Extracellular Phosphate Availability Impacts Aspergillus terreus Itaconic Acid Fermentation via Biomass-Specific Product Yield
Abstract
1. Introduction
2. Materials and Methods
2.1. Fungal Strain and Cultivation Conditions
2.2. Analytical Methods
2.3. Total RNA Isolation
2.4. Reverse Transcription Polymerase Chain Reaction (RT-PCR) and cDNA Sequencing
2.5. Quantitative PCR Analysis
2.6. Reproducibility
3. Results
3.1. Setting Up the Experimental System
3.2. Kinetics of Phosphate Ion Depletion
3.3. High Phosphate Increases Biomass Formation, D-Xylose Consumption but Not Itaconic Acid Accumulation, and Does Not Influence Fungal Morphology
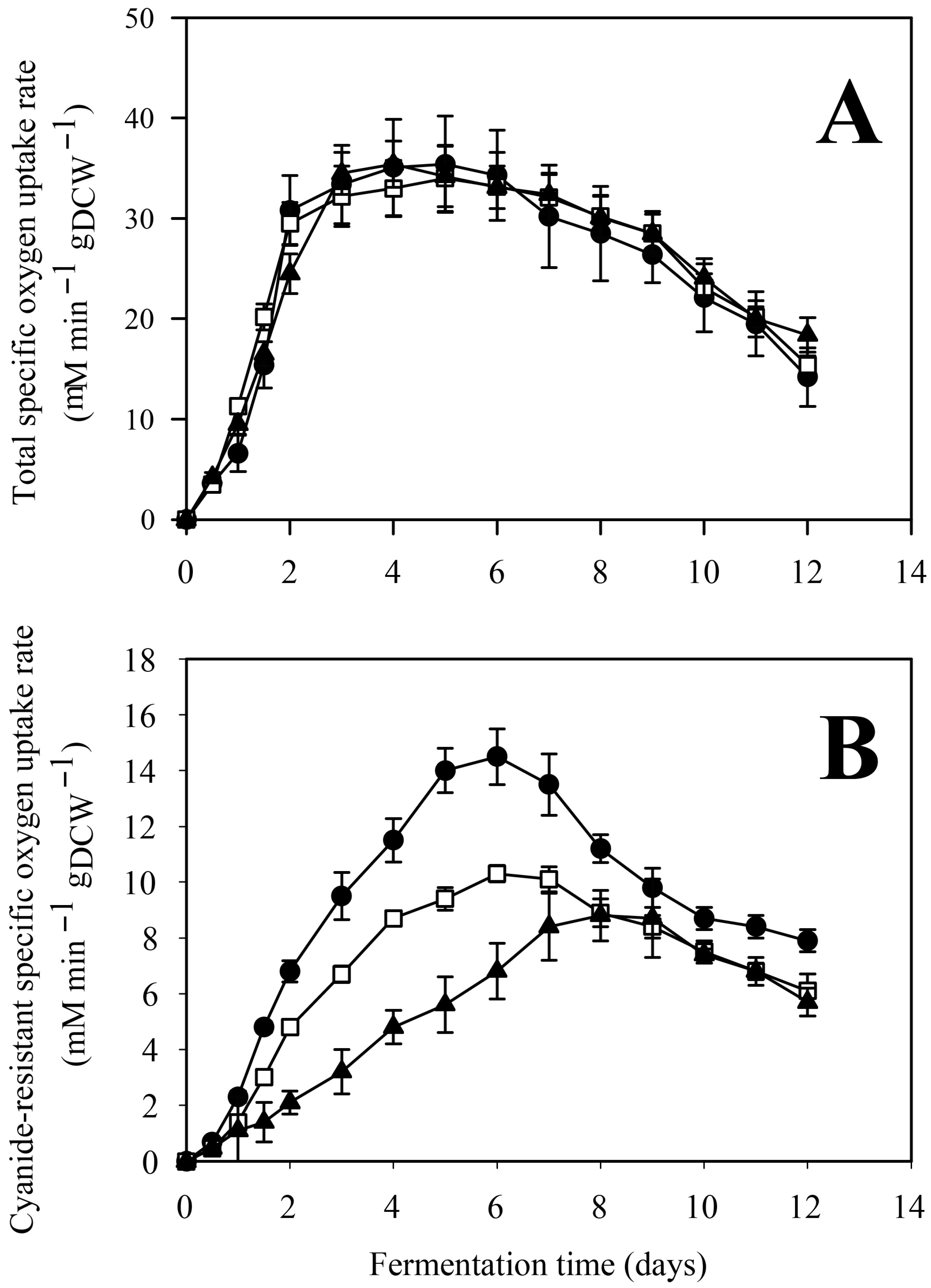
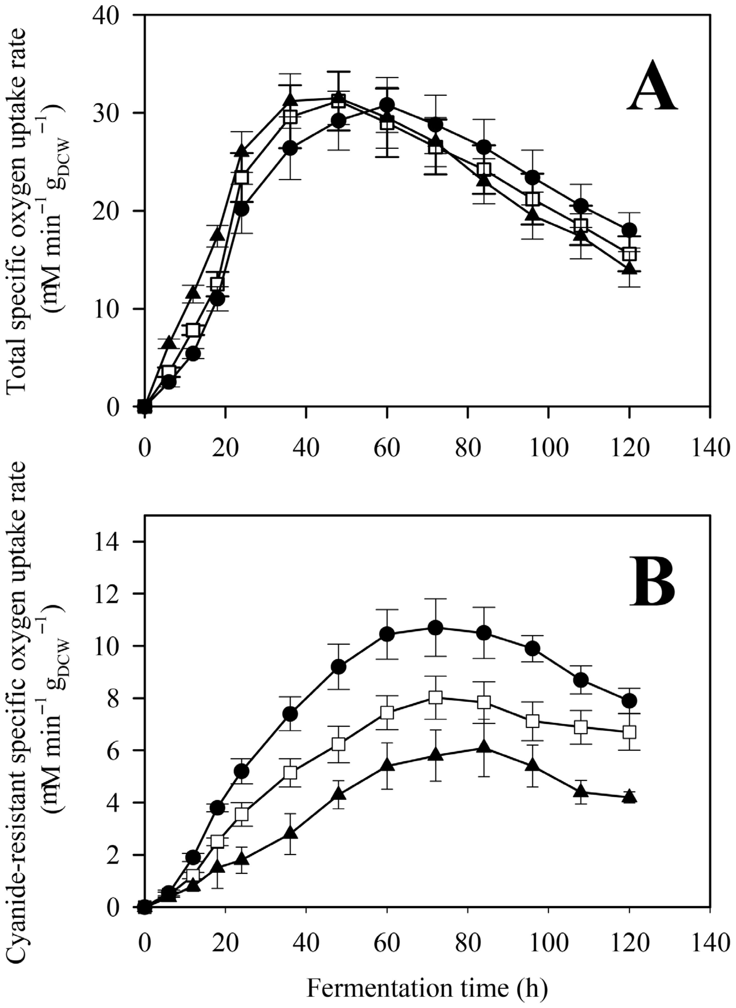
3.4. Initial Phosphate Concentration Inversely Correlates to the Expression and Activity of the Alternative Oxidase
3.5. Effect of the Initial Phosphate Concentration Using D-Glucose as a Sole Carbon Source
4. Discussion
Supplementary Materials
Author Contributions
Funding
Institutional Review Board Statement
Informed Consent Statement
Data Availability Statement
Acknowledgments
Conflicts of Interest
References
- Okabe, M.; Lies, D.; Kanamasa, S.; Park, E.Y. Biotechnological production of itaconic acid and its biosynthesis in Aspergillus terreus. Appl. Microbiol. Biotechnol. 2009, 84, 597–606. [Google Scholar] [CrossRef] [PubMed]
- Kuenz, A.; Krull, S. Biotechnological production of itaconic acid—Things you have to know. Appl. Microbiol. Biotechnol. 2018, 102, 3901–3914. [Google Scholar] [CrossRef]
- Kuenz, A.; Gallenmüller, Y.; Willke, T.; Vorlop, K.D. Microbial production of itaconic acid: Developing a stable platform for high product concentrations. Appl. Microbiol. Biotechnol. 2012, 96, 1209–1216. [Google Scholar] [CrossRef]
- Sano, M.; Tanaka, T.; Ohara, H.; Aso, Y. Itaconic acid derivatives: Structure, function, biosynthesis, and perspectives. Appl. Microbiol. Biotechnol. 2020, 104, 9041–9051. [Google Scholar] [CrossRef] [PubMed]
- Sollka, L.; Lienkamp, K. Progress in the free and controlled radical homo- and co-polymerization of itaconic acid derivatives: Toward functional polymers with controlled molar mass distribution and architecture. Macromol. Rapid Commun. 2021, 42, e2000546. [Google Scholar] [CrossRef]
- Wierckx, N.; Agrimi, G.; Lübeck, P.S.; Steiger, M.G.; Mira, N.P.; Punt, P.J. Metabolic specialization in itaconic acid production: A tale of two fungi. Curr. Opin. Biotechnol. 2020, 62, 153–159. [Google Scholar] [CrossRef]
