Abstract
In recent years, new plant-based foods and drinks have been developed to meet the growing demand for animal-derived alternatives, particularly dairy products. This study investigates the impact of lactic acid fermentation on the organic acids and sugars in oat and buckwheat beverages developed using Lactobacillus johnsonii K4 and Lacticaseibacillus rhamnosus K3, which are potential probiotics. The fermented samples were analyzed for pH changes, bacterial viability, and the concentration of organic acids and sugars over 15 days. The results indicated significant variations in bacterial colony counts, with L. johnsonii K4 showing the highest initial growth. Over 15 days, pH levels decreased, with the most acidic conditions observed in buckwheat beverages. Notably, fermentation led to a significant increase in acetic acid concentration and a reduction in malic acid levels, particularly in buckwheat samples. These findings highlight the dynamic nature of fermentation in enhancing the nutritional profile and shelf-life of plant-based beverages.
Keywords:
lactic acid fermentation; oat; buckwheat; beverage; plant-based beverages; organic acids; probiotic 1. Introduction
In recent years, new plant-based foods and drinks have been developed to meet the growing demand for animal-derived alternatives, particularly dairy products. Consumer awareness of environmental and health consequences, rising vegetarianism, and reduced dairy consumption drive higher demand for plant-based products [1]. They are gaining popularity as milk substitutes due to lactose intolerance, allergies, hypercholesterolemia, and environmental and economic aspects [2]. Furthermore, plant-based sources include essential nutrients, such as dietary fiber, polyphenols, and unsaturated fats, absent in animal-based food [3]. It should be emphasized that, historically, the plant food’s origin has had the greatest importance, and only in recent decades has this food been replaced by animal sources [4]. For example, plants with high phenolic contents have been used in health-promoting meals due to their antioxidant properties [5]. Nowadays, plant-based diets are designed to achieve a balance between human health and environmental sustainability. Moreover, 15% of the milk and milk-like beverage market constitutes plant-based alternatives. These products have significant market potential. Plant-based drinks require less energy and produce fewer greenhouse emissions per gram of protein, making them attractive for reducing carbon emissions [6].
The rise of the functional foods and plant-based beverages sector has spurred the development of oat-based fermented drinks in Europe over the past three decades. Oats are rich in beta-glucans, which lower blood cholesterol and help prevent dyslipidemia, hypertension, cardiovascular disease, inflammation, and type 2 diabetes. Oats are suitable for celiac disease patients due to the lack of gluten [7]. The sweet aftertaste of oat cereals is a result of their high content of beta-glucans and digesting fiber. Oat-based drinks are valued for their delicate flavor, but they lack sugar, fructose, and glucose. Market-based beverages have fats and proteins, but experimental oat-based beverages for fermented items may contain more proteins, lipids, and carbohydrates [8]. Globally, cereals like oats are useful in producing fermented beverages, such as boza, taar, amazake, and kvass. Lactic acid bacteria (LAB) and yeasts ferment carbohydrates to produce ethanol, CO2, organic acids, and other compounds [9].
Buckwheat, a nutrient-rich pseudocereal, is a good base for lactic acid bacteria-rich products. It offers balanced amino acids and gluten-free protein, making it an excellent mineral source [10]. Buckwheat is known for its high antioxidant activity and prevention of diabetes, obesity, and indigestion [11]. It contains high levels of phenolic compounds like phenolic acids and flavonoids, mainly in free form.
Food fermentation, a technique that dates back as far as human history, is essential for the ability of communities worldwide to satisfy their financial and nutritional demands. It involves the processing of foods and drinks, which are created by targeted microbial growth and enzymatic transformations of food components [12,13,14]. Among others, the nutritional properties of plant materials can be improved through fermentation. Microbes can break down many antinutrients, convert non-active chemical compounds into their active form, and improve nutrient digestibility. The activity of microorganisms increases the nutritional value of fermented products, such as cereals, intended for human consumption. LAB and yeast are most often used for fermentation [15,16,17]. Microbial fermentation by bacteria or fungi increases endogenous enzymes and reduces antinutritional substances, improving the nutritional content of plant foods. Fermented foods are rich in health-promoting bioactive components and have higher vitamin contents, resulting in greater antioxidant potential. Fermentation disrupts the plant matrix, improving mineral bioavailability compared to unfermented foods [18]. LAB, capable of thriving in nutrient-rich environments, have adapted their genomes to dominate specific ecosystems. Molecular biology techniques reveal their evolutionary history and plant colonization adaptability [19]. Lactobacillus, Bifidobacterium, and Enterococcus ferment sugar-rich substrates to produce lactic acid [20]. These bacteria perform chemical modification during food fermentation and enhance nutritional, sensory, and shelf-life properties [21]. Moreover, the focus of probiotic food development research has turned to non-dairy goods. Probiotics added to these meals could provide further health advantages. Plant tissues offer an environment that is beneficial to microbial internalization, and probiotic bacteria may be protected throughout intestinal passage by non-digestible fibers like cellulose [22,23,24].
Responding to market needs, the development of plant products, i.e., based on oats and buckwheat, subjected to fermentation is justified and requires detailed tests.
