Influence of the Dry Yeast Preparation Method on Final Sparkling Wine Characteristics
Abstract
:1. Introduction
2. Materials and Methods
2.1. Microorganisms and Yeast Starter Culture Preparation
2.2. Sparkling Wine Production and Sampling Times
2.3. Analytical Methods
2.4. Volatile Aroma Compound Analysis and Odor Activity Value (OAV) Estimation
2.5. Parameters Related to Yeast Autolysis and Foaming Properties
2.6. Sensory Analysis
2.7. Statistical Analysis
3. Results and Discussion
3.1. Kinetics of Sugar Consumption and Ethanol Production in Capped Bottles
3.2. Chemical Characteristics of Sparkling Wines
3.3. Parameters Related to Yeast Autolysis and Foaming Properties
3.4. Volatile Aroma Analysis
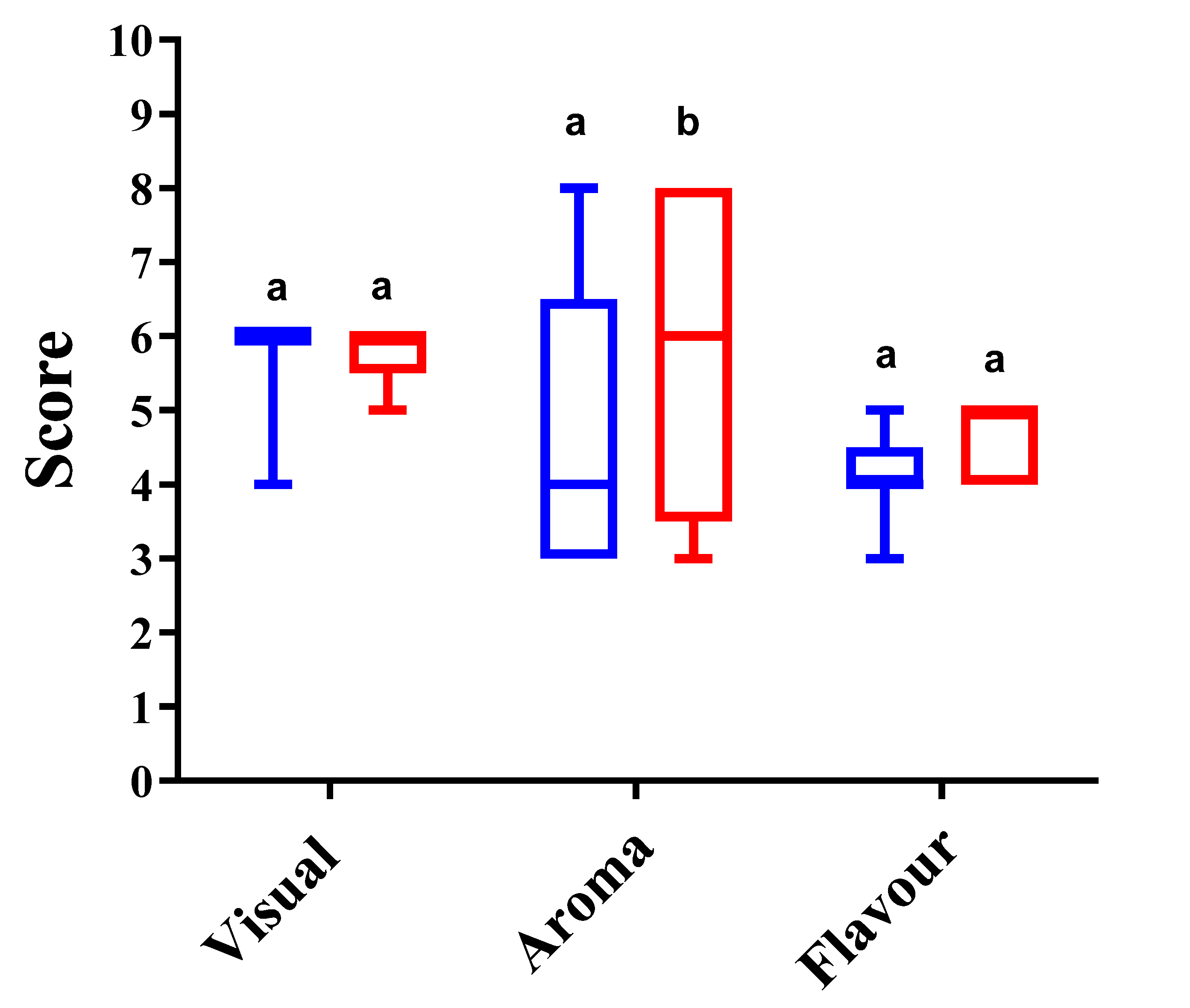
3.5. Sensory Analysis
4. Conclusions
Supplementary Materials
Author Contributions
Funding
Institutional Review Board Statement
Informed Consent Statement
Data Availability Statement
Acknowledgments
Conflicts of Interest
References
- Kemp, B.; Alexandre, H.; Robillard, B.; Marchal, R. Effect of production phase on bottle-fermented sparkling wine quality. J. Agric. Food Chem. 2015, 63, 19–38. [Google Scholar] [CrossRef] [PubMed]
- Alexandre, H.; Guilloux-Benatier, M. Yeast autolysis in sparkling wine—A review. Aust. J. Grape Wine Res. 2006, 12, 119–127. [Google Scholar] [CrossRef]
- Martí-Raga, M.; Martín, V.; Gil, M.; Sancho, M.; Zamora, F.; Mas, A.; Beltran, G. Contribution of yeast and base wine supplementation to sparkling wine composition. J. Sci. Food Agric. 2016, 96, 4962–4972. [Google Scholar] [CrossRef] [PubMed]
- Garofalo, C.; Arena, M.; Laddomada, B.; Cappello, M.; Bleve, G.; Grieco, F.; Beneduce, L.; Berbegal, C.; Spano, G.; Capozzi, V. Starter cultures for sparkling wine. Fermentation 2016, 2, 21. [Google Scholar] [CrossRef]