- Gopaliya, D.; Kumar, V.; Khare, S.K. Recent advances in itaconic acid production from microbial cell factories. Biocatal. Agric. Biotechnol. 2021, 36, 102130. [Google Scholar] [CrossRef]
- Karaffa, L.; Kubicek, C.P. Citric acid and itaconic acid accumulation: Variations of the same story? Appl. Microbiol. Biotechnol. 2019, 103, 2889–2902. [Google Scholar] [CrossRef] [PubMed]
- Willke, T.; Vorlop, K.D. Biotechnological production of itaconic acid. Appl. Microbiol. Biotechnol. 2001, 56, 289–295. [Google Scholar] [CrossRef]
- Li, A.; van Luijk, N.; ter Beek, M.; Caspers, M.; Punt, P.; van der Werf, M. A clone-based transcriptomics approach for the identification of genes relevant for itaconic acid production in Aspergillus. Fungal Genet. Biol. 2011, 48, 602–611. [Google Scholar] [CrossRef]
- Karaffa, L.; Díaz, R.; Papp, B.; Fekete, E.; Sándor, E.; Kubicek, C.P. A deficiency of manganese ions in the presence of high sugar concentrations is the critical parameter for achieving high yields of itaconic acid by Aspergillus terreus. Appl. Microbiol. Biotechnol. 2015, 99, 7937–7944. [Google Scholar] [CrossRef] [PubMed]
- Karaffa, L.; Fekete, E.; Kubicek, C.P. The role of metal ions in fungal organic acid accumulation. Microorganisms 2021, 9, 1267. [Google Scholar] [CrossRef] [PubMed]
- Kubicek, C.P.; Punt, P.; Visser, J. Production of organic acids by filamentous fungi. In The Mycota X: Industrial Applications; Hofrichter, M., Ed.; Springer: Berlin/Heidelberg, Germany; New York, NY, USA, 2010; pp. 215–234. [Google Scholar] [CrossRef]
- Sándor, E.; Kolláth, I.S.; Fekete, E.; Bíró, V.; Flipphi, M.; Kovács, B.; Kubicek, C.P.; Karaffa, L. Carbon-source dependent interplay of copper and manganese ions modulates the morphology and itaconic acid production in Aspergillus terreus. Front. Microbiol. 2021, 12, 680420. [Google Scholar] [CrossRef] [PubMed]
- Molnár, Á.P.; Németh, Z.; Kolláth, I.S.; Fekete, E.; Flipphi, M.; Ág, N.; Soós, Á.; Kovács, B.; Sándor, E.; Kubicek, C.P.; et al. High oxygen tension increases itaconic acid accumulation, glucose consumption, and the expression and activity of alternative oxidase in Aspergillus terreus. Appl. Microbiol. Biotechnol. 2018, 102, 8799–8808. [Google Scholar] [CrossRef]
- Nemestóthy, N.; Bakonyi, P.; Komáromy, P.; Bélafi-Bakó, K. Evaluating aeration and stirring effects to improve itaconic acid production from glucose using Aspergillus terreus. Biotechnol. Lett. 2019, 41, 1383–1389. [Google Scholar] [CrossRef]
