peaks were automatically integrated (or manually corrected if necessary) and calibrated using analytical standard curves in the MagIC Net 4.0 software (Metrohm AG, Switzerland). Sample values were normalized and reported as mg mL−1.

2.6. Bioactive Compounds and Total Antioxidant Activity

Total anthocyanin concentration (TAC) was assessed using a UV-Vis Spectrophotometer (Thermo Fisher Scientific, Waltham, MA, USA) at 520 nm. The results were expressed as mg L−1 of cyanidin 3-glucoside equivalents [1].
Total phenolic content (TPC) was measured using the Folin–Ciocalteu colorimetric method [15] and was reported as mg L−1 of GA equivalents (GAE).
Total antioxidant activity (TAA) was assessed using the ferric reducing antioxidant power (FRAP) assay method [16] and expressed as μmoles TE L−1.

2.7. Color Parameters

The chromatic attributes of the fruit peel for each sample were assessed using a colorimeter (CR-300, Minolta, Tokyo, Japan) to measure L*, a*, and b* values. These values were then used to calculate the hue angle (h°), chroma (C*), citrus color index (CCI), and total color difference (ΔE) using the following Equations [17].
h ° = A r c t a n b * a *
C h r o m a = a * 2 + b * 2
CCI = 1000 × a * L * × b *
Δ E =   L 0 L 2 +   a 0 a 2 +   b 0 b 2
In Equation (4), L0, a0, and b0 represent the readings at time zero (harvest), and L, a, and b represent the individual readings at each sampling time.

2.8. Statistical Analysis

The study employed a completely randomized design (CRD) with two factors (storage temperature and storage duration), each with four, 10-fruit biological replicates. To ensure accuracy, measurements were taken three times per replicate. Data analysis was conducted using SAS software (version 9.4), applying a two-way ANOVA to assess the main effects of storage temperature and duration, as well as their potential interactions. Mean comparisons were performed using the least significant difference (LSD) test (p < 0.05), with standard error (±SE) included. Principal component analysis (PCA) was carried out with Minitab version 21, while Pearson’s correlation coefficient analysis was conducted using the corrplot package in R.

3. Results

3.1. Weight Loss and Firmness

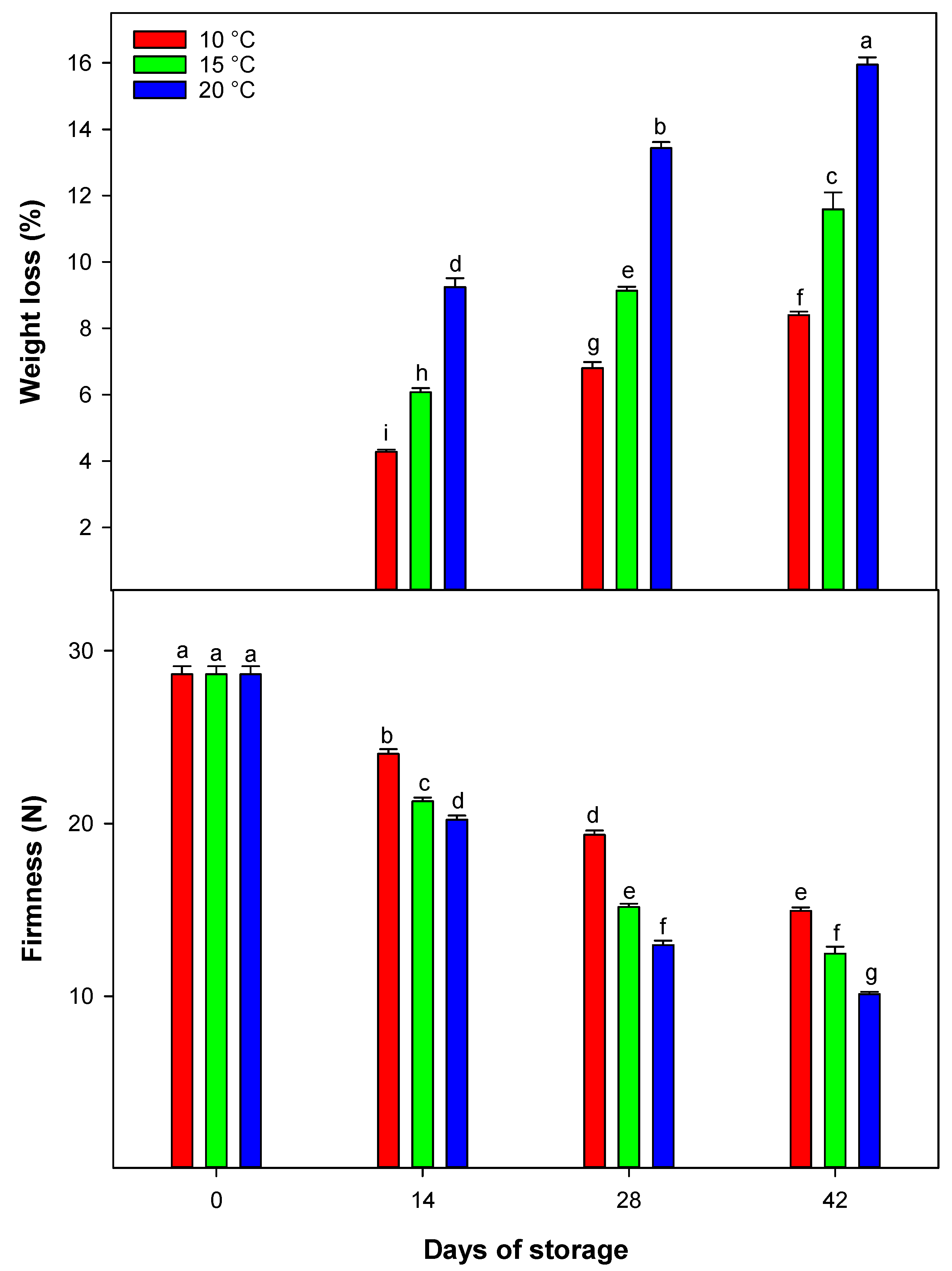
Weight loss (WL) of blood orange fruit significantly increased over time for all storage temperatures, but the rate of WL varied among the different temperatures despite all of the storage rooms being maintained at 90% RH (Figure 1). At the end of storage, the fruit exhibited the highest WL at 20 °C, while the fruit stored at 10 °C had the lowest WL. Overall, WL was positively correlated with both storage time and temperature, with higher temperatures and longer storage durations leading to greater WL.
Fruit firmness of blood oranges decreased significantly over the 42-day storage period plus 2 days at 20 °C, with the rate of firmness loss varying among the different storage temperatures (Figure 1). Fruit had a firmness of around 28.6 N at first sampling time. At the end of storage, the lowest firmness loss was observed at 10 °C, while the greatest firmness loss occurred at 20 °C. Overall, the lower temperature reduced firmness loss, with 10 °C being the best for preserving firmness over time.

