Screening and Application of Novel Homofermentative Lactic Acid Bacteria Results in Low-FODMAP Whole-Wheat Bread
Abstract
1. Introduction
2. Materials and Methods
2.1. Materials
2.2. Isolation and Characterisation of Lactic Acid Bacteria
2.2.1. Strains and Culture Conditions
2.2.2. Isolation and Characterisation of LAB Isolates
2.3. FODMAP Utilisation
2.3.1. Carbohydrate Solutions
2.3.2. FODMAP Utilisation Assays
2.4. Whole-Wheat Sourdough Preparation
2.4.1. Sourdough Fermentation Characteristics
2.4.2. Quantification of Organic Acids
2.5. Bread Production
2.5.1. Bread Quality Analysis
2.5.2. Quantification of FODMAPs and Other Carbohydrates
2.6. Statistical Analyses
3. Results and Discussion
3.1. Isolation and Hexose Fermentation Characterisation of LAB Isolates
3.2. FODMAP Utilisation Assays
3.2.1. Agar Plate FODMAP Utilisation Assay
3.2.2. Microtitre FODMAP Utilisation Assay
3.3. Determination of Cell Count, and Acidity in Sourdoughs
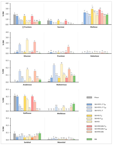
3.4. Impact of LAB and Yeast on Carbohydrate Profile
3.5. Impact of Sourdough Addition on FODMAPs Level in Whole-Wheat Bread
3.6. Bread Quality
4. Conclusions
Supplementary Materials
Author Contributions
Funding
Data Availability Statement
Acknowledgments
Conflicts of Interest
Appendix A

| Strain | Sucrose | Fructose | Lactose | Mannitol | Raffinose | FOS | Inulin |
|---|---|---|---|---|---|---|---|
| Lacticaseibacillus paracasei R3 | 2.11 ± 0.14 | 1.64 ± 0.13 E | 1.91 ± 0.07 A,C,D,E | 1.84 ± 0.12 A,B | 0.81 ± 0.09 D | 1.97 ± 0.12 | 2.05 ± 0.13 B,C,D |
| Lacticaseibacillus paracasei R18 | 1.88 ± 0.10 A,B | 1.89 ± 0.15 C,E | 0.90 ± 0.08 B | 1.81 ± 0.13 A,B,C | 0.95 ± 0.11 B,D | 2.04 ± 0.12 | 1.92 ± 0.24 |
| Lactiplantibacillus plantarum FST1.7 | 2.84 ± 0.08 B,C | 2.04 ± 0.11 C,D,E | 2.96 ± 0.03 D | 2.76 ± 0.11 A | 2.81 ± 0.09 A | 1.31 ± 0.07 B,C | 0.80 ± 0.05 A |
| Lactiplantibacillus plantarum FB102 | 2.35 ± 0.21 | 2.15 ± 0.21 A,C,D,E | 2.38 ± 0.01 A,D,E | 2.52 ± 0.10 A | 1.16 ± 0.05 A,E | 1.16 ± 0.05 B | 0.86 ± 0.07 A,B |
| Pediococcus pentosaceus RYE100 | 2.15 ± 0.05 | 1.99 ± 0.06 C,D,E | 1.00 ± 0.02 B,C | 0.85 ± 0.02 D | 1.91 ± 0.09 A,C,E | 1.20 ± 0.00 B | 0.98 ± 0.05 A,B,C |
| Pediococcus pentosaceus RYE102 | 2.63 ± 0.68 B,C | 2.46 ± 0.56 | 0.98 ± 0.15 B,C | 0.93 ± 0.18 C,D | 2.43 ± 0.59 A,E | 1.28 ± 0.55 B,C | 0.88 ± 0.27 A,B |
| Pediococcus pentosaceus RYE104 | 3.31 ± 0.27 C | 3.20 ± 0.22 A,B,D | 1.48 ± 0.02 A,B,C,E | 1.08 ± 0.08 B,C,D | 1.07 ± 0.08 B,C,D | 3.14 ± 0.21 A | 2.99 ± 0.22 D |
| Pediococcus pentosaceus RYE106 | 3.36 ± 0.39 C | 3.33 ± 0.19 B | 1.58 ± 0.06 | 1.24 ± 0.10 | 1.11 ± 0.05 B,C,D,E | 3.20 ± 0.17 A | 3.19 ± 0.17 D |
| Pediococcus pentosaceus MZ2.6.1.5A | 1.51 ± 0.09 A | 2.79 ± 0.18 A,B,C,D | 2.89 ± 0.05 D,E | 1.01 ± 0.06 B,C,D | 1.60 ± 0.08 A,B,C,E | 2.71 ± 0.17 A,C | 2.64 ± 0.26 C,D |
| Pediococcus pentosaceus B1.7.1.8A | 1.25 ± 0.45 A | 3.38 ± 0.75 A,B | 1.43 ± 0.53 A,B,C | 1.40 ± 0.58 | 1.21 ± 0.25 B,C,D,E | 3.91 ± 1.16 A | 1.26 ± 0.36 A,B,C |
References
- Fardet, A. New Hypotheses for the Health-Protective Mechanisms of Whole-Grain Cereals: What Is beyond Fibre? Nutr. Res. Rev. 2010, 23, 65–134. [Google Scholar] [CrossRef] [PubMed]
- Mobley, A.R.; Slavin, J.L.; Hornick, B.A. The Future of Recommendations on Grain Foods in Dietary Guidance. J. Nutr. 2013, 143, 1527S–1532S. [Google Scholar] [CrossRef]
- Kissock, K.R.; Warensjö Lemming, E.; Axelsson, C.; Neale, E.P.; Beck, E.J. Defining Whole-Grain Foods—Does It Change Estimations of Intakes and Associations with CVD Risk Factors: An Australian and Swedish Perspective. Br. J. Nutr. 2021, 126, 1725–1736. [Google Scholar] [CrossRef] [PubMed]
- Lockyer, S.; Spiro, A. The Role of Bread in the UK Diet: An Update. Nutr. Bull. 2020, 45, 133–164. [Google Scholar] [CrossRef]
- Laskowski, W.; Górska-Warsewicz, H.; Rejman, K.; Czeczotko, M.; Zwolińska, J. How Important Are Cereals and Cereal Products in the Average Polish Diet? Nutrients 2019, 11, 679. [Google Scholar] [CrossRef] [PubMed]
- Whole Grain Guidelines Worldwide. Available online: https://wholegrainscouncil.org/whole-grains-101/how-much-enough/whole-grain-guidelines-worldwide (accessed on 11 October 2022).
