Impact of Ten-Year Straw and Lime Management History on Soil Micronutrient Availability and Tomato Yield in Greenhouse
Abstract
1. Introduction
2. Materials and Methods
2.1. Study Site and Experimental Design
2.2. Soil Sampling and Chemical Analysis
2.3. Plant Parameters
2.4. Data Analysis
3. Results
3.1. Effects of Straw and Lime on Soil Properties
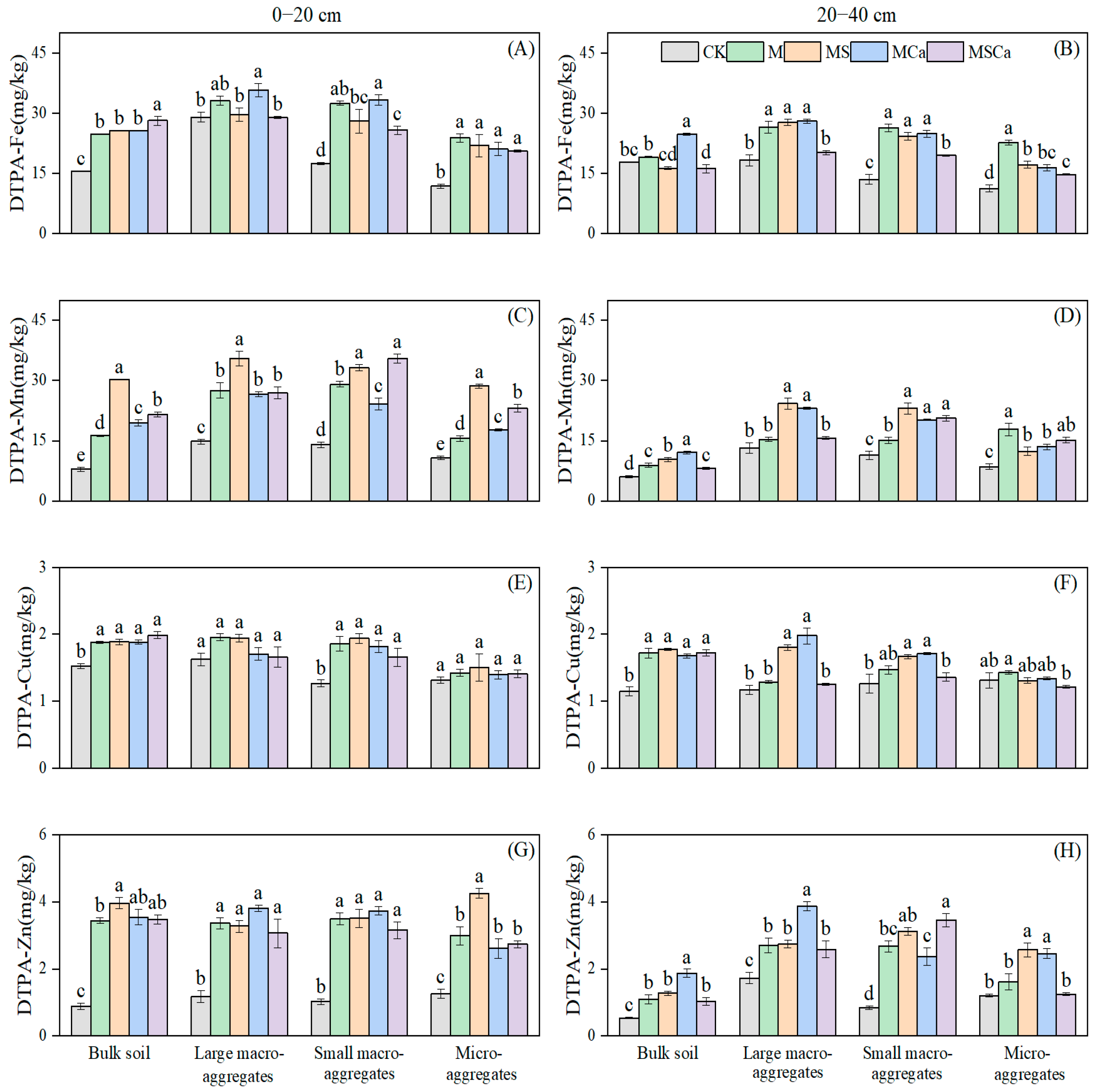
3.2. Distribution of Soil Micronutrients at Soil Depths and in Soil Aggregates
3.3. Effects of Straw and Lime on Tomato Yield and Fruit Quality
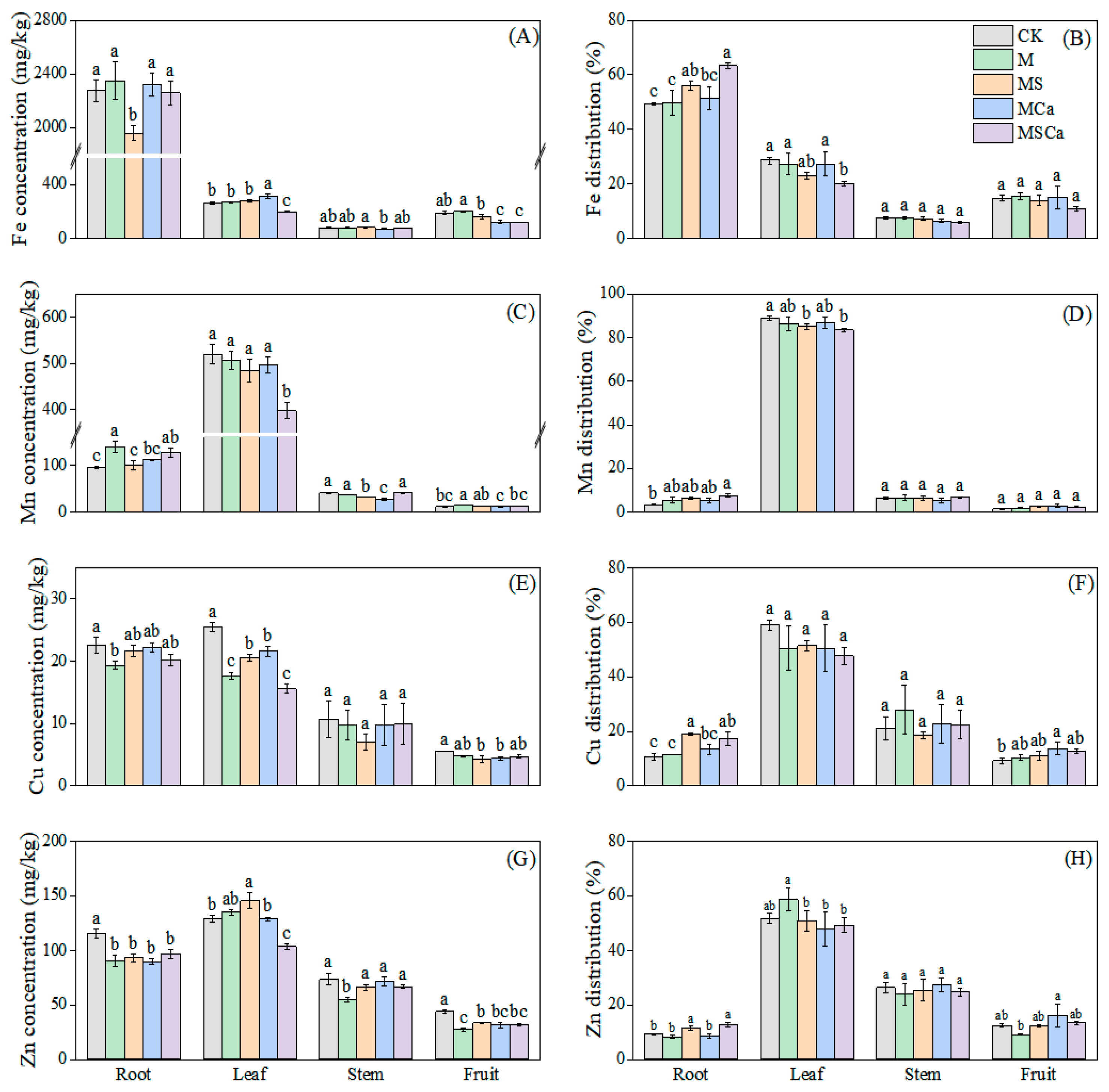
3.4. Concentration and Distribution of Micronutrients in Tomato Organs
3.5. Correlations Between Plant Micronutrient Concentration and Soil Available Micronutrients
3.6. Pathways of Straw and Lime Application in Regulating Tomato Yield
4. Discussion
5. Conclusions
Author Contributions
Funding
Data Availability Statement
Conflicts of Interest
References
- Hu, W.Y.; Zhang, Y.X.; Huang, B.; Teng, Y. Soil environmental quality in greenhouse vegetable production systems in eastern China: Current status and management strategies. Chemosphere 2017, 170, 183–195. [Google Scholar] [CrossRef]
- Li, T.L.; Xu, Y.; Zhng, J.X. The current situation and development of vegetable, melon and edible fungus industries in China. China Veg. 2019, 11, 6–9. [Google Scholar]
- Zhao, Y.P.; Jia, Q.; Qi, X.H. Present situation and development countermeasure of tomato production in Liaoning Province. China Veg. 2015, 10, 6–9. [Google Scholar]
- Malakouti, M.J. The effect of micronutrients in ensuring efficient use of macronutrients. Turk. J. Agric. For. 2008, 32, 215–220. [Google Scholar]
- Sharma, U.; Kumar, P. Micronutrient research in India: Extent of deficiency, crop responses and future challenges. Int. J. Adv. Res. 2016, 4, 1402–1406. [Google Scholar] [CrossRef]
- Moreno-Jimenez, E.; Maestre, F.T.; Flagmeier, M.; Guirado, E.; Berdugo, M.; Bastida, F.; Dacal, M.; Diaz-Martinez, P.; Ochoa-Hueso, R.; Plaza, C.; et al. Soils in warmer and less developed countries have less micronutrients globally. Glob. Change Biol. 2023, 29, 522–532. [Google Scholar] [CrossRef]
