CFD Modeling of Wind Turbine Blades with Eroded Leading Edge
Abstract
1. Introduction
2. Computational Setup and Numerical Methodology
2.1. Governing Equations
2.1.1. Spalart–Allmaras Model
2.1.2. Shear Stress Transport Model
2.1.3. Transition Shear Stress Transport Model
2.2. Three-Dimensional Setup
2.3. Two-Dimensional Setup
3. Numerical Models Validation
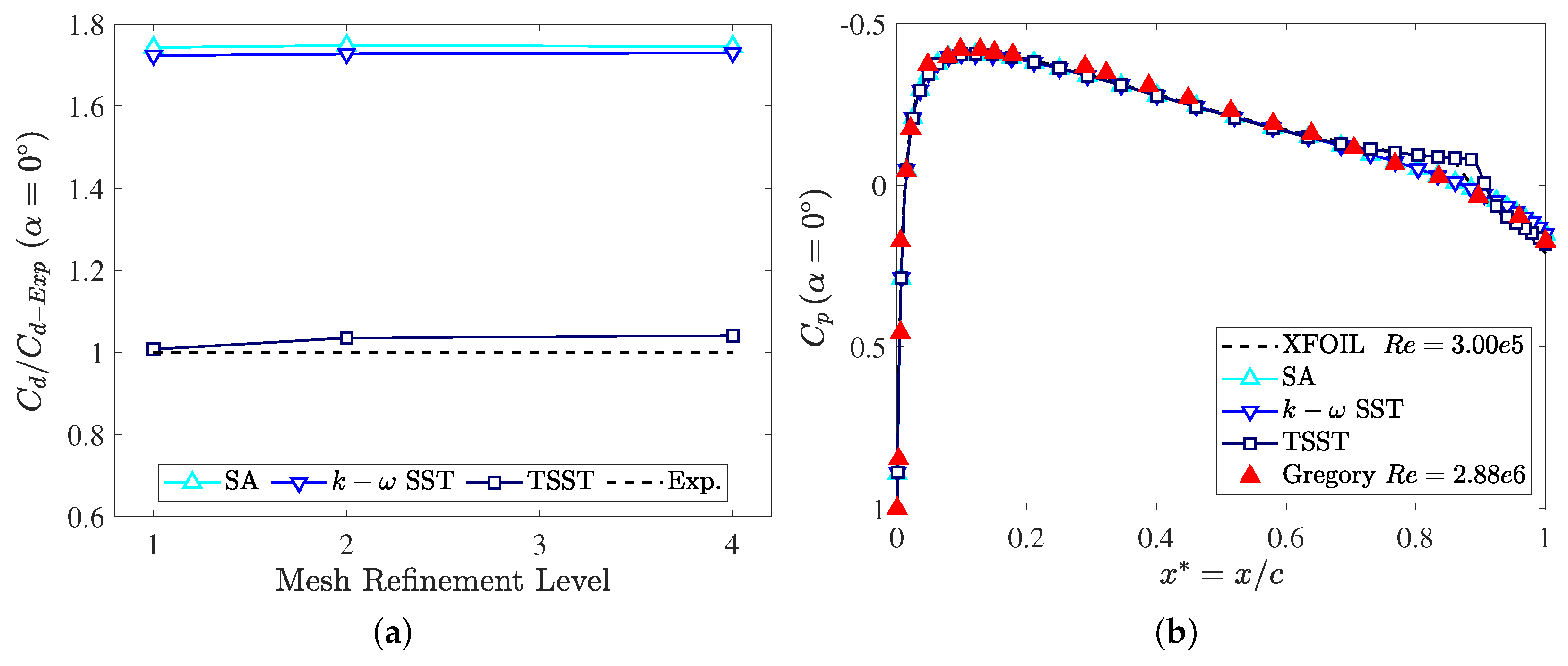
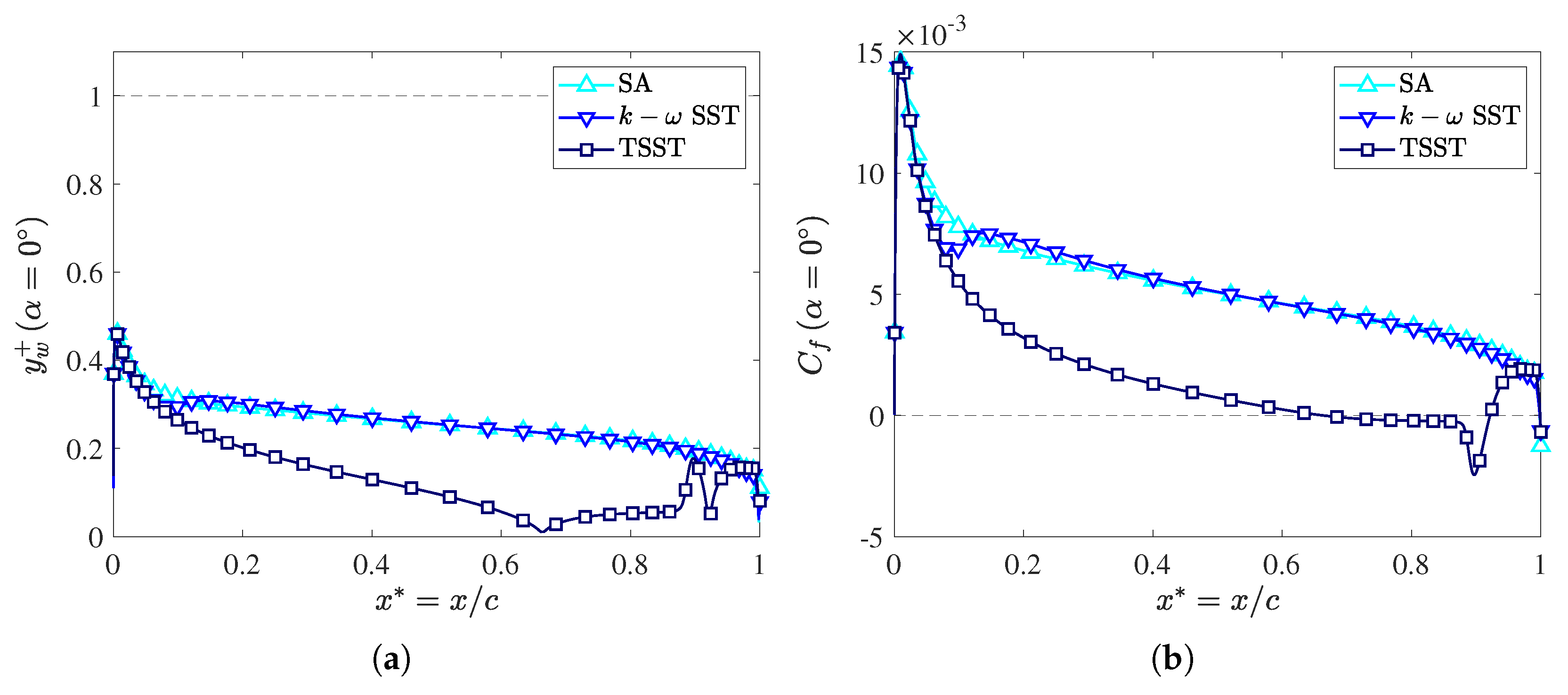
3.1. Two-Dimensional CFD Model Validation
3.2. Three-Dimensional CFD Model Validation
4. Results and Discussion
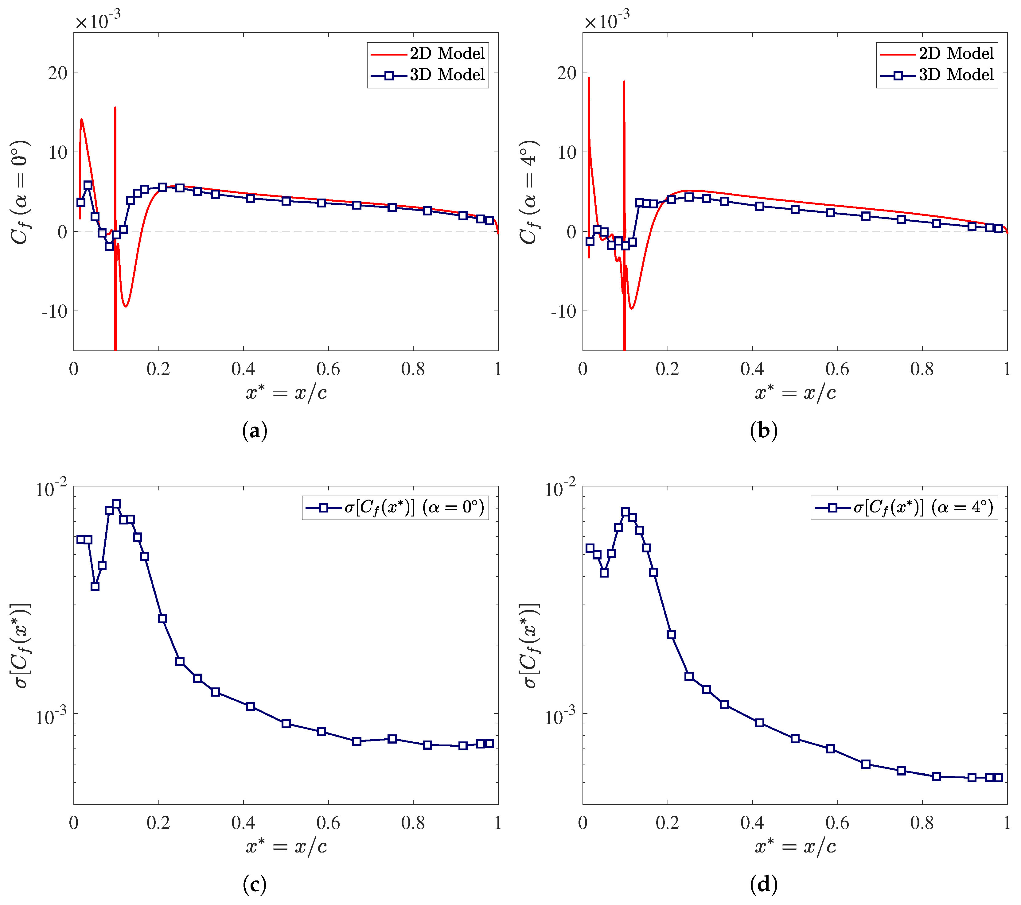
