The Nutritional Profile of Root Vegetables Through Spontaneous Fermentation with Apples: Amino Acid Composition and Microbial Dynamics
Abstract
1. Introduction
2. Materials and Methods
2.1. Fermentation Conditions
2.2. Microbial and Physicochemical Analysis
2.2.1. Microbial Analysis
2.2.2. pH and Total Acidity Measurement
2.2.3. Nitrogen and Amino Acid Content Analysis
2.2.4. Statistical Analysis
3. Results
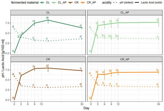
3.1. Microbial and Physicochemical Changes During Fermentation
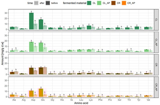
3.2. The Amino Acid Composition and the Nutritional Value of Protein in Fermented Products
4. Conclusions
Supplementary Materials
Author Contributions
Funding
Institutional Review Board Statement
Informed Consent Statement
Data Availability Statement
Conflicts of Interest
References
- Liu, L.; Li, G.; Cui, L.; Cai, R.; Yuan, Y.; Gao, Z.; Yue, T.; Wang, Z. The health benefits of fermented fruits and vegetables and their underlying mechanisms. Compr. Rev. Food Sci. Food Saf. 2024, 23, e70072. [Google Scholar] [CrossRef] [PubMed]
- Tan, X.; Cui, F.; Wang, D.; Lv, X.; Li, X.; Li, J. Fermented Vegetables: Health Benefits, Defects, and Current Technological Solutions. Foods 2024, 13, 38. [Google Scholar] [CrossRef] [PubMed]
- Lu, Y.-H.; Wu, J.; Huang, J.; Zheng, M.-J.; Hong, Z.-Z.; Manzoor, M.F.; Huang, Y.-Y.; Zeng, X. Fermented vegetables in China: Overview, novel processes, influencing factors, lactic acid bacteria and industrialisation status. Int. J. Food Sci. Technol. 2024, 59, 4420–4436. [Google Scholar] [CrossRef]
- Purwin, C.; Lipiński, K.; Pysera, B. Jakość Higieniczna Kiszonek. Życie Weter. 2012, 87, 37–40. [Google Scholar]
- Valentino, V.; Magliulo, R.; Farsi, D.; Cotter, P.D.; O’Sullivan, O.; Ercolini, D.; De Filippis, F. Fermented Foods, Their Microbiome and Its Potential in Boosting Human Health. Microb. Biotechnol. 2024, 17, e14428. [Google Scholar] [CrossRef]
- Venkitanarayanan, K.S.; Lin, C.-M.; Bailey, H.; Doyle, M.P. Inactivation of Escherichia coli O157:H7, Salmonella enteritidis and Listeria monocytogenes on Apples, Oranges, and Tomatoes by Lactic Acid with Hydrogen Peroxide. J. Food Prot. 2002, 65, 100–105. [Google Scholar] [CrossRef]
- Pujato, S.A.; Mercanti, D.J.; Briggiler Marcó, M.; Capra, M.L.; Quiberoni, A.; Guglielmotti, D.M. Bacteriocins from Lactic Acid Bacteria: Strategies for the Bioprotection of Dairy Foods. Front. Food Sci. Technol. 2024, 4, 1439891. [Google Scholar] [CrossRef]
- Pimentel, T.C.; da Costa, W.K.A.; Barão, C.E.; Rosset, M.; Magnani, M. Vegan Probiotic Products: A Modern Tendency or the Newest Challenge in Functional Foods. Food Res. Int. 2021, 140, 110033. [Google Scholar] [CrossRef]
- Wierzbicka, A.; Janiszewska-Turak, E. Influence of the Salt Addition during the Fermentation Process on the Physical and Chemical Properties of Dried Yellow Beetroot. Appl. Sci. 2024, 14, 524. [Google Scholar] [CrossRef]
- Knez, E.; Kadac-Czapska, K.; Grembecka, M. Effect of Fermentation on the Nutritional Quality of the Selected Vegetables and Legumes and Their Health Effects. Life 2023, 13, 655. [Google Scholar] [CrossRef]
- Available online: http://www.fao.org/faostat/en/#data (accessed on 7 January 2025).