- Buxaderas, S.; López-Tamames, E. Sparkling wines: Features and trends from tradition. In Advances in Food and Nutrition Research; Henry, J., Ed.; Academic Press: Cambridge, MA, USA, 2012; Volume 66, pp. 1–45. [Google Scholar]
- Pozo-Bayón, M.Á.; Martínez-Rodríguez, A.; Pueyo, E.; Moreno-Arribas, M.V. Chemical and biochemical features involved in sparkling wine production: From a traditional to an improved winemaking technology. Trends Food Sci. Technol. 2009, 20, 289–299. [Google Scholar] [CrossRef]
- Benucci, I.; Liburdi, K.; Cerreti, M.; Esti, M. Characterization of active dry wine yeast during starter culture (pied de cuve) preparation for sparkling wine production. J. Food Sci. 2016, 81, M2015–M2020. [Google Scholar] [CrossRef]
- Martínez-Lapuente, L.; Guadalupe, Z.; Ayestarán, B.; Ortega-Heras, M.; Pérez-Magariño, S. Changes in polysaccharide composition during sparkling wine making and aging. J. Agric. Food Chem. 2013, 61, 12362–12373. [Google Scholar] [CrossRef]
- Martínez-Lapuente, L.; Apolinar-Valiente, R.; Guadalupe, Z.; Ayestarán, B.; Pérez-Magariño, S.; Williams, P.; Doco, T. Polysaccharides, oligosaccharides and nitrogenous compounds change during the ageing of Tempranillo and Verdejo sparkling wines. J. Sci. Food Agric. 2018, 98, 291–303. [Google Scholar] [CrossRef]
- Culbert, J.A.; McRae, J.M.; Condé, B.C.; Schmidtke, L.M.; Nicholson, E.L.; Smith, P.A.; Howell, K.S.; Boss, P.K.; Wilkinson, K.L. Influence of production method on the chemical composition, foaming properties, and quality of Australian carbonated and sparkling white wines. J. Agric. Food Chem. 2017, 65, 1378–1386. [Google Scholar] [CrossRef]
- Martínez-García, R.; García-Martínez, T.; Puig-Pujol, A.; Mauricio, J.C.; Moreno, J. Changes in sparkling wine aroma during the second fermentation under CO2 pressure in sealed bottle. Food Chem. 2017, 237, 1030–1040. [Google Scholar] [CrossRef]