- Kubicek, C.P.; Zehentgruber, O.; El-Kalak, H.; Röhr, M. Regulation of citric acid production by oxygen: The effect of dissolved oxygen tension on adenylate levels and respiration in Aspergillus niger. Eur. J. Appl. Microbiol. Biotechnol. 1980, 9, 101–115. [Google Scholar] [CrossRef]
- Joseph-Horne, T.; Hollomon, D.W.; Wood, P.M. Fungal respiration: A fusion of standard and alternative components. Biochim. Biophys. Acta 2001, 1504, 179–195. [Google Scholar] [CrossRef]
- Young, L.; Shiba, T.; Harada, S.; Kita, K.; Albury, M.S.; Moore, A.L. The alternative oxidases: Simple oxidoreductase proteins with complex functions. Biochem. Soc. Trans. 2013, 41, 1305–1311. [Google Scholar] [CrossRef]
- Krull, S.; Hevekerl, A.; Kuenz, A.; Prüße, U. Process development of itaconic acid production by a natural wild type strain of Aspergillus terreus to reach industrially relevant final titers. Appl. Microbiol. Biotechnol. 2017, 101, 4063–4072. [Google Scholar] [CrossRef]
- Saha, B.C.; Kennedy, G.J. Phosphate limitation alleviates the inhibitory effect of manganese on itaconic acid production by Aspergillus terreus. Biocatal. Agric. Biotechnol. 2019, 18, 101016. [Google Scholar] [CrossRef]
- Saha, B.C.; Kennedy, G.J. Efficient itaconic acid production by Aspergillus terreus: Overcoming the strong inhibitory effect of manganese. Biotechnol. Prog. 2020, 36, e2939. [Google Scholar] [CrossRef]
- Cunha da Cruz, J.; Machado de Castro, A.; Camporese Sérvulo, E.F. World market and biotechnological production of itaconic acid. 3 Biotech 2018, 8, 138. [Google Scholar] [CrossRef]
- Kawaguchi, H.; Takada, K.; Elkasaby, T.; Pangestu, R.; Toyoshima, M.; Kahar, P.; Ogino, C.; Kaneko, T.; Kondo, A. Recent advances in lignocellulosic biomass white biotechnology for bioplastics. Bioresour. Technol. 2022, 344, 126165. [Google Scholar] [CrossRef]
- Nascimento, M.F.; Marques, N.; Correia, J.; Faria, N.T.; Mira, N.P.; Ferreira, F.C. Integrated perspective on microbe-based production of itaconic acid: From metabolic and strain engineering to upstream and downstream strategies. Process Biochem. 2022, 117, 53–67. [Google Scholar] [CrossRef]
- Teleky, B.-E.; Vodnar, D.C. Recent advances in biotechnological itaconic acid production, and application for a sustainable approach. Polymers 2021, 13, 3574. [Google Scholar] [CrossRef]
- Yang, H.; Shi, Z.; Xu, G.; Qin, Y.; Deng, J.; Yang, J. Bioethanol production from bamboo with alkali-catalyzed liquid hot water pretreatment. Bioresour. Technol. 2019, 274, 261–266. [Google Scholar] [CrossRef] [PubMed]
