Synchronized Multiple Drop Impacts into a Deep Pool
Abstract
1. Introduction
- The impact of a single drop onto dry solid surfaces, onto surfaces wetted by a liquid film, and onto gas-liquid interfaces alone in deep pools;
- The behavior of sprays, where the multitude of drops in the spray are considered in statistical terms, mainly with empirical models.
2. Materials and Methods
2.1. Experimental Setup
2.2. Numerical Simulations
3. Results and Discussion
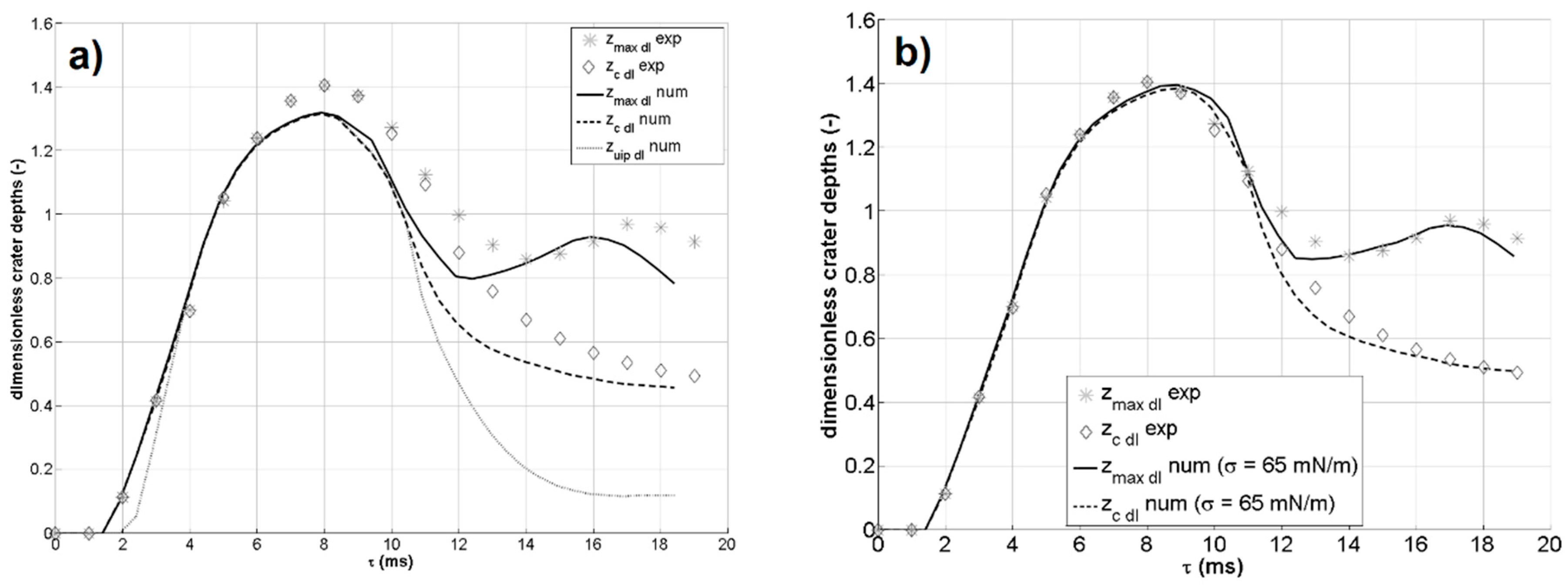
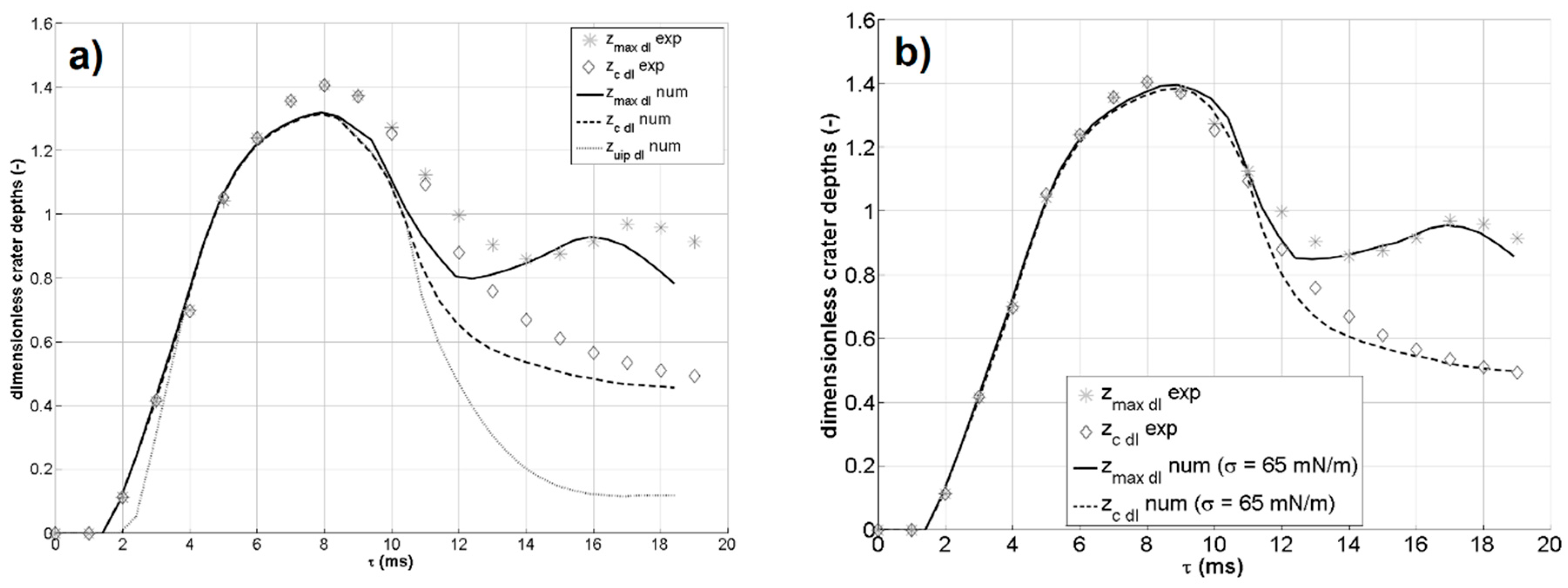
3.1. Validation against Experimental Data
3.2. Energy Conversion During Impact
3.3. Sensitivity Analysis on Surface Tension
3.4. Sensitivity Analysis on Drop Spacing
3.5. Three-Dimensional Visualization
3.6. Impact of Three and Four Synchronized Drops.
4. Conclusions
- Energy conversion between the kinetic and surface energies during double drop impacts shows a consistent behaviour very similar to that of single drop impacts, thus evidencing that it is not significantly influenced by the crater shape;
- Both the surface tension and the interspace have a very significant influence on the crater shape and depth. Concerning the surface tension, in real applications water is easily contaminated. This aspect must be kept in mind when using laboratory results obtained with distilled water. Concerning the drop interspace, obviously the more the drops are spaced, the more similar the crater evolution is to a single-drop impact case. More interestingly, when the drop interspace is large enough to avoid crater merging, the maximum depth reached by the crater is only slightly affected by the presence of other drops (even if the crater shape is heavily affected by the indirect (mediated by the liquid) interaction. Contrarily, when the craters merge, the maximum depth is heavily affected, with an increase that may reach more than the value corresponding to the impact of a single drop, with double the volume and mass.
- Retarded coalescence or other related models should be added, to be able to manage situations in which interfaces are very near without need of extremely fine meshes. Otherwise, a much faster self-adaptive remeshing should be implemented;
- Hybrid methods, e.g., a combined VOF-Level Set, could be used to better manage the interface curvature and, consequently, reduce spurious velocities.