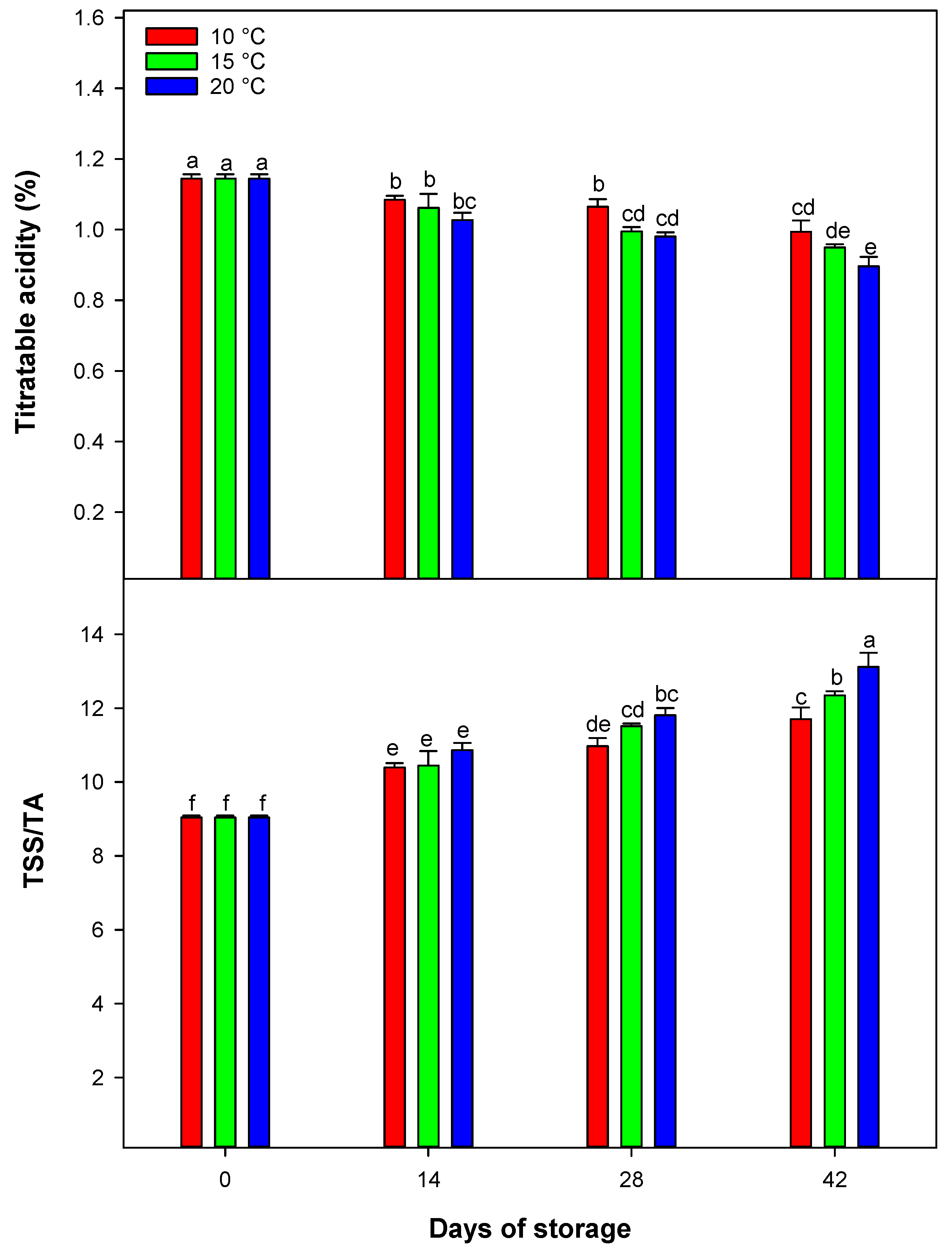
3.2. TSS, TA, and TSS/TA Ratio

No significant differences in TSS were observed among the storage temperature treatments at any sampling time; however, its level increased slightly during storage compared to the initial sampling time.
The TA was influenced by both temperature and duration of storage. Throughout the storage period, decreases in TA were noted for all treatments (Figure 2). The highest TA values were recorded at 10 °C for each sampling time. On the contrary, the lowest TA values were displayed at 20 °C, which exhibited a 22% decrease in TA that was significantly more substantial than that observed at 10 °C.
The TSS/TA exhibited a marked increase throughout the storage period across all temperature conditions (Figure 2). However, the treatments did not show significant differences up to a storage duration of 14 days. However, by the end of the storage period, the lowest TSS/TA ratio was recorded at 10 °C, whereas the highest ratio was observed at 20 °C.