4.1. Flow Assessments Qualitative Comparison between 2D and 3D Models
4.2. Clean and Damaged 2D Airfoil Comparison
4.3. Damaged 3D Performance against 2D Eroded Assessment
5. Conclusions
Author Contributions
Funding
Institutional Review Board Statement
Informed Consent Statement
Data Availability Statement
Conflicts of Interest
Abbreviations
| AEP | Annual Energy Production |
| CFD | Computational Fluid Dynamics |
| LEE | Leading Edge Erosion |
| PS | Pressure Side |
| RANS | Reynolds-Averaged Navier–Stokes |
| SA | Spalart–Allmaras |
| SS | Suction Side |
| SST | Shear Stress Transport |
| TSST | Transition Shear Stress Transport |
References
- Wind Europe. Wind Energy in Europe: 2021 Statistics and the Outlook for 2022–2026; Technical Report; Wind Europe: Brussels, Belgium, 2022; Available online: https://windeurope.org/intelligence-platform/product/wind-energy-in-europe-2021-statistics-and-the-outlook-for-2022-2026/ (accessed on 11 August 2022).
- IRENA. Renewable Energy Statistics 2022; Technical Report; The International Renewable Energy Agency: Abu Dhabi, UAE, 2022; Available online: https://irena.org/publications/2022/Apr/Renewable-Capacity-Statistics-2022 (accessed on 11 August 2022).