Author Contributions
Funding
Acknowledgments
Conflicts of Interest
References
- Worthington, A.M. On impact with a liquid surface. Proc. R. Soc. Lond. 1882, 34, 217–230. [Google Scholar] [CrossRef]
- Worthington, A.M. A Study of Splashes; Longmans Green and Co.: London, UK, 1908. [Google Scholar]
- Rein, M. Phenomena of liquid drop impact on solid and liquid surfaces. Fluid Dyn. Res. 1993, 12, 61–93. [Google Scholar] [CrossRef]
- Yarin, A.L. Drop impact dynamics: Splashing, spreading, receding, bouncing. Annu. Rev. Fluid Mech. 2006, 38, 159–192. [Google Scholar] [CrossRef]
- Ashgriz, N. (Ed.) Handbook of Atomization and Sprays: Theory and Applications; Springer Science & Business Media: Berlin, Germany, 2011; ISBN 9781441972644. [Google Scholar] [CrossRef]
- Cole, D. The Splashing Morphology of Liquid-Liquid Impacts. Ph.D. Thesis, James Cook University, Townsville, Australia, 2007. [Google Scholar]
- Santini, M.; Cossali, G.E.; Marengo, M. Splashing characteristics of multiple and single drop impacts onto a thin liquid film. In Proceedings of the International Conference on Multiphase Flows, Leipzig, Germany, 9–13 July 2007. [Google Scholar]
- Bisighini, A.; Cossali, G.E. High-speed visualization of interface phenomena: Single and double drop impacts onto a deep liquid. J. Vis. 2011, 14, 103–110. [Google Scholar] [CrossRef]
- Guo, Y.; Chen, G.; Shen, S.; Zhang, J. Double droplets simultaneous impact on liquid film. IOP Conf. Ser. Mater. Sci. Eng. 2015, 88, 012016. [Google Scholar] [CrossRef]
- Santini, M.; Fest-Santini, S.; Cossali, G.E. Experimental study of vortices and cavities from single and double drop impacts onto deep pools. Eur. J. Mech. B/Fluids 2017, 62, 21–31. [Google Scholar] [CrossRef]
- Roisman, I.V.; Prunet-Foch, B.; Tropea, C.; Vignes-Adler, M. Multiple Drop Impact onto a Dry Solid Substrate. J. Colloid Interface Sci. 2002, 256, 396–410. [Google Scholar] [CrossRef]
- Ray, B.; Biswas, G.; Sharma, A.; Welch, S.W.J. CLSVOF method to study consecutive drop impact on liquid pool. Int. J. Numer. Methods Heat Fluid Flow 2013, 23, 143–158. [Google Scholar] [CrossRef]
- Bouwhuis, W.; Huang, X.; Chan, C.U.; Frommhold, P.E.; Ohl, C.-D.; Lohse, D.; Snoeijer, J.H.; van der Meer, D. Impact of a high-speed train of microdrops on a liquid pool. J. Fluid Mech. 2016, 792, 850–868. [Google Scholar] [CrossRef]
- Oguz, H.N.; Prosperetti, A. Bubble entrainment by impact of a liquid drop on liquid surfaces. J. Fluid. Mech. 1990, 219, 143–179. [Google Scholar] [CrossRef]
- Rieber, M.; Frohn, A. A numerical study on the mechanism of splashing. Int. J. Heat Fluid Flow 1999, 20, 455–461. [Google Scholar] [CrossRef]
- Bussmann, M.; Mostaghimi, J.; Chandra, S. On a three-dimensional volume tracking model of droplet impact. Phys. Fluids 1999, 11, 1406. [Google Scholar] [CrossRef]
- Morton, D.; Rudman, M.; Liow, J.M. An investigation of the flow regimes resulting from splashing drops. Phys Fluids 2000, 12, 747. [Google Scholar] [CrossRef]
- Thoraval, M.-J.; Takehara, K.; Etoh, T.G.; Popinet, S.; Ray, P.; Josserand, C.; Zaleski, S.; Thoroddsen, S.T. von Karman Vortex Street within an Impacting Drop. Phys. Rev. Lett. 2012, 108, 264506. [Google Scholar] [CrossRef]
- Hirt, C.W.; Nichols, B.D. Volume of Fluid (VOF) Method for the Dynamics of Free Boundaries. J. Comp. Phys. 1981, 39, 201–225. [Google Scholar] [CrossRef]
- Sussman, M.; Smereka, P.; Osher, S.J. A level set approach for computing solutions to incompressible two-phase flow. J. Comp. Phys. 1994, 114, 146–159. [Google Scholar] [CrossRef]