- Torrens, J.; Urpí, P.; Riu-Aumatell, M.; Vichi, S.; López-Tamames, E.; Buxaderas, S. Different commercial yeast strains affecting the volatile and sensory profile of cava base wine. Int. J. Food Microbiol. 2008, 124, 48–57. [Google Scholar] [CrossRef]
- Berbegal, C.; Polo, L.; García-Esparza, M.J.; Lizama, V.; Ferrer, S.; Pardo, I. Immobilisation of yeasts on oak chips or cellulose powder for use in bottle-fermented sparkling wine. Food Microbiol. 2019, 78, 25–37. [Google Scholar] [CrossRef]
- Kunkee, R.E.; Ough, C.S. Multiplication and fermentation of Saccharomyces cerevisiae under carbon dioxide pressure in wine. Appl. Microbiol. 1966, 14, 643–648. [Google Scholar] [CrossRef]
- Juroszek, J.R.; Feuillat, M.; Charpentier, C. Effect of the champagne method of starter preparation on ethanol tolerance of yeast. Am. J. Enol. Vitic. 1987, 38, 194–198. [Google Scholar]
- Laurent, M.; Valade, M. La préparation du levain de tirage à partir de levures sèches actives. Vign. Champen. 2007, 128, 74–95. [Google Scholar]
- Johansson, E.; Brandberg, T.; Larsson, C. Influence of cultivation procedure for Saccharomyces cerevisiae used as pitching agent in industrial spent sulphite liquor fermentations. J. Ind. Microbiol. Biotechnol. 2011, 38, 1787–1792. [Google Scholar] [CrossRef]
- Belloch, C.; López, M.D.; Esteve, B.; Martínez, P.V.; García-López, M.D.; Uruburu, F. Catálogo de Cepas. Colección Española de Cultivos Tipo, 4th ed.; Universitat de València: Valencia, Spain, 1998. [Google Scholar]
- BOE-A-1991-28079. Reglamentación de la Denominación «Cava» y de su Consejo Regulador. Orden del 14 de Noviembre de 1991. Bol. Of. Estado 1991, 278, 37587–37593. [Google Scholar]
- EEC-358/79. Council Regulation (EEC) No 358/79 of 5 February 1979 on sparkling wines produced in the Community and defined in item 13 of Annex II to Regulation (EEC) No 337/79. Off. J. Eur. Communities 1979, L 54, 130–135.