Therefore, this study aimed to develop oats and buckwheat beverages, fermented with Lactobacillus johnsonii K4 and Lacticaseibacillus rhamnosus K3. Additionally, the fermentation metabolites were also checked, particularly organic acid production.
2. Materials and Methods
2.1. Selection of the Potential Probiotic Strains
Potential probiotic strains were obtained from the collection of the Department of Food Gastronomy and Food Hygiene, Warsaw University of Life Sciences in Poland. L. rhamnosus K3 and L. johnsonii K4 were used for further research. Before application, bacteria were activated from a frozen culture stored at −80 °C. They were incubated at 30 °C for 24 h in 10 mL of MRS broth (Merck-110660, Darmstadt, Germany). After completing the incubation period, the tubes were centrifuged at 10,000 rpm for 5 min (laboratory centrifuge MPW-251; MPW MED Instruments, Warsaw, Poland) to separate bacterial cells from the medium. The supernatant was replaced with 8.5 g/kg of saline, and the centrifugation procedure was performed three times to remove residual growth medium.
2.2. Development of Potential Probiotic Plant-Based Drinks
The development process of potential probiotic plant-based drinks is presented in Figure 1, and the composition of oat and buckwheat beverages is demonstrated in Table 1. Unroasted whole oats and buckwheat grains were soaked overnight in beakers covered with aluminium foil for 12 h at room temperature. After this time, they were blended, strained, and divided into 100 mL in different glass jars. Obtained filtrate was transferred to a glass jar and pasteurised for 15 min at 72 °C. Both L. rhamnosus K3 and L. johnsonii K4 strains (9 log10 CFU/mL) in saline were added to cooled pasteurised beverages to achieve a final concentration of 7 log10 CFU/mL. Next, samples were incubated for 5 h at 37 °C. After fermentation, plant-based beverages were poured into 3 sterile glass jars for testing during storage. The samples were kept at 4 °C throughout the defined storage time (15 days). The analysis was carried out on days 0, 7, and 15 of storage.
Figure 1.
Schematic presentation of plant-based drinks development and testing.
Table 1.
Ingredients of developed plant-based beverages.
2.3. pH Changes
The pH value of the samples was determined by pH meter (ORION STAR A211, Thermo Scientific, Waltham, USA). Before the measurements, pH buffers at pH 4 and 7 were used to calibrate the device. Measurements were made the following day after incubation and also 7 and 15 days after the storage period. During the measurement, the product temperature was equal to the ambient temperature of 21 ± 1 °C.
2.4. Microbiological Viability Analysis
For the analysis of L. rhamnosus K3 and L. johnsonii K4 numbers, 1 mL of the drinks with potential probiotics was added to 9 mL of sterile peptone water and homogenized with a stomacher at medium speed for 2 min. Serial dilutions were prepared from the homogenized samples with peptone water. Appropriate dilutions were inoculated onto MRS Agar (pH 6.8 ± 7.2, Merck-110660, Darmstadt, Germany), and Petri plates were incubated at 37 °C for 48 h. At the end of the incubation, typical colonies were enumerated (CFU/mL).
2.5. Organic Acids and Sugar Detection
Before the analysis, samples were diluted in deionized water in a 1/1 ratio and then centrifuged for 10 min with 8000 rpm Eppendorf Centrifuge 5804 R (Hamburg, Germany). Then, 1 mL of the samples was filtered to the vials with a 0.45 µm syringe PES filter. Organic acids and sugars were analyzed with an HPLC system (Shimadzu, USA Manufacturing Inc, Columbia, USA, two LC-20AD pumps, a CBM-20A controller, a CTD-20AC oven, a SIL-20AC autosampler, RID-10A detector and UV/Vis SPD-20AV detector). Aminex HPX-87H column 300 × 7.8 mm (Bio-Rad, Hercules, USA) at 40 °C with a flow rate of 0.5 mL/min mobile phase 10 mM H2SO4 was used. Quantification was based on detecting each analyte at 210 nm wavelength using UV/Vis, RI, and external standard curves ranging from 0.10–50 µg per injection. The organic acids and sugars (malic acid, succinic acid, acetic acid, lactic acid, glucose, fructose, and sucrose) with a purity exceeding 99% were used as external standards, and all standards were purchased from Sigma-Aldrich (Poznań, Poland).
2.6. Statistical Analysis
The statistical analyses were conducted using Statistica 13.3 (StatSoft, Kraków, Poland). Standard deviation (SD) and arithmetic mean were calculated. The data were analyzed by multivariate analysis of variance (ANOVA) and Tukey HSD post hoc test. A difference was considered statistically significant when p < 0.05 concerning the count of bacteria, the results of chemical analyses, and pH. Error bars in numbers and values after “±” in tables represent SD. All laboratory analyses were performed in triplicate.