- Butterfield, C.P.; Scott, G.; Musial, W. Comparison of wind tunnel airfoil performance data with wind turbine blade data. J. Sol. Energy Eng. 1992, 114, 119–124. [Google Scholar] [CrossRef]
- Somers, D.M.; Tangler, J.L. Wind tunnel test of the S814 thick root airfoil. J. Sol. Energy Eng. 1996, 118, 217–221. [Google Scholar] [CrossRef][Green Version]
- Devinant, P.; Laverne, T.; Hureau, J. Experimental study of wind-turbine airfoil aerodynamics in high turbulence. J. Wind Eng. Ind. Aerodyn. 2002, 90, 689–707. [Google Scholar] [CrossRef]
- Selig, M.S.; McGranahan, B.D. Wind tunnel aerodynamic tests of six airfoils for use on small wind turbines. J. Sol. Energy Eng. 2004, 126, 986–1001. [Google Scholar] [CrossRef]
- Chamorro, L.P.; Porté-Agel, F. A wind-tunnel investigation of wind-turbine wakes: Boundary-layer turbulence effects. Bound.-Layer Meteorol. 2009, 132, 129–149. [Google Scholar] [CrossRef]
- Chamorro, L.P.; Porté-Agel, F. Effects of thermal stability and incoming boundary-layer flow characteristics on wind-turbine wakes: A wind-tunnel study. Bound.-Layer Meteorol. 2010, 136, 515–533. [Google Scholar] [CrossRef]
- Chamorro, L.P.; Porte-Agel, F. Turbulent flow inside and above a wind farm: A wind-tunnel study. Energies 2011, 4, 1916–1936. [Google Scholar] [CrossRef]
- Adaramola, M.; Krogstad, P.Å. Experimental investigation of wake effects on wind turbine performance. Renew. Energy 2011, 36, 2078–2086. [Google Scholar] [CrossRef]
- Sun, H.; Gao, X.; Yang, H. A review of full-scale wind-field measurements of the wind-turbine wake effect and a measurement of the wake-interaction effect. Renew. Sustain. Energy Rev. 2020, 132, 110042. [Google Scholar] [CrossRef]
- Porté-Agel, F.; Bastankhah, M.; Shamsoddin, S. Wind-turbine and wind-farm flows: A review. Bound.-Layer Meteorol. 2020, 174, 1–59. [Google Scholar] [CrossRef]
- Yang, S.; Chang, Y.; Arici, O. Incompressible Navier-Stokes computation of the NREL airfoils using a symmetric total variational diminishing scheme. J. Solar Energy Eng. 1994, 116, 174–182. [Google Scholar] [CrossRef]
- Wolfe, W.; Ochs, S.; Wolfe, W.; Ochs, S. CFD calculations of S809 aerodynamic characteristics. In Proceedings of the 35th Aerospace Sciences Meeting and Exhibit, Reno, NV, USA, 6–9 January 1997; p. 973. [Google Scholar] [CrossRef]
- Munduate, X.; Ferrer, E. CFD predictions of transition and distributed roughness over a wind turbine airfoil. In Proceedings of the 47th AIAA Aerospace Sciences Meeting Including the New Horizons Forum and Aerospace Exposition, Orlando, FL, USA, 5–8 January 2009; p. 269. [Google Scholar] [CrossRef]
- Sanderse, B.; Van der Pijl, S.; Koren, B. Review of computational fluid dynamics for wind turbine wake aerodynamics. Wind Energy 2011, 14, 799–819. [Google Scholar] [CrossRef]
- Mittal, A.; Sreenivas, K.; Taylor, L.K.; Hereth, L.; Hilbert, C.B. Blade-resolved simulations of a model wind turbine: Effect of temporal convergence. Wind Energy 2016, 19, 1761–1783. [Google Scholar] [CrossRef]