- Frayne, R.F. Direct analysis of the major organic components in grape must and wine using high performance liquid chromatography. Am. J. Enol. Vitic. 1986, 37, 281–287. [Google Scholar]
- OIV. Compendium of International Methods of Analysis of Wines and Musts; International Organization of Vine and Wine: Paris, France, 2016. [Google Scholar]
- Canals, J.M.; Arola, L.; Zamora, F. Protein fraction analysis of white wine by FPLC. Am. J. Enol. Vitic. 1998, 49, 383–388. [Google Scholar]
- Ayestarán, B.; Guadalupe, Z.; León, D. Quantification of major grape polysaccharides (Tempranillo v.) released by maceration enzymes during the fermentation process. Anal. Chim. Acta 2004, 513, 29–39. [Google Scholar] [CrossRef]
- Maujean, A.; Poinsaut, P.; Dantan, H.; Brissonnet, F.; Cossiez, E. Étude de la tenue et de la qualité de mousse des vins effervescents: II- Mise au point d’une technique de mesure de la moussabilité, de la tenue et de la stabilité des vins effervescents. Bull. Off. Int. Vin. 1990, 711–712, 405–427. [Google Scholar]
- Ortega, C.; López, R.; Cacho, J.; Ferreira, V. Fast analysis of important wine volatile compounds development and validation of a new method based on gas chromatographic-flame ionisation detection analysis of dichloromethane microextracts. J. Chromatogr. A 2001, 923, 205–214. [Google Scholar] [CrossRef]
- OIV. OIV standard for international wine and spirituous beverages of vitivinicultural origin competitions. In OIV Resolution/Concours 332A/2009; International Organisation of Vine and Wine, Ed.; OIV: Paris, France, 2009. [Google Scholar]
- González-Marco, A.; Ancín-Azpilicueta, C. Influence of lees contact on evolution of amines in Chardonnay wine. J. Food Sci. 2006, 71, C544–C548. [Google Scholar] [CrossRef]
- González-Marco, A.; Jiménez-Moreno, N.; Ancín-Azpilicueta, C. Influence of nutrients addition to nonlimited-in-nitrogen must on wine volatile composition. J. Food Sci. 2010, 75, S206–S211. [Google Scholar] [CrossRef]
- Soubeyrand, V.; Luparia, V.; Williams, P.; Doco, T.; Vernhet, A.; Ortiz-Julien, A.; Salmon, J.-M. Formation of micella containing solubilized sterols during rehydration of active dry yeasts improves their fermenting capacity. J. Agric. Food. Chem. 2005, 53, 8025–8032. [Google Scholar] [CrossRef]
- Gutiérrez, A.; Beltran, G.; Warringer, J.; Guillamón, J.M. Genetic basis of variations in nitrogen source utilization in four wine commercial yeast strains. PLoS ONE 2013, 8, e67166. [Google Scholar] [CrossRef] [Green Version]
- Gutiérrez, A.; Chiva, R.; Sancho, M.; Beltran, G.; Arroyo-López, F.N.; Guillamon, J.M. Nitrogen requirements of commercial wine yeast strains during fermentation of a synthetic grape must. Food Microbiol. 2012, 31, 25–32. [Google Scholar] [CrossRef]
- Martínez-Moreno, R.; Morales, P.; González, R.; Mas, A.; Beltrán, G. Biomass production and alcoholic fermentation performance of Saccharomyces cerevisiae as a function of nitrogen source. FEMS Yeast Res. 2012, 12, 477–485. [Google Scholar] [CrossRef]