- Whelan, K.; Abrahmsohn, O.; David, G.J.P.; Staudacher, H.; Irving, P.; Lomer, M.C.E.; Ellis, P.R. Fructan Content of Commonly Consumed Wheat, Rye and Gluten-Free Breads. Int. J. Food Sci. Nutr. 2011, 62, 498–503. [Google Scholar] [CrossRef]
- Biesiekierski, J.R.; Rosella, O.; Rose, R.; Liels, K.; Barrett, J.S.; Shepherd, S.J.; Gibson, P.R.; Muir, J.G. Quantification of Fructans, Galacto-Oligosacharides and Other Short-Chain Carbohydrates in Processed Grains and Cereals. J. Hum. Nutr. Diet. 2011, 24, 154–176. [Google Scholar] [CrossRef]
- Ispiryan, L.; Zannini, E.; Arendt, E.K. Characterization of the FODMAP-Profile in Cereal-Product Ingredients. J. Cereal Sci. 2020, 92, 102916. [Google Scholar] [CrossRef]
- Corsetti, M.; Sabaté, J.-M.; Freemantle, N.; Tack, J. IBS Global Impact Report 2018; Canadian Society of Intestinal Research: Vancouver, BC, Canada, 2018. [Google Scholar]
- Canavan, C.; West, J.; Card, T. The Epidemiology of Irritable Bowel Syndrome. Clin. Epidemiol. 2014, 6, 71–80. [Google Scholar] [CrossRef]
- Palsson, O.S.; Whitehead, W.; Törnblom, H.; Sperber, A.D.; Simren, M. Prevalence of Rome IV Functional Bowel Disorders Among Adults in the United States, Canada, and the United Kingdom. Gastroenterology 2020, 158, 1262–1273.e3. [Google Scholar] [CrossRef]
- Sperber, A.D.; Bangdiwala, S.I.; Drossman, D.A.; Ghoshal, U.C.; Simren, M.; Tack, J.; Whitehead, W.E.; Dumitrascu, D.L.; Fang, X.; Fukudo, S.; et al. Worldwide Prevalence and Burden of Functional Gastrointestinal Disorders, Results of Rome Foundation Global Study. Gastroenterology 2021, 160, 99–114.e3. [Google Scholar] [CrossRef]
- Staudacher, H.M.; Whelan, K. The Low FODMAP Diet: Recent Advances in Understanding Its Mechanisms and Efficacy in IBS. Gut 2017, 66, 1517–1527. [Google Scholar] [CrossRef] [PubMed]
- Lis, D.M. Exit Gluten-Free and Enter Low FODMAPs: A Novel Dietary Strategy to Reduce Gastrointestinal Symptoms in Athletes. Sport. Med. 2019, 49, 87–97. [Google Scholar] [CrossRef] [PubMed]
- Costa, R.J.S.; Gaskell, S.K.; McCubbin, A.J.; Snipe, R.M.J. Exertional-Heat Stress-Associated Gastrointestinal Perturbations during Olympic Sports: Management Strategies for Athletes Preparing and Competing in the 2020 Tokyo Olympic Games. Temperature 2020, 7, 58–88. [Google Scholar] [CrossRef] [PubMed]
- Zhan, Y.A.; Zhan, Y.A.; Dai, S.X. Is a Low FODMAP Diet Beneficial for Patients with Inflammatory Bowel Disease? A Meta-Analysis and Systematic Review. Clin. Nutr. 2018, 37, 123–129. [Google Scholar] [CrossRef]
- Priyanka, P.; Gayam, S.; Kupec, J.T. The Role of a Low Fermentable Oligosaccharides, Disaccharides, Monosaccharides, and Polyol Diet in Nonceliac Gluten Sensitivity. Gastroenterol. Res. Prat. 2018, 2018, 1561476. [Google Scholar] [CrossRef]
- Malinowski, B.; Wiciński, M.; Sokołowska, M.M.; Hill, N.A.; Szambelan, M. The Rundown of Dietary Supplements and Their Effects on Inflammatory Bowel Disease—A Review. Nutrients 2020, 12, 1423. [Google Scholar] [CrossRef] [PubMed]
- Croagh, C.; Shepherd, S.J.; Berryman, M.; Muir, J.G.; Gibson, P.R. Pilot Study on the Effect of Reducing Dietary FODMAP Intake on Bowel Function in Patients without a Colon. Inflamm. Bowel Dis. 2007, 13, 1522–1528. [Google Scholar] [CrossRef]
- Biesiekierski, J.R.; Tuck, C.J. Low FODMAP Diet beyond IBS: Evidence for Use in Other Conditions. Curr. Opin. Pharm. 2022, 64, 102208. [Google Scholar] [CrossRef]
- Gibson, P.R.; Shepherd, S.J. Personal View: Food for Thought—Western Lifestyle and Susceptibility to Crohn’s Disease. The FODMAP Hypothesis. Aliment Pharm. 2005, 21, 1399–1409. [Google Scholar] [CrossRef]
- Varney, J.; Barrett, J.; Scarlata, K.; Catsos, P.; Gibson, P.R.; Muir, J.G. FODMAPs: Food Composition, Defining Cutoff Values and International Application. J. Gastroenterol. Hepatol. 2017, 32, 53–61. [Google Scholar] [CrossRef] [PubMed]
- Moroni, A.V.; Dal Bello, F.; Arendt, E.K. Sourdough in Gluten-Free Bread-Making: An Ancient Technology to Solve a Novel Issue? Food Microbiol. 2009, 26, 676–684. [Google Scholar] [CrossRef]
- El Khoury, D.; Balfour-Ducharme, S.; Joye, I.J. A Review on the Gluten-Free Diet: Technological and Nutritional Challenges. Nutrients 2018, 10, 1410. [Google Scholar] [CrossRef] [PubMed]
- Ispiryan, L.; Zannini, E.; Arendt, E.K. FODMAP Modulation as a Dietary Therapy for IBS: Scientific and Market Perspective. Compr. Rev. Food Sci. Food Saf. 2022, 21, 1491–1516. [Google Scholar] [CrossRef] [PubMed]
- Dimidi, E.; Whelan, K.; Lomer, M.C.E. FODMAP-Specific Mobile Application: Impact on Gut Symptoms in 11,689 People, and Dietary Triggers in 2053 People. Proc. Nutr. Soc. 2020, 79, 2020. [Google Scholar] [CrossRef]
- Loponen, J.; Gänzle, M.G. Use of Sourdough in Low FODMAP Baking. Foods 2018, 7, 96. [Google Scholar] [CrossRef] [PubMed]
- Gibson, G.R.; Hutkins, R.; Sanders, M.E.; Prescott, S.L.; Reimer, R.A.; Salminen, S.J.; Scott, K.; Stanton, C.; Swanson, K.S.; Cani, P.D.; et al. Expert Consensus Document: The International Scientific Association for Probiotics and Prebiotics (ISAPP) Consensus Statement on the Definition and Scope of Prebiotics. Nat. Rev. Gastroenterol. Hepatol. 2017, 14, 491–502. [Google Scholar] [CrossRef]
- Verspreet, J.; Holmgaard Hansen, A.; Dornez, E.; Delcour, J.A.; Van den Ende, W.; Harrison, S.J.; Courtin, C.M. LC-MS Analysis Reveals the Presence of Graminan- and Neo-Type Fructans in Wheat Grains. J. Cereal Sci. 2015, 61, 133–138. [Google Scholar] [CrossRef]
- Van den Ende, W. Multifunctional Fructans and Raffinose Family Oligosaccharides. Front. Plant Sci. 2013, 4, 247. [Google Scholar] [CrossRef]
- Paludan-Müller, C.; Gram, L.; Rattray, F.P. Purification and Characterisation of an Extracellular Fructan β-Fructosidase from a Lactobacillus Pentosus Strain Isolated from Fermented Fish. Syst. Appl. Microbiol. 2002, 25, 13–20. [Google Scholar] [CrossRef]
- Menéndez, C.; Hernández, L.; Selman, G.; Mendoza, M.F.; Hevia, P.; Sotolongo, M.; Arrieta, J.G. Molecular Cloning and Expression in Escherichia Coli of an Exo-Levanase Gene from the Endophytic Bacterium Gluconacetobacter Diazotrophicus SRT4. Curr. Microbiol. 2002, 45, 5–12. [Google Scholar] [CrossRef] [PubMed]