- Van der Laan, M.; Hansen, K.S.; Sørensen, N.N.; Réthoré, P.E. Predicting Wind Farm Wake Interaction with RANS: An Investigation of the Coriolis Force; Journal of Physics: Conference Series; IOP Publishing: Bristol, UK, 2015; Volume 625, p. 012026. [Google Scholar] [CrossRef]
- Astolfi, D.; Castellani, F.; Terzi, L. A study of wind turbine wakes in complex terrain through RANS simulation and SCADA data. J. Solar Energy Eng. 2018, 140. [Google Scholar] [CrossRef]
- Zhong, W.; Tang, H.; Wang, T.; Zhu, C. Accurate RANS simulation of wind turbine stall by turbulence coefficient calibration. Appl. Sci. 2018, 8, 1444. [Google Scholar] [CrossRef]
- Mehta, D.; Van Zuijlen, A.; Koren, B.; Holierhoek, J.; Bijl, H. Large Eddy Simulation of wind farm aerodynamics: A review. J. Wind Eng. Ind. Aerodyn. 2014, 133, 1–17. [Google Scholar] [CrossRef]
- Thé, J.; Yu, H. A critical review on the simulations of wind turbine aerodynamics focusing on hybrid RANS-LES methods. Energy 2017, 138, 257–289. [Google Scholar] [CrossRef]
- Stevens, R.J.; Martínez-Tossas, L.A.; Meneveau, C. Comparison of wind farm large eddy simulations using actuator disk and actuator line models with wind tunnel experiments. Renew. Energy 2018, 116, 470–478. [Google Scholar] [CrossRef]
- Solís-Gallego, I.; Argüelles Díaz, K.M.; Fernández Oro, J.M.; Velarde-Suárez, S. Wall-resolved LES modeling of a wind turbine airfoil at different angles of attack. J. Marine Sci. Eng. 2020, 8, 212. [Google Scholar] [CrossRef]
- Vermeer, L.; Sørensen, J.N.; Crespo, A. Wind turbine wake aerodynamics. Prog. Aerosp. Sci. 2003, 39, 467–510. [Google Scholar] [CrossRef]
- Enevoldsen, P.; Xydis, G. Examining the trends of 35 years growth of key wind turbine components. Energy Sustain. Dev. 2019, 50, 18–26. [Google Scholar] [CrossRef]
- Keegan, M.H.; Nash, D.; Stack, M. On erosion issues associated with the leading edge of wind turbine blades. J. Phys. D: Appl. Phys. 2013, 46, 383001. [Google Scholar] [CrossRef]
- Rempel, L. Rotor blade leading edge erosion-real life experiences. Wind Syst. Mag. 2012, 11, 22–24. Available online: http://windaction.s3.amazonaws.com/attachments/2310/1012_BladeFeature.pdf (accessed on 11 August 2022).
- Dalili, N.; Edrisy, A.; Carriveau, R. A review of surface engineering issues critical to wind turbine performance. Renew. Sustain. Energy Rev. 2009, 13, 428–438. [Google Scholar] [CrossRef]
- Ehrmann, R.S.; White, E.B.; Maniaci, D.C.; Chow, R.; Langel, C.M.; Van Dam, C.P. Realistic leading-edge roughness effects on airfoil performance. In Proceedings of the 31st AIAA Applied Aerodynamics Conference, San Diego, CA, USA, 24 June 2013; p. 2800. [Google Scholar] [CrossRef]
- Sareen, A.; Sapre, C.A.; Selig, M.S. Effects of leading edge erosion on wind turbine blade performance. Wind Energy 2014, 17, 1531–1542. [Google Scholar] [CrossRef]
- Gaudern, N. A Practical Study of the Aerodynamic Impact of Wind Turbine Blade Leading Edge Erosion; Journal of Physics: Conference Series; IOP Publishing: Bristol, UK, 2014; Volume 524, p. 012031. [Google Scholar] [CrossRef]