3. Results and Discussion
3.1. Viability in L. rhamnosus K3 and L. johnsonii K4 during Storage
The bacterial growth was examined over three different storage periods: after fermentation (0 days), then after 7 and 15 days (Table 2). At the beginning of the experiment (0 days), the number of colonies varied significantly between the samples. Specifically, OK4 showed the highest colony count with a value followed by BK4. After 7 days of storage, significant changes in colony counts were observed in almost all samples. Only OK4 showed a slight decrease in colony count but significantly lower than the other samples. When the storage period was extended to 15 days, further changes in bacterial growth were observed. In particular, all samples showed a decrease in colony count compared to the seventh day of storage. OK3 showed a significant decrease. Similarly, BK3 and BK4 showed a decrease in bacterial counts. However, OK4 showed a slight increase in colony count from 7 to 15 days, although still lower than the initial count. Overall, these results indicate dynamic changes in bacterial growth within the fermented beverages over the storage period, suggesting varying degrees of stability and microbial activity influenced by both the type of beverage and the specific strain of Lactobacillus used for fermentation. However, strain L. johnsonii K4 seems to be more viable in the tested plant-based beverages. This marks this strain as a promising probiotic that could benefit from further study and potential supplementation into functional foods [25].
Table 2.
Mean number of LAB [log CFU/mL] after fermentation of the plant-based beverages.
The researched fermented oat and buckwheat drinks showed promising results in enhancing the viability of potential probiotic strains during storage. This finding is supported by the works of other researchers. It was demonstrated that the addition of oat bran and buckwheat flour to fermentation processes positively impacts the metabolic activity and viability of probiotic strains like Lactobacillus acidophilus and Lactobacillus casei, leading to improved survival rates during storage [10,26]. Furthermore, the incorporation of these raw materials in the fermentation medium has been linked to increased resistance of probiotic bacteria to simulated gastric conditions, indicating enhanced functionality and stability [27]. Additionally, the use of probiotic Lactobacillus plantarum strains in fermented oat-based products has shown high microbial survival rates throughout storage, highlighting the potential of these fermented beverages as carriers for probiotics. In the food product development that might be appealing to consumers looking for animal-based dairy replacements, it is important to know how fermentation occurs and the way fermentation affects flavour and texture in such products. [6]. Differences in nutrition availability, pH, or temperature and specific microbial growth conditions may also result in differences between colony counts. To understand the process and thereby enable one to manipulate the optimal conditions, an understanding of how different fermentation ingredients influence the fermenting microbiota is needed [28].
An essential metric for assessing the standard of fermented drinks is the quantity of living lactic acid bacteria. The viability of microorganisms from the starter culture is the main requirement that guarantees the products’ health quality. Therefore, to obtain finished products with desirable organoleptic properties, starter culture selection and storage parameter selection are crucial because they are dictated by the metabolites generated during the fermentation process as well as during appropriate storage [9,10,26]. Significant levels of mono- and disaccharides must be present in the plant matrix for LAB to grow effectively during the fermentation of beverages based on cereals or pseudocereals [8]. The viability of probiotics in oats and buckwheat during storage has been extensively studied. Research has shown that the addition of oat bran and buckwheat flour to fermentation media significantly improves the metabolic activity, viability, and survival of probiotic bacteria such as L. rhamnosus and L. casei strains [29]. Furthermore, the inclusion of water-soluble oat extract (SOE) in fermented dairy beverages has been found to enhance the viability of probiotic cultures like Lactobacillus casei throughout the storage period, maintaining counts above 7 log CFU/mL for 21 days [30]. Additionally, the incorporation of beta-glucan extracted from whole oat flour has been shown to prolong the survival of Bifidobacterium strains in yogurt during cold storage, with concentrated beta-glucan providing better protection compared to freeze-dried beta-glucan [31].
These findings highlight the potential of oat and buckwheat components in improving the storage viability of probiotics, offering enhanced functional properties and health benefits to consumers.
3.2. pH Changes during Storage
The results of pH measurements demonstrate the changes in acidity of tested fermented drinks and control samples over time. Initially, the pH values for the buckwheat drinks fermented with L. rhamnosus K3 (BK3) and L. johnsonii K4 (BK4) were 4.91 and 4.70, respectively (Table 3). For the control samples, the oats control (OKC) had an initial pH of 6.54, indicating a slightly acidic to neutral pH, while the buckwheat control (BKC) had a pH of 6.70, suggesting a neutral to slightly basic pH. After seven days of storage, the acidity increased across the samples, with OK4 showing a pH of 4.77, OK3 at 4.07, BK4 at 3.76, and BK3 at 3.83. The control samples showed minimal changes, with OKC at 6.50 and BKC remaining unchanged at 6.70. After fifteen days of storage, the samples became more acidic compared to their seven-day pH values. OK4 showed a pH of 3.89, OK3 was slightly less acidic at 3.96, BK4 had a pH of 3.66, and BK3 was the most acidic with a pH of 3.58. The control samples continued to show minor changes; OKC decreased to 6.46, indicating a gradual increase in acidity, while BKC slightly decreased to 6.67, indicating a minimal increase in acidity over the same period. Overall, the pH values of the oat control sample (OKC) decreased from 6.54 to 6.46 over 15 days, showing a modest increase in acidity, while the buckwheat control sample (BKC) experienced a slight decrease from 6.70 to 6.67, indicating a minimal increase in acidity. The pH changes during the storage of fermented buckwheat and oat products are crucial indicators of their stability and quality. Research has shown that the pH values of fermented products can vary significantly during storage, impacting their overall characteristics. For instance, in the study of Vasile et al. [27], the addition of buckwheat flour and oat bran to the fermentation medium improved the metabolic activity and viability of lactic acid bacteria, leading to a rapid decrease in pH during lactic acid fermentation. Additionally, Matejčeková et al. [32] found that the pH values of fermented buckwheat mashes with lactic acid bacteria and probiotic strains remained stable during storage, with differences observed based on the fermentation conditions and storage duration. Understanding these pH changes is essential for assessing the shelf-life and quality of fermented buckwheat and oat products. The pH changes during the storage of buckwheat or oat drinks were investigated in several studies. Research on buckwheat beverages stored at 4 °C for 28 days showed stable pH values during refrigerated storage, indicating the effectiveness of the starter cultures in fermentation [10,26]. Furthermore, the optimization of buckwheat/lentil gluten-free beverages fermented with Lactobacillus plantarum and Bifidobacterium bifidum resulted in beverages with a pH of 5.7 after 24 h of fermentation, which remained stable during 15-day refrigerated storage, showcasing the potential for probiotic beverage development using sprouted buckwheat and lentil [33]. Probiotic beverages can be developed with desirable characteristics, resulting in innovative nutrition products on the market with this knowledge.