- Rosa, R.; Hajko, L.; Franczuk, J.; Zaniewicz-Bajkowska, A.; Andrejiová, A.; Mezeyová, I. Effect of L-Tryptophan and L-Glutamic Acid on Carrot Yield and Its Quality. Agronomy 2023, 13, 562. [Google Scholar] [CrossRef]
- Available online: https://www.tridge.com/intelligences/carrot (accessed on 12 December 2024).
- Guiné, R.P.F.; Barroca, M.J.; Coldea, T.E.; Bartkiene, E.; Anjos, O. Apple Fermented Products: An Overview of Technology, Properties and Health Effects. Processes 2021, 9, 223. [Google Scholar] [CrossRef]
- Available online: https://www.mordorintelligence.com/industry-reports/fresh-apples-market (accessed on 7 January 2025).
- Musacchi, S.; Serra, S. Apple Fruit Quality: Overview on Pre-Harvest Factors. Sci. Hortic. 2018, 234, 409–430. [Google Scholar] [CrossRef]
- Lopez, M.J.; Mohiuddin, S.S. Biochemistry, Essential Amino Acids; StatPearls Publishing: Treasure Island, FL, USA, 2023. [Google Scholar]
- Børsheim, E.; Bui, Q.U.; Tissier, S.; Kobayashi, H.; Ferrando, A.A.; Wolfe, R.R. Effect of Amino Acid Supplementation on Muscle Mass, Strength and Physical Function in Elderly. Clin. Nutr. 2008, 27, 189–195. [Google Scholar] [CrossRef] [PubMed]
- Kimball, S.R.; Jefferson, L.S. Amino Acids as Regulators of Gene Expression. Nutr. Metab. 2004, 1, 3. [Google Scholar] [CrossRef]
- Paudel, S.; Wu, G.; Wang, X. Amino Acids in Cell Signaling: Regulation and Function. Adv. Exp. Med. Biol. 2021, 1332, 17–33. [Google Scholar] [CrossRef]
- Monirujjaman, M.; Ferdouse, A. Metabolic and Physiological Roles of Branched-Chain Amino Acids. Adv. Mol. Biol. 2014, 2014, 523596. [Google Scholar] [CrossRef]
- Cavallarin, L.; Tabacco, E.; Borreani, G. Forage and Grain Legume Silages as a Valuable Source of Proteins for Dairy Cows. Ital. J. Anim. Sci. 2007, 6, 282–284. [Google Scholar] [CrossRef]
- Renaudeau, D.; Jensen, S.K.; Ambye-Jensen, M.; Adler, S.; Bani, P.; Juncker, E.; Stødkilde, L. Nutritional Values of Forage-Legume-Based Silages and Protein Concentrates for Growing Pigs. Animal 2022, 16, 100572. [Google Scholar] [CrossRef]
- FAO/WHO. Protein Quality Evaluation: Report of a Joint FAO-WHO Expert Consultation; FAO: Rome, Italy, 1991; Volume 51. [Google Scholar]
- PN-EN ISO 6887-1:2017-05; Microbiology of Food and Animal Feeding Stuffs. Preparation of Test Samples, Initial Suspension and Decimal Dilutions for Microbiological Examination-Part 1: General Rules for the Preparation of the Initial Suspension and Decimal Dilutions. International Standards Organization: Geneva, Switzerland, 2005.
- PN-ISO 15214:2002; Microbiology of Food and Feed—Horizontal Method for Enumerating Mesophilic Lactic Acid Bacteria—Plate Method at 30 °C. International Standards Organization: Geneva, Switzerland, 2002.
- PN-ISO 21527-1:2009; Microbiology of Food and Animal Feeding Stuffs. Horizontal Method for the Enumeration of Yeasts and Moulds—Part 2: Colony Count Technique in Products with Water Activity Greater than 0.95. International Standards Organization: Geneva, Switzerland, 2009.