- Langel, C.M.; Chow, R.; Hurley, O.F.; Van Dam, C.C.P.; Maniaci, D.C.; Ehrmann, R.S.; White, E.B. Analysis of the impact of leading edge surface degradation on wind turbine performance. In Proceedings of the 33rd Wind Energy Symposium, Kissimmee, FL, USA, 5–9 January 2015; p. 0489. [Google Scholar] [CrossRef]
- Maniaci, D.C.; White, E.B.; Wilcox, B.; Langel, C.M.; van Dam, C.; Paquette, J.A. Experimental Measurement and CFD Model Development of Thick Wind Turbine Airfoils with Leading Edge Erosion; Journal of Physics: Conference Series; IOP Publishing: Bristol, UK, 2016; Volume 753, p. 022013. [Google Scholar] [CrossRef]
- Han, W.; Kim, J.; Kim, B. Effects of contamination and erosion at the leading edge of blade tip airfoils on the annual energy production of wind turbines. Renew. Energy 2018, 115, 817–823. [Google Scholar] [CrossRef]
- Elhadi Ibrahim, M.; Medraj, M. Water droplet erosion of wind turbine blades: Mechanics, testing, modeling and future perspectives. Materials 2019, 13, 157. [Google Scholar] [CrossRef]
- Dashtkar, A.; Hadavinia, H.; Sahinkaya, M.N.; Williams, N.A.; Vahid, S.; Ismail, F.; Turner, M. Rain erosion-resistant coatings for wind turbine blades: A review. Polym. Polym. Compos. 2019, 27, 443–475. [Google Scholar] [CrossRef]
- Shankar Verma, A.; Jiang, Z.; Ren, Z.; Hu, W.; Teuwen, J.J. Effects of onshore and offshore environmental parameters on the leading edge erosion of wind turbine blades: A comparative study. J. Offshore Mech. Arct. Eng. 2021, 143. [Google Scholar] [CrossRef]
- Law, H.; Koutsos, V. Leading edge erosion of wind turbines: Effect of solid airborne particles and rain on operational wind farms. Wind Energy 2020, 23, 1955–1965. [Google Scholar] [CrossRef]
- Castorrini, A.; Cappugi, L.; Bonfiglioli, A.; Campobasso, M. Assessing Wind Turbine Energy Losses due to Blade Leading Edge Erosion Cavities with Parametric CAD and 3D CFD; Journal of Physics: Conference Series; IOP Publishing: Bristol, UK, 2020; Volume 1618, p. 052015. [Google Scholar] [CrossRef]
- Wang, Y.; Wang, L.; Duan, C.; Zheng, J.; Liu, Z.; Ma, G. CFD simulation on wind turbine blades with leading edge erosion. J. Theor. Appl. Mech. 2021, 59. [Google Scholar] [CrossRef]
- Ortolani, A.; Castorrini, A.; Campobasso, M.S. Multi-Scale Navier-Stokes Analysis of Geometrically Resolved Erosion of Wind Turbine Blade Leading Edges; Journal of Physics: Conference Series; IOP Publishing: Bristol, UK, 2022; Volume 2265, p. 032102. [Google Scholar] [CrossRef]
- Mishnaevsky, L., Jr.; Hasager, C.B.; Bak, C.; Tilg, A.M.; Bech, J.I.; Rad, S.D.; Fæster, S. Leading edge erosion of wind turbine blades: Understanding, prevention and protection. Renew. Energy 2021, 169, 953–969. [Google Scholar] [CrossRef]
- Eisenberg, D.; Laustsen, S.; Stege, J. Wind turbine blade coating leading edge rain erosion model: Development and validation. Wind Energy 2018, 21, 942–951. [Google Scholar] [CrossRef]
- ANSYS. ANSYS 19.2 FLUENT User’s Guide; ANSYS: Canonsburg, PA, USA, 2018. [Google Scholar]
- MATLAB. 9.7. 0.1190202 (R2019b); MathWorks Inc.: Natick, MA, USA, 2018; Available online: https://it.mathworks.com/products/new_products/release2019b.html (accessed on 11 August 2022).