- Setia, R.; Sharma, K. Effect of continuous cropping and long term differential fertilization on profile stratification of DTPA–extractable micronutrients Distribution of micronutrient cations. J. Food Agric. Environ. 2004, 2, 260–265. [Google Scholar] [CrossRef]
- Kumar, D.; Patel, K.P.; Ramani, V.P.; Shukla, A.K.; Meena, R.S. Management of micronutrients in soil for the nutritional security. In Nutrient Dynamics for Sustainable Crop Production; Meena, R.S., Ed.; Springer: Singapore, 2020; pp. 103–134. [Google Scholar]
- Wei, X.R.; Hao, M.D.; Shao, M.G.; Gale, W.J. Changes in soil properties and the availability of soil micronutrients after 18 years of cropping and fertilization. Soil Tillage Res. 2006, 91, 120–130. [Google Scholar] [CrossRef]
- Gupta, A.P. Micronutrient status and fertilizer use scenario in India. J. Trace Elem. Med. Biol. 2005, 18, 325–331. [Google Scholar] [CrossRef]
- Fan, J.L.; Ding, W.X.; Chen, Z.M.; Ziadi, N. Thirty-year amendment of horse manure and chemical fertilizer on the availability of micronutrients at the aggregate scale in black soil. Environ. Sci. Pollut. Res. 2012, 19, 2745–2754. [Google Scholar] [CrossRef]
- Zhang, Y.G.; Zhang, Y.Y.; Cai, J.P.; Zhu, P.; Gao, H.J.; Jiang, Y. Variation in available micronutrients in black soil after 30-year fertilization treatment. Plant Soil Environ. 2014, 60, 387–393. [Google Scholar] [CrossRef]
- Du, Z.L.; Ren, T.S.; Hu, C.S.; Zhang, Q.Z.; Blanco-Canqui, H. Soil aggregate stability and aggregate-associated carbon under different tillage systems in the north China plain. J. Integr. Agric. 2013, 12, 2114–2123. [Google Scholar] [CrossRef]
- Six, J.; Feller, C.; Denef, K.; Ogle, S.M.; Sa, J.C.D.; Albrecht, A. Soil organic matter, biota and aggregation in temperate and tropical soils-Effects of no-tillage. Agronomie 2002, 22, 755–775. [Google Scholar] [CrossRef]
- Uprety, D.; Hejcman, M.; Száková, J.; Kunzová, E.; Tlustoš, P. Concentration of trace elements in arable soil after long-term application of organic and inorganic fertilizers. Nutr. Cycl. Agroecosyst. 2009, 85, 241–252. [Google Scholar] [CrossRef]