- Goh, Y.J.; Zhang, C.; Benson, A.K.; Schlegel, V.; Lee, J.H.; Hutkins, R.W. Identification of a Putative Operon Involved in Fructooligosaccharide Utilization by Lactobacillus Paracasei. Appl. Env. Microbiol. 2006, 72, 7518–7530. [Google Scholar] [CrossRef] [PubMed]
- Goh, Y.J.; Lee, J.-H.; Hutkins, R.W. Functional Analysis of the Fructooligosaccharide Utilization Operon in Lactobacillus Paracasei 1195. Appl. Env. Microbiol. 2007, 73, 5716–5724. [Google Scholar] [CrossRef]
- Saulnier, D.M.A.; Molenaar, D.; De Vos, W.M.; Gibson, G.R.; Kolida, S. Identification of Prebiotic Fructooligosaccharide Metabolism in Lactobacillus Plantarum WCFS1 through Microarrays. Appl. Env. Microbiol. 2007, 73, 1753–1765. [Google Scholar] [CrossRef]
- Gänzle, M.G. Lactic Metabolism Revisited: Metabolism of Lactic Acid Bacteria in Food Fermentations and Food Spoilage. Curr. Opin. Food Sci. 2015, 2, 106–117. [Google Scholar] [CrossRef]
- Acín Albiac, M.; di Cagno, R.; Filannino, P.; Cantatore, V.; Gobbetti, M. How Fructophilic Lactic Acid Bacteria May Reduce the FODMAPs Content in Wheat-Derived Baked Goods: A Proof of Concept. Microb. Cell Fact. 2020, 19, 182. [Google Scholar] [CrossRef] [PubMed]
- Pitsch, J.; Sandner, G.; Huemer, J.; Huemer, M.; Huemer, S.; Weghuber, J. FODMAP Fingerprinting of Bakery Products and Sourdoughs: Quantitative Assessment and Content Reduction through Fermentation. Foods 2021, 10, 894. [Google Scholar] [CrossRef]
- Schmidt, M.; Sciurba, E. Determination of FODMAP Contents of Common Wheat and Rye Breads and the Effects of Processing on the Final Contents. Eur. Food Res. Technol. 2021, 247, 395–410. [Google Scholar] [CrossRef]
- Menezes, L.; Molognoni, L.A.A.; de Sá Ploêncio, L.A.; Costa, F.B.M.; Daguer, H.; de Dea Lindner, J. Use of Sourdough Fermentation to Reducing FODMAPs in Breads. Eur. Food Res. Technol. 2019, 245, 1183–1195. [Google Scholar] [CrossRef]
- Menezes, L.A.A.; de Marco, I.; Neves Oliveira dos Santos, N.; Costa Nunes, C.; Leite Cartabiano, C.E.; Molognoni, L.; Pereira, G.V.d.M.; Daguer, H.; de Dea Lindner, J. Reducing FODMAPs and Improving Bread Quality Using Type II Sourdough with Selected Starter Cultures. Int. J. Food Sci. Nutr. 2021, 72, 912–922. [Google Scholar] [CrossRef]
- Shewry, P.R.; America, A.H.P.; Lovegrove, A.; Wood, A.J.; Plummer, A.; Evans, J.; van den Broeck, H.C.; Gilissen, L.; Mumm, R.; Ward, J.L.; et al. Comparative Compositions of Metabolites and Dietary Fibre Components in Doughs and Breads Produced from Bread Wheat, Emmer and Spelt and Using Yeast and Sourdough Processes. Food Chem. 2022, 374, 131710. [Google Scholar] [CrossRef] [PubMed]
- Wisselink, H.W.; Weusthuis, R.A.; Eggink, G.; Hugenholtz, J.; Grobben, G.J. Mannitol Production by Lactic Acid Bacteria: A Review. Int. Dairy J. 2002, 12, 151–161. [Google Scholar] [CrossRef]
- Rice, T.; Zannini, E.; Arendt, K.E.; Coffey, A. A Review of Polyols–Biotechnological Production, Food Applications, Regulation, Labeling and Health Effects. Crit. Rev. Food Sci. Nutr. 2020, 60, 2034–2051. [Google Scholar] [CrossRef] [PubMed]
- Sahin, A.W.; Rice, T.; Zannini, E.; Axel, C.; Coffey, A.; Lynch, K.M.; Arendt, E.K. Leuconostoc Citreum TR116: In-Situ Production of Mannitol in Sourdough and Its Application to Reduce Sugar in Burger Buns. Int. J. Food Microbiol. 2019, 302, 80–89. [Google Scholar] [CrossRef]
- Jasińska-Kuligowska, I.; Kuligowski, M.; Kołodziejczyk, P.; Michniewicz, J. Wpływ Procesów Fermentacji, Ekstruzji i Wypieku Na Zawartość Fruktanów w Produktach Żytnich. Żywność. Nauka. Technologia. Jakość 2013, 5, 129–141. [Google Scholar]
- Pejcz, E.; Spychaj, R.; Gil, Z. Technological Methods for Reducing the Content of Fructan in Rye Bread. Eur. Food Res. Technol. 2020, 246, 1839–1846. [Google Scholar] [CrossRef]
- Pejcz, E.; Lachowicz-Wiśniewska, S.; Nowicka, P.; Wojciechowicz-budzisz, A.; Spychaj, R.; Gil, Z. Effect of Inoculated Lactic Acid Fermentation on the Fermentable Saccharides and Polyols, Polyphenols and Antioxidant Activity Changes in Wheat Sourdough. Molecules 2021, 26, 4913. [Google Scholar] [CrossRef]
- Li, Q.; Loponen, J.; Gänzle, M.G. Characterization of the Extracellular Fructanase FruA in Lactobacillus Crispatus and Its Contribution to Fructan Hydrolysis in Breadmaking. J. Agric. Food Chem. 2020, 68, 8637–8647. [Google Scholar] [CrossRef]
- Liu, J.; Chey, W.D.; Haller, E.; Eswaran, S. Low-FODMAP Diet for Irritable Bowel Syndrome: What We Know and What We Have Yet to Learn. Annu. Rev. Med. 2020, 71, 303–314. [Google Scholar] [CrossRef]
- Muir, J.G.; Rose, R.; Rosella, O.; Liels, K.; Barrett, J.S.; Shepherd, S.J.; Gibson, P.R. Measurement of Short-Chain Carbohydrates in Common Australian Vegetables and Fruits by High-Performance Liquid Chromatography (HPLC). J. Agric. Food Chem. 2009, 57, 554–565. [Google Scholar] [CrossRef]
- Meroth, C.B.; Walter, J.; Hertel, C.; Brandt, M.J.; Hammes, W.P. Monitoring the Bacterial Population Dynamics in Sourdough Fermentation Processes by Using PCR-Denaturing Gradient Gel Electrophoresis. Appl. Env. Microbiol. 2003, 69, 475–482. [Google Scholar] [CrossRef] [PubMed]
- Weisburg, W.G.; Barns, S.M.; Pelletier, D.A.; Lane, D.J. 16S Ribosomal DNA Amplification for Phylogenetic Study. J. Bacteriol. 1991, 173, 697–703. [Google Scholar] [CrossRef] [PubMed]
- Altschul, S.F.; Gish, W.; Miller, W.; Myers, E.W.; Lipman, D.J. Basic Local Alignment Search Tool. J. Mol. Biol. 1990, 215, 403–410. [Google Scholar] [CrossRef] [PubMed]
- Ispiryan, L.; Borowska, M.; Sahin, A.W.; Zannini, E.; Coffey, A.; Arendt, E.K. Lachancea Fermentati FST 5.1: An Alternative to Baker’s Yeast to Produce Low FODMAP Whole Wheat Bread. Food Funct. 2021, 12, 11262–11277. [Google Scholar] [CrossRef] [PubMed]
- de Man, J.C.; Rogosa, M.; Sharpe, M.E. A Medium for the Cultivation of Lactobacilli. J. Appl. Bact. 1960, 23, 130–135. [Google Scholar] [CrossRef]
- RStudio Team. RStudio: Integrated Development for R; RStudio, PBC: Boston, MA, USA, 2021; Available online: http://www.rstudio.com/ (accessed on 11 October 2022).