- Shatalin, K.; Shatalina, E.; Mironov, A.; Nudler, E. H2S: A Universal Defense Against Antibiotics in Bacteria. Science 2011, 334, 986–990. [Google Scholar] [CrossRef]
- Xia, Y.; Lü, C.; Hou, N.; Xin, Y.; Liu, J.; Liu, H.; Xun, L. Sulfide production and oxidation by heterotrophic bacteria under aerobic conditions. ISME J. 2017, 11, 2754–2766. [Google Scholar] [CrossRef] [PubMed]
- Association of Analytical Chemists (AOAC). Official Methods of Analysis, 15th ed.; Association of Official Analytical Chemist, Inc.: Washington, DC, USA, 2000. [Google Scholar]
- Mariotti, F.; Tomé, D.; Mirand, P.P. Converting Nitrogen into Protein—Beyond 6.25 and Jones’ Factors. Crit. Rev. Food Sci. Nutr. 2008, 48, 177–184. [Google Scholar] [CrossRef] [PubMed]
- Gientka, I.; Synowiec, A.; Roszko, M.; Nguyen, C.N.K.; Pobiega, K.; Kot, A.M. Comparison of Physicochemical Characteristics and Microbial Quality between Commercially Available Organic and Conventional Japanese Soy Sauces. Appl. Sci. 2024, 14, 3784. [Google Scholar] [CrossRef]
- Block, R.J.; Mitchell, H.H. The Correlation of the Amino Acid Composition of Proteins with Their Nutritive Value. Nutr. Abstr. Rev. 1946, 16, 249–278. [Google Scholar]
- Oser, B.L. An Integrated Essential Amino Acid Index for Predicting the Biological Value of Proteins. In Protein and Amino Acid Nutrition; Elsevier: Amsterdam, The Netherlands, 1959; pp. 281–295. [Google Scholar]
- Kingston, J.J.; Radhika, M.; Roshini, P.T.; Raksha, M.A.; Murali, H.S.; Batra, H.V. Molecular Characterization of Lactic Acid Bacteria Recovered from Natural Fermentation of Beet Root and Carrot Kanji. Indian J. Microbiol. 2010, 50, 292–298. [Google Scholar] [CrossRef]
- Kashab, E.; Laczkó, L.; Bali, K.; Fidrus, E.; Bányai, K.; Kardos, G. Draft Genome Sequences of Lacticaseibacillus rhamnosus Cek-R1, Lacticaseibacillus paracasei Cek-R2, and Lentilactobacillus otakiensis Cek-R3, Isolated from a Beetroot Product. Microbiol. Resour. Announc. 2022, 11, e0092121. [Google Scholar] [CrossRef]
- Cachon, R.; Diviès, C. Generalized Model of the Effect of pH on Lactate Fermentation and Citrate Bioconversion in Lactococcus lactis ssp. lactis Biovar. diacetylactis. Appl. Microbiol. Biotechnol. 1994, 41, 694–699. [Google Scholar] [CrossRef]
- Novak, L.; Cocaign-Bousquet, M.; Lindley, N.D.; Loubiere, P. Metabolism and Energetics of Lactococcus lactis during Growth in Complex or Synthetic Media. Appl. Environ. Microbiol. 1997, 63, 2665–2670. [Google Scholar] [CrossRef]
- Graça, A.; Santo, D.; Esteves, E.; Nunes, C.; Abadias, M.; Quintas, C. Evaluation of Microbial Quality and Yeast Diversity in Fresh-Cut Apple. Food Microbiol. 2015, 51, 179–185. [Google Scholar] [CrossRef]
- Morrissey, W.F.; Davenport, B.; Querol, A.; Dobson, A.D. The Role of Indigenous Yeasts in Traditional Irish Cider Fermentations. J. Appl. Microbiol. 2004, 97, 647–655. [Google Scholar] [CrossRef]
- Suarez Valles, B.; Bedrinana, R.P.; Tascon, N.F.; Simon, A.Q.; Madrera, R.R. Yeast Species Associated with the Spontaneous Fermentation of Cider. Food Microbiol. 2007, 24, 25–31. [Google Scholar] [CrossRef] [PubMed]
- Ismail, S.I.; Batzer, J.C.; Harrington, T.C.; Crous, P.W.; Lavrov, D.V.; Li, H.; Gleason, M.L. Ancestral State Reconstruction Infers Phytopathogenic Origins of Sooty Blotch and Flyspeck Fungi on Apple. Mycologia 2016, 108, 292–302. [Google Scholar] [CrossRef] [PubMed][Green Version]