- Six, J.; Bossuyt, H.; Degryze, S.; Denef, K. A history of research on the link between (micro)aggregates, soil biota, and soil organic matter dynamics. Soil Tillage Res. 2004, 79, 7–31. [Google Scholar] [CrossRef]
- Wang, X.X.; Zhao, F.Y.; Zhang, G.X.; Zhang, Y.Y.; Yang, L.J. Vermicompost improves tomato yield and quality and the biochemical properties of soils with different tomato planting history in a greenhouse study. Front. Plant Sci. 2017, 8, 1978. [Google Scholar] [CrossRef]
- Zhang, Y.Q.; Hagedorn, F.; Guidi, C.; Yang, L.J. Limited soil carbon storage under long-term organic fertilization in solar greenhouses. Soil Use Manag. 2022, 38, 1614–1627. [Google Scholar] [CrossRef]
- Bao, S.D. Analysis of Soil Agro-Chemistry, 3rd ed.; Agricultural Press Chinese: Beijing, China, 2001. [Google Scholar]
- Lindsay, W.L.; Norvell, W.A. Development of a DTPA soil test for zinc, iron, manganese, and copper. Soil Sci. Soc. Am. J. 1978, 42, 421–428. [Google Scholar] [CrossRef]
- Cambardella, C.A.; Elliott, E.T. Carbon and nitrogen distribution in aggregates from cultivated and native grassland soils. Soil Sci. Soc. Am. J. 1993, 57, 1071–1076. [Google Scholar] [CrossRef]
- Li, H.S. Plant Physiology and Biochemistry Principle and Techniques; Higher Education Press: Beijing, China, 2000. [Google Scholar]
- Petersen, B.; Snapp, S. What is sustainable intensification? Views from experts. Land Use Policy 2015, 46, 1–10. [Google Scholar] [CrossRef]
- Dhaliwal, S.S.; Sharma, S.; Sharma, V.; Shukla, A.K.; Walia, S.S.; Alhomrani, M.; Gaber, A.; Toor, A.S.; Verma, V.; Randhawa, M.K. Long-Term Integrated Nutrient Management in the Maize-Wheat Cropping System in Alluvial Soils of North-Western India: Influence on Soil Organic Carbon, Microbial Activity and Nutrient Status. Agronomy 2021, 11, 2258. [Google Scholar] [CrossRef]
- Baldi, E.; Cavani, L.; Mazzon, M.; Marzadori, C.; Quartieri, M.; Toselli, M. Fourteen years of compost application in a commercial nectarine orchard: Effect on microelements and potential harmful elements in soil and plants. Sci. Total Environ. 2021, 752, 141894. [Google Scholar] [CrossRef] [PubMed]