- Popinet, S.; Zaleski, S. A front tracking algorithm for accurate representation of surface tension. Int. J. Numer. Meth. Fluid. 1999, 30, 775–793. [Google Scholar] [CrossRef]
- Bonometti, T.; Magnaudet, J. An interface-capturing method for incompressible two-phase flows. Validation and application to bubble dynamics. Int. J. Multiph. Flow 2007, 33, 109–133. [Google Scholar] [CrossRef]
- Fuster, D.; Agbaglah, G.; Josserand, C.; Popinet, S.; Zaleski, S. Numerical simulation of droplets, bubbles and waves: State of the art. Fluid Dyn. Res. 2009, 41, 065001. [Google Scholar] [CrossRef]
- Albadawi, A.; Donoghue, D.B.; Robinson, A.J.; Murray, D.B.; Delauré, Y.M.C. Influence of surface tension implementation in Volume of Fluid and coupled Volume of Fluid with Level Set methods for bubble growth and detachment. Int. J. Multiph. Flow 2013, 53, 11–28. [Google Scholar] [CrossRef]
- Menard, T.; Tanguy, S.; Berlemont, A. Coupling level set/VOF/ghost fluid methods: Validation and application to 3D simulation of the primary break-up of a liquid jet. Int. J. Multiph. Flow 2007, 33, 510–524. [Google Scholar] [CrossRef]
- Tryggvason, G.; Bunner, B.; Esmaeeli, A.; Juric, D.; Al-Rawahi, N.; Tauber, W.; Han, J.; Nas, S.; Jan, Y.-J. A Front-Tracking Method for the Computations of Multiphase Flow. J. Comp. Phys. 2001, 169, 708–759. [Google Scholar] [CrossRef]
- Zheng, H.W.; Shu, C.; Chew, Y.T.; Sun, J.H. Three-dimensional lattice Boltzmann interface capturing method for incompressible flows. Int. J. Numer. Meth. Fluids 2008, 56, 1653–1671. [Google Scholar] [CrossRef]
- Huang, J.J.; Shu, C.; Chew, Y.T. Lattice Boltzmann study of bubble entrapment during droplet impact. Int. J. Numer. Meth. Fluids 2011, 65, 655–682. [Google Scholar] [CrossRef]
- Gentner, F.; Rioboo, R.; Baland, J.P.; De Coninck, J. Low Inertia Impact Dynamics for Nanodrops. Langmuir 2004, 20, 4748–4755. [Google Scholar] [CrossRef] [PubMed]
- Telis-Romero, J.; Cabral, R.; Gabas, A.L.; Telis, V. Rheological properties and fluid dynamics of coffee extract. J. Food Process Eng. 2001, 24, 217–230. [Google Scholar] [CrossRef]
- Nixon, M.S.; Aguado, A.S. Feature Extraction and Image Processing, 2nd ed.; Academic Press: Cambridge, MA, USA, 2008; ISBN 9780080556727. [Google Scholar]
- Rodriguez, F.; Mesler, R. The penetration of drop-formed vortex rings into pools of liquid. J. Colloid Interface Sci. 1988, 121, 121–129. [Google Scholar] [CrossRef]
- Chapman, D.; Critchlow, P. Formation of vortex rings from falling drops. J. Fluid Mech. 1967, 29, 177–185. [Google Scholar] [CrossRef]
- Thoraval, M.-J.; Li, Y.; Thoroddsen, S. Vortex-ring induced large bubble entrainment during drop impact. Phys. Rev. E 2016, 93, 033128. [Google Scholar] [CrossRef]
- Saylor, J.; Grizzard, N. The optimal drop shape for vortices generated by drop impacts: The effect of surfactants on the drop surface. Exp. Fluids 2004, 36, 783–790. [Google Scholar] [CrossRef]
- Zou, J.; Ji, C.; Yuan, B.G.; Ren, Y.L.; Ruan, X.D.; Fua, X. Large bubble entrapment during drop impacts on a restricted liquid surface. Phys. Fluids 2012, 24, 057101. [Google Scholar] [CrossRef]
- Wang, A.-B.; Kuan, C.-C.; Tsai, P.-H. Do we understand the bubble formation by a single drop impacting upon liquid surface? Phys. Fluids 2013, 25, 101702. [Google Scholar] [CrossRef]
- OpenFOAM®. The Open Source CFD Toolbox. Available online: http://www.openfoam.org (accessed on 1 February 2019).