- Szczech, M.; Kowalska, B.; Smolińska, U.; Maciorowski, R.; Oskiera, M.; Michalska, A. Microbial Quality of Organic and Conventional Vegetables from Polish Farms. Int. J. Food Microbiol. 2018, 286, 155–161. [Google Scholar] [CrossRef] [PubMed]
- Clarke, P.H. Hydrogen sulphide production by bacteria. J. Gen. Microbiol. 1953, 8, 397407. [Google Scholar] [CrossRef] [PubMed]
- Luhachack, L.; Rasouly, A.; Shamovsky, I.; Nudler, E. Transcription Factor YcjW Controls the Emergency H2S Production in E. coli. Nat. Commun. 2019, 10, 10785. [Google Scholar] [CrossRef]
- Drašković Berger, M.; Vakula, A.; Tepić Horecki, A.; Peulić, T.; Jokanović, M.; Kocić-Tanackov, S.; Rakić, D.; Pavlić, B.; Blagojev, N.; Rakić, I.; et al. Physico-Chemical and Microbiological Changes during the Cabbage Hybrid Bravo Heads Fermentation: Salt, Temperature and Starter Culture Influence. Food Sci. Technol. Int. 2022, 28, 570–579. [Google Scholar] [CrossRef]
- Kinzurik, M.I.; Herbst-Johnstone, M.; Gardner, R.C.; Fedrizzi, B. Hydrogen Sulfide Production during Yeast Fermentation Causes the Accumulation of Ethanethiol, S-Ethyl Thioacetate and Diethyl Disulfide. Food Chem. 2016, 209, 341–347. [Google Scholar] [CrossRef]
- Hou, R.; Jelley, R.E.; van Leeuwen, K.A.; Pinu, F.R.; Fedrizzi, B.; Deed, R.C. Hydrogen Sulfide Production during Early Yeast Fermentation Correlates with Volatile Sulfur Compound Biogenesis but Not Thiol Release. FEMS Yeast Res. 2023, 23, foad031. [Google Scholar] [CrossRef]
- Fuchs, A.-R.; Bonde, G.J. The Availability of Sulphur for Clostridium perfringens and an Examination of Hydrogen Sulphide Production. J. Gen. Microbiol. 1957, 16, 330–340. [Google Scholar] [CrossRef]
- Adinsi, L.; Mestres, C.; Akissoé, N.; Vieira-Dalodé, G.; Anihouvi, V.; Durand, N.; Hounhouigan, D.J. Comprehensive Quality and Potential Hazards of Gowe, a Malted and Fermented Cereal Beverage from West Africa. Food Control 2017, 82, 18–25. [Google Scholar] [CrossRef]
- Keisam, S.; Tuikhar, N.; Ahmed, G.; Jeyaram, K. Toxigenic and Pathogenic Potential of Enteric Bacterial Pathogens Prevalent in the Traditional Fermented Foods Marketed in the Northeast Region of India. Int. J. Food Microbiol. 2019, 296, 21–30. [Google Scholar] [CrossRef] [PubMed]
- Kiczorowski, P.; Kiczorowska, B.; Samolińska, W.; Szmigielski, M.; Winiarska-Mieczan, A. Effect of Fermentation of Chosen Vegetables on the Nutrient, Mineral, and Biocomponent Profile in Human and Animal Nutrition. Sci. Rep. 2022, 12, 13422. [Google Scholar] [CrossRef] [PubMed]
- Demir, N.; Bahçeci, K.S.; Acar, J. The Effects of Different Initial Lactobacillus plantarum Concentrations on Some Properties of Fermented Carrot Juice. J. Food Process. Preserv. 2006, 30, 352–363. [Google Scholar] [CrossRef]
- Breidt, F.; McFeeters, R.F.; Perez-Diaz, I.; Lee, C.-H. Fermented Vegetables. In Food Microbiology Fundamentals and Frontiers, 4th ed.; ASM Press: Washington, DC, USA, 2013; pp. 833–854. [Google Scholar] [CrossRef]
- Food and Agriculture Organization. Basic Principles of Fermentation. In Fermented Fruits and Vegetables: A Global Perspective; Battcock, M., Azam-Ali, S., Eds.; FAO: Rome, Italy, 1998; Available online: http://www.fao.org/docrep/x0560e/x0560e07.htm (accessed on 14 March 2017).