- Jobbágy, E.G.; Jackson, R.B. The distribution of soil nutrients with depth: Global patterns and the imprint of plants. Biogeochemistry 2001, 53, 51–77. [Google Scholar] [CrossRef]
- Wang, R.; Dungait, J.A.J.; Buss, H.L.; Yang, S.; Zhang, Y.G.; Xu, Z.W.; Jiang, Y. Base cations and micronutrients in soil aggregates as affected by enhanced nitrogen and water inputs in a semi-arid steppe grassland. Sci. Total Environ. 2017, 575, 564–572. [Google Scholar] [CrossRef] [PubMed]
- Rengel, Z. Availability of Mn, Zn and Fe in the rhizosphere. J. Soil Sci. Plant Nutr. 2015, 15, 397–409. [Google Scholar] [CrossRef]
- Hu, M.; Xiang, Y.S.; Lu, J.W. Effects of lime application rates on soil pH and available nutrient content in acidic soils. Chin. Soil Fertil. 2017, 04, 75–80. [Google Scholar] [CrossRef]
- Six, J.; Elliott, E.T.; Paustian, K. Soil macroaggregate turnover and microaggregate formation: A mechanism for C sequestration under no-tillage agriculture. Soil Biol. Biochem. 2000, 32, 2099–2103. [Google Scholar] [CrossRef]
- Rowley, M.C.; Grand, P.S.; Verrecchia, R.P. Calcium-mediated stabilisation of soil organic carbon. Biogeochemistry 2018, 137, 27–49. [Google Scholar] [CrossRef]
- Aye, N.; Butterly, C.; Sale, P.; Tang, C.X. Residue addition and liming history interactively enhance mineralization of native organic carbon in acid soils. Biol. Fertil. Soils 2017, 53, 61–75. [Google Scholar] [CrossRef]
- Aye, N.; Sale, P.; Tang, C.X. The impact of long-term liming on soil organic carbon and aggregate stability in low-input acid soils. Biol. Fertil. Soils 2016, 52, 697–709. [Google Scholar] [CrossRef]
- Piccolo, A.; Pietramellara, G.; Mbagwu, J.S.C. Use of humic substances as soil conditioners to increase aggregate stability. Geoderma 1997, 75, 267–277. [Google Scholar] [CrossRef]
- Bossolani, J.W.; Crusciol, C.A.C.; Merloti, L.F.; Moretti, L.G.; Costa, N.R.; Tsai, S.M.; Kuramae, E.E. Long-term lime and gypsum amendment increase nitrogen fixation and decrease nitrification and denitrification gene abundances in the rhizosphere and soil in a tropical no-till intercropping system. Geoderma 2020, 375, 114476. [Google Scholar] [CrossRef]