- Beltrán, G.; Esteve-Zarzoso, B.; Rozès, N.; Mas, A.; Guillamón, J.M. Influence of the timing of nitrogen additions during synthetic grape must fermentations on fermentation kinetics and nitrogen consumption. J. Agric. Food Chem. 2005, 53, 996–1002. [Google Scholar] [CrossRef]
- Devatine, A.; Gerbaud, V.; Gabas, N.; Blouin, J. Prediction and mastering of wine acidity and tartaric precipitations: The Mextar® software tool. OENO One 2002, 36, 77. [Google Scholar] [CrossRef]
- Whiting, G.C. Organic acid metabolism of yeasts during fermentation of alcoholic beverages-A review. J. Inst. Brew. 1976, 82, 84–92. [Google Scholar] [CrossRef]
- Yéramian, N.; Chaya, C.; Suárez Lepe, J.A. L-(−)-malic acid production by Saccharomyces spp. during the alcoholic fermentation of wine. J. Agric. Food Chem. 2007, 55, 912–919. [Google Scholar] [CrossRef]
- Shimazu, Y.; Watanabe, M. Effects of yeast strains and environmental conditions on formation of organic acids in must during fermentation. J. Ferment. Technol. 1981, 59, 27–32. [Google Scholar]
- Ramon-Portugal, F.; Seiller, I.; Taillandier, P.; Favarel, J.-L.; Nepveu, F.; Strehaiano, P. Kinetics of production and consumption of organic acids during alcoholic fermentation by Saccharomyces cerevisae. Food Technol. Biotechnol. 1999, 37, 235–240. [Google Scholar]
- Heerde, E.; Radler, F. Metabolism of the anaerobic formation of succinic acid by Saccharomyces cerevisiae. Arch. Microbiol. 1978, 117, 269–276. [Google Scholar] [CrossRef]
- Martí-Raga, M.; Sancho, M.; Guillamón, J.M.; Mas, A.; Beltrán, G. The effect of nitrogen addition on the fermentative performance during sparkling wine production. Food Res. Int. 2015, 67, 126–135. [Google Scholar] [CrossRef]
- Yeramian, N. Acidificación Biológica de Mostos en Zonas Cálidas. Ph.D. Thesis, Universidad Politécnica de Madrid, Madrid, Spain, 2003. [Google Scholar]
- Pons-Mercadé, P.; Giménez, P.; Vilomara, G.; Conde, M.; Cantos, A.; Rozès, N.; Ferrer, S.; Canals, J.M.; Zamora, F. New insights about the influence of yeasts autolysis on sparkling wines composition and quality. In Grapes and Wine; Morata, A., Loira, I., González, C., Eds.; IntechOpen: London, UK, 2021. [Google Scholar] [CrossRef]
- Martínez-Lapuente, L.; Ayestarán, B.; Guadalupe, Z. Influence of wine chemical compounds on the foaming properties of sparkling wines. In Grapes and wines—Advances in Production, Processing, Analysis and Valorization; InTech: London, UK, 2018; Volume 10, pp. 195–223. [Google Scholar]
- Esteruelas, M.; González-Royo, E.; Kontoudakis, N.; Orte, A.; Cantos, A.; Canals, J.M.; Zamora, F. Influence of grape maturity on the foaming properties of base wines and sparkling wines (Cava). J. Sci. Food Agric. 2015, 95, 2071–2080. [Google Scholar] [CrossRef]
- Pueyo, E.; Martín-Alvarez, P.J.; Polo, M.C. Relationship between foam characteristics and chemical composition in wines and cavas (sparkling wines). Am. J. Enol. Vitic. 1995, 46, 518–524. [Google Scholar]