- Yang, J.; Xu, H.; Jiang, J.; Zhang, N.; Xie, J.; Zhao, J.; Bu, Q.; Wei, M. Itaconic acid production from undetoxified enzymatic hydrolysate of bamboo residues using Aspergillus terreus. Bioresour. Technol. 2020, 307, 123208. [Google Scholar] [CrossRef] [PubMed]
- Saha, B.C. Hemicellulose bioconversion. J. Ind. Microbiol. Biotechnol. 2003, 30, 279–291. [Google Scholar] [CrossRef]
- Kolláth, I.S.; Molnár, Á.P.; Soós, Á.; Fekete, E.; Sándor, E.; Kovács, B.; Kubicek, C.P.; Karaffa, L. Manganese deficiency is required for high itaconic acid production from D-xylose in Aspergillus terreus. Front. Microbiol. 2019, 10, 1589. [Google Scholar] [CrossRef] [PubMed]
- Kozma, J.; Karaffa, L. Effect of oxygen on the respiratory system and cephalosporin-C production in Acremonium chrysogenum. J. Biotechnol. 1996, 48, 59–66. [Google Scholar] [CrossRef]
- Fekete, E.; Karaffa, L.; Sándor, E.; Seiboth, B.; Biró, S.; Szentirmai, A.; Kubicek, C.P. Regulation of formation of the intracellular beta-galactosidase activity of Aspergillus nidulans. Arch. Microbiol. 2002, 179, 7–14. [Google Scholar] [CrossRef]
- Gonzalez, J.E.; Long, C.P.; Antoniewicz, M.R. Comprehensive analysis of glucose and xylose metabolism in Escherichia coli under aerobic and anaerobic conditions by 13C metabolic flux analysis. Metab. Eng. 2017, 39, 9–18. [Google Scholar] [CrossRef]
- Molnár, Á.P.; Németh, Z.; Fekete, E.; Flipphi, M.; Keller, N.P.; Karaffa, L. Analysis of the relationship between alternative respiration and sterigmatocystin formation in Aspergillus nidulans. Toxins 2018, 10, 168. [Google Scholar] [CrossRef] [PubMed]
- Fekete, E.; Orosz, A.; Kulcsár, L.; Kavalecz, N.; Flipphi, M.; Karaffa, L. Characterization of a second physiologically relevant lactose permease gene (lacpB) in Aspergillus nidulans. Microbiology 2016, 162, 837–847. [Google Scholar] [CrossRef]
- Reinfurt, A.; Fritsche, S.; Bíró, V.; Márton, A.; Ellena, V.; Fekete, E.; Sándor, E.; Karaffa, L.; Steiger, M.G. Manganese(II) ions suppress the transcription of the citrate exporter encoding gene cexA in Aspergillus niger. Front. Bioeng. Biotechnol. 2023, 11, 1292337. [Google Scholar] [CrossRef] [PubMed]
- Pfaffl, M.W. A new mathematical model for relative quantification in real-time RT-PCR. Nucleic Acids Res. 2001, 29, e45. [Google Scholar] [CrossRef]
- Batti, M.L.; Schweigert, L.B. Process for the Production of Itaconic Acid. U.S. Patent 3,078,217, 19 February 1963. [Google Scholar]