- Katyal, J.C.; Sharma, B.D. DTPA-extractable and total Zn, Cu, Mn, and Fe in Indian soils and their association with some soil properties. Geoderma 1991, 49, 165–179. [Google Scholar] [CrossRef]
- Ramteke, P.; Vashisht, B.; Sharma, S.; Jalota, S. Assessing and Ranking Influence of Rates of Rice (Oryza sativa L.) Straw Incorporation and N Fertilizer on Soil Physicochemical Properties and Wheat (Triticum aestivum L.) Yield in Rice-Wheat System. J. Soil Sci. Plant Nutr. 2021, 22, 515–526. [Google Scholar] [CrossRef]
- Taghipour, M.; Jalali, M. Effects of some industrial and organic wastes application on growth and heavy metal uptake by tomato (Lycopersicum esculentum) grown in a greenhouse condition. Environ. Sci. Pollut. Res. Int. 2020, 27, 5353–5366. [Google Scholar] [CrossRef] [PubMed]
- Ma, J.F.; Tsay, Y.F. Transport systems of mineral elements in plants: Transporters, regulation and utilization. Plant Cell Physiol. 2021, 62, 539–540. [Google Scholar] [CrossRef]
- Gama, F.; Saavedra, T.; Dandlen, S.; García-Caparrós, P.; de Varennes, A.; Nolasco, G.; Correia, P.J.; Pestana, M. Silencing of FRO1 gene affects iron homeostasis and nutrient balance in tomato plants. J. Plant Nutr. Soil Sci. 2023, 186, 554–567. [Google Scholar] [CrossRef]
- Kabir, A.H.; Akther, M.S.; Skalicky, M.; Das, U.; Gohari, G.; Brestic, M.; Hossain, M.M. Downregulation of Zn-transporters along with Fe and redox imbalance causes growth and photosynthetic disturbance in Zn-deficient tomato. Sci. Rep. 2021, 11, 6040. [Google Scholar] [CrossRef]
- Birghila, S.; Matei, N.; Dobrinas, S.; Popescu, V.; Soceanu, A.; Niculescu, A. Assessment of heavy metal content in soil and Lycopersicon esculentum (tomato) and their health implications. Biol. Trace Elem. Res. 2023, 201, 1547–1556. [Google Scholar] [CrossRef]
- Wang, L.Y.; Liao, D.; Rengel, Z.; Shen, J.B. Soil-plant-microbe interactions in the rhizosphere: Incremental amplification induced by localized fertilization. Front. Agric. Sci. Eng. 2025, 12, 57–68. [Google Scholar] [CrossRef]
- Lilay, G.H.; Thiebaut, N.; du Mee, D.; Assuncao, A.G.L.; Schjoerring, J.K.; Husted, S.; Persson, D.P. Linking the key physiological functions of essential micronutrients to their deficiency symptoms in plants. New Phytol. 2024, 242, 881–902. [Google Scholar] [CrossRef]