- Li, Y.; Ten, M.M.Z.; Zwe, Y.H.; Li, D. Lactiplantibacillus plantarum 299v as Starter Culture Suppresses Enterobacteriaceae More Efficiently than Spontaneous Fermentation of Carrots. Food Microbiol. 2022, 103, 103952. [Google Scholar] [CrossRef]
- Van Beecka, W.; Verschuerena, C.; Wuytsa, S.; van den Broeka, M.F.L.; Uyttendaeleb, M.; Lebeer, S. Robustness of Fermented Carrot Juice Against Listeria monocytogenes, Salmonella Typhimurium and Escherichia coli O157:H7. Int. J. Food Microbiol. 2020, 335, 108854. [Google Scholar] [CrossRef]
- Albuquerque, T.G.; Costa, H.S.; Oliveira, M.B.; Fernandes, A.C.; Marques, A. An Update on Processed Foods: Relationship between Salt, Saturated and Trans Fatty Acids Contents. Food Chem. 2018, 267, 75–82. [Google Scholar] [CrossRef]
- Lee, M.J.; Kim, T.H.; Min, B.; Hwang, S.J. Sodium (Na+) Concentration Effects on Metabolic Pathway and Estimation of ATP Use in Dark Fermentation Hydrogen Production through Stoichiometric Analysis. J. Environ. Manag. 2012, 108, 22–26. [Google Scholar] [CrossRef]
- Tekol, Y. Irreversible and Reversible Components in the Genesis of Hypertension by Sodium Chloride (Salt). Med. Hypotheses 2008, 70, 255–259. [Google Scholar] [CrossRef]
- World Health Organization. Report of the Formal Meeting of Member States to Conclude the Work on the Comprehensive Global Monitoring Framework, Including Indicators, and a Set of Voluntary Global Targets for the Prevention and Control of Noncommunicable Diseases; World Health Organization: Geneva, Switzerland, 2012. [Google Scholar]
- Song, H.J.; Lee, H.-J. Consumption of Kimchi, a Salt-Fermented Vegetable, Is Not Associated with Hypertension Prevalence. J. Ethn. Foods 2014, 1, 8–12. [Google Scholar] [CrossRef]
- Vatansever, S.; Vegi, A.; Garden-Robinson, J.; Hall, C.A., III. The Effect of Fermentation on the Physicochemical Characteristics of Dry-Salted Vegetables. J. Food Res. 2017, 6, 32–34. [Google Scholar] [CrossRef]
- Hunaefi, D.; Akumo, D.N.; Smetanska, I. Effect of Fermentation on Antioxidant Properties of Red Cabbages. Food Biotechnol. 2013, 27, 66–85. [Google Scholar] [CrossRef]
- Yang, X.; Hu, W.; Xiu, Z.; Jiang, A.; Sarengaowa, J.; Ji, Y.; Guan, Y.; Feng, K. Microbial Dynamics and Volatilome Profiles during the Fermentation of Chinese Northeast Sauerkraut by Leuconostoc mesenteroides ORC 2 and Lactobacillus plantarum HBUAS 51041 under Different Salt Concentrations. Food Res. Int. 2020, 130, 108926. [Google Scholar] [CrossRef] [PubMed]
- Zhou, A.; McFeeters, R.F. Volatile Compounds in Cucumbers Fermented in Low-Salt Conditions. J. Agric. Food Chem. 1998, 46, 2117–2122. [Google Scholar] [CrossRef]
- Bonatsou, S.; Iliopoulos, V.; Mallouchos, A.; Gogou, E.; Oikonomopoulou, V.; Krokida, M.; Taoukis, P.; Panagou, E.Z. Effect of Osmotic Dehydration of Olives as Pre-Fermentation Treatment and Partial Substitution of Sodium Chloride by Monosodium Glutamate in the Fermentation Profile of Kalamata Natural Black Olives. Food Microbiol. 2017, 63, 72–83. [Google Scholar] [CrossRef]