Table 3.
pH measurement of samples depending on the number of days of storage.
3.3. Organic Acids and Sugar Detection
Organic acids detected in the samples are presented in Figure 2. The fermentation of oats and buckwheat beverages by Lactobacillus strains leads to distinct profiles of organic acids, reflecting each process’s unique metabolic pathways and substrate compositions. Malic acid was detected only in the BKC, BK3, and BK4 samples. The concentration was below 0.6 mg/mL, with the highest levels observed in BKC. Upon fermentation, a significant decrease in malic acid concentration was observed (p < 0.05), indicating its utilization or transformation by Lactobacillus [34]. The absence of malic acid in oat samples suggests a differential substrate composition. Succinic acid was present in low concentrations across all samples, with a higher concentration detected in BKC (0.9 mg/mL). After fermentation, succinic acid did not show a significant increase. In Lactobacillus, succinic acid plays a key role in aerobic and anaerobic metabolism [35]. During aerobic respiration, it is part of the Krebs cycle, while, under anaerobic conditions, it can be produced by fermentation. Various levels across fermented and non-fermented samples indicate that succinic acid is included in the fermentation process and is incorporated in metabolic paths. A significant increase in acetic acid content was observed in all fermented samples (p < 0.05), with oats samples showing higher concentrations than buckwheat. The fermentation of oat-based drinks with lactic acid bacteria, such as Lactobacillus plantarum, results in the production of lactic acid, which contributes to the acidity of the beverage. Acetic acid is also present in smaller amounts during fermentation, enhancing the flavor profile of the drink [36]. Salmerón et al. [37] obtained similar acetic acid contents during bacterial fermentation of an oat-based drink. This increase is consistent with lactic acid bacteria (LAB) fermentation pathways, where acetic acid is a common product [38]. Lactic acid was predominantly found in fermented samples, indicating successful LAB activity in converting substrates like sugars into lactic acid. The synthesis of organic acids, mainly lactic acid, is crucial in fermented food production, enhancing food safety by inhibiting undesirable microorganisms [39].
Figure 2.
The concentration of the organic acids in the plant-based drinks; OKC—oat non-fermented drink, BKC—buckwheat non-fermented drink, OK4—oat drink fermented with L. johnsonii K4, OK3—oat drink fermented with L. rhamnosus K3, BK4—buckwheat drink fermented with L. johnsonii K4, BK3—buckwheat drink fermented with L. rhamnosus K3; lowercase letters (a, b, c, d, e) indicate statistical differences within one chemical in post hoc ANOVA and Tukey tests (p < 0.05) n = 3.