- Song, M.Y.; Li, J.F.; Gao, L.H.; Tian, Y.Q. Comprehensive evaluation of effects of various carbon-rich amendments on overall soil quality and crop productivity in degraded soils. Geoderma 2023, 436, 116529. [Google Scholar] [CrossRef]






| Materials | pH | EC | TN | P2O5 | K2O | TC |
|---|---|---|---|---|---|---|
| (µs/cm) | (g/kg) | |||||
| Straw | - | - | 9.8 | 1.6 | 6.3 | 395.4 |
| Manure | 7.5 | 832 | 22.4 | 15.3 | 16.8 | 151.3 |
| Lime | 13.6 | 729 | 0.0 | 0.0 | 0.0 | 0.0 |
| Chemical fertilizer | 6.1 | 1879 | 130.2 | 74.1 | 124.6 | 0.0 |
| Soil Depth (cm) | Treatment | pH | EC (μS/cm) | Total C (g/kg) | Total N (g/kg) | C/N | Total P (g/kg) | Total K (g/kg) | Available N (mg/kg) | Available P (mg/kg) | Available K (mg/kg) |
|---|---|---|---|---|---|---|---|---|---|---|---|
| 0–20 | CK | 7.8 ± 0.1a | 123.3 ± 0.9b | 6.1 ± 0.2d | 1.1 ± 0.1b | 5.6 ± 0.7b | 0.2 ± 0.0d | 24.2 ± 0.6a | 56.7 ± 1.8b | 22.0 ± 1.5e | 170.0 ± 3.1e |
| M | 7.1 ± 0.0b | 281.0 ± 19.0ab | 12.5 ± 0.9c | 1.9 ± 0.0a | 6.5 ± 0.5b | 0.9 ± 0.1b | 23.2 ± 0.6a | 124.2 ± 1.9ab | 189.0 ± 4.7a | 421.4 ± 0.2c | |
| MS | 6.8 ± 0.0c | 412.0 ± 19.4a | 16.1 ± 0.6b | 2.1 ± 0.1a | 7.8 ± 0.6ab | 0.7 ± 0.0c | 24.5 ± 0.1a | 151.8 ± 7.6a | 116.1 ± 0.9c | 376.9 ± 3.6d | |
| MCa | 7.0 ± 0.0bc | 407.7 ± 8.1a | 13.9 ± 0.3bc | 1.8 ± 0.0a | 7.9 ± 0.3ab | 1.1 ± 0.0ab | 24.0 ± 0.7a | 141.0 ± 0.6a | 99.6 ± 2.6d | 503.3 ± 16.3a | |
| MSCa | 7.2 ± 0.0b | 413.7 ± 9.3a | 19.4 ± 0.4a | 2.1 ± 0.1a | 9.4 ± 0.3a | 1.2 ± 0.0a | 24.2 ± 0.1a | 137.1 ± 6.9ab | 133.8 ± 3.1b | 461.7 ± 1.0b | |
| 20–40 | CK | 7.7 ± 0.1a | 106.0 ± 5.0d | 4.1 ± 0.2c | 1.0 ± 0.0b | 4.3 ± 0.3b | 0.4 ± 0.0d | 23.8 ± 0.6a | 44.8 ± 2.5d | 21.9 ± 3.2d | 118.7 ± 3.5b |
| M | 7.5 ± 0.0ab | 199.3 ± 18.3c | 7.8 ± 0.9b | 1.2 ± 0.1ab | 6.4 ± 0.4ab | 0.6 ± 0.0c | 23.0 ± 0.4a | 57.5 ± 2.8cd | 77.3 ± 5.7bc | 217.9 ± 6.7ab | |
| MS | 7.3 ± 0.0b | 263.3 ± 9.3b | 10.9 ± 0.2a | 1.6 ± 0.2a | 6.8 ± 0.5a | 0.6 ± 0.0c | 23.4 ± 0.3a | 67.3 ± 1.0bc | 93.2 ± 9.1b | 261.7 ± 17.9a | |
