Effects of Temperature on the Pharmacokinetics, Tissue Residues, and Withdrawal Times of Doxycycline in Rainbow Trout (Oncorhynchus mykiss) following Oral Administration
Abstract
Simple Summary
Abstract
1. Introduction
2. Materials and Methods
2.1. Chemicals
2.2. Animals
2.3. Experimental Design
2.4. Analytical Method
2.5. Pharmacokinetic Analysis
2.6. Withdrawal Time Analysis
2.7. Statistical Analysis
3. Results
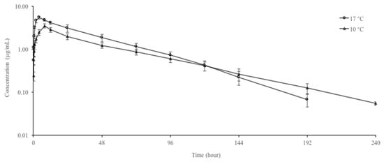
3.1. Pharmacokinetic Study
3.2. Residue Depletion Study and WT Estimation
4. Discussion
5. Conclusions
Author Contributions
Funding
Institutional Review Board Statement
Informed Consent Statement
Data Availability Statement
Acknowledgments
Conflicts of Interest
References
- Vignesh, R.; Karthikeyan, B.; Periyasamy, N.; Devanathan, K. Antibiotics in aquaculture: An overview. South Asian J. Exp. Biol. 2011, 1, 114–120. [Google Scholar] [CrossRef]
- FAO. The State of World Fisheries and Aquaculture—Opportunities and Challenges; FAO: Rome, Italy, 2014; Available online: http://www.fao.org/3/a-i3720e.pdf (accessed on 15 April 2023).
- Uney, K.; Terzi, E.; Durna Corum, D.; Ozdemir, R.C.; Bilen, S.; Corum, O. Pharmacokinetics and pharmacokinetic/pharmacodynamic integration of enrofloxacin following single oral administration of different doses in brown trout (Salmo trutta). Animals 2021, 11, 3086. [Google Scholar] [CrossRef] [PubMed]
- Quesada, S.P.; Paschoal, J.A.; Reyes, F.G. Considerations on the aquaculture development and on the use of veterinary drugs: Special issue for fluoroquinolones—A review. J. Food Sci. 2013, 78, 1321–1333. [Google Scholar] [CrossRef]
- Xu, N.; Li, M.; Fu, Y.; Zhang, X.; Ai, X.; Lin, Z. Tissue residue depletion kinetics and withdrawal time estimation of doxycycline in grass carp, Ctenopharyngodon idella, following multiple oral administrations. Food Chem. Toxicol. 2019, 131, 110592. [Google Scholar] [CrossRef]
- Baynes, R.E.; Dedonder, K.; Kissell, L.; Mzyk, D.; Marmulak, T.; Smith, G.; Tell, L.; Gehring, R.; Davis, J.; Riviere, J.E. Health concerns and management of select veterinary drug residues. Food Chem. Toxicol. 2016, 88, 112–122. [Google Scholar] [CrossRef]
- Corum, O.; Er, A.; Corum, D.D.; Atik, O.; Uney, K. Pharmacokinetics and bioavailability of ceftriaxone in brown trout (Salmo trutta fario) after intravenous and intramuscular administration. Aquaculture 2019, 500, 272–277. [Google Scholar] [CrossRef]
- TUIK. 2022. Available online: https://data.tuik.gov.tr/Bulten/Index?p=Su-Urunleri-2021-45745 (accessed on 15 April 2023).
- FAO. Global Production Statistics 1950–2017. 2022. Available online: http://www.fao.org/Fishery/Statistics/Global-Production/Query/En (accessed on 15 April 2023).
- Toranzo, A.E. Report about fish bacterial diseases. 2004. In Mediterranean Aquaculture Diagnostic Laboratories; Alvarez-Pellitero, P., Barja, J.L., Basurco, B., Berthe, F., Toranzo, A.E., Eds.; CIHEAM: Zaragoza, Spain, 2004; pp. 49–89. [Google Scholar]
- Holmes, N.E.; Charles, P.G.P. Safety and Efficacy Review of Doxycycline. Clin. Med. Ther. 2009, 1, 471–482. [Google Scholar] [CrossRef]
- Nguyen, F.; Starosta, A.; Arenz, S.; Sohmen, D.; Dönhöfer, A.; Wilson, D.N. Tetracycline antibiotics and resistance mechanisms. Biol. Chem. 2014, 395, 559–575. [Google Scholar] [CrossRef]
- Saivin, S.; Houin, G. Clinical pharmacokinetics of doxycycline and minocycline. Clin. Pharmacokinet. 1988, 15, 355–366. [Google Scholar] [CrossRef]
- Committee for Medicinal Products, Doxycycline Hyclate, Summary Report. 1996. Available online: https://www.ema.europa.eu/en/documents/mrl-report/doxycycline-hyclate-summary-report-committee-veterinary-medicinal-products_en.pdf (accessed on 15 April 2023).