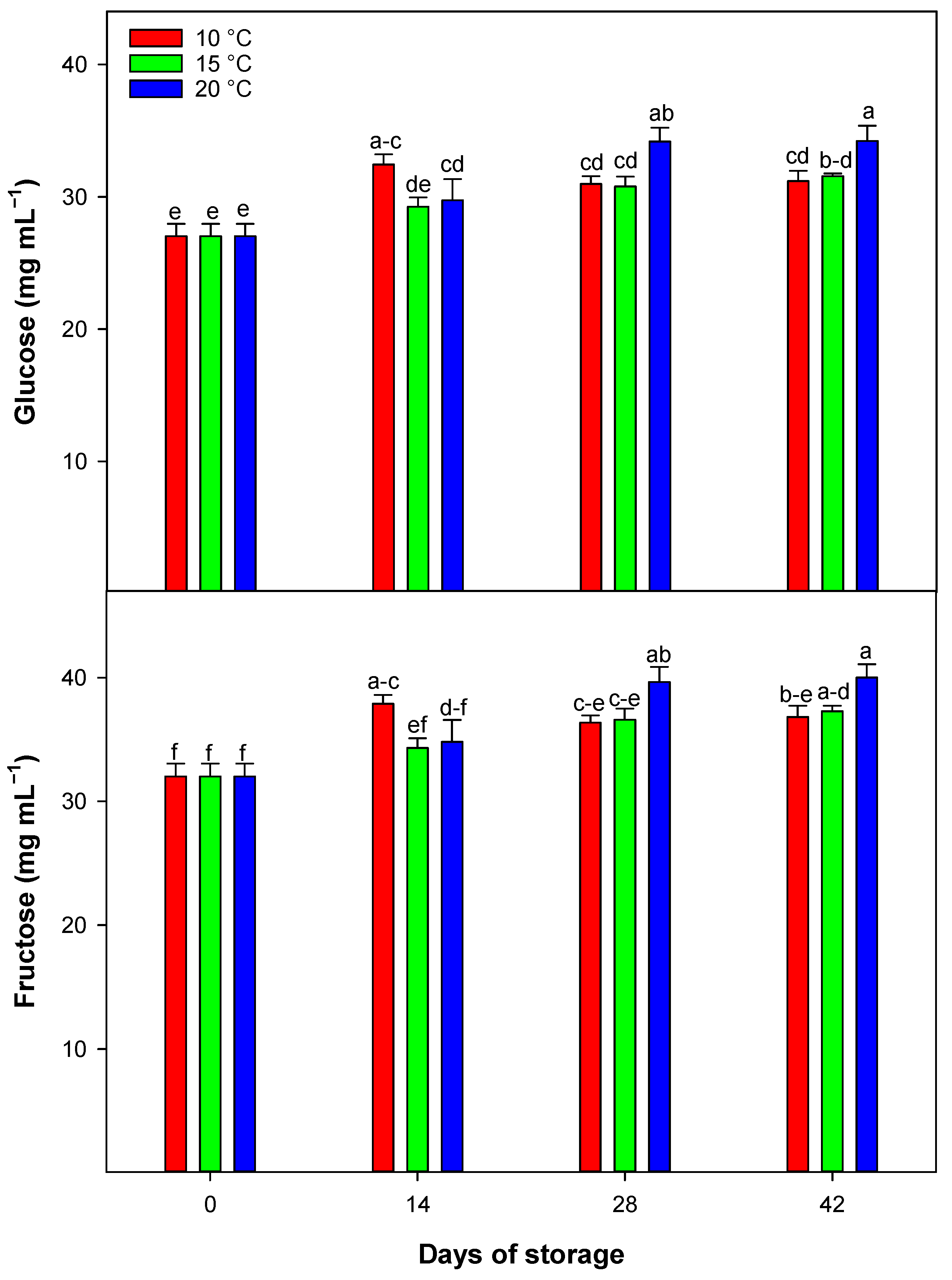
3.3. Soluble Sugars Changes

Glucose and fructose levels were affected by both temperature and storage time, (Figure 3). There were minor but significant differences between the treatments for glucose and fructose at each sampling time, with both of those sugars exhibiting similar trends across all treatments and throughout the storage period. Namely, the levels of glucose and fructose increased during the first 14 days of storage in all treatments, particularly at 10 °C. Thereafter, glucose was 9.7% and 8.43% higher at 20 °C than at 10 °C or 15 °C, respectively, and fructose was 8.72% and 7.37% higher at 20 °C than at 10 °C or 15 °C at the end of the storage period. Sucrose content did not change during storage.

3.4. TAC, TPC, and TAA

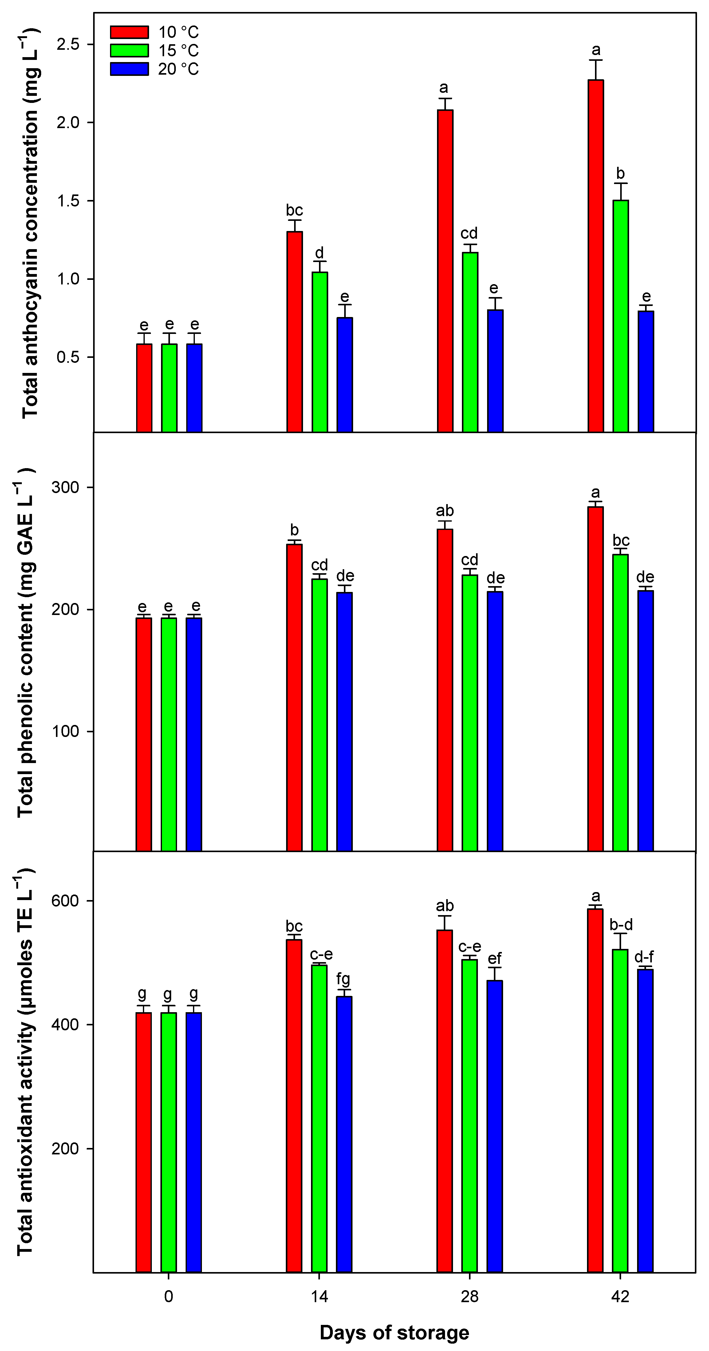
In this study, TAC increased significantly during storage at 10 and 15 °C, but not at 20 °C (Figure 4.) The highest TAC levels for each storage time were observed at 10 °C. At 20 °C, no significant enhancement in TAC was noted at any storage time when compared to at harvest time. The TAC in ‘Moro’ blood orange fruit rose by 290% at 10 °C, demonstrating that lower storage temperatures significantly promote anthocyanin accumulation. The enhancement of anthocyanin and the internal color appearance of ‘Moro’ blood orange fruit during storage at different temperatures are shown in Figure 5.
The TPC experienced a significant increase across all storage periods at 10 and 15 °C, with temperature impacting the rate of TPC growth (Figure 4). The highest TPC values were noted at 10 °C, while the lowest were recorded at 20 °C for each sampling time. Similarly to TAC, no significant enhancement in TPC was noted for any storage time at 20 °C when compared to the initial level. By the end of the storage period, the fruit stored at 10 °C demonstrated a 48% rise in TPC compared to the levels at harvest, which was significantly higher than the increases observed at 15 and 20 °C.
The TAA increased during storage in all blood orange samples at all three storage temperatures (Figure 4). The lowest TAA levels were observed at 20 °C, while the highest TAA values were recorded at 10 °C for each sampling time. At 20 °C, no significant changes in TPC were noted compared to the initial levels until 28 days of storage. After a 42-day period, the fruit stored at 10 °C exhibited a 40% increase in TAA relative to the levels at harvest.

3.5. Peel Color Changes

The peel color parameters (L*, a*, b*, h°, C*, and CCI) were affected during storage at various temperatures (Figure 6). The study revealed that the values of L*, b*, and h° decreased slightly at all temperature levels throughout the storage period. In contrast, the values of a*, C*, and CCI experienced increases, although only at 20 °C for the C*. Overall, the most pronounced changes in peel color were detected at 10 °C.
Peel color difference (ΔE) increased significantly during storage at all temperatures (Figure 7). At day 14, no significant differences were observed among treatments. From day 28, fruit stored at 15 °C showed the highest ΔE values, while 20 °C consistently resulted in the lowest color change. This trend became more pronounced by day 42, where ΔE peaked in the 10 and 15 °C treatments, significantly higher than fruit stored at 20 °C. These results suggest that moderate storage temperatures (especially 15 °C) promote more intense changes in peel coloration during storage, possibly due to enhanced pigment degradation or biosynthesis.

3.6. Multivariate Statistical Analyses

The principal component analysis (PCA) revealed distinct changes in the quality attributes and biochemical properties of ‘Moro’ blood orange fruit stored at different temperatures over 42 days (Figure 8). The first two principal components (PC1 and PC2) explained 66.8% and 21.9% of the total variance, respectively, accounting for 88.7% of the variability. PC1 was primarily associated with weight loss, TSS, TAC, TPC, TAA, and sugars (sucrose, glucose, and fructose), while PC2 was influenced by firmness, TA, and color parameters. On day 0, all samples clustered closely together, characterized by high firmness and TA, indicating minimal biochemical changes. A strong relationship was observed among TAA, TPC, and TAC during storage at 10 °C. On the other hand, fruit had an increase in bioactive compounds and antioxidant capacity, particularly after 28 and 42 days. In contrast, storage at 20 °C led to the most pronounced changes in peel color, WL, TSS, TSS/TA, glucose, and fructose, particularly after 28 days. These results demonstrate how storage temperature and duration significantly influence the postharvest quality and biochemical composition of ‘Moro’ blood orange fruit.
Pearson’s correlation coefficient measures the strength and direction of the relationship between two continuous variables. It indicates how closely the variables move together and helps identify potential connections between them. In this study, Pearson correlation coefficients showed a range of correlations, from negative to positive and from significant to non-significant. Positive and negative correlations are represented by purple and orange, respectively. Significant positive correlations were found among TPC, TAC, and TAA. Additionally, significant positive correlations were observed between TSS and both glucose and fructose (Figure 9).