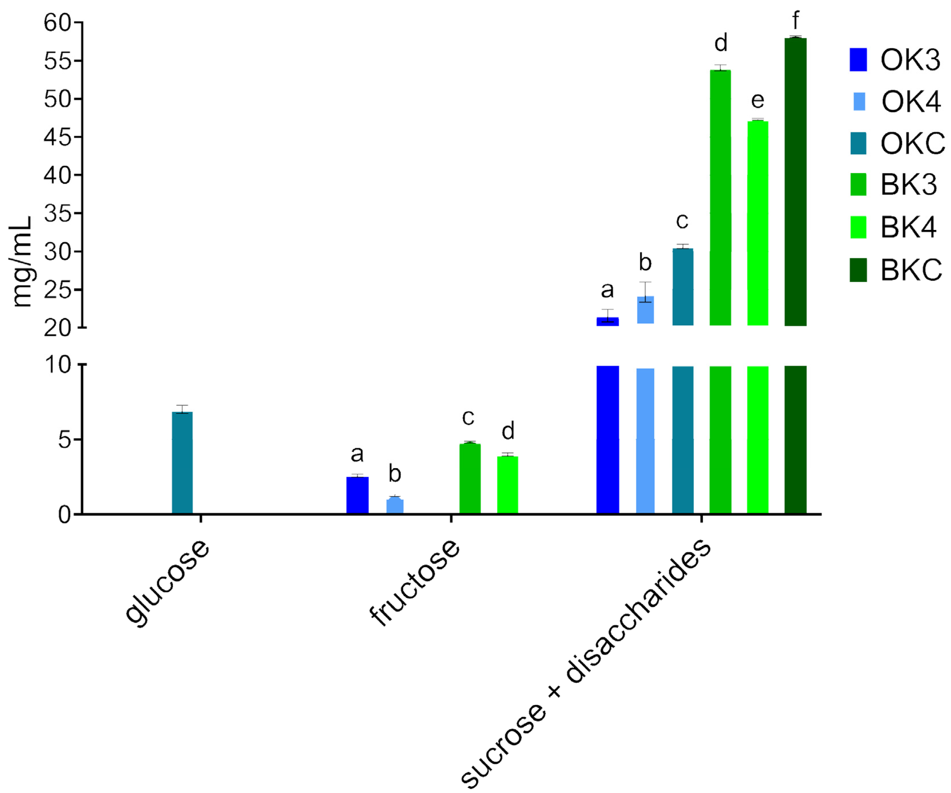
Similarly, the profile of carbohydrates was influenced by fermentation with selected strains (Figure 3). Regarding the saccharide content changes, glucose was detected only in the OKC sample. In fermented oat samples (OK3 and OK4), glucose was catabolized to acetic and lactic acids, demonstrating effective fermentation [38]. The absence of glucose in buckwheat samples suggests initial differences in substrate composition. Fructose was found in all fermented samples, whereas it was absent in non-fermented controls. This indicates fructose generation from sucrose catabolism by bacterial enzymatic activity during fermentation [40]. Sucrose and disaccharides were expressed together due to no ability to separate disaccharides in the applied condition of the HPLC analysis. The highest concentrations of these sugars were in non-fermented samples, with the BKC sample showing much higher levels than OKC (p < 0.05). This disparity is likely native due to the higher content of maltose and sucrose in buckwheat [41]. Fermentation reduced these sugars, signifying their utilization by the bacteria for energy and metabolic processes, leading to the production of acids and other metabolites. The presence of and reduction in various sugars demonstrate effective bacterial metabolism, with substrate-specific differences influencing the final fermented product composition.
Figure 3.
The concentration of the sugars in the plant-based drinks; OKC—oat non-fermented drink, BKC—buckwheat non-fermented drink, OK4—oat drink fermented with L. johnsonii K4, OK3—oat drink fermented with L. rhamnosus K3, BK4—buckwheat drink fermented with L. johnsonii K4, BK3—buckwheat drink fermented with L. rhamnosus K3; lowercase letters (a, b, c, d, e) indicate statistical differences within one chemical in post hoc ANOVA and Tukey tests (p < 0.05) n = 3.
4. Conclusions
In this study, Lactobacillus johnsonii K4 and Lacticaseibacillus rhamnosus K3 were used to evaluate the impact of lactic acid fermentation on the organic acid and sugar profiles of oats and buckwheat beverages. In our study, we found that the fermentation and storage of these plant-based beverages result in significant changes that influence their quality. The strain L. johnsonii K4 showed the highest initial bacterial growth, suggesting its potential as a probiotic strain for developing functional foods. During the 15-day storage period, the pH of all fermented beverages decreased significantly, with the buckwheat samples being the most acidic. This pH reduction indicates successful fermentation, which is crucial for improving the shelf-life and safety of these beverages by inhibiting undesirable microbial growth. The viability of potential probiotic strains varied across the samples, with L. johnsonii K4 demonstrating better stability in both oats and buckwheat beverages, indicating its suitability for long-term probiotic applications. The fermentation process significantly changed the organic acid profiles, with a notable increase in acetic acid and a decrease in malic acid levels, particularly in buckwheat samples. This transformation highlights the metabolic activity of Lactobacillus strains in converting sugars into beneficial organic acids, improving the nutritional and functional properties of the beverages. The detection of organic acids such as lactic, succinic, and acetic acids further confirms the effective fermentation process, contributing to the health-promoting attributes of the beverages. Sugar analysis showed differential properties, with glucose being completely metabolized in fermented oat samples, while fructose and disaccharides showed significant reductions in both oat and buckwheat beverages. These changes reflect the efficient carbohydrate metabolism by the potential probiotic strains, essential for energy production and metabolic activities during fermentation.
In summary, the results highlight the potential of lactic acid fermentation to improve the nutritional profile, shelf-life, and potential probiotic viability of oats and buckwheat beverages. This study adds to the growing knowledge of plant-based fermented products, providing valuable insights for developing functional foods as alternatives to dairy. Future research should focus on optimizing fermentation conditions and exploring the sensory attributes of these beverages to further enhance their appeal and health benefits. At the same time, beverages from oats and buckwheat are gaining popularity due to their health benefits, sustainability, and suitability for people with lactose intolerance or those following vegan diets. Fermentation with specific lactic acid bacteria can improve the sensory properties, nutritional profile, and microbial safety of these beverages, making them more appealing to consumers. Lactic acid fermentation is, therefore, a promising approach for the development of functional plant-based beverages that meet the growing consumer demand for healthier and more sustainable alternatives to traditional dairy products.