| MCa | 7.5 ± 0.1ab | 193.0 ± 2.0c | 9.5 ± 1.1ab | 1.6 ± 0.1a | 6.1 ± 0.5ab | 0.9 ± 0.0a | 24.4 ± 0.4a | 94.9 ± 1.6a | 129.9 ± 1.8a | 318.6 ± 19.4a | |
| MSCa | 7.4 ± 0.1ab | 430.7 ± 11.5a | 9.5 ± 0.3ab | 1.4 ± 0.1ab | 7.0 ± 0.6a | 0.8 ± 0.0b | 23.7 ± 0.5a | 76.5 ± 4.6b | 60.8 ± 1.9c | 235.6 ± 3.5ab | |
| p-value | Straw (S) | * | *** | *** | ** | ** | ns | ns | ns | ns | ns |
| Liming (Ca) | ns | ** | ** | ns | ** | *** | ns | ** | ns | ** | |
| Soil Depth (D) | ** | ** | *** | *** | ** | ** | ns | *** | ns | *** | |
| S × Ca | ** | ns | ns | * | ns | ns | ns | ** | ns | * | |
| S × D | ns | ns | * | ns | ns | ns | ns | ns | ns | ns | |
| Ca × D | ns | ns | ns | ns | ns | ns | ns | ns | ns | ns | |
| S × Ca × D | * | ** | ns | ns | ns | ns | ns | ns | ns | ns |
| Aggregates Fractions | Straw (S) | Lime (Ca) | Soil Depth (D) | S × Ca | S × D | Ca × D | S × Ca × D | |
|---|---|---|---|---|---|---|---|---|
| DTPA-Fe | Bulk soil | ns | ** | *** | * | *** | ns | ns |
| Large macroaggregates | * | ns | *** | ** | ns | ns | ns | |
| Small macroaggregates | ns | ns | * | * | ns | ns | ns | |
| Microaggregates | ns | ns | * | ns | ns | ns | ns | |
| DTPA-Mn | Bulk soil | *** | ns | *** | *** | *** | ns | * |
| Large macroaggregates | ** | ns | *** | *** | ns | ns | ns | |
| Small macroaggregates | *** | ns | *** | ns | ns | ns | ns | |
| Microaggregates | *** | ns | *** | ns | *** | ns | * | |
| DTPA-Cu | Bulk soil | * | ns | ** | ns | ns | ns | ns |
| Large macroaggregates | ns | ns | ** | *** | ns | * | *** | |
| Small macroaggregates | ns | ns | * | ** | ns | ns | ns | |
| Microaggregates | ns | ns | ns | ns | ns | ns | ns | |
| DTPA-Zn | Bulk soil | ns | ns | *** | ** | ns | ns | ns |
| Large macroaggregates | ns | * | ns | ** | ns | ns | ns | |
| Small macroaggregates | * | ns | ns | ns | ns | ns | ns | |
| Microaggregates | * | ns | *** | *** | * | ns | ns | |
| Treatment | Yield | Vitamin C | Nitrate | Organic Acid | Soluble Sugar | Sugar-Acid Ratio | |
|---|---|---|---|---|---|---|---|
| kg/m2 | mg/100 g | mg/kg | % | % | |||
| CK | 3.0 ± 0.1c | 22.2 ± 0.8b | 77.8 ± 0.4a | 0.6 ± 0.0a | 2.9 ± 0.1d | 5.2 ± 0.0e | |
| M | 3.6 ± 0.4bc | 29.3 ± 0.7a | 77.4 ± 0.1a | 0.6 ± 0.0b | 3.3 ± 0.0c | 5.9 ± 0.0d | |