- Sprouffske, K.; Wagner, A. Growthcurver: An R Package for Obtaining Interpretable Metrics from Microbial Growth Curves. BMC Bioinform. 2016, 17, 172. [Google Scholar] [CrossRef]
- Arbeitsgemeinschaft Getreideforschung e.V. Standard-Methoden Für Getreide, Mehl Und Brot; Verlag Moritz Schäfer: Detmold, Germany, 1954. [Google Scholar]
- Hoehnel, A.; Bez, J.; Sahin, A.W.; Coffey, A.; Arendt, E.K.; Zannini, E. Leuconostoc Citreum TR116 as a Microbial Cell Factory to Functionalise High-Protein Faba Bean Ingredients for Bakery Applications. Foods 2020, 9, 1706. [Google Scholar] [CrossRef]
- Neylon, E.; Arendt, E.K.; Zannini, E.; Sahin, A.W. Fermentation as a Tool to Revitalise Brewers’ Spent Grain and Elevate Techno-Functional Properties and Nutritional Value in High Fibre Bread. Foods 2021, 10, 1639. [Google Scholar] [CrossRef]
- Dal Bello, F.; Clarke, C.I.; Ryan, L.A.M.; Ulmer, H.; Schober, T.J.; Ström, K.; Sjögren, J.; van Sinderen, D.; Schnürer, J.; Arendt, E.K. Improvement of the Quality and Shelf Life of Wheat Bread by Fermentation with the Antifungal Strain Lactobacillus Plantarum FST 1.7. J. Cereal Sci. 2007, 45, 309–318. [Google Scholar] [CrossRef]
- Sahin, A.W.; Axel, C.; Arendt, E.K. Understanding the Function of Sugar in Burger Buns: A Fundamental Study. Eur. Food Res. Technol. 2017, 243, 1905–1915. [Google Scholar] [CrossRef]
- Ispiryan, L.; Heitmann, M.; Hoehnel, A.; Zannini, E.; Arendt, E.K. Optimization and Validation of an HPAEC-PAD Method for the Quantification of FODMAPs in Cereals and Cereal-Based Products. J. Agric. Food Chem. 2019, 67, 4384–4392. [Google Scholar] [CrossRef] [PubMed]
- FDA Reference Amounts Customarily Consumed: List of Products for Each Product Category: Guidance for Industry. Available online: https://www.fda.gov/food/new-nutrition-facts-label/serving-size-updates-new-nutrition-facts-label (accessed on 9 September 2022).
- Signorell, A.; Aho, K.; Alfons, A.; Anderegg, N.; Aragon, T.; Arachchige, C.; Arppe, A.; Baddeley, A.; Barton, K.; Bolker, B.; et al. DescTools: Tools for Descriptive Statistics, R Package Version 0.99.40. Available online: https://cran.r-project.org/package=DescTools (accessed on 11 October 2022).
- Bernardeau, M.; Guguen, M.; Vernoux, J.P. Beneficial Lactobacilli in Food and Feed: Long-Term Use, Biodiversity and Proposals for Specific and Realistic Safety Assessments. FEMS Microbiol. Rev. 2006, 30, 487–513. [Google Scholar] [CrossRef]
- Gänzle, M.G.; Zheng, J. Lifestyles of Sourdough Lactobacilli—Do They Matter for Microbial Ecology and Bread Quality? Int. J. Food Microbiol. 2019, 302, 15–23. [Google Scholar] [CrossRef]
- Katina, K.; Arendt, E.; Liukkonen, K.H.; Autio, K.; Flander, L.; Poutanen, K. Potential of Sourdough for Healthier Cereal Products. Trends Food Sci. Technol. 2005, 16, 104–112. [Google Scholar] [CrossRef]
- Zannini, E.; Gobbetti, M. The 7th International Symposium on Sourdough—“Sourdough for Health. ” Int. J. Food Microbiol. 2019, 302, 1–2. [Google Scholar] [CrossRef] [PubMed]
- Aronson, G. An inside Look into the 2021 Global Consumer Health and Wellness Revolution. Available online: https://nielseniq.com/wp-content/uploads/sites/4/2022/05/NIQ_Global_Health_and_Wellness_Report_2021_1-1.pdf (accessed on 11 October 2022).
- van der Meulen, R.; Scheirlinck, I.; van Schoor, A.; Huys, G.; Vancanneyt, M.; Vandamme, P.; de Vuyst, L. Population Dynamics and Metabolite Target Analysis of Lactic Acid Bacteria during Laboratory Fermentations of Wheat and Spelt Sourdoughs. Appl. Env. Microbiol. 2007, 73, 4741–4750. [Google Scholar] [CrossRef]
- Gobbetti, M.; Minervini, F.; Pontonio, E.; Di Cagno, R.; De Angelis, M. Drivers for the Establishment and Composition of the Sourdough Lactic Acid Bacteria Biota. Int. J. Food Microbiol. 2016, 239, 3–18. [Google Scholar] [CrossRef]
- Bartkiene, E.; Lele, V.; Ruzauskas, M.; Domig, K.J.; Starkute, V.; Zavistanaviciute, P.; Bartkevics, V.; Pugajeva, I.; Klupsaite, D.; Juodeikiene, G.; et al. Lactic Acid Bacteria Isolation from Spontaneous Sourdough and Their Characterization Including Antimicrobial and Antifungal Properties Evaluation. Microorganisms 2020, 8, 64. [Google Scholar] [CrossRef]
- Al-dabbas, M.M.; Al-ismail, K.; Taleb, R.A.; Ibrahim, S. Acid-Base Buffering Properties of Five Legumes and Selected Food in Vitro. Am. J. Agric. Biol. Sci. 2010, 5, 154–160. [Google Scholar] [CrossRef]
- De Vuyst, L.; Neysens, P. The Sourdough Microflora: Biodiversity and Metabolic Interactions. Trends Food Sci. Technol. 2005, 16, 43–56. [Google Scholar] [CrossRef]
- Henström, M.; Diekmann, L.; Bonfiglio, F.; Hadizadeh, F.; Kuech, E.M.; Von Köckritz-Blickwede, M.; Thingholm, L.B.; Zheng, T.; Assadi, G.; DIerks, C.; et al. Functional Variants in the Sucrase-Isomaltase Gene Associate with Increased Risk of Irritable Bowel Syndrome. Gut 2016, 67, 263–270. [Google Scholar] [CrossRef]
- Halmos, E.P.; Gibson, P.R. Controversies and Reality of the FODMAP Diet for Patients with Irritable Bowel Syndrome. J. Gastroenterol. Hepatol. 2019, 34, 1134–1142. [Google Scholar] [CrossRef] [PubMed]
- Gänzle, M.; Ripari, V. Composition and Function of Sourdough Microbiota: From Ecological Theory to Bread Quality. Int. J. Food Microbiol. 2016, 239, 19–25. [Google Scholar] [CrossRef]