- Hevekerl, A.; Kuenz, A.; Vorlop, K.D. Filamentous fungi in microtiter plates—An easy way to optimize itaconic acid production with Aspergillus terreus. Appl. Microbiol. Biotechnol. 2014, 98, 6983–6989. [Google Scholar] [CrossRef]
- Kautola, H.; Vahvaselkä, M.; Linko, Y.-Y.; Linko, P. Itaconic acid production by immobilized Aspergillus terreus from xylose and glucose. Biotechnol. Lett. 1985, 7, 167–172. [Google Scholar] [CrossRef]
- Kreyenschulte, D.; Heyman, B.; Eggert, A.; Maßmann, T.; Kalvelage, C.; Kossack, R.; Regestein, L.; Jupke, A.; Büchs, J. In situ reactive extraction of itaconic acid during fermentation of Aspergillus terreus. Biochem. Eng. J. 2018, 135, 133–141. [Google Scholar] [CrossRef]
- Petruccioli, M.; Pulci, V.; Federici, F. Itaconic acid production by Aspergillus terreus on raw starchy materials. Lett. Appl. Microbiol. 1999, 28, 309–312. [Google Scholar] [CrossRef]
- Saha, B.C.; Kennedy, G.J.; Bowman, M.J.; Qureshi, N.; Dunn, R.O. Factors affecting production of itaconic acid from mixed sugars by Aspergillus terreus. Appl. Biochem. Biotechnol. 2019, 187, 449–460. [Google Scholar] [CrossRef]
- Bafana, R.; Pandey, R.A. New approaches for itaconic acid production: Bottlenecks and possible remedies. Crit. Rev. Biotechnol. 2018, 38, 68–82. [Google Scholar] [CrossRef] [PubMed]
- Beever, R.E.; Burns, D.J. Adaptive changes in phosphate uptake by the fungus Neurospora crassa in response to phosphate supply. J. Bacteriol. 1977, 132, 520–525. [Google Scholar] [CrossRef]
- King, W.R.; Acosta-Zaldívar, M.; Qi, W.; Cherico, N.; Cooke, L.; Köhler, J.R.; Patton-Vogt, J. Glycerophosphocholine provision rescues Candida albicans growth and signaling phenotypes associated with phosphate limitation. mSphere 2023, 8, e0023123. [Google Scholar] [CrossRef] [PubMed]
- Liang, H.; Gao, D.W.; Zeng, Y.G. Effects of phosphorus concentration on the growth and enzyme production of Phanerochaete chrysosporium. Bioresour. Technol. 2012, 107, 535–538. [Google Scholar] [CrossRef]
- Vrabl, P.; Schinagl, C.W.; Artmann, D.J.; Heiss, B.; Burgstaller, W. Fungal growth in batch culture—What we could benefit if we start looking closer. Front. Microbiol. 2019, 10, 2391. [Google Scholar] [CrossRef]
- Klement, T.; Büchs, J. Itaconic acid—A biotechnological process in change. Bioresour. Technol. 2013, 135, 422–431. [Google Scholar] [CrossRef] [PubMed]
- Bertels, L.K.; Fernández Murillo, L.; Heinisch, J.J. The pentose phosphate pathway in yeasts-more than a poor cousin of glycolysis. Biomolecules 2021, 11, 725. [Google Scholar] [CrossRef]