- Gawel, R.; Smith, P.A.; Cicerale, S.; Keast, R. The mouthfeel of white wine. Crit. Rev. Food Sci. Nutr. 2018, 58, 2939–2956. [Google Scholar] [CrossRef]
- Moreno-Arribas, V. Influence of the polysaccharides and the nitrogen compounds on foaming properties of sparkling wines. Food Chem. 2000, 70, 309–317. [Google Scholar] [CrossRef]
- Martínez-Lapuente, L.; Guadalupe, Z.; Ayestarán, B.; Pérez-Magariño, S. Role of major wine constituents in the foam properties of white and rosé sparkling wines. Food Chem. 2015, 174, 330–338. [Google Scholar] [CrossRef]
- Jiang, B.; Zhang, Z. Volatile compounds of young wines from Cabernet Sauvignon, Cabernet Gernischet and Chardonnay varieties grown in the Loess Plateau Region of China. Molecules 2010, 15, 9184. [Google Scholar] [CrossRef] [Green Version]
- Francis, L. Fermentation derived aroma compounds and grape-derived monoterpenes. In Proceedings of the 15th Australian Wine Industry Technical Conference, Sydney, NSW, Australia, 13–18 July 2013. [Google Scholar]
- Gambetta, J.M.; Bastian, S.E.P.; Cozzolino, D.; Jeffery, D.W. Factors influencing the aroma composition of Chardonnay wines. J. Agric. Food Chem. 2014, 62, 6512–6534. [Google Scholar] [CrossRef]
- Sánchez-Palomo, E.; Gómez García-Carpintero, E.; Gómez Gallego, M.Á.; González Viñas, M.Á. The aroma of Rojal red wines from La Mancha Region—Determination of key odorants. In Gas Chromatography in Plant Science, Wine Technology, Toxicology and Some Specific Applications; Salih, B., Çelikbıçak, Ö., Eds.; IntechOpen: London, UK, 2012; pp. 147–170. [Google Scholar] [CrossRef] [Green Version]
- Guth, H. Quantitation and sensory studies of character impact odorants of different white wine varieties. J. Agric. Food Chem. 1997, 45, 3027–3032. [Google Scholar] [CrossRef]
- Aznar, M.; López, R.; Cacho, J.; Ferreira, V. Prediction of aged red wine aroma properties from aroma chemical composition. Partial least squares regression models. J. Agric. Food Chem. 2003, 51, 2700–2707. [Google Scholar] [CrossRef]
- Zea, L.; Moyano, L.; Moreno, J.; Cortes, B.; Medina, M. Discrimination of the aroma fraction of Sherry wines obtained by oxidative and biological ageing. Food Chem. 2001, 75, 79–84. [Google Scholar] [CrossRef]
- Belitz, H.-D.; Grosch, W.; Schieberle, P. Food Chemistry, 4th ed.; Springer: Berlin/Heidelberg, Germany, 2009. [Google Scholar]
- Lambrechts, M.G.; Pretorius, I.S. Yeast and its importance to wine arom—A review. S. Afr. J. Enol. Vitic. 2000, 20, 97–129. [Google Scholar]
- Welke, J.E.; Dachery, B.; Dal Magro, L.; Hernandes, K.C.; Zini, C.A. Volatile compounds formation in sparkling wine. In Volatile Compounds Formation in Specialty Beverages; CRC Press: Boca Raton, FL, USA, 2022; pp. 109–141. [Google Scholar]
- Fairbairn, S.; McKinnon, A.; Musarurwa, H.T.; Ferreira, A.C.; Bauer, F.F. The impact of single amino acids on growth and volatile aroma production by Saccharomyces cerevisiae strains. Front. Microbiol. 2017, 8, 2554. [Google Scholar] [CrossRef] [Green Version]