- Spalart, P.; Allmaras, S. A one-equation turbulence model for aerodynamic flows. In Proceedings of the 30th Aerospace Sciences Meeting and Exhibit, Reno, NV, USA, 6–9 January 1992; p. 439. [Google Scholar] [CrossRef]
- Menter, F.R. Two-equation eddy-viscosity turbulence models for engineering applications. AIAA J. 1994, 32, 1598–1605. [Google Scholar] [CrossRef]
- Menter, F.R.; Langtry, R.B.; Likki, S.; Suzen, Y.; Huang, P.; Völker, S. A correlation-based transition model using local variables—Part I: Model formulation. J. Turbomach. 2006, 128, 413–422. [Google Scholar] [CrossRef]
- ANSYS FLUENT Theory Guide. Available online: https://www.afs.enea.it/project/neptunius/docs/fluent/html/th/main_pre.htm (accessed on 11 August 2022).
- Campobasso, M.S.; Castorrini, A.; Cappugi, L.; Bonfiglioli, A. Experimentally validated three-dimensional computational aerodynamics of wind turbine blade sections featuring leading edge erosion cavities. Wind Energy 2022, 25, 168–189. [Google Scholar] [CrossRef]
- Sapre, C. Turbine Blade Erosion and the Use of Wind Protection Tape. 2012. Available online: https://www.ideals.illinois.edu/items/31357 (accessed on 11 August 2022).
- Avanzi, F.; De Vanna, F.; Ruan, Y.; Benini, E. Design-Assisted of Pitching Aerofoils through Enhanced Identification of Coherent Flow Structures. Designs 2021, 5, 11. [Google Scholar] [CrossRef]
- De Vanna, F.; Bof, D.; Benini, E. Multi-Objective RANS Aerodynamic Optimization of a Hypersonic Intake Ramp at Mach 5. Energies 2022, 15, 2811. [Google Scholar] [CrossRef]
- De Vanna, F.; Picano, F.; Benini, E.; Quinn, M.K. Large-Eddy Simulations of the Unsteady Behavior of a Hypersonic Intake at Mach 5. AIAA J. 2021, 59, 3859–3872. [Google Scholar] [CrossRef]
- Drela, M. XFOIL: An analysis and design system for low Reynolds number airfoils. In Low Reynolds Number Aerodynamics; Springer: Berlin, Germany, 1989; pp. 1–12. [Google Scholar] [CrossRef]
- Gregory, N.; O’Reilly, C. Low-Speed Aerodynamic Characteristics of NACA 0012 Aerofoil Section, Including the Effects of Upper-Surface Roughness Simulating Hoar Frost. ARC, R&M-3726. 1970. Available online: https://reports.aerade.cranfield.ac.uk/handle/1826.2/3003 (accessed on 11 August 2022).




















Publisher’s Note: MDPI stays neutral with regard to jurisdictional claims in published maps and institutional affiliations. |
© 2022 by the authors. Licensee MDPI, Basel, Switzerland. This article is an open access article distributed under the terms and conditions of the Creative Commons Attribution (CC BY) license (https://creativecommons.org/licenses/by/4.0/).
Share and Cite
Carraro, M.; De Vanna, F.; Zweiri, F.; Benini, E.; Heidari, A.; Hadavinia, H. CFD Modeling of Wind Turbine Blades with Eroded Leading Edge. Fluids 2022, 7, 302. https://doi.org/10.3390/fluids7090302
Carraro M, De Vanna F, Zweiri F, Benini E, Heidari A, Hadavinia H. CFD Modeling of Wind Turbine Blades with Eroded Leading Edge. Fluids. 2022; 7(9):302. https://doi.org/10.3390/fluids7090302
Chicago/Turabian StyleCarraro, Michael, Francesco De Vanna, Feras Zweiri, Ernesto Benini, Ali Heidari, and Homayoun Hadavinia. 2022. "CFD Modeling of Wind Turbine Blades with Eroded Leading Edge" Fluids 7, no. 9: 302. https://doi.org/10.3390/fluids7090302
APA StyleCarraro, M., De Vanna, F., Zweiri, F., Benini, E., Heidari, A., & Hadavinia, H. (2022). CFD Modeling of Wind Turbine Blades with Eroded Leading Edge. Fluids, 7(9), 302. https://doi.org/10.3390/fluids7090302