- Nijland, J.G.; Zhang, X.; Driessen, A.J.M. D-xylose accelerated death of pentose metabolizing Saccharomyces cerevisiae. Biotechnol. Biofuels Bioprod. 2023, 16, 67. [Google Scholar] [CrossRef]
- Nolfi-Donegan, D.; Braganza, A.; Shiva, S. Mitochondrial electron transport chain: Oxidative phosphorylation, oxidant production, and methods of measurement. Redox Biol. 2020, 37, 101674. [Google Scholar] [CrossRef]
- Bonora, M.; Patergnani, S.; Rimessi, A.; De Marchi, E.; Suski, J.M.; Bononi, A.; Giorgi, C.; Marchi, S.; Missiroli, S.; Poletti, F.; et al. ATP synthesis and storage. Purinergic Signal. 2012, 8, 343–357. [Google Scholar] [CrossRef]
- Xiao, W.; Loscalzo, J. Metabolic responses to reductive stress. Antioxid. Redox Signal. 2020, 32, 1330–1347. [Google Scholar] [CrossRef] [PubMed]
- Li, J.; Yang, S.; Wu, Y.; Wang, R.; Liu, Y.; Liu, J.; Ye, Z.; Tang, R.; Whiteway, M.; Lv, Q.; et al. Alternative oxidase: From molecule and function to future inhibitors. ACS Omega 2024, 9, 12478–12499. [Google Scholar] [CrossRef]
- Vanlerberghe, G.C. Alternative oxidase: A mitochondrial respiratory pathway to maintain metabolic and signaling homeostasis during abiotic and biotic stress in plants. Int. J. Mol. Sci. 2013, 14, 6805–6847. [Google Scholar] [CrossRef] [PubMed]
- Ortíz, J.; Sanhueza, C.; Romero-Munar, A.; Hidalgo-Castellanos, J.; Castro, C.; Bascuñán-Godoy, L.; Coba de la Peña, T.; López-Gómez, M.; Florez-Sarasa, I.; Del-Saz, N.F. In vivo metabolic regulation of alternative oxidase under nutrient deficiency—Interaction with arbuscular mycorrhizal fungi and Rhizobium bacteria. Int. J. Mol. Sci. 2020, 21, 4201. [Google Scholar] [CrossRef]
- Papagianni, M. Fungal morphology and metabolite production in submerged mycelial processes. Biotechnol. Adv. 2004, 22, 189–259. [Google Scholar] [CrossRef] [PubMed]
- Upton, D.J.; McQueen-Mason, S.J.; Wood, A.J. An accurate description of Aspergillus niger organic acid batch fermentation through dynamic metabolic modelling. Biotechnol. Biofuels 2017, 10, 258. [Google Scholar] [CrossRef] [PubMed]
- Cairns, T.C.; Zheng, X.; Zheng, P.; Sun, J.; Meyer, V. Moulding the mould: Understanding and reprogramming filamentous fungal growth and morphogenesis for next generation cell factories. Biotechnol. Biofuels 2019, 12, 77. [Google Scholar] [CrossRef]
- Veiter, L.; Rajamanickam, V.; Herwig, C. The filamentous fungal pellet-relationship between morphology and productivity. Appl. Microbiol. Biotechnol. 2018, 102, 2997–3006. [Google Scholar] [CrossRef]