- Bell, S.-J.; Henschke, P.A. Implications of nitrogen nutrition for grapes, fermentation and wine. Aust. J. Grape Wine Res. 2005, 11, 242–295. [Google Scholar] [CrossRef]
- Ferreira, V.; Ortín, N.; Escudero, A.; López, R.; Cacho, J. Chemical characterization of the aroma of Grenache rosé wines: Aroma extract dilution analysis, quantitative determination, and sensory reconstitution studies. J. Agric. Food Chem. 2002, 50, 4048–4054. [Google Scholar] [CrossRef] [PubMed]
- Moyano, L.; Zea, L.; Moreno, J.; Medina, M. Analytical study of aromatic series in Sherry wines subjected to biological aging. J. Agric. Food Chem. 2002, 50, 7356–7361. [Google Scholar] [CrossRef] [PubMed]
- Mingorance-Cazorla, L. Contribution of different natural yeasts to the aroma of two alcoholic beverages. World J. Microbiol. Biotechnol. 2003, 19, 297–304. [Google Scholar] [CrossRef]



| Parameter | Base Wine | GPY | Pied de cuve |
|---|---|---|---|
| pH | 3.16 ± 0.01 a | 3.23 ± 0.14 a | 3.12 ± 0.01 a |
| Titratable acidity (g/L tartaric acid) | 8.5 ± 0.01 c | 7.65 ± 0.21 b | 6.30 ± 0.21 a |
| Volatile acidity (g/L acetic acid) | 0.16 ± 0.01 a | 0.254 ± 0.085 a | 0.280 ± 0.109 a |
| Residual sugars | 0.88 ± 0.09 b | 0.36 ± 0.04 a | 0.42 ± 0.06 a |
| Ethanol (% v/v) | 10.97 ± 0.09 a | 12.37 ± 0.09 b | 12.35 ± 0.04 b |
| Parameter | GPY | Pied de cuve |
|---|---|---|
| Total proteins | 10.77 ± 0.75 a | 12.39 ± 0.456 a |
| Total polysaccharides | 122.75 ± 0.914 a | 208.81 ± 31.95 b |
| MH (mm) | 66 ± 1 b | 56 ± 1.4 a |
| SH | 61 ± 1 b | 51 ± 1.4 a |
| GPY | Pied de cuve | ||||||
|---|---|---|---|---|---|---|---|
| Group | Volatile Compound | Odor Descriptor | Odor Threshold Values (μg/L) | Compound Concentration ± SD (μg/L) | OAV | Compound Concentration ± SD (μg/L) | OAV |
| Aldehydes | Acetaldehyde | Apple 4 | 500 5 | 184.7 ± 77.8 a | 0.4 | 232.3 ± 20.7 a | 0.5 |
| Benzaldehyde | Almonds 1 | 350 8 | 35.7 ± 5.6 b | 0.1 | ND a | ND | |
| Diacetyl | Butter 3 | 100 2 | 97.8 ± 57.8 a | 1.0 | 82.5 ± 72.8 a | 0.8 | |
| 5-Methylfurfural | Spicy 3 | 20,000 6 | 184.8 ± 87.2 a | 0.0 | 272.8 ± 50.2 a | 0.0 | |
| Total aldehydes | 503.0 a | 587.6 b | |||||
| Esters | Diethyl glutarate | Fruity 1 | - | 30.7 ± 17.1 a | - | 23.5 ± 2.1 a | - |
| Diethyl succinate | Fruity 1 | 1,200,000 7 | 953.5 ± 280.6 a | 0.0 | 825.9 ± 273.8 a | 0.0 | |
| Ethyl acetate | Fruity, sweet 1 | 12,000 7 | 134.8 ± 45.2 b | 0.0 | ND a | 0.0 | |
| Ethyl butyrate | Apple 2 | 20 5 | 73.6 ± 16.3 b | 3.7 | 65.4 ± 5.9 a | 3.3 | |
| Ethyl hexanoate | Fruity, anise 1 | 14 3 | 100.2 ± 6.3 b | 7.2 | ND a | ND | |
| Ethyl octanoate | Pineapple, pear, floral 1 | 2 5 | 335.7 ± 139.6 a | 167.9 | 362.2 ± 115 a | 181.1 | |
| Ethyl decanoate | Fruity 1 | 200 3 | 496.5 ± 63.5 b | 2.5 | 208.6 ± 157.9 a | 1.0 | |
| Ethyl isovalerate | Fruity 2 | 3 2 | 56.6 ± 0.0 b | 18.9 | NDa | ND | |
| Ethyl lactate | Sour 1 | 155,000 3 | 34,224.2 ± 8016.7 a | 0.2 | 28,725 ± 3114.9 a | 0.2 | |
| Hexyl acetate | Fruity, pear 1 | 1500 3 | 258.8 ± 65.3 b | 0.4 | 134.7 ± 11.7 a | 0.2 | |
| Isobutyl acetate | Solvent 1 | 1600 6 | 28.7 ± 6.6 b | 0.0 | ND a | ND | |