- Brackbill, J.U.; Khote, D.B.; Zemach, C. A Continuum Method for Modeling Surface Tension. J. Comp. Phys. 1992, 100, 335–354. [Google Scholar] [CrossRef]
- Gopala, V.R.; van Wachem, B.G.M. Volume of fluid methods for immiscible-fluid and free-surface flows. Chem. Eng. J. 1998, 141, 204–211. [Google Scholar] [CrossRef]
- Deshpande, S.S.; Anumolu, L.; Trujillo, M.F. Evaluating the performance of the two-phase flow solver interFoam. Comp. Sci. Discov. 2012, 5, 014016. [Google Scholar] [CrossRef]
- Trujillo, M.F.; Lewis, S.R. Thermal boundary layer analysis corresponding to droplet train impingement. Phys. Fluids 2012, 24, 112102. [Google Scholar] [CrossRef]
- Deshpande, S.S.; Trujillo, M.F. Distinguishing features of shallow angle plunging jets. Phys. Fluids 2013, 25, 082103. [Google Scholar] [CrossRef]
- Costa, A.B.; Graham Cooks, R. Simulated splashes: Elucidating the mechanism of desorption electrospray ionization mass spectrometry. Chem. Phys. Lett. 2008, 464, 1–8. [Google Scholar] [CrossRef]
- Berberovic, E.; van Hinsberg, N.P.; Jakirlic, S.; Roisman, I.V.; Tropea, C. Drop impact onto a liquid layer of finite thickness: Dynamics of the cavity evolution. Phys. Rev. E 2009, 79, 036306. [Google Scholar] [CrossRef]
- Roisman, I.V.; Weickgenannt, C.M.; Lembach, A.N.; Tropea, C. Drop impact close to a pore: Experimental and numerical investigations. In Proceedings of the ILASS—Europe 2010, 23rd Annual Conference on Liquid Atomization and Spray Systems, Brno, Czech, 6–9 September 2010. [Google Scholar]
- Trujillo, M.F.; Alvarado, J.; Gehring, E.; Soriano, G.S. Numerical simulations and experimental characterization of heat transfer from a periodic impingement of droplets. J. Heat Transf. 2011, 133, 122201. [Google Scholar] [CrossRef]
- Brambilla, P.; Guardone, A. Automatic tracking of corona propagation in three-dimensional simulations of non-normal drop impact on a liquid film. Computing 2013, 95, 415–424. [Google Scholar] [CrossRef]
- Deshpande, S.S.; Trujillo, M.F.; Wu, X.; Chahine, G. Computational and experimental characterization of a liquid jet plunging into a quiescent pool at shallow inclination. Int. J. Heat Fluid Flow 2012, 34, 1–14. [Google Scholar] [CrossRef]
- Márquez Damián, S. Description and Utilization of InterFoam Multiphase Solver. Universidad Nacional del Litoral, Argentina. Available online: http://infofich.unl.edu.ar/upload/5e6dfd7ff282e2deabe7447979a16d49b0b1b675.pdf (accessed on 1 February 2019).
- Raeini, A.Q.; Blunt, M.J.; Bijeljic, B. Modelling two-phase flow in porous media at the pore scale using the volume-of-fluid method. J. Comp. Phys. 2012, 231, 5653–5668. [Google Scholar] [CrossRef]
- Jasak, H.; Weller, H.G. Interface-Tracking Capabilities of the InterGamma Differencing Scheme; Technical Report; Imperial College of Science, Technology and Medicine, University of London: London, UK, 1995. [Google Scholar]
- Krause, F.; Li, X.; Fritsching, U. Simulation of droplet-formation and -interaction in emulsification processes. Eng. Appl. Comput. Fluid Mech. 2011, 5, 406–415. [Google Scholar] [CrossRef]
- Peck, B.; Sigurdson, L. The vortex ring velocity resulting from an impacting water drop. Exp. Fluids 1995, 18, 351–357. [Google Scholar] [CrossRef]













| Case | D (mm) | w (m/s) | L0/D | S | We | Fr |
|---|---|---|---|---|---|---|
| A | 2.27 | 1.0 | 2.0 | 0.97 | 32 | 45 |
| B | 2.29 | 1.4 | 2.0 | 0.97 | 63 | 87 |
| C | 2.32 | 2.0 | 2.0 | 0.98 | 130 | 176 |
© 2019 by the authors. Licensee MDPI, Basel, Switzerland. This article is an open access article distributed under the terms and conditions of the Creative Commons Attribution (CC BY) license (http://creativecommons.org/licenses/by/4.0/).
Share and Cite
Guilizzoni, M.; Santini, M.; Fest-Santini, S. Synchronized Multiple Drop Impacts into a Deep Pool. Fluids 2019, 4, 141. https://doi.org/10.3390/fluids4030141
Guilizzoni M, Santini M, Fest-Santini S. Synchronized Multiple Drop Impacts into a Deep Pool. Fluids. 2019; 4(3):141. https://doi.org/10.3390/fluids4030141
Chicago/Turabian StyleGuilizzoni, Manfredo, Maurizio Santini, and Stephanie Fest-Santini. 2019. "Synchronized Multiple Drop Impacts into a Deep Pool" Fluids 4, no. 3: 141. https://doi.org/10.3390/fluids4030141
APA StyleGuilizzoni, M., Santini, M., & Fest-Santini, S. (2019). Synchronized Multiple Drop Impacts into a Deep Pool. Fluids, 4(3), 141. https://doi.org/10.3390/fluids4030141