- Ciliberti, C.; Lazar, Z.; Szymański, K.; Yuzbasheva, E.; Yuzbashev, T.; Laptev, I.; Palmieri, L.; Pisano, I.; Agrimi, G. Enhancing selective itaconic acid synthesis in Yarrowia lipolytica through targeted metabolite transport reprogramming. Biotechnol. Biofuels Bioprod. 2025, 18, 65. [Google Scholar] [CrossRef]
- Fu, J.; Zaghen, S.; Lu, H.; Konzock, O.; Poorinmohammad, N.; Kornberg, A.; Ledesma-Amaro, R.; Koseto, D.; Wentzel, A.; Di Bartolomeo, F.; et al. Reprogramming Yarrowia lipolytica metabolism for efficient synthesis of itaconic acid from flask to semipilot scale. Sci. Adv. 2024, 10, eadn0414. [Google Scholar] [CrossRef] [PubMed]
- Niehoff, P.J.; Müller, W.; Pastoors, J.; Miebach, K.; Ernst, P.; Hemmerich, J.; Noack, S.; Wierckx, N.; Büchs, J. Development of an itaconic acid production process with Ustilaginaceae on alternative feedstocks. BMC Biotechnol. 2023, 23, 34. [Google Scholar] [CrossRef]
- Rong, L.; Miao, L.; Wang, S.; Wang, Y.; Liu, S.; Lu, Z.; Zhao, B.; Zhang, C.; Xiao, D.; Pushpanathan, K.; et al. Engineering Yarrowia lipolytica to produce itaconic acid from waste cooking oil. Front. Bioeng. Biotechnol. 2022, 10, 888869. [Google Scholar] [CrossRef] [PubMed]
- Severinsen, M.M.; Bachleitner, S.; Modenese, V.; Ata, Ö.; Mattanovich, D. Efficient production of itaconic acid from the single-carbon substrate methanol with engineered Komagataella phaffii. Biotechnol. Biofuels Bioprod. 2024, 17, 98. [Google Scholar] [CrossRef] [PubMed]









| Initial Carbon Source | D-Xylose: 50.4 g L−1 | D-Glucose: 120.4 g L−1 | ||||
|---|---|---|---|---|---|---|
| Initial Phosphate Ion | ||||||
| Parameters | 40 mg L−1 | 100 mg L−1 | 800 mg L−1 | 40 mg L−1 | 100 mg L−1 | 800 mg L−1 |
| DCWmax. (g/L) | 4.6 | 5.1 | 7.57 | 14.6 | 18.5 | 22.4 |
| Biomass yield (Yx/s) | 9.1% | 10.1% | 15.01% | 12.1% | 15.4% | 18.6% |
| Itaconatemax. (g/L) | 24.6 | 28.5 | 21.6 | 68.3 | 71.6 | 63.5 |
| Molar itaconate yield (mol/mol) | 0.56 | 0.65 | 0.49 | 0.79 | 0.82 | 0.73 |
| Theoretical carbon required for DCW | 4.6/0.34 = 13.5 | 5.1/0.34 = 15 | 7.57/0.34 = 22.3 | 14.6/0.45 = 33.4 | 18.5/0.45 = 41.1 | 22.4/0.45 = 49.8 |
| Theoretical carbon required for IA | 24.6/0.72 = 34.2 | 28.5/0.72 = 39.6 | 21.6/0.72 = 30 | 68.3/0.72 = 94.9 | 71.6/0.72 = 99.4 | 63.5/0.72 = 88.2 |
| Overall theoretical carbon requirement (g/L) | 13.5 + 34.2 = 47.7 | 15 + 39.6 = 54.6 | 22.3 + 30 = 52.3 | 33.4 + 94.9 = 128.3 | 41.1 + 99.4 = 140.8 | 49.8 + 88.2 = 138 |
| Carbon balance, % (theoretical/consumed) | 47.7/50.4 = 94.6 | 54.6/50.4 = 108.3 | 52.3/50.4 = 103.7 | 128.3/120.4 = 106.5 | 140.8/120.4 = 116.9 | 138/120.4 = 114.6 |