- Vos, P.; Garrity, G.; Jones, D.; Krieg, N.R.; Ludwig, W.; Rainey, F.A.; Schleifer, K.-H.; Whitman, W. Bergey’s Manual of Systematic Bacteriology: Volume 3: The Fermicutes; Springer: New York, NY, USA, 2009; Volume 3, p. 480. [Google Scholar]
- Kandler, O. Carbohydrate Metabolism in Lactic Acid Bacteria. Antonie Leeuwenhoek 1983, 49, 209–224. [Google Scholar] [CrossRef] [PubMed]
- Endo, A.; Dicks, L.M.T. Physiology of the LAB. In Lactic Acid Bacteria: Biodiversity and Taxonomy; Wiley-Blackwell: Chichester, UK, 2014; pp. 13–30. [Google Scholar]
- Leroy, F.; de Winter, T.; Adriany, T.; Neysens, P.; de Vuyst, L. Sugars Relevant for Sourdough Fermentation Stimulate Growth of and Bacteriocin Production by Lactobacillus Amylovorus DCE 471. Int. J. Food Microbiol. 2006, 112, 102–111. [Google Scholar] [CrossRef] [PubMed]
- Gänzle, M.G.; Follador, R. Metabolism of Oligosaccharides and Starch in Lactobacilli: A Review. Front. Microbiol. 2012, 3, 340. [Google Scholar] [CrossRef]
- Wu, C.; Huang, J.; Zhou, R. Genomics of Lactic Acid Bacteria: Current Status and Potential Applications. Crit. Rev. Microbiol. 2017, 43, 393–404. [Google Scholar] [CrossRef]
- Bosma, E.F.; Forster, J.; Nielsen, A.T. Lactobacilli and Pediococci as Versatile Cell Factories—Evaluation of Strain Properties and Genetic Tools. Biotechnol. Adv. 2017, 35, 419–442. [Google Scholar] [CrossRef]
- Buron-Moles, G.; Chailyan, A.; Dolejs, I.; Forster, J.; Mikš, M.H. Uncovering Carbohydrate Metabolism through a Genotype-Phenotype Association Study of 56 Lactic Acid Bacteria Genomes. Appl. Microbiol. Biotechnol. 2019, 103, 3135–3152. [Google Scholar] [CrossRef] [PubMed]
- McLaughlin, H.P.; Motherway, M.O.C.; Lakshminarayanan, B.; Stanton, C.; Paul Ross, R.; Brulc, J.; Menon, R.; O’Toole, P.W.; van Sinderen, D. Carbohydrate Catabolic Diversity of Bifidobacteria and Lactobacilli of Human Origin. Int. J. Food Microbiol. 2015, 203, 109–121. [Google Scholar] [CrossRef]
- Lee, J.Y.; Kim, C.J.; Kunz, B. Identification of Lactic Acid Bacteria Isolated from Kimchi and Studies on Their Suitability for Application as Starter Culture in the Production of Fermented Sausages. Meat Sci. 2006, 72, 437–445. [Google Scholar] [CrossRef]
- Hedberg, M.; Hasslöf, P.; Sjöström, I.; Twetman, S.; Stecksén-Blicks, C. Sugar Fermentation in Probiotic Bacteria—An in Vitro Study. Oral Microbiol. Immunol. 2008, 23, 482–485. [Google Scholar] [CrossRef] [PubMed]
- Manini, F.; Casiraghi, M.C.; Poutanen, K.; Brasca, M.; Erba, D.; Plumed-Ferrer, C. Characterization of Lactic Acid Bacteria Isolated from Wheat Bran Sourdough. LWT-Food Sci. Technol. 2016, 66, 275–283. [Google Scholar] [CrossRef]
- Paramithiotis, S.; Sofou, A.; Tsakalidou, E.; Kalantzopoulos, G. Flour Carbohydrate Catabolism and Metabolite Production by Sourdough Lactic Acid Bacteria. World J. Microbiol. Biotechnol. 2007, 23, 1417–1423. [Google Scholar] [CrossRef]
- Jiang, J.; Yang, B.; Ross, R.P.; Stanton, C.; Zhao, J.; Zhang, H.; Chen, W. Comparative Genomics of Pediococcus Pentosaceus Isolated From Different Niches Reveals Genetic Diversity in Carbohydrate Metabolism and Immune System. Front. Microbiol. 2020, 11, 253. [Google Scholar] [CrossRef] [PubMed]
- Barrangou, R.; Altermann, E.; Hutkins, R.; Cano, R.; Klaenhammer, T.R. Functional and Comparative Genomic Analyses of an Operon Involved in Fructooligosaccharide Utilization by Lactobacillus Acidophilus. Proc. Natl. Acad. Sci. USA 2003, 100, 8957–8962. [Google Scholar] [CrossRef] [PubMed]
- Molenaar, D.; Schuren, F.H.; Vos, W.M.d.; Siezen, R.J.; Kleerebezem, M. Exploring Lactobacillus Plantarum Genome Diversity by Using Microarrays. J. Bacteriol. 2005, 187, 6119–6127. [Google Scholar] [CrossRef]
- Siezen, R.J.; van Hylckama Vlieg, J.E. Genomic Diversity and Versatility of Lactobacillus Plantarum, a Natural Metabolic Engineer. Microb. Cell Fact. 2011, 10, S3. [Google Scholar] [CrossRef]
- Gonzalez, C.F.; Kunka, B.S. Evidence for Plasmid Linkage of Raffinose Utilization and Associated Alpha-Galactosidase and Sucrose Hydrolase Activity in Pediococcus Pentosaceus. Appl. Env. Microbiol. 1986, 51, 105–109. [Google Scholar] [CrossRef]
- Chu, D.; Barnes, D.J. The Lag-Phase during Diauxic Growth Is a Trade-off between Fast Adaptation and High Growth Rate. Sci. Rep. 2016, 6, 25191. [Google Scholar] [CrossRef]
- Pawlowska, A.M. “Green Preservatives”—Combating Fungi in the Food Industry by Applying Antifungal Lactic Acid Bacteria. Ph.D. Thesis, University College Cork, Cork, Ireland, 2013. [Google Scholar]
- Moore, M.M.; Dal Bello, F.; Arendt, E.K. Sourdough Fermented by Lactobacillus Plantarum FST 1.7 Improves the Quality and Shelf Life of Gluten-Free Bread. Eur. Food Res. Technol. 2008, 226, 1309–1316. [Google Scholar] [CrossRef]
- Decock, P.; Cappelle, S. Bread Technology and Sourdough Technology. Trends Food Sci Technol 2005, 16, 113–120. [Google Scholar] [CrossRef]
- Kim, Y.; Huang, W.; Zhu, H.; Rayas-Duarte, P. Spontaneous Sourdough Processing of Chinese Northern-Style Steamed Breads and Their Volatile Compounds. Food Chem. 2009, 114, 685–692. [Google Scholar] [CrossRef]
- Arendt, E.K.; Ryan, L.A.M.; Dal Bello, F. Impact of Sourdough on the Texture of Bread. Food Microbiol. 2007, 24, 165–174. [Google Scholar] [CrossRef]