| Methyl acetate | Fruity 2 | 470,000 7 | 51.0 ± 12 a | 0.0 | 43.5 ± 8.6 a | 0.0 | |
| 2-Phenethyl acetate | Pleasant, floral 1 | 250 3 | 208.9 ± 89.1 b | 0.8 | 86.9 ± 7.4 a | 0.4 | |
| Total esters | 36,953.2 b | 30.475,7 a | |||||
| Acids | Butyric acid | Stale, cheese 2 | 10,000 5 | 155.4 ± 27 a | 0.0 | 112.2 ± 52.7 a | 0.0 |
| 2-Ethylhexanoic acid | Herbaceous 1 | - | 97.2 ± 10.3 b | - | 15.9 ± 5.6 a | - | |
| Hexanoic acid | Cheese, fatty, stale 1 | 420 3 | 2179.4 ± 492.5 a | 5.2 | 1603.9 ± 267.5 a | 3.8 | |
| Octanoic acid | Cheese, rough, sour 1 | 500 3 | 3940.8 ± 943.6 b | 7.9 | 2648.5 ± 466.8 a | 5.3 | |
| Decanoic acid | Fatty 1 | 1000 3 | 613.1 ± 129.7 a | 0.6 | 453.8 ± 180.6 a | 0.5 | |
| Isobutyric acid | Fatty 1 | 200,000 5 | NDa | ND | 51.7 ± 2 b | 0.0 | |
| Isopentanoic acid | Stale 1 | - | 184.7 ± 33.3 b | - | 12.6 ± 2 a | - | |
| Total acids | 7170.6 b | 4898.6 a | |||||
| Alcohols | Benzyl alcohol | Citric, fruity 1 | 200,000 6 | 18.0 ± 9.6 a | 0.0 | 27.2 ± 4 a | 0.0 |
| 2,3-Butanediol | Butter 1 | 150,000 4 | 44.2 ± 13.7 b | 0.0 | ND a | ND | |
| 1-Butanol | Medicine, alcohol 1 | 150,000 3 | 47.5 ± 4.3 b | 0.0 | ND a | ND | |
| Isoamyl alcohol | Fusel 1 | 30,000 2 | 40,208.9 ± 6545 b | 1.34 | 32,075.1 ± 6248 a | 1.1 | |
| 2-Phenylethanol | Floral, pollen 1 | 14,000 3 | 7508.1 ± 1625.1 b | 0.5 | 5539.7 ± 1005.8 a | 0.5 | |
| Total alcohols | 47,826.7 b | 37,660 a | |||||
| Lactones | γ- Butyrolactone | Sweet, toasted, caramel 4 | 50,000 6 | 814.2 ± 77.7 b | 0.0 | 545.4 ± 415.4 a | 0.0 |
Publisher’s Note: MDPI stays neutral with regard to jurisdictional claims in published maps and institutional affiliations. |
© 2022 by the authors. Licensee MDPI, Basel, Switzerland. This article is an open access article distributed under the terms and conditions of the Creative Commons Attribution (CC BY) license (https://creativecommons.org/licenses/by/4.0/).
Share and Cite
Berbegal, C.; Polo, L.; García-Esparza, M.J.; Álvarez, I.; Zamora, F.; Ferrer, S.; Pardo, I. Influence of the Dry Yeast Preparation Method on Final Sparkling Wine Characteristics. Fermentation 2022, 8, 313. https://doi.org/10.3390/fermentation8070313
Berbegal C, Polo L, García-Esparza MJ, Álvarez I, Zamora F, Ferrer S, Pardo I. Influence of the Dry Yeast Preparation Method on Final Sparkling Wine Characteristics. Fermentation. 2022; 8(7):313. https://doi.org/10.3390/fermentation8070313
Chicago/Turabian StyleBerbegal, Carmen, Lucía Polo, M. José García-Esparza, Inmaculada Álvarez, Fernando Zamora, Sergi Ferrer, and Isabel Pardo. 2022. "Influence of the Dry Yeast Preparation Method on Final Sparkling Wine Characteristics" Fermentation 8, no. 7: 313. https://doi.org/10.3390/fermentation8070313
APA StyleBerbegal, C., Polo, L., García-Esparza, M. J., Álvarez, I., Zamora, F., Ferrer, S., & Pardo, I. (2022). Influence of the Dry Yeast Preparation Method on Final Sparkling Wine Characteristics. Fermentation, 8(7), 313. https://doi.org/10.3390/fermentation8070313