4. Discussion

Storing blood oranges fruit at moderately low temperatures, as tested here, is beneficial for preserving their quality. It helps maintain the fruit’s firmness, reduces weight loss, and conserves sugar content. These factors are essential for preserving the overall quality, texture, and taste of the blood oranges during storage. However, blood oranges fruit are sensitive to lower, non-freezing temperatures in the range of 0 to 6 °C, which can induce CI [1]. Non-chilling storage temperatures can minimize the risk of CI, which can lead to physiological disorders in blood oranges and negatively impact their marketability. By avoiding temperatures that cause CI, non-chilling storage can prolong the shelf life of blood oranges, making them more attractive to consumers. These benefits make non-chilling storage temperatures a compelling choice for maintaining the quality and enhancing the health benefits of blood oranges. However, studies on the effects of various non-chilling storage temperatures on postharvest quality in blood oranges are lacking. Further research was necessary to optimize these conditions for commercial application. In our research reported here, the effects of non-chilling storage temperatures (10, 15, and 20 °C) on physical attributes, bioactive compounds, and antioxidant activity in ‘Moro’ blood orange fruit were investigated.
The results of the study on the WL of blood oranges during storage show that WL is significantly affected by both storage time and temperature. Higher storage temperatures significantly increase the rate of WL due to enhanced transpiration. Lower temperatures are more effective at preserving fruit weight over time by slowing down this process. Moreover, despite maintaining equal relative humidity (RH) levels across all storage temperatures, higher temperatures lead to greater water vapor pressure deficits, which further promote WL [1]. In addition, at lower temperatures, the rate of respiration decreases, contributing to a smaller reduction in WL as less carbon is lost as carbon dioxide [18]. Conversely, higher storage temperatures increase metabolic activity, leading to greater energy consumption and further WL. It is important to note that in our study, following each sampling time, the fruit were held for an additional 2 days at room temperature to simulate shelf-life conditions prior to WL evaluation. This additional period at ambient temperature likely accelerated moisture loss, as higher temperatures and lower RH at room conditions enhance transpiration from the fruit peel and the relatively high WL values observed in 20 °C [1]. From a postharvest management perspective, WL can adversely affect fruit appearance, texture, and marketability, particularly when it leads to visible peel dehydration or loss of firmness. In this study, WL gradually increased with both temperature and storage duration and was most pronounced at 20 °C, indicating the unsuitability of such conditions for long-term storage. In contrast, fruit stored at 10 °C showed moderate WL values, suggesting that lower temperatures are more effective in limiting transpiration and preserving overall fruit quality. These results highlight the importance of maintaining low-temperature storage to reduce WL and extend the marketability of blood oranges during prolonged postharvest handling.
Fruit firmness is a key factor in marketability, directly influencing texture and consumer satisfaction [1]. This study highlights the critical role of storage temperature in maintaining firmness over 42 days. Lower temperatures slowed firmness loss, consistent with the well-established understanding that cooler conditions inhibit enzymes responsible for cell wall degradation, such as polygalacturonase, pectin lyase, and pectin methylesterase. These enzymes contribute to fruit softening by breaking down pectin, a key structural component of the cell wall [19]. Reduced enzyme activity at lower temperatures delays pectin degradation, thereby preserving firmness. As storage duration extended to 42 days, temperature-dependent effects became more pronounced. Fruit stored at 15 or 20 °C experienced greater firmness loss than those kept at 10 °C. This confirms that higher temperatures accelerate enzymatic activity and metabolic processes, leading to faster softening, while storage at 10 °C likely restricted these enzymatic actions, slowing pectin breakdown [1].
The changes in TSS observed in the juice of blood oranges during cold storage offer important insights into the fruit’s biochemical processes. TSS is an essential indicator for assessing the sugar levels in citrus fruit. Generally, sugars such as sucrose, glucose, and fructose make up the bulk of TSS, representing approximately 80%. The rest of the TSS consists of a mix of organic acids, vitamins, proteins, free amino acids, and glucosides, which together account for the remaining 20% [20]. These constituents undergo various changes during cold storage as a result of continuous metabolic processes. In this study, a slight increase in TSS was observed in blood orange juice over the storage period, compared to levels at harvest. This increase implies that the cold storage might promote the conversion of organic acids into sugars through glycolytic pathways and the conversion of complex carbohydrate polymers into soluble [19].
In citrus fruit, sucrose, glucose, and fructose represent the primary soluble sugars, and their content can change during the postharvest period. In the current research, we observed no changes in sucrose concentrations within the stored blood orange samples but, glucose and fructose concentrations both showed increasing trends [1]. This pattern of increasing glucose and fructose suggests that cold storage may help the conversion of organic acids into these sugars through glycolytic enzymes. Temperature appears to have a catalytic effect on this enzymatic process, with the most significant increases in glucose and fructose occurring at 20 °C, highlighting the role of temperature in controlling postharvest sugar content [1].
In this study, we observed changes in TA in blood oranges during cold storage at different temperatures. TA, a vital indicator of citrus fruit juice acidity, is predominantly influenced by the concentrations of organic acids [1]. We demonstrated that TA levels in blood orange juice significantly fluctuate depending on both storage temperature and duration. Throughout the storage period, a consistent decline in TA was noted across all samples. This reduction in acidity indicates the gradual breakdown and utilization of organic acids within the fruit. During cold storage, organic acids may be metabolized into sugars and ATP, which are essential for cellular processes [21]. As a result, TA decreases, a trend confirmed by this study. The highest TA levels were maintained at 10 °C, while the lowest were recorded at the end of storage for fruit kept at 20 °C. These findings underscore the significant influence of temperature on organic acid metabolism, with lower temperatures preserving acidity and higher temperatures accelerating its loss [1].
The TSS/TA ratio is a key indicator of citrus fruit maturity, offering insights into taste and flavor evolution by reflecting the balance between sugars and organic acids. This ratio significantly influences the sensory experience of fruit stored at low temperatures [20]. In this study, the TSS/TA ratio consistently increased at all storage temperatures as storage progressed. This change is driven by metabolic pathways that regulate sugar and organic acid levels through synthesis and breakdown of molecules [1]. As a result, sugar levels rise while organic acid concentrations decline, altering the TSS/TA ratio during cold storage. The lowest TSS/TA ratio (i.e., closest to the at-harvest ratio) was consistently recorded at 10 °C across all sampling times, indicating better preservation of organic acids relative to sugars at this temperature [22].
Overall, these changes are commonly associated with enhanced sweetness perception and reduced sourness. This shift could potentially improve the sensory appeal of blood oranges over time, particularly under higher storage temperatures. Furthermore, the increase in glucose and fructose levels may further contribute to a sweeter flavor profile, despite the lack of change in sucrose content. Together, these biochemical changes suggest that storage conditions influence not only the physiological attributes of blood oranges fruit but also their organoleptic quality [1].
Blood oranges are unique among citrus fruit due to their anthocyanin content, which serves as a key quality indicator [22]. This study highlights that the TAC in blood oranges significantly increased throughout the storage period, with variations in the rate of increase depending on storage temperatures. Notably, 10 °C was identified as the most effective temperature for enhancing TAC, establishing a clear relationship between storage temperatures and anthocyanin accumulation in blood oranges.
Anthocyanin synthesis occurs in the cytosol, with the resulting products subsequently transported to the vacuole to prevent oxidation and to function as pigments [4]. This synthesis involves several enzymes that catalyze each step from phenylalanine deamination to production of anthocyanidins, which are then modified into various anthocyanin structures. Cold temperatures can regulate the activity of these enzymes by enhancing their expression or stability [8]. Additionally, the Ruby gene, encoding a transcription factor crucial for anthocyanin biosynthesis, is activated by cold stress due to a retrotransposon in its promoter region. This activation leads to increased Ruby expression and, consequently, anthocyanin biosynthesis in blood oranges [7]. These processes result in higher anthocyanin levels in the juice vesicles, imparting the characteristic color and associated health benefits to blood oranges postharvest.
Storage temperature influences the metabolic pathways that synthesize anthocyanins, with significant differences observed among various cultivars. Extremely low temperatures can reduce cellular metabolism, thereby downregulating transcripts involved in phenylpropanoid biosynthesis, a secondary metabolic pathway [10]. This downregulation may inhibit anthocyanin biosynthesis and accumulation at lower temperatures by influencing the expression of structural genes within the phenylpropanoid pathway [11]. Consequently, the effectiveness of moderate temperatures in enhancing anthocyanin accumulation is more pronounced than at either higher or lower temperatures, with the maximum enhancement observed at 10 °C across different postharvest storage times.
Phenolic compounds, a diverse group of secondary metabolites that include anthocyanins, are known for their antioxidant properties. In this study, TPC increased in certain treatments during storage, with temperature significantly influencing the rate of accumulation. The highest TPC levels were consistently recorded at 10 °C, whereas the lowest occurred at 20 °C across all storage durations. These results indicate that lower storage temperatures may promote the biosynthesis and accumulation of phenolic compounds in blood oranges by stimulating the phenylpropanoid pathway [11]. In blood oranges, TAC and TPC exhibit a positive correlation [1], likely influenced by temperature-dependent enzymatic and metabolic activities that regulate the synthesis and accumulation of phenolic compounds [8]. This study highlights the importance of storage temperature in modulating the phenolic content, thereby impacting the overall quality and health benefits of the blood orange fruit.
In this study, TAA was observed to increase during the storage period. The findings indicate that lower storage temperatures, particularly around 10 °C, can enhance the antioxidant activity in blood oranges. This enhancement is attributed to the increased synthesis and accumulation of antioxidant compounds, such as anthocyanins and other phenolic compounds, at these temperatures. These antioxidants function by donating electrons or hydrogen atoms, neutralizing free radicals, and mitigating oxidative damage within the fruit [22].
The color of citrus fruit peel is a critical quality attribute that significantly affects consumer preference. Peel color is primarily influenced by the presence of chlorophylls, carotenoids, and anthocyanins. Chlorophylls are responsible for the green hue in unripe citrus fruit, whereas carotenoids and anthocyanins are crucial in developing the final peel color [20]. To objectively describe and quantify these color characteristics, parameters including L*, a*, b*, h°, C* values, and the CCI are used [1].
The L* value measures the lightness of an object, ranging from 0 (black) to 100 (white). In citrus fruit, L* measures how light or dark the fruit’s peel or flesh or juice color appears. A higher L* value indicates a lighter color, while a lower value suggests a darker color. The a* value ranges from green (−) to red (+). Citrus fruit with a positive a* value have more red or orange tendencies, while those with a negative a* value may appear more green [1]. The b* value ranges from positive to negative values with positive values (+) indicating the presence of yellow hues, while negative values (−) indicate the presence of blue hues. Citrus fruit with a positive b* value have more yellow coloration. The h° or hue value ranges from 0 to 360°, progressing from red (0°) to yellow (90°), green (180°), and blue (270°). The C* or chroma or color saturation index quantifies the purity, intensity or saturation of color. Citrus fruit with higher C* values have more vibrant and vivid colors. Colors produced by a single, predominant pigment have higher C* values than those resulting from a mixture of pigments. The CCI is a metric specifically designed to assess the color of citrus fruit. Being derived from the Hunter L, a, and b values, the CCI is essentially an indicator of how light or dark and deep orange the peel color appears. It is often used in the citrus industry to evaluate fruit maturity and quality, with higher values typically indicating better (i.e., more orange) coloration [22].
In this study, the peel color parameters L*, b*, and h° all decreased across different storage temperatures, indicating the peel became darker and exhibited less yellow tones. Conversely, the a* and CCI values increased, suggesting a higher red component in the peel color. The C* values changed little during storage, probably indicating maintenance of a somewhat complex pigment mixture. The rise in the red component (+a*) was particularly notable, corresponding to the change from a more yellow to a more orange peel color. During the period of cold storage, the observed increase in L* values can be attributed to the breakdown of carotenoids, which occurs through oxidative reactions and isomerization. Such transformations are known to result in notable alterations in the coloration of the peel [23]. The increase in ΔE at 15 °C suggests that moderate temperatures may accelerate physiological and biochemical processes involved in pigment metabolism. In contrast, higher temperatures like 20 °C might slow these processes or maintain pigment stability, resulting in lower ΔE values over time [17].