- Corsetti, A. Technology of Sourdough Fermentation and Sourdough Applications. In Handbook on Sourdough Biotechnology; Gobbetti, M., Gänzle, M., Eds.; Springer Science + Business Media: New York, NY, USA, 2013; Volume 1, pp. 85–103. ISBN 9781461454250. [Google Scholar]
- Piard, J.C.; Desmazeaud, M. Inhibiting Factors Produced by Lactic Acid Bacteria. 1. Oxygen Metabolites and Catabolism End-Products. Lait 1991, 71, 525–541. [Google Scholar] [CrossRef]
- Hansen, Å.; Hansen, B. Influence of Wheat Flour Type on the Production of Flavour Compounds in Wheat Sourdoughs. J. Cereal Sci. 1994, 19, 185–190. [Google Scholar] [CrossRef]
- Novotni, D.; Čukelj, N.; Smerdel, B.; Ćurić, D. Quality Attributes and Firming Kinetics of Partially Baked Frozen Wholewheat Bread with Sourdough. Int. J. Food Sci. Technol. 2013, 48, 2133–2142. [Google Scholar] [CrossRef]
- Hammes, W.P.; Gänzle, M.G. Sourdough Breads and Related Products. In Microbiology of Fermented Foods Wood; Springer: New York, NY, USA; London, UK, 1998; pp. 199–216. ISBN 978-0-7514-0216-2. [Google Scholar]
- Catzeddu, P. Sourdough Breads. In Flour and Breads and their Fortification in Health and Disease Prevention; Preedy, V.R., Watson, R.R., Patel, V.B., Eds.; Elsevier Inc.: London, UK, 2011; pp. 37–46. ISBN 9780123808868. [Google Scholar]
- Kröckel, L. The Role of Lactic Acid Bacteria in Safety and Flavour Development of Meat and Meat Products. In Lactic Acid Bacteria—R & D for Food, Health and Livestock Purposes; Kongo, J.M., Ed.; IntechOpen: Rijeka, Croatia, 2013; pp. 129–151. ISBN 978-953-51-0955-6. [Google Scholar]
- van Hung, P.; Maeda, T.; Miyatake, K.; Morita, N. Total Phenolic Compounds and Antioxidant Capacity of Wheat Graded Flours by Polishing Method. Food Res. Int. 2009, 42, 185–190. [Google Scholar] [CrossRef]
- Vaher, M.; Matso, K.; Levandi, T.; Helmja, K.; Kaljurand, M. Phenolic Compounds and the Antioxidant Activity of the Bran, Flour and Whole Grain of Different Wheat Varieties. Procedia Chem. 2010, 2, 76–82. [Google Scholar] [CrossRef]
- Heiniö, R.L.; Liukkonen, K.H.; Myllymäki, O.; Pihlava, J.M.; Adlercreutz, H.; Heinonen, S.M.; Poutanen, K. Quantities of Phenolic Compounds and Their Impacts on the Perceived Flavour Attributes of Rye Grain. J. Cereal Sci. 2008, 47, 566–575. [Google Scholar] [CrossRef]
- Struyf, N.; Laurent, J.; Lefevere, B.; Verspreet, J.; Verstrepen, K.J.; Courtin, C.M. Establishing the Relative Importance of Damaged Starch and Fructan as Sources of Fermentable Sugars in Wheat Flour and Whole Meal Bread Dough Fermentations. Food Chem. 2017, 218, 89–98. [Google Scholar] [CrossRef] [PubMed]
- Hackenberg, S.; Leitner, T.; Jekle, M.; Becker, T. Maltose Formation in Wheat Dough Depending on Mechanical Starch Modification and Dough Hydration. Carbohydr. Polym. 2018, 185, 153–158. [Google Scholar] [CrossRef] [PubMed]
- Potus, J.; Poiffait, A.; Drapron, R. Influence of Dough-Making Conditions on the Concentration of Individual Sugars and Their Utilization during Fermentation. Cereal Chem. 1994, 71, 505–508. [Google Scholar]
- Hartikainen, K.; Katina, K. Improving the Quality of High-Fibre Breads. In Breadmaking: Improving Quality; Cauvain, S.P., Ed.; Woodhead Publishing: Sawston, UK, 2012; pp. 736–753. ISBN 9780857090607. [Google Scholar]
- Petrova, P.; Petrov, K. Direct Starch Conversion into L-(+)-Lactic Acid by a Novel Amylolytic Strain of Lactobacillus Paracasei B41. Starch/Staerke 2012, 64, 10–17. [Google Scholar] [CrossRef]
- Zúñiga, M.; Yebra, M.J.; Monedero, V. Complex Oligosaccharide Utilization Pathways in Lactobacillus. Curr. Issues Mol. Biol. 2020, 40, 49–80. [Google Scholar] [CrossRef]
- Chen, C.; Zhou, F.; Ren, J.; Ai, L.; Dong, Y.; Wu, Z.; Liu, Z.; Chen, W.; Guo, B. Cloning, Expression and Functional Validation of a β-Fructofuranosidase from Lactobacillus Plantarum. Process Biochem. 2014, 49, 758–767. [Google Scholar] [CrossRef]
- Naumoff, D.G.; Livshits, V.A. Molecular Structure of the Lactobacittus Plantarum Sucrose Utilization Locus: A Comparison with Pediococcus Pentosaceus. Mol. Biol. 2001, 35, 19–27. [Google Scholar] [CrossRef]
- Struyf, N.; Laurent, J.; Verspreet, J.; Verstrepen, K.J.; Courtin, C.M. Substrate-Limited Saccharomyces Cerevisiae Yeast Strains Allow Control of Fermentation during Bread Making. J. Agric. Food Chem. 2017, 65, 3368–3377. [Google Scholar] [CrossRef]
- Verspreet, J.; Hemdane, S.; Dornez, E.; Cuyvers, S.; Delcour, J.A.; Courtin, C.M. Maximizing the Concentrations of Wheat Grain Fructans in Bread by Exploring Strategies to Prevent Their Yeast (Saccharomyces Cerevisiae)-Mediated Degradation. J. Agric. Food Chem. 2013, 61, 1397–1404. [Google Scholar] [CrossRef]
- Nilsson, U.; Öste, R.; Jägerstad, M. Cereal Fructans: Hydrolysis by Yeast Invertase, in Vitro and during Fermentation. J. Cereal Sci. 1987, 6, 53–60. [Google Scholar] [CrossRef]
- Vincent, S.F.; Bell, P.J.L.; Bissinger, P.; Nevalainen, K.M.H. Comparison of Melibiose Utilizing Baker’s Yeast Strains Produced by Genetic Engineering and Classical Breeding. Lett. Appl. Microbiol. 1999, 28, 148–152. [Google Scholar] [CrossRef] [PubMed]
- Silvestroni, A.; Connes, C.; Sesma, F.; De Giori, G.S.; Piard, J.C. Characterization of the MelA Locus for α-Galactosidase in Lactobacillus Plantarum. Appl. Env. Microbiol. 2002, 68, 5464–5471. [Google Scholar] [CrossRef] [PubMed]