| KH2PO4 Concentration (g L−1) | Volumetric IA Yield (g L−1) | Specific Molar IA Yield (Yp/s) | Maximal Biomass Concentration (DCW) (g L−1) | Fermentation Duration (h) | Overall D-Xylose Utilization Rate (g L−1 h−1) | Overall IA Production Rate (g L−1 h−1) |
|---|---|---|---|---|---|---|
| 0.04 | 24.6 ± 2.1 | 0.57 ± 0.04 | 4.60 ± 0.8 | 132 | 0.38 | 0.19 ± 0.02 |
| 0.10 | 28.5 ± 2.0 | 0.66 ± 0.04 | 5.10 ± 0.8 | 120 | 0.42 | 0.23 ± 0.02 |
| 0.80 | 21.6 ± 1.8 | 0.50 ± 0.04 | 7.57 ± 0.6 | 108 | 0.46 | 0.20 ± 0.02 |
Disclaimer/Publisher’s Note: The statements, opinions and data contained in all publications are solely those of the individual author(s) and contributor(s) and not of MDPI and/or the editor(s). MDPI and/or the editor(s) disclaim responsibility for any injury to people or property resulting from any ideas, methods, instructions or products referred to in the content. |
© 2025 by the authors. Licensee MDPI, Basel, Switzerland. This article is an open access article distributed under the terms and conditions of the Creative Commons Attribution (CC BY) license.
Share and Cite
Molnár, Á.P.; Bakondi-Kovács, I.; Bíró, V.; Márton, A.; Kolláth, I.S.; Fekete, E.; Ág, N.; Sándor, E.; Csótó, A.; Kovács, B.; et al. Extracellular Phosphate Availability Impacts Aspergillus terreus Itaconic Acid Fermentation via Biomass-Specific Product Yield. J. Fungi 2026, 12, 14. https://doi.org/10.3390/jof12010014
Molnár ÁP, Bakondi-Kovács I, Bíró V, Márton A, Kolláth IS, Fekete E, Ág N, Sándor E, Csótó A, Kovács B, et al. Extracellular Phosphate Availability Impacts Aspergillus terreus Itaconic Acid Fermentation via Biomass-Specific Product Yield. Journal of Fungi. 2026; 12(1):14. https://doi.org/10.3390/jof12010014
Chicago/Turabian StyleMolnár, Ákos P., István Bakondi-Kovács, Vivien Bíró, Alexandra Márton, István S. Kolláth, Erzsébet Fekete, Norbert Ág, Erzsébet Sándor, András Csótó, Béla Kovács, and et al. 2026. "Extracellular Phosphate Availability Impacts Aspergillus terreus Itaconic Acid Fermentation via Biomass-Specific Product Yield" Journal of Fungi 12, no. 1: 14. https://doi.org/10.3390/jof12010014
APA StyleMolnár, Á. P., Bakondi-Kovács, I., Bíró, V., Márton, A., Kolláth, I. S., Fekete, E., Ág, N., Sándor, E., Csótó, A., Kovács, B., Kubicek, C. P., & Karaffa, L. (2026). Extracellular Phosphate Availability Impacts Aspergillus terreus Itaconic Acid Fermentation via Biomass-Specific Product Yield. Journal of Fungi, 12(1), 14. https://doi.org/10.3390/jof12010014