5. Conclusions

In conclusion, this study on ‘Moro’ blood oranges has provided valuable insights into the impact of storage temperature on fruit quality and nutritional attributes. Multivariate statistical analyses demonstrated how storage temperature and duration significantly influence the postharvest quality and bioactive compounds of ‘Moro’ blood orange fruit. The findings clearly demonstrate that maintaining blood oranges at a non-chilling temperature of 10 °C is optimal for preserving their physical qualities and enhancing their biochemical properties. This temperature effectively reduced weight and firmness losses, boosted the TAC, TPC, and TAA, and preserved juice attributes. Conversely, higher temperatures of 15 and 20 °C were associated with greater physical quality losses and lower titratable acidity, although they did lead to higher TSS and sugar content. The study highlights the importance of storage temperature conditions in enhancing the health-promoting qualities of blood oranges, making 10 °C an ideal temperature for extending the storability and enhancing the nutritional value of ‘Moro’ blood oranges during postharvest storage for up to 42 days. Future research should investigate whether similar biochemical and physiological responses occur in other blood orange cultivars under moderate storage temperatures and should further examine the underlying molecular mechanisms involved in anthocyanin biosynthesis and stress responses. Such studies could help optimize storage protocols modified to specific cultivars and warm-climate production systems.

Author Contributions

F.H.: Conceptualization, investigation, project administration, formal analysis, methodology, writing—original draft, writing—review and editing, visualization, software. M.A.S.: writing—review and editing. T.J.: methodology. C.V.: methodology, Writing—review and editing. J.K.B.: validation, visualization, writing—review and editing. A.S.: conceptualization, supervision, data curation, validation, visualization, resources, writing—review and editing, funding acquisition. All authors have read and agreed to the published version of the manuscript.

Funding

This study was supported by the USDA National Institute of Food and Agriculture, Research Capacity Fund (Hatch) projects 7004457 and 7004470, and UF/IFAS start-up funding to A.S. and C.V.

Data Availability Statement

Data are contained within the article.

Acknowledgments

We extend our deepest appreciation to the staff and students of the Postharvest and Fruit Crops Labs of the Horticultural Sciences Department at the University of Florida. Their invaluable support and collaboration during our laboratory experiments were instrumental to our research.

Conflicts of Interest

The authors declare no conflicts of interest.