- Xu, N.; Fu, Y.; Cheng, B.; Liu, Y.; Yang, Q.; Dong, J.; Yang, Y.; Zhou, S.; Song, Y.; Ai, X. The pharmacokinetics of doxycycline in channel catfish (Ictalurus punctatus) following intravenous and oral administrations. Front. Vet. Sci. 2020, 7, 577234. [Google Scholar] [CrossRef]
- Xu, N.; Li, M.; Ai, X.; Lin, Z. Determination of pharmacokinetic and pharmacokinetic-pharmacodynamic parameters of doxycycline against Edwardsiella ictaluri in yellow catfish (Pelteobagrus fulvidraco). Antibiotics 2021, 10, 329. [Google Scholar] [CrossRef]
- EU. Commission Regulation (EU) 2015/151 of 30 January 2015 Amending the Annex to Regulation (EU) No 37/2010 as Regards the Substance ‘Doxycycline’. Off. J. Eur. Union L 26/13. 2015. Available online: https://eur-lex.europa.eu/legal-content/EN/TXT/PDF/?uri=CELEX:32015R0151&from=EN (accessed on 15 April 2023).
- MAA. National Food Safety Standard (approval Draft)-Maximum Residue Limits for Veterinary Drugs in Animal Derived Food; Office of Agricultural Affairs: Beijing, China, 2017.
- Xu, N.; Li, M.; Fu, Y.U.; Zhang, X.; Dong, J.; Liu, Y.; Zhou, S.; Ai, X.; Lin, Z. Effect of temperature on plasma and tissue kinetics of doxycycline in grass carp (Ctenopharyngodon idella) after oral administration. Aquaculture 2019, 511, 734204. [Google Scholar] [CrossRef]
- Yang, F.; Yang, F.; Wang, G.; Kong, T.; Wang, H.; Zhang, C. Effects of water temperature on tissue depletion of florfenicol and its metabolite florfenicol amine in crucian carp (Carassius auratus gibelio) following multiple oral doses. Aquaculture 2020, 515, 734542. [Google Scholar] [CrossRef]
- Yang, F.; Yang, F.; Wang, G.; Kong, T.; Liu, B. Pharmacokinetics of florfenicol and its metabolite florfenicol amine in crucian carp (Carassius auratus) at three temperatures after single oral administration. Aquaculture 2019, 503, 446–451. [Google Scholar] [CrossRef]
- Yang, F.; Yang, F.; Wang, G.; Kong, T. Pharmacokinetics of doxycycline after oral administration of single and multiple dose in broiler chickens. J. Vet. Pharmacol. Ther. 2018, 41, 919–923. [Google Scholar] [CrossRef] [PubMed]
- Turk, E.; Corum, O.; Tekeli, I.O.; Sakin, F.; Uney, K. Effects of single and repeated doses on disposition and kinetics of doxycycline hyclate in goats. Animals 2020, 10, 1088. [Google Scholar] [CrossRef]
- European Medicines Agency. 2019. Available online: https://www.ema.europa.eu/en/documents/other/answer-request-european-com-mission-updating-scientific-advice-impact-public-health-ani-mal-health-use_en.pdf (accessed on 15 April 2023).
- Corum, O.; Terzi, E.; Corum, D.D.; Kenanoglu, O.N.; Bilen, S.; Uney, K. Pharmacokinetic/pharmacodynamic integration of marbofloxacin after oral and intravenous administration in rainbow trout (Oncorhynchus mykiss). Aquaculture 2020, 514, 734510. [Google Scholar] [CrossRef]
- Corum, O.; Terzi, E.; Durna Corum, D.; Tastan, Y.; Gonzales, R.C.; Kenanoglu, O.N.; Arriesgado, D.M.; Navarro, V.R.; Bilen, S.; Sonmez, A.Y.; et al. Plasma and muscle tissue disposition of enrofloxacin in Nile tilapia (Oreochromis niloticus) after intravascular, intraperitoneal, and oral administrations. Food Addit. Contam. 2022, 39, 1806–1817. [Google Scholar] [CrossRef]
- Durna Corum, D.; Corum, O.; Terzi, E.; Coskun, D.; Bilen, S.; Cetin, G.; Uney, K. Pharmacokinetics of cefquinome in rainbow trout (Oncorhynchus mykiss) after intravascular, intraperitoneal, and oral administrations