- Longin, C.F.H.; Beck, H.; Gütler, A.; Gütler, H.; Heilig, W.; Zimmermann, J.; Bischoff, S.C.; Würschum, T. Influence of Wheat Variety and Dough Preparation on FODMAP Content in Yeast-Leavened Wheat Breads. J. Cereal Sci. 2020, 95, 103021. [Google Scholar] [CrossRef]
- Laurent, J.; Struyf, N.; Bautil, A.; Bakeeva, A.; Chmielarz, M.; Lyly, M.; Herrera-Malaver, B.; Passoth, V.; Verstrepen, K.J.; Courtin, C.M. The Potential of Kluyveromyces Marxianus to Produce Low-FODMAP Straight-Dough and Sourdough Bread: A Pilot-Scale Study. Food Bioprocess Technol. 2021, 14, 1920–1935. [Google Scholar] [CrossRef]
- Brandt, M.J. Sourdough Products for Convenient Use in Baking. Food Microbiol. 2007, 24, 161–164. [Google Scholar] [CrossRef] [PubMed]
- Crowley, P.; Schober, T.J.; Clarke, C.I.; Arendt, E.K. The Effect of Storage Time on Textural and Crumb Grain Characteristics of Sourdough Wheat Bread. Eur. Food Res. Technol. 2002, 214, 489–496. [Google Scholar] [CrossRef]
- Tapia, M.S.; Alzamora, S.M.; Chirife, J. Effects of Water Activity (Aw) on Microbial Stability: As a Hurdle in Food Preservation. In Water Activity in Foods: Fundamentals and Applications; Barbosa-Cánovas, G.V., Fontana, A.J., Schmidt, S.J., Labuza, T.P., Eds.; Blackwell Publishing: Oxford, UK, 2008; pp. 239–271. ISBN 0813824087. [Google Scholar]
- Bock, J.E.; Damodaran, S. Bran-Induced Changes in Water Structure and Gluten Conformation in Model Gluten Dough Studied by Fourier Transform Infrared Spectroscopy. Food Hydrocoll. 2013, 31, 146–155. [Google Scholar] [CrossRef]
- Noort, M.W.J.; van Haaster, D.; Hemery, Y.; Schols, H.A.; Hamer, R.J. The Effect of Particle Size of Wheat Bran Fractions on Bread Quality—Evidence for Fibre-Protein Interactions. J. Cereal Sci. 2010, 52, 59–64. [Google Scholar] [CrossRef]
- Gobbetti, M.; Gänzle, M. Handbook on Sourdough Biotechnology; Springer Science & Business Media: New York, NY, USA, 2013; pp. 1–298. [Google Scholar] [CrossRef]
- Heiniö, R.L.; Noort, M.W.J.; Katina, K.; Alam, S.A.; Sozer, N.; de Kock, H.L.; Hersleth, M.; Poutanen, K. Sensory Characteristics of Wholegrain and Bran-Rich Cereal Foods—A Review. Trends Food Sci. Technol. 2016, 47, 25–38. [Google Scholar] [CrossRef]
- Sanz-Penella, J.M.; Tamayo-Ramos, J.A.; Haros, M. Application of Bifidobacteria as Starter Culture in Whole Wheat Sourdough Breadmaking. Food Bioprocess Technol. 2012, 5, 2370–2380. [Google Scholar] [CrossRef]
- Moroni, A.V.; Zannini, E.; Sensidoni, G.; Arendt, E.K. Exploitation of Buckwheat Sourdough for the Production of Wheat Bread. Eur. Food Res. Technol. 2012, 235, 659–668. [Google Scholar] [CrossRef]
- Axel, C.; Röcker, B.; Brosnan, B.; Zannini, E.; Furey, A.; Coffey, A.; Arendt, E.K. Application of Lactobacillus Amylovorus DSM19280 in Gluten-Free Sourdough Bread to Improve the Microbial Shelf Life. Food Microbiol. 2015, 47, 36–44. [Google Scholar] [CrossRef] [PubMed]
- Clément, H.; Prost, C.; Chiron, H.; Ducasse, M.B.; Della Valle, G.; Courcoux, P.; Onno, B. The Effect of Organic Wheat Flour By-Products on Sourdough Performances Assessed by a Multi-Criteria Approach. Food Res. Int. 2018, 106, 974–981. [Google Scholar] [CrossRef]
- Armero, E.; Collar, C. Antistaling Additives, Flour Type and Sourdough Process Effects on Functionality of Wheat Doughs. J. Food Sci. 1996, 61, 299–303. [Google Scholar] [CrossRef]
- Clarke, C.I.; Schober, T.J.; Arendt, E.K. Effect of Single Strain and Traditional Mixed Strain Starter Cultures on Rheological Properties of Wheat Dough and on Bread Quality. Cereal Chem. 2002, 79, 640–647. [Google Scholar] [CrossRef]
- Starowicz, M.; Zieliński, H. How Maillard Reaction Influences Sensorial Properties (Color, Flavor and Texture) of Food Products? Food Rev. Int. 2019, 35, 707–725. [Google Scholar] [CrossRef]
- Purlis, E. Browning Development in Bakery Products—A Review. J. Food Eng. 2010, 99, 239–249. [Google Scholar] [CrossRef]
- Ames, J.M. Control of the Maillard Reaction in Food Systems. Trends Food Sci. Technol. 1990, 1, 150–154. [Google Scholar] [CrossRef]
- Gellynck, X.; Kühne, B.; van Bockstaele, F.; van de Walle, D.; Dewettinck, K. Consumer Perception of Bread Quality. Appetite 2009, 53, 16–23. [Google Scholar] [CrossRef]
- Dewettinck, K.; van Bockstaele, F.; Kühne, B.; van de Walle, D.; Courtens, T.M.; Gellynck, X. Nutritional Value of Bread: Influence of Processing, Food Interaction and Consumer Perception. J. Cereal Sci. 2008, 48, 243–257. [Google Scholar] [CrossRef]
- Hobbs, D.A.; Ashouri, A.; George, T.W.; Lovegrove, J.A.; Methven, L. The Consumer Acceptance of Novel Vegetable-Enriched Bread Products as a Potential Vehicle to Increase Vegetable Consumption. Food Res. Int. 2014, 58, 15–22. [Google Scholar] [CrossRef]
- Torbica, A.; Škrobot, D.; Janić Hajnal, E.; Belović, M.; Zhang, N. Sensory and Physico-Chemical Properties of Wholegrain Wheat Bread Prepared with Selected Food by-Products. LWT-Food Sci. Technol. 2019, 114, 108414. [Google Scholar] [CrossRef]






| Ingredients | Quantity (g) | Based on Flour (%) |
|---|---|---|
| A. Reference bread | ||
| Whole-wheat flour | 842.70 | 100 |
| Water | 589.89 | 70 |
| Salt | 16.85 | 2 |
| Sugar | 8.43 | 1 |
| Sunflower oil | 25.28 | 3 |
| Yeast | 16.85 | 2 |
| B. Sourdough bread | ||
| Whole-wheat flour | 674.16 | 80 |
| SD (flour part) | 168.54 | 20 |
| SD (water part) | 252.81 | 30 |
| Water | 337.08 | 40 |
| Salt | 16.85 | 2 |
| Sugar | 8.43 | 1 |
| Sunflower oil | 25.28 | 3 |
| Yeast | 16.85 | 2 |
| Strain | Sucrose | Fructose | Lactose | Mannitol | Raffinose | FOS | Inulin |
|---|---|---|---|---|---|---|---|
| Lacticaseibacillus paracasei R3 | +++ | +++ | +++ | +++ | – | +++ | +++ |
| Lacticaseibacillus paracasei R18 | +++ | +++ | – | +++ | – | +++ | +++ |
| Lactiplantibacillus plantarum FST1.7 | +++ | +++ | +++ | +++ | +++ | ++ | – |
| Lactiplantibacillus plantarum FB102 | +++ | +++ | +++ | +++ | +++ | – | – |
| Pediococcus pentosaceus RYE100 | +++ | +++ | – | – | +++ | +++ | – |
| Pediococcus pentosaceus RYE102 | ++ | ++ | – | – | ++ | – | – |
| Pediococcus pentosaceus RYE104 | +++ | +++ | + | – | – | +++ | +++ |
| Pediococcus pentosaceus RYE106 | +++ | +++ | ++ | – | – | +++ | +++ |
| Pediococcus pentosaceus MZ2.6.1.5A | ++ | +++ | +++ | – | +++ | +++ | +++ |
| Pediococcus pentosaceus B1.7.1.8A | – | ++ | – | – | – | +++ | – |
| % DM | ||||
|---|---|---|---|---|
| Ferm. Time (h) | Lactic Acid * | Acetic Acid * | FQ ** | |
| SD-FST1.7 | 0 | <0.015 a | 0.07 ± 0.01 a,b | - |
| 48 | 3.70 ± 0.06 c | 0.08 ± 0.00 b | 31.59 | |
| SD-R3 | 0 | <0.015 a | 0.06 ± 0.00 a | - |
| 48 | 3.94 ± 0.04 d | 0.14 ± 0.01 c | 19.34 | |
| SD-RYE106 | 0 | <0.015 a | 0.07 ± 0.00 a,b | - |
| 48 | 2.88 ± 0.04 b | 0.16 ± 0.01 d | 12.03 | |
| Bread | FODMAP Contents ± Standard Deviation (g/100 g ‘As Is’) | Serve [g] | Meets Low FODMAP Criteria 3 | |||||
|---|---|---|---|---|---|---|---|---|
| Glucose | Fructose | EF * | ∑ Polyols (Sor, Man 1) | ∑GOS (Raf, Sta, Mel 2) | ∑ Fructans | |||
| SB-FST1.7 | 0.029 ± 0.001 a | 0.030 ± 0.002 c | - | 0.036 ± 0.001 b | 0.041 ± 0.001 a | 0.295 ± 0.010 b | 50 | Yes |
| SB-R3 | 0.028 ± 0.001 a | 0.028 ± 0.001 b | - | 0.030 ± 0.001 b | 0.044 ± 0.001 a | 0.256 ± 0.007 a | Yes | |
| SB-Rye 106 | 0.030 ± 0.001 a | 0.024 ± 0.001 c | - | 0.034 ± 0.000 a | 0.040 ± 0.001 b | 0.257 ± 0.010 a | Yes | |
| RB | 0.038 ± 0.001 b | 0.017 ± 0.001 a | - | 0.046 ± 0.002 c | 0.052 ± 0.000 c | 0.313 ± 0.008 b | Yes | |
| Attribute | Bread | |||
|---|---|---|---|---|
| RB | SB-FST1.7 | SB-R3 | SB-RYE106 | |
| Loaf properties | ||||
| Bake loss (%) | 13.02 ± 0.74 a | 13.05 ± 0.87 a | 13.03 ± 0.21 a | 13.19 ± 0.26 a |
| Water activity | 0.98 ± 0.01 a | 0.98 ± 0.01 a | 0.98 ± 0.00 a | 0.98 ± 0.01 a |
| Specific volume (SV) (mL/g) | 2.72 ± 0.14 a | 2.22 ± 0.06 b, c | 2.15 ± 0.04 c | 2.38 ± 0.09 b |
| Slice area (cm2) | 66.65± 4.25 a | 54.02 ± 2.78 c | 53.11 ± 2.31 c | 57.96 ± 2.11 b |
| Number of cells (×103) | 3.83 ± 0.53 a | 2.97 ± 0.41 b | 3.10 ± 0.42 b | 3.23 ± 0.43 b |
| Cell diameter (mm2) | 2.11 ± 0.25 a | 2.15 ± 0.38 a | 2.02 ± 0.27 a | 2.11 ± 0.21 a |
| Shelf life (days) | 3 | 4 | 4 | 4 |
| Crumb texture | ||||
| Hardness (N) | 16.05 ± 2.48 a | 26.79 ± 2.74 b | 27.23 ± 2.48 b | 23.25 ± 2.49 b |
| Chewiness | 12.11 ± 1.68 a | 18.91 ± 1.75 c | 19.35 ± 1.68 c | 16.72 ± 1.58 b |
| Colour | ||||
| Lightness of crumb (L*) | 53.77 ± 1.63 a | 50.64 ± 1.70 b | 50.64 ± 1.40 b | 50.05 ± 2.03 b |
| Redness of crumb (a*) | 5.49 ± 0.52 a | 5.89 ± 0.54 b | 5.93 ± 0.46 b | 5.67 ± 0.50 a |
| Yellowness of crumb (b*) | 17.20 ± 0.71 a | 17.70 ± 0.76 b | 17.76 ± 0.67 b | 17.30 ± 0.87 a |
| Lightness of crust (L*) | 43.95 ± 4.47 a | 45.27 ± 3.67 a | 42.70 ± 4.36 a | 44.09 ± 4.25 a |
| Redness of crust (a*) | 13.67 ± 1.11 a | 14.49 ± 1.37 b | 14.48 ± 1.25 b | 14.61 ± 1.04 b |
| Yellowness of crust (b*) | 24.09 ± 3.11 a | 27.53 ± 2.67 c | 24.75 ± 6.17 a,b | 26.63 ± 3.30 b,c |
Disclaimer/Publisher’s Note: The statements, opinions and data contained in all publications are solely those of the individual author(s) and contributor(s) and not of MDPI and/or the editor(s). MDPI and/or the editor(s) disclaim responsibility for any injury to people or property resulting from any ideas, methods, instructions or products referred to in the content. |
© 2023 by the authors. Licensee MDPI, Basel, Switzerland. This article is an open access article distributed under the terms and conditions of the Creative Commons Attribution (CC BY) license (https://creativecommons.org/licenses/by/4.0/).
Share and Cite
Borowska, M.; Ispiryan, L.; Neylon, E.; Sahin, A.W.; Murphy, C.P.; Zannini, E.; Arendt, E.K.; Coffey, A. Screening and Application of Novel Homofermentative Lactic Acid Bacteria Results in Low-FODMAP Whole-Wheat Bread. Fermentation 2023, 9, 336. https://doi.org/10.3390/fermentation9040336
Borowska M, Ispiryan L, Neylon E, Sahin AW, Murphy CP, Zannini E, Arendt EK, Coffey A. Screening and Application of Novel Homofermentative Lactic Acid Bacteria Results in Low-FODMAP Whole-Wheat Bread. Fermentation. 2023; 9(4):336. https://doi.org/10.3390/fermentation9040336
Chicago/Turabian StyleBorowska, Małgorzata, Lilit Ispiryan, Emma Neylon, Aylin W. Sahin, Craig P. Murphy, Emanuele Zannini, Elke K. Arendt, and Aidan Coffey. 2023. "Screening and Application of Novel Homofermentative Lactic Acid Bacteria Results in Low-FODMAP Whole-Wheat Bread" Fermentation 9, no. 4: 336. https://doi.org/10.3390/fermentation9040336
APA StyleBorowska, M., Ispiryan, L., Neylon, E., Sahin, A. W., Murphy, C. P., Zannini, E., Arendt, E. K., & Coffey, A. (2023). Screening and Application of Novel Homofermentative Lactic Acid Bacteria Results in Low-FODMAP Whole-Wheat Bread. Fermentation, 9(4), 336. https://doi.org/10.3390/fermentation9040336