References

  1. Habibi, F.; Shahid, M.A.; Spicer, R.L.; Voiniciuc, C.; Kim, J.; Gmitter, F.G., Jr.; Brecht, J.K.; Sarkhosh, A. Postharvest storage temperature strategies affect anthocyanin levels, total phenolic content, antioxidant activity, chemical attributes of juice, and physical qualities of blood orange fruit. Food Chem. Adv. 2024, 4, 100722. [Google Scholar] [CrossRef]
  2. Du, Y.-W.; Li, X.-K.; Wang, T.-T.; Zhou, L.; Li, H.-R.; Feng, L.; Ma, H.; Liu, H.-B. Cyanidin-3-glucoside inhibits ferroptosis in renal tubular cells after ischemia/reperfusion injury via the AMPK pathway. Mol. Med. 2023, 29, 42. [Google Scholar] [CrossRef] [PubMed]
  3. Bendokas, V.; Stanys, V.; Mažeikienė, I.; Trumbeckaite, S.; Baniene, R.; Liobikas, J. Anthocyanins: From the Field to the Antioxidants in the Body. Antioxidants 2020, 9, 819. [Google Scholar] [CrossRef]
  4. Lo Piero, A.R. The state of the art in biosynthesis of anthocyanins and its regulation in pigmented sweet oranges [(Citrus sinensis) L. Osbeck]. J. Agric. Food Chem. 2015, 63, 4031–4041. [Google Scholar] [CrossRef]
  5. Morales, J.; Bermejo, A.; Navarro, P.; Forner-Giner, M.Á.; Salvador, A. Rootstock effect on fruit quality, anthocyanins, sugars, hydroxycinnamic acids and flavanones content during the harvest of blood oranges ‘Moro’and ‘Tarocco Rosso’grown in Spain. Food Chem. 2021, 342, 128305. [Google Scholar] [CrossRef]
  6. Liu, H.; Jin, Y.; Huang, L.; Miao, C.; Tang, J.; Zhang, H.; Yin, H.; Lu, X.; Li, N.; Dai, S. Transcriptomics and metabolomics reveal the underlying mechanism of drought treatment on anthocyanin accumulation in postharvest blood orange fruit. BMC Plant Biol. 2024, 24, 160. [Google Scholar] [CrossRef] [PubMed]
  7. Butelli, E.; Licciardello, C.; Zhang, Y.; Liu, J.; Mackay, S.; Bailey, P.; Reforgiato-Recupero, G.; Martin, C. Retrotransposons control fruit-specific, cold-dependent accumulation of anthocyanins in blood oranges. Plant Cell 2012, 24, 1242–1255. [Google Scholar] [CrossRef]
  8. Carmona, L.; Alquézar, B.; Marques, V.V.; Peña, L. Anthocyanin biosynthesis and accumulation in blood oranges during postharvest storage at different low temperatures. Food Chem. 2017, 237, 7–14. [Google Scholar] [CrossRef]
  9. Habibi, F.; Ramezanian, A.; Guillén, F.; Castillo, S.; Serrano, M.; Valero, D. Changes in bioactive compounds, antioxidant activity, and nutritional quality of blood orange cultivars at different storage temperatures. Antioxidants 2020, 9, 1016. [Google Scholar] [CrossRef]
  10. Pannitteri, C.; Continella, A.; Cicero, L.L.; Gentile, A.; La Malfa, S.; Sperlinga, E.; Napoli, E.; Strano, T.; Ruberto, G.; Siracusa, L. Influence of postharvest treatments on qualitative and chemical parameters of Tarocco blood orange fruits to be used for fresh chilled juice. Food Chem. 2017, 230, 441–447. [Google Scholar] [CrossRef]
  11. Carmona, L.; Sulli, M.; Diretto, G.; Alquézar, B.; Alves, M.; Peña, L. Improvement of antioxidant properties in fruit from two blood and blond orange cultivars by postharvest storage at low temperature. Antioxidants 2022, 11, 547. [Google Scholar] [CrossRef] [PubMed]
  12. Chen, J.; Liu, F.; Ismail, B.B.; Wang, W.; Xu, E.; Pan, H.; Ye, X.; Liu, D.; Cheng, H. Effects of ethephon and low-temperature treatments on blood oranges (Citrus sinensis L. Osbeck): Anthocyanin accumulation and volatile profile changes during storage. Food Chem. 2022, 393, 133381. [Google Scholar] [CrossRef] [PubMed]
  13. Plaza, P.; Sanbruno, A.; Usall, J.; Lamarca, N.; Torres, R.; Pons, J.; Viñas, I. Integration of curing treatments with degreening to control the main postharvest diseases of clementine mandarins. Postharvest Biol. Technol. 2004, 34, 29–37. [Google Scholar] [CrossRef]
  14. Robert, M.; Waldhauer, J.; Stritt, F.; Yang, B.; Pauly, M.; Voiniciuc, C. Modular biosynthesis of plant hemicellulose and its impact on yeast cells. Biotechnol. Biofuels. 2021, 14, 140. [Google Scholar] [CrossRef]
  15. Singleton, V.L.; Rossi, J.A. Colorimetry of total phenolics with phosphomolybdic-phosphotungstic acid reagents. Am. J. Enol. Vitic. 1965, 16, 144–158. [Google Scholar] [CrossRef]
  16. Benzie, I.F.; Strain, J.J. The ferric reducing ability of plasma (FRAP) as a measure of “antioxidant power”: The FRAP assay. Anal. Biochem. 1996, 239, 70–76. [Google Scholar] [CrossRef]
  17. Yang, C.; Lee, F.; Cheng, Y.; Chu, Y.; Chen, C.; Kuan, Y. Chitosan coating formulated with citric acid and pomelo extract retards pericarp browning and fungal decay to extend shelf life of cold-stored lychee. Sci. Hortic. 2023, 310, 111735. [Google Scholar] [CrossRef]
  18. Chen, C.; Nie, Z.; Wan, C.; Gan, Z.; Chen, J. Suppression on postharvest juice sac granulation and cell wall modification by chitosan treatment in harvested pummelo (Citrus grandis L. Osbeck) stored at room temperature. Food Chem. 2021, 336, 127636. [Google Scholar] [CrossRef]
  19. Zacarias, J.; Rodrigo, M.J.; Rambla, J.L.; Granell, A.; Zacarías, L. Physiological responses, nutritional quality and aroma volatiles of the red-fleshed kirkwood navel and ruby valencia oranges during postharvest cold storage. Postharvest Biol. Technol. 2023, 199, 112303. [Google Scholar] [CrossRef]
  20. Lado, J.; Gambetta, G.; Zacarias, L. Key determinants of citrus fruit quality: Metabolites and main changes during maturation. Sci. Hortic. 2018, 233, 238–248. [Google Scholar] [CrossRef]
  21. Zhang, M.; Lu, W.; Yang, X.; Li, Q.; Lin, X.; Liu, K.; Yin, C.; Xiong, B.; Liao, L.; Sun, G. Comprehensive analyses of the citrus WRKY gene family involved in the metabolism of fruit sugars and organic acids. Front. Plant Sci. 2023, 14, 1264283. [Google Scholar] [CrossRef] [PubMed]
  22. Habibi, F.; Valero, D.; Serrano, M.; Guillén, F. Exogenous application of glycine betaine maintains bioactive compounds, antioxidant activity, and physicochemical attributes of blood orange fruit during prolonged cold storage. Front. Nutri. 2022, 9, 873915. [Google Scholar] [CrossRef] [PubMed]
  23. Aispuro-Hernández, E.; Vera-Guzmán, A.M.; Vargas-Arispuro, I.; Martínez-Téllez, M.Á. Low-temperature storage regulates the expression of genes related to peel pigments of grapefruit. Sci. Hortic. 2019, 254, 208–214. [Google Scholar] [CrossRef]
Figure 1. Changes in weight loss and firmness of ‘Moro’ blood orange fruit over 42 days at different storage temperatures (10, 15, and 20 °C). Vertical bars represent standard errors (±SE) of means. Different letters above the bars on columns indicate significant difference at p < 0.05 level of probability.
Figure 1. Changes in weight loss and firmness of ‘Moro’ blood orange fruit over 42 days at different storage temperatures (10, 15, and 20 °C). Vertical bars represent standard errors (±SE) of means. Different letters above the bars on columns indicate significant difference at p < 0.05 level of probability.
Horticulturae 11 00493 g001
Figure 2. Changes in titratable acidity (TA) and TSS/TA ratio of ‘Moro’ blood orange fruit over 42 days at different storage temperatures (10, 15, and 20 °C). Vertical bars represent standard errors (±SE) of means. Different letters above the bars on columns indicate significant differences at p < 0.05 level of probability.
Figure 2. Changes in titratable acidity (TA) and TSS/TA ratio of ‘Moro’ blood orange fruit over 42 days at different storage temperatures (10, 15, and 20 °C). Vertical bars represent standard errors (±SE) of means. Different letters above the bars on columns indicate significant differences at p < 0.05 level of probability.
Horticulturae 11 00493 g002
Figure 3. Changes in glucose and fructose of ‘Moro’ blood orange fruit over 42 days at different storage temperatures (10, 15, and 20 °C). Vertical bars represent standard errors (±SE) of means. Different letters above the bars on columns indicate significant differences at p < 0.05 level of probability.
Figure 3. Changes in glucose and fructose of ‘Moro’ blood orange fruit over 42 days at different storage temperatures (10, 15, and 20 °C). Vertical bars represent standard errors (±SE) of means. Different letters above the bars on columns indicate significant differences at p < 0.05 level of probability.
Horticulturae 11 00493 g003
Figure 4. Changes in total anthocyanin concentration (TAC), total phenolic content (TPC), and total antioxidant activity (TAA) of ‘Moro’ blood orange fruit over 42 days at different storage temperatures (10, 15, and 20 °C). Vertical bars represent standard errors (±SE) of means. Different letters above the bars on columns indicate significant differences at p < 0.05 level of probability.
Figure 4. Changes in total anthocyanin concentration (TAC), total phenolic content (TPC), and total antioxidant activity (TAA) of ‘Moro’ blood orange fruit over 42 days at different storage temperatures (10, 15, and 20 °C). Vertical bars represent standard errors (±SE) of means. Different letters above the bars on columns indicate significant differences at p < 0.05 level of probability.
Horticulturae 11 00493 g004
Figure 5. Changes in flesh (A) and juice (B) color in ‘Moro’ blood oranges at harvest and after 14, 28, and 42 days of storage at 10, 15, and 20 °C.
Figure 5. Changes in flesh (A) and juice (B) color in ‘Moro’ blood oranges at harvest and after 14, 28, and 42 days of storage at 10, 15, and 20 °C.
Horticulturae 11 00493 g005
Figure 6. Changes in peel color of ‘Moro’ blood orange fruit over 42 days at different storage temperatures (10, 15, and 20 °C). Vertical bars represent standard errors (±SE) of means. Different letters above the bars on columns indicate significant difference at p < 0.05 level of probability.
Figure 6. Changes in peel color of ‘Moro’ blood orange fruit over 42 days at different storage temperatures (10, 15, and 20 °C). Vertical bars represent standard errors (±SE) of means. Different letters above the bars on columns indicate significant difference at p < 0.05 level of probability.
Horticulturae 11 00493 g006
Figure 7. Changes in peel color difference (ΔE) of peel color in ‘Moro’ blood orange fruit over 42 days at different storage temperatures (10, 15, and 20 °C). Vertical bars represent standard errors (±SE) of means. Different letters above the bars on columns indicate significant difference at p < 0.05 level of probability.
Figure 7. Changes in peel color difference (ΔE) of peel color in ‘Moro’ blood orange fruit over 42 days at different storage temperatures (10, 15, and 20 °C). Vertical bars represent standard errors (±SE) of means. Different letters above the bars on columns indicate significant difference at p < 0.05 level of probability.
Horticulturae 11 00493 g007
Figure 8. Principal component analysis (PCA) including score plot and biplot of ‘Moro’ blood orange fruit at different storage temperatures (10, 15, and 20 °C).
Figure 8. Principal component analysis (PCA) including score plot and biplot of ‘Moro’ blood orange fruit at different storage temperatures (10, 15, and 20 °C).
Horticulturae 11 00493 g008
Figure 9. Pearson correlation coefficients among variables. Positive and negative correlations are represented by purple and orange, respectively. The circle size and color intensity are proportional to the values of the correlation coefficients. Large circles indicate significant correlation coefficients, reflecting strong linear relationships, while small circles represent the smallest, insignificant correlation coefficients.
Figure 9. Pearson correlation coefficients among variables. Positive and negative correlations are represented by purple and orange, respectively. The circle size and color intensity are proportional to the values of the correlation coefficients. Large circles indicate significant correlation coefficients, reflecting strong linear relationships, while small circles represent the smallest, insignificant correlation coefficients.
Horticulturae 11 00493 g009
Disclaimer/Publisher’s Note: The statements, opinions and data contained in all publications are solely those of the individual author(s) and contributor(s) and not of MDPI and/or the editor(s). MDPI and/or the editor(s) disclaim responsibility for any injury to people or property resulting from any ideas, methods, instructions or products referred to in the content.

