A Compressible Turbulence Model for Pressure—Strain
Abstract
:1. Introduction
2. Basic Equations
3. Turbulence Models
4. Compressible Turbulence Model for the Pressure—Strain
Proposal Model
5. Applications
5.1. Simulation of Compressible Homogeneous Shear Flow
5.2. Simulation of Compressible Mixing Layers
- The turbulent heat flux [16]:
- The diffusion term [16]
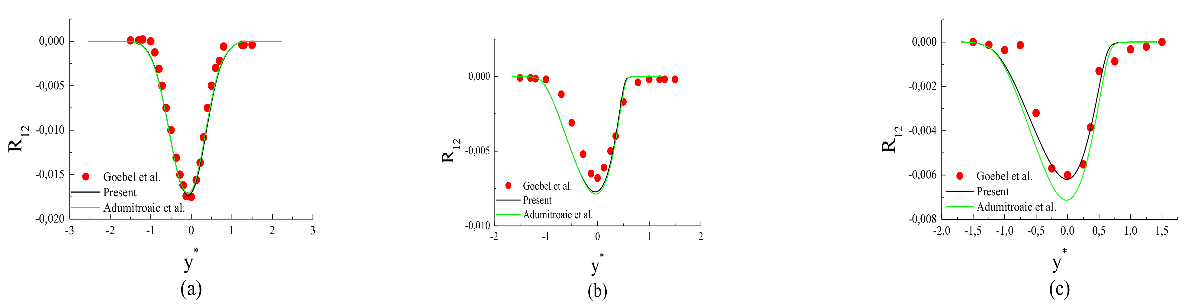
6. Results and Discussion
6.1. Homogeneous Shear Flow
6.2. Mixing Layers
- The initial profile of the turbulent dissipation is determined from the turbulent viscosity model.
- The initial profile of the temperature is obtained from the following similarity
- The state equation of perfect gas is used to determine the initial profile of the density.
7. Conclusions
Author Contributions
Funding
Institutional Review Board Statement
Data Availability Statement
Conflicts of Interest
Nomenclature
| p | Pressure |
| T | Temperature |
| t | Time |
| a | Speed of sound |
| bij | Reynolds stress anisotropy |
| cp | Specific heat at constant pressure |
| cv | Specific heat at constant volume |
| R | Ideal gas constant |
| Rij | Reynolds stress |
| Mt | Turbulent mach number |
| Mg | Gradient mach number |
| Mc | Convective mach number |
| K | Turbulent kinetic energy |
| Velocity in the direction xi | |
| d’ | Fluctuation of the dilatation |
| (.),i | Xi-derivative |
| Greek symbols | |
| Specific heat ratio | |
| Turbulent dissipation | |
| Solenoidal dissipation | |
| Compressible dissipation | |
| Density | |
| Viscosity coefficient | |
| Thermal conductivity coefficient | |
| Pressure−dilatation correlation | |
| Deviator of the pressure-strain tensor | |
| Kronecker delta | |
| Viscous stress tensor | |
| Statistic symbols | |
| (.)″ | Favre fluctuation |
| (.)′ | Reynolds fluctuation |
| Favre averaged | |
| Reynolds averaged |
References
- Blaisdell, G.A.; Mansour, N.N.; Reynolds, W.C. Compressibility effects on the growth and structure of homogeneous turbulent shear flow. J. Fluid Mech. 1983, 256, 443–485. [Google Scholar] [CrossRef]
- Sarkar, S.; Erlebacher, G.; Hussaini, M.Y.; Kress, H.O. The analysis and modeling of dilatational terms in compressible turbulence. J. Fluid Mech. 1991, 227, 473–493. [Google Scholar] [CrossRef]
- Sarkar, S. The stabilizing effects of compressibility in turbulent shear flows. J. Fluid Mech. 1995, 282, 163–186. [Google Scholar] [CrossRef] [Green Version]
- Simone, S.; Coleman, G.N.; Cambon, C. The effect of compressibility on turbulent shear flow: A rapid distorsion-theory and direct numerical simulation study. J. Fluid Mech. 1997, 330, 307–338. [Google Scholar] [CrossRef] [Green Version]
- Fujihiro, H. Effets of pressure fluctuations on turbulence growth compressible homogeneous shear flow. Phys. Fluid. 1999, 11, 1623–1635. [Google Scholar]
- Vreman, A.W.; Sandham, N.D.; Luo, K.H. Compressible mixing layer growth rate and turbulence characteristics. J. Fluid Mech. 1996, 330, 235–258. [Google Scholar] [CrossRef] [Green Version]
- Goebel, S.G.; Dutton, J.C. Experimental study of compressible mixing layers. AIAA J. 1991, 29, 538–546. [Google Scholar] [CrossRef]
- Samimy, M.; Elliot, G.S. Effects of compressibility on the characteristics of the free shear layers. AIAA J. 1990, 89, 439–445. [Google Scholar] [CrossRef] [Green Version]
- Pantano, C.; Sarkar, S. A study of compressibility effects in the high speed turbulent shear layer direct simulation. J. Fluid Mech. 2002, 451, 329–371. [Google Scholar] [CrossRef] [Green Version]
- Foysi, H.; Sarkar, S. The compressible mixing layers: An LES study. Theor. Comput. Fluid Dyn. 2010, 24, 565–588. [Google Scholar] [CrossRef] [Green Version]
- Adumitroaie, V.; Ristorcelli, J.R.; Taulbee, D.B. Progress in Favre Reynolds stress closures for compressible flows. Phys. Fluids 1999, A11, 2696–2719. [Google Scholar] [CrossRef] [Green Version]
- Hung, S.; Song, F. Modelling of pressure strain correlation compressible turbulent flow. Acta Mech. Sin. 2008, 24, 37–43. [Google Scholar] [CrossRef]
- Hamed, M.; Hechmi, K.; Taieb, L. Extension of the Launder Reece and Rodi on Homogeneous shear flow. Eur. Phys. J. B 2005, 45, 147–154. [Google Scholar]
- Launder, B.E.; Reece, G.J.; Rodi, W. Progress in the development of a Reynolds-stress turbulence closure. J. Fluid Mech. 1975, 68, 537–566. [Google Scholar] [CrossRef] [Green Version]
- Hechmi, K.; Taieb, L. On the compressibility effects in mixing layers. Therm. Sci. 2016, 20, 1473–1484. [Google Scholar]
- Speziale, C.G.; Sarkar, S. Second Order Closure Models for Supersonic Turbulent Flows; ICASE Report; NASA Langley Research Center: Hampton, VA, USA, 1991.