- Choi, S.Y.; Beuchat, L.R.; Perkins, L.M.; Nakayama, T. Fermentation and Sensory Characteristics of Kimchi Containing Potassium Chloride as a Partial Replacement for Sodium Chloride. Int. J. Food Microbiol. 1994, 21, 335–340. [Google Scholar] [CrossRef]
- Zamana, S.P.; Kondratieva, T.D.; Savich, V.I.; Feddorovsky, T.G.; Sokolov, S.A. Evaluation of the Effect of Biostimulants Based on Beneficial Microorganisms on the Amino Acid and Elemental Composition of Carrot Roots. Novel Perspect. Geogr. Environ. Earth Sci. 2023, 6, 5112B. [Google Scholar] [CrossRef]
- Burroughs, L. The Amino Acids of Apple Juices and Ciders. J. Sci. Food Agric. 1957, 8, 122–131. [Google Scholar] [CrossRef]
- Gomis, D.B.; Lobo, A.P.; Alvarez, M.G.; Alonso, J.M. Determination of Amino Acids in Apple Extracts by High-Performance Liquid Chromatography. Chromatographia 1990, 29, 155–160. [Google Scholar] [CrossRef]
- Eleutério dos Santos, C.M.; Pietrowski, G.d.A.M.; Braga, C.M.; Rossi, M.J.; Ninow, J.; Machado dos Santos, T.P.; Wosiacki, G.; Jorge, R.M.M.; Nogueira, A. Apple Aminoacid Profile and Yeast Strains in the Formation of Fusel Alcohols and Esters in Cider Production. J. Food Sci. 2015, 80, C1170–C1177. [Google Scholar] [CrossRef]
- Feng, F.; Li, M.; Ma, F.; Cheng, L. Effects of Location within the Tree Canopy on Carbohydrates, Organic Acids, Amino Acids and Phenolic Compounds in the Fruit Peel and Flesh from Three Apple (Malus × domestica) Cultivars. Hortic. Res. 2014, 1, 14019. [Google Scholar] [CrossRef]
- Sugimoto, N.; Daniel Jones, A.; Beaudry, R. Changes in Free Amino Acid Content in ‘Jonagold’ Apple Fruit as Related to Branched-Chain Ester Production, Ripening, and Senescence. J. Amer. Soc. Hort. Sci. 2011, 136, 429–440. [Google Scholar] [CrossRef]
- Akram, R.; Arshad, A.; Jakmunee, J. Controlled synthesis of bimetallic Au@Os nanoparticles as peroxidase mimics: A novel approach to cysteine detection. Talanta 2025, 287, 127691. [Google Scholar] [CrossRef] [PubMed]
- Rutherfurd, H.M.; Moughan, P.J. Determination of Sulfur Amino Acids in Foods as Related to Bioavailability. J AOAC Int. 2008, 91, 907–913. [Google Scholar] [CrossRef] [PubMed]
- Fărcaș, A.C.; Socaci, S.A.; Chiș, M.S.; Dulf, F.V.; Podea, P.; Tofană, M. Analysis of Fatty Acids, Amino Acids and Volatile Profile of Apple By-Products by Gas Chromatography-Mass Spectrometry. Molecules 2022, 27, 1987. [Google Scholar] [CrossRef]
- Aremu, M.O.; Okpele, J.A.; Hashim Ibrahim, H.; Ortutu, S.C.; Mohammed, M.A.; Salau, R.B. Comparative Studies on Nutrient and Anti–nutrient Composition of Carrot (Daucus carota L.) and Cucumber (Cucumis sativus L.). Int. J. Sci. 2022, 11, 13–21. [Google Scholar] [CrossRef]
- Available online: https://wholefoodcatalog.info (accessed on 7 February 2025).