Author Contributions
Conceptualization, K.K. (Kübra Küçükgöz), D.K.-K. and M.T.; methodology, K.K. (Kübra Küçükgöz) and M.K.; validation, M.T. and M.K.; formal analysis, K.K. (Kübra Küçükgöz), A.F., K.K. (Klaudia Kamińska) and W.B.; investigation, K.K. (Kübra Küçükgöz), A.F., K.K. (Klaudia Kamińska) and W.B.; resources, M.T.; data curation, K.K. (Kübra Küçükgöz), M.S., W.M. and M.T.; writing—original draft preparation, K.K. (Kübra Küçükgöz), M.S., M.K. and W.M.; writing—review and editing, K.K. (Kübra Küçükgöz), M.S., M.K., W.M., D.K.-K. and M.T.; visualization, M.K.; supervision, D.K.-K. and M.T. All authors have read and agreed to the published version of the manuscript.
Funding
This research received no external funding.
Institutional Review Board Statement
Not applicable.
Informed Consent Statement
Not applicable.
Data Availability Statement
The raw data supporting the conclusions of this article will be made available by the corresponding author Monika Trząskowska.
Conflicts of Interest
The authors declare no conflicts of interest.
References
- Montemurro, M.; Pontonio, E.; Coda, R.; Rizzello, C.G. Plant-Based Alternatives to Yogurt: State-of-the-Art and Perspectives of New Biotechnological Challenges. Foods 2021, 10, 316. [Google Scholar] [CrossRef] [PubMed]
- Hidalgo-Fuentes, B.; de Jesús-José, E.; Cabrera-Hidalgo, A.d.J.; Sandoval-Castilla, O.; Espinosa-Solares, T.; González-Reza, R.M.; Zambrano-Zaragoza, M.L.; Liceaga, A.M.; Aguilar-Toalá, J.E. Plant-Based Fermented Beverages: Nutritional Composition, Sensory Properties, and Health Benefits. Foods 2024, 13, 844. [Google Scholar] [CrossRef] [PubMed]
- Lappi, J.; Silventoinen-Veijalainen, P.; Vanhatalo, S.; Rosa-Sibakov, N.; Sozer, N. The Nutritional Quality of Animal-Alternative Processed Foods Based on Plant or Microbial Proteins and the Role of the Food Matrix. Trends Food Sci. Technol. 2022, 129, 144–154. [Google Scholar] [CrossRef]
- Septembre-Malaterre, A.; Remize, F.; Poucheret, P. Fruits and Vegetables, as a Source of Nutritional Compounds and Phytochemicals: Changes in Bioactive Compounds during Lactic Fermentation. Food Res. Int. 2018, 104, 86–99. [Google Scholar] [CrossRef] [PubMed]
- Zhao, Y.-S.; Eweys, A.S.; Zhang, J.-Y.; Zhu, Y.; Bai, J.; Darwesh, O.M.; Zhang, H.-B.; Xiao, X. Fermentation Affects the Antioxidant Activity of Plant-Based Food Material through the Release and Production of Bioactive Components. Antioxidants 2021, 10, 2004. [Google Scholar] [CrossRef]
- Harper, A.R.; Dobson, R.C.J.; Morris, V.K.; Moggré, G. Fermentation of Plant-based Dairy Alternatives by Lactic Acid Bacteria. Microb. Biotechnol. 2022, 15, 1404–1421. [Google Scholar] [CrossRef] [PubMed]
- Angelov, A.; Yaneva-Marinova, T.; Gotcheva, V. Oats as a Matrix of Choice for Developing Fermented Functional Beverages. J. Food Sci. Technol. 2018, 55, 2351–2360. [Google Scholar] [CrossRef]
- Ziarno, M.; Cichońska, P. Lactic Acid Bacteria-Fermentable Cereal- and Pseudocereal-Based Beverages. Microorganisms 2021, 9, 2532. [Google Scholar] [CrossRef]
- Cardinali, F.; Osimani, A.; Milanović, V.; Garofalo, C.; Aquilanti, L. Innovative Fermented Beverages Made with Red Rice, Barley, and Buckwheat. Foods 2021, 10, 613. [Google Scholar] [CrossRef]
- Kowalska, E.; Ziarno, M. Characterization of Buckwheat Beverages Fermented with Lactic Acid Bacterial Cultures and Bifidobacteria. Foods 2020, 9, 1771. [Google Scholar] [CrossRef]
- Dabija, A.; Ciocan, M.E.; Chetrariu, A.; Codină, G.G. Buckwheat and Amaranth as Raw Materials for Brewing, a Review. Plants 2022, 11, 756. [Google Scholar] [CrossRef] [PubMed]
- Owusu-Kwarteng, J.; Agyei, D.; Akabanda, F.; Atuna, R.A.; Amagloh, F.K. Plant-Based Alkaline Fermented Foods as Sustainable Sources of Nutrients and Health-Promoting Bioactive Compounds. Front. Sustain. Food Syst. 2022, 6, 885328. [Google Scholar] [CrossRef]