- Zeman, O. Dilatational dissipation, the concept and application in modeling compressible mixing layers. Phys. Fluids 1990, A2, 178–188. [Google Scholar] [CrossRef]
- Blaisdell, G.A.; Sarkar, S. Investigation of the pressure-strain correlation in compressible homogeneous turbulent shear flow. ASME-Publ.-FED 1993, 151, 133–138. [Google Scholar]
- Park, C.H.; Park, S.O. Compressible turbulence model for the pressure strain correlation. J. Turbul. 2005, 6, 1–24. [Google Scholar] [CrossRef]
- Hechmi, K.; Taieb, L. A compressibility correction of the pressure strain correlation model in turbulent flow. Comptes Rendus Mécanique 2013, 341, 567–581. [Google Scholar]
- Speziale, C.G.; Abid, R.; Mansour, N. Evaluation of Reynolds stress turbulence closures in compressible homogeneous shear flow. J. Appl. Math. Phys. 1995, 46, 5717–5736. [Google Scholar]
- Freund, J.B.; Lele, S.K.; Monin, P. Compressibility effects in a turbulent annular mixing layer. J. Fluid Mech. 2000, 421, 229–267. [Google Scholar] [CrossRef] [Green Version]

















| Model | C1 | C2 | C3 | C4 |
|---|---|---|---|---|
| Adumitroaie [11] | 3 | 0.8 | ||
| Huang [12] | 3.6 | 0.8 | ||
| Marzougui [13] | 0.8 |
| Model | C1 | C2 | C3 | C4 |
|---|---|---|---|---|
| Adumitroaie modified | ||||
| Huang modified | ||||
| Marzougui modified |
| Case | Mt0 | Mg0 | b11 | b22 | b12 | |
|---|---|---|---|---|---|---|
| A1 | 0.4 | 1.8 | 0.22 | 0 | 0 | 0 |
| A2 | 0.4 | 3.6 | 0.44 | 0 | 0 | 0 |
| A3 | 0.4 | 5.4 | 0.66 | 0 | 0 | 0 |
| A4 | 0.4 | 10.8 | 1.32 | 0 | 0 | 0 |
| B1 | 0.13 | 5.4 | 0.22 | 0 | 0 | 0 |
| B2 | 0.2 | 3.6 | 0.22 | 0 | 0 | 0 |
| B3 | 0.4 | 1.8 | 0.22 | 0 | 0 | 0 |
| 0.2 | 0.76 | 0.78 |
| 0.46 | 0 | 0 |
| 0.69 | 0 | 0 |
| 0.86 | 0.16 | 0.6 |
| Model | C1 | C2 | C3 | C4 |
|---|---|---|---|---|
| Adumitroaie modified |
Publisher’s Note: MDPI stays neutral with regard to jurisdictional claims in published maps and institutional affiliations. |
© 2022 by the authors. Licensee MDPI, Basel, Switzerland. This article is an open access article distributed under the terms and conditions of the Creative Commons Attribution (CC BY) license (https://creativecommons.org/licenses/by/4.0/).
Share and Cite
Khlifi, H.; Bourehla, A. A Compressible Turbulence Model for Pressure—Strain. Fluids 2022, 7, 34. https://doi.org/10.3390/fluids7010034
Khlifi H, Bourehla A. A Compressible Turbulence Model for Pressure—Strain. Fluids. 2022; 7(1):34. https://doi.org/10.3390/fluids7010034
Chicago/Turabian StyleKhlifi, Hechmi, and Adnen Bourehla. 2022. "A Compressible Turbulence Model for Pressure—Strain" Fluids 7, no. 1: 34. https://doi.org/10.3390/fluids7010034
APA StyleKhlifi, H., & Bourehla, A. (2022). A Compressible Turbulence Model for Pressure—Strain. Fluids, 7(1), 34. https://doi.org/10.3390/fluids7010034