| MS | 4.2 ± 0.4abc | 30.2 ± 0.3a | 75.6 ± 0.2b | 0.5 ± 0.0c | 3.6 ± 0.1b | 7.0 ± 0.0b | |
| MCa | 5.0 ± 0.3ab | 29.4 ± 1.3a | 74.8 ± 0.1c | 0.5 ± 0.0c | 3.4 ± 0.0c | 6.8 ± 0.1c | |
| MSCa | 5.6 ± 0.8a | 31.1 ± 1.4a | 72.9 ± 0.2d | 0.5 ± 0.0c | 3.7 ± 0.0a | 7.7 ± 0.0a | |
| p-value | Straw (S) | ns | ns | *** | ** | ** | *** |
| Lime (Ca) | *** | ns | *** | ** | * | *** | |
| S × Ca | ns | ns | ns | ** | ns | ns | |
Disclaimer/Publisher’s Note: The statements, opinions and data contained in all publications are solely those of the individual author(s) and contributor(s) and not of MDPI and/or the editor(s). MDPI and/or the editor(s) disclaim responsibility for any injury to people or property resulting from any ideas, methods, instructions or products referred to in the content. |
© 2025 by the authors. Licensee MDPI, Basel, Switzerland. This article is an open access article distributed under the terms and conditions of the Creative Commons Attribution (CC BY) license (https://creativecommons.org/licenses/by/4.0/).
Share and Cite
Zhang, Y.; Yang, L.; Yu, L.; Zheng, X.; Liu, Y.; Li, T. Impact of Ten-Year Straw and Lime Management History on Soil Micronutrient Availability and Tomato Yield in Greenhouse. Horticulturae 2025, 11, 1307. https://doi.org/10.3390/horticulturae11111307
Zhang Y, Yang L, Yu L, Zheng X, Liu Y, Li T. Impact of Ten-Year Straw and Lime Management History on Soil Micronutrient Availability and Tomato Yield in Greenhouse. Horticulturae. 2025; 11(11):1307. https://doi.org/10.3390/horticulturae11111307
Chicago/Turabian StyleZhang, Yueqi, Lijuan Yang, Leixin Yu, Xianqing Zheng, Yufeng Liu, and Tianlai Li. 2025. "Impact of Ten-Year Straw and Lime Management History on Soil Micronutrient Availability and Tomato Yield in Greenhouse" Horticulturae 11, no. 11: 1307. https://doi.org/10.3390/horticulturae11111307
APA StyleZhang, Y., Yang, L., Yu, L., Zheng, X., Liu, Y., & Li, T. (2025). Impact of Ten-Year Straw and Lime Management History on Soil Micronutrient Availability and Tomato Yield in Greenhouse. Horticulturae, 11(11), 1307. https://doi.org/10.3390/horticulturae11111307