- Kim, M.H.; Han, S.Y.; Ko, J.M.; Kim, Y.S. Degradation Characteristics of Proteins in Cheonggukjang (Fermented Unsalted Soybean Paste) Prepared with Various Soybean Cultivars. Food Sci. Biotechnol. 2012, 21, 9–18. [Google Scholar] [CrossRef]
- Marco, M.L.; Sanders, M.E.; Gänzle, M.; Arrieta, M.C.; Cotter, P.D.; De Vuyst, L.; Hill, C.; Holzapfel, W.; Lebeer, S.; Merenstein, D.; et al. The International Scientific Association for Probiotics and Prebiotics (ISAPP) Consensus Statement on Fermented Foods. Nat. Rev. Gastroenterol. Hepatol. 2021, 18, 196–208. [Google Scholar] [CrossRef] [PubMed]
- Gong, C.; He, Y.; Tang, Y.; Hu, R.; Lv, Y.; Zhang, Q.; Tardy, B.L.; Richardson, J.J.; He, Q.; Guo, J.; et al. Biofilms in Plant-Based Fermented Foods: Formation Mechanisms, Benefits and Drawbacks on Quality and Safety, and Functionalization Strategies. Trends Food Sci. Technol. 2021, 116, 940–953. [Google Scholar] [CrossRef]
- Melini, F.; Melini, V.; Luziatelli, F.; Ficca, A.G.; Ruzzi, M. Health-Promoting Components in Fermented Foods: An Up-to-Date Systematic Review. Nutrients 2019, 11, 1189. [Google Scholar] [CrossRef] [PubMed]
- Sharma, R.; Garg, P.; Kumar, P.; Bhatia, S.K.; Kulshrestha, S. Microbial Fermentation and Its Role in Quality Improvement of Fermented Foods. Fermentation 2020, 6, 106. [Google Scholar] [CrossRef]
- Manzoor, M.; Singh, D.; Aseri, G.K.; Sohal, J.S.; Vij, S.; Sharma, D. Role of Lacto-Fermentation in Reduction of Antinutrients in Plant-Based Foods. J. Appl. Biol. Biotech. 2021, 9, 7–16. [Google Scholar] [CrossRef]
- Gustaw, K.; Niedźwiedź, I.; Rachwał, K.; Polak-Berecka, M. New Insight into Bacterial Interaction with the Matrix of Plant-Based Fermented Foods. Foods 2021, 10, 1603. [Google Scholar] [CrossRef]
- Nazir, Y.; Hussain, S.A.; Abdul Hamid, A.; Song, Y. Probiotics and Their Potential Preventive and Therapeutic Role for Cancer, High Serum Cholesterol, and Allergic and HIV Diseases. BioMed Res. Int. 2018, 2018, e3428437. [Google Scholar] [CrossRef]
- Christensen, L.F.; García-Béjar, B.; Bang-Berthelsen, C.H.; Hansen, E.B. Extracellular Microbial Proteases with Specificity for Plant Proteins in Food Fermentation. Int. J. Food Microbiol. 2022, 381, 109889. [Google Scholar] [CrossRef] [PubMed]
- Küçükgöz, K.; Trząskowska, M. Nondairy Probiotic Products: Functional Foods That Require More Attention. Nutrients 2022, 14, 753. [Google Scholar] [CrossRef] [PubMed]
- Martins, E.M.F.; Ramos, A.M.; Vanzela, E.S.L.; Stringheta, P.C.; de Oliveira Pinto, C.L.; Martins, J.M. Products of Vegetable Origin: A New Alternative for the Consumption of Probiotic Bacteria. Food Res. Int. 2013, 51, 764–770. [Google Scholar] [CrossRef]
- Rasika, D.M.D.; Vidanarachchi, J.K.; Luiz, S.F.; Azeredo, D.R.P.; Cruz, A.G.; Ranadheera, C.S. Probiotic Delivery through Non-Dairy Plant-Based Food Matrices. Agriculture 2021, 11, 599. [Google Scholar] [CrossRef]
- Zielińska, D.; Rzepkowska, A.; Radawska, A.; Zieliński, K. In Vitro Screening of Selected Probiotic Properties of Lactobacillus Strains Isolated from Traditional Fermented Cabbage and Cucumber. Curr. Microbiol. 2014, 70, 183–194. [Google Scholar] [CrossRef] [PubMed]
- Kowalska, E.; Ziarno, M. The Possibility of Obtaining Buckwheat Beverages Fermented with Lactic Acid Bacteria and Bifidobacteria. In Milk Substitutes-Selected Aspects; IntechOpen: London, UK, 2020; ISBN 978-1-78985-637-8. [Google Scholar]
- Aida, V.; Daniela, P.; Ștefan, D.; Gabriela, B. Growth and Cell Viability Improve of the Probiotic Strain Lactobacillus Casei Ssp. Paracasei in the Presence of Oat Bran and Buckwheat Flour. Innov. Rom. Food Biotechnol. 2011, 9, 52–59. [Google Scholar]
- Mannaa, M.; Han, G.; Seo, Y.-S.; Park, I. Evolution of Food Fermentation Processes and the Use of Multi-Omics in Deciphering the Roles of the Microbiota. Foods 2021, 10, 2861. [Google Scholar] [CrossRef] [PubMed]
- Coman, M.M.; Verdenelli, M.C.; Cecchini, C.; Silvi, S.; Vasile, A.; Bahrim, G.E.; Orpianesi, C.; Cresci, A. Effect of Buckwheat Flour and Oat Bran on Growth and Cell Viability of the Probiotic Strains Lactobacillus Rhamnosus IMC 501®, Lactobacillus Paracasei IMC 502® and Their Combination SYNBIO®, in Synbiotic Fermented Milk. Int. J. Food Microbiol. 2013, 167, 261–268. [Google Scholar] [CrossRef] [PubMed]
- Klajn, V.M.; Ames, C.W.; da Cunha, K.F.; Lorini, A.; dos Santos Hackbart, H.C.; Filho, P.J.S.; dos Santos Cruxen, C.E.; Fiorentini, Â.M. Probiotic Fermented Oat Dairy Beverage: Viability of Lactobacillus Casei, Fatty Acid Profile, Phenolic Compound Content and Acceptability. J. Food Sci. Technol. 2021, 58, 3444–3452. [Google Scholar] [CrossRef]
- Rosburg, V.; Boylston, T.; White, P. Viability of Bifidobacteria Strains in Yogurt with Added Oat Beta-Glucan and Corn Starch during Cold Storage. J. Food Sci. 2010, 75, C439–C444. [Google Scholar] [CrossRef]
- Matejčeková, Z.; Liptáková, D.; Valík, Ľ. Functional Probiotic Products Based on Fermented Buckwheat with Lactobacillus Rhamnosus. LWT Food Sci. Technol. 2017, 81, 35–41. [Google Scholar] [CrossRef]
- Mousavi, M.-H.; Gharekhani, M.; Alirezalu, K.; Roufegarinejad, L.; Azadmard-Damirchi, S. Production and Characterization of Nondairy Gluten-Free Fermented Beverage Based on Buckwheat and Lentil. Food Sci. Nutr. 2023, 11, 2197–2210. [Google Scholar] [CrossRef]
- Passos, F.V.; Fleming, H.P.; Hassan, H.M.; McFeeters, R.F. Effect of Malic Acid on the Growth Kinetics of Lactobacillus Plantarum. Appl. Microbiol. Biotechnol. 2003, 63, 207–211. [Google Scholar] [CrossRef] [PubMed]
- Tsuji, A.; Okada, S.; Hols, P.; Satoh, E. Metabolic Engineering of Lactobacillus Plantarum for Succinic Acid Production through Activation of the Reductive Branch of the Tricarboxylic Acid Cycle. Enzym. Microb. Technol. 2013, 53, 97–103. [Google Scholar] [CrossRef]
- Aparicio-García, N.; Martínez-Villaluenga, C.; Frias, J.; Peñas, E. Production and Characterization of a Novel Gluten-Free Fermented Beverage Based on Sprouted Oat Flour. Foods 2021, 10, 139. [Google Scholar] [CrossRef] [PubMed]
- Salmerón, I.; Thomas, K.; Pandiella, S.S. Effect of Potentially Probiotic Lactic Acid Bacteria on the Physicochemical Composition and Acceptance of Fermented Cereal Beverages. J. Funct. Foods 2015, 15, 106–115. [Google Scholar] [CrossRef]
- Wang, Y.; Wu, J.; Lv, M.; Shao, Z.; Hungwe, M.; Wang, J.; Bai, X.; Xie, J.; Wang, Y.; Geng, W. Metabolism Characteristics of Lactic Acid Bacteria and the Expanding Applications in Food Industry. Front. Bioeng. Biotechnol. 2021, 9, 612285. [Google Scholar] [CrossRef] [PubMed]
- Sigüenza-Andrés, T.; Mateo, J.; Rodríguez-Nogales, J.M.; Gómez, M.; Caro, I. Characterization of a Fermented Beverage from Discarded Bread Flour Using Two Commercial Probiotics Starters. Foods 2024, 13, 951. [Google Scholar] [CrossRef]
- Kawai, M.; Harada, R.; Yoda, N.; Yamasaki-Yashiki, S.; Fukusaki, E.; Katakura, Y. Suppression of Lactate Production by Using Sucrose as a Carbon Source in Lactic Acid Bacteria. J. Biosci. Bioeng. 2020, 129, 47–51. [Google Scholar] [CrossRef]
- Nešović, M.; Gašić, U.; Tosti, T.; Horvacki, N.; Nedić, N.; Sredojević, M.; Blagojević, S.; Ignjatović, L.; Tešić, Ž. Distribution of Polyphenolic and Sugar Compounds in Different Buckwheat Plant Parts. RSC Adv. 2021, 11, 25816. [Google Scholar] [CrossRef]
Disclaimer/Publisher’s Note: The statements, opinions and data contained in all publications are solely those of the individual author(s) and contributor(s) and not of MDPI and/or the editor(s). MDPI and/or the editor(s) disclaim responsibility for any injury to people or property resulting from any ideas, methods, instructions or products referred to in the content. |
© 2024 by the authors. Licensee MDPI, Basel, Switzerland. This article is an open access article distributed under the terms and conditions of the Creative Commons Attribution (CC BY) license (https://creativecommons.org/licenses/by/4.0/).