Share and Cite

MDPI and ACS Style

Habibi, F.; Shahid, M.A.; Jacobson, T.; Voiniciuc, C.; Brecht, J.K.; Sarkhosh, A. Postharvest Quality and Biochemical Changes in Blood Orange Fruit Exposed to Various Non-Chilling Storage Temperatures. Horticulturae 2025, 11, 493. https://doi.org/10.3390/horticulturae11050493

AMA Style

Habibi F, Shahid MA, Jacobson T, Voiniciuc C, Brecht JK, Sarkhosh A. Postharvest Quality and Biochemical Changes in Blood Orange Fruit Exposed to Various Non-Chilling Storage Temperatures. Horticulturae. 2025; 11(5):493. https://doi.org/10.3390/horticulturae11050493

Chicago/Turabian Style

Habibi, Fariborz, Muhammad A. Shahid, Talia Jacobson, Cătălin Voiniciuc, Jeffrey K. Brecht, and Ali Sarkhosh. 2025. "Postharvest Quality and Biochemical Changes in Blood Orange Fruit Exposed to Various Non-Chilling Storage Temperatures" Horticulturae 11, no. 5: 493. https://doi.org/10.3390/horticulturae11050493

APA Style

Habibi, F., Shahid, M. A., Jacobson, T., Voiniciuc, C., Brecht, J. K., & Sarkhosh, A. (2025). Postharvest Quality and Biochemical Changes in Blood Orange Fruit Exposed to Various Non-Chilling Storage Temperatures. Horticulturae, 11(5), 493. https://doi.org/10.3390/horticulturae11050493

Note that from the first issue of 2016, this journal uses article numbers instead of page numbers. See further details here.

Article Metrics

Back to TopTop