- Moore, J.F.; DuVivier, R.; Johanningsmeier, S.D. Changes in the free amino acid profile of pickling cucumber during lactic acid fermentation. J. Food Sci. 2022, 87, 599–611. [Google Scholar] [CrossRef]
- Yang, J.; Sun, Y.; Gao, T.; Wu, Y.; Sun, H.; Zhu, Q.; Liu, C.; Zhou, C.; Han, Y.; Tao, Y. Fermentation and Storage Characteristics of “Fuji” Apple Juice Using Lactobacillus acidophilus, Lactobacillus casei and Lactobacillus plantarum: Microbial Growth, Metabolism of Bioactives and in vitro Bioactivities. Front. Nutr. 2022, 9, 833906. [Google Scholar] [CrossRef]
- WHO; FAO; UNU. Protein and Amino Acid Requirements in Human Nutrition; Weltgesundheitsorganisation, FAO, Vereinte Nationen, Eds.; Report of a Joint WHO/FAO/UNU Expert Consultation; WHO: Geneva, Switzerland, 2007. [Google Scholar]





| Share of Raw Materials (Mass%) | Abbreviations Used in the Text |
|---|---|
| Celeriac 100% | CL |
| Carrot 100% | CR |
| Celeriac 70% + Apple 30% | CL_AP |
| Carrot 70% + Apple 30% | CR_AP |
| Day | CL | CL_AP | CR | CR_AP | ||||||||
|---|---|---|---|---|---|---|---|---|---|---|---|---|
| 0 | ≤0.01 | ≤0.01 | ≤0.01 | ≤0.01 | ≤0.01 | ≤0.01 | ≤0.01 | ≤0.01 | ≤0.01 | ≤0.01 | ≤0.01 | ≤0.01 |
| 3 | ≤0.01 | ≤0.01 | ≤0.01 | ≤0.01 | 0.1 | >1 | ≤0.01 | ≤0.01 | ≤0.01 | ≤0.01 | 0.1 | 1 |
| 6 | >1 | >1 | >1 | >1 | 1 | >1 | >1 | >1 | >1 | >1 | 1 | 1 |
| 9 | >1 | >1 | >1 | >1 | >1 | >1 | >1 | >1 | >1 | >1 | >1 | >1 |
| 12 | >1 | >1 | >1 | >1 | >1 | >1 | >1 | >1 | >1 | >1 | >1 | >1 |
| 30 | >1 | >1 | >1 | >1 | >1 | >1 | >1 | >1 | >1 | >1 | >1 | >1 |
Disclaimer/Publisher’s Note: The statements, opinions and data contained in all publications are solely those of the individual author(s) and contributor(s) and not of MDPI and/or the editor(s). MDPI and/or the editor(s) disclaim responsibility for any injury to people or property resulting from any ideas, methods, instructions or products referred to in the content. |
© 2025 by the authors. Licensee MDPI, Basel, Switzerland. This article is an open access article distributed under the terms and conditions of the Creative Commons Attribution (CC BY) license (https://creativecommons.org/licenses/by/4.0/).
Share and Cite
Gientka, I.; Synowiec, A.; Pobiega, K.; Staniszewska, P.; Perkowska, J.; Procyk, M.; Pokrywczyński, B.I.; Janowicz, M. The Nutritional Profile of Root Vegetables Through Spontaneous Fermentation with Apples: Amino Acid Composition and Microbial Dynamics. Fermentation 2025, 11, 110. https://doi.org/10.3390/fermentation11030110
Gientka I, Synowiec A, Pobiega K, Staniszewska P, Perkowska J, Procyk M, Pokrywczyński BI, Janowicz M. The Nutritional Profile of Root Vegetables Through Spontaneous Fermentation with Apples: Amino Acid Composition and Microbial Dynamics. Fermentation. 2025; 11(3):110. https://doi.org/10.3390/fermentation11030110
Chicago/Turabian StyleGientka, Iwona, Alicja Synowiec, Katarzyna Pobiega, Patrycja Staniszewska, Joanna Perkowska, Marcelina Procyk, Bartosz Igor Pokrywczyński, and Monika Janowicz. 2025. "The Nutritional Profile of Root Vegetables Through Spontaneous Fermentation with Apples: Amino Acid Composition and Microbial Dynamics" Fermentation 11, no. 3: 110. https://doi.org/10.3390/fermentation11030110
APA StyleGientka, I., Synowiec, A., Pobiega, K., Staniszewska, P., Perkowska, J., Procyk, M., Pokrywczyński, B. I., & Janowicz, M. (2025). The Nutritional Profile of Root Vegetables Through Spontaneous Fermentation with Apples: Amino Acid Composition and Microbial Dynamics. Fermentation, 11(3), 110. https://doi.org/10.3390/fermentation11030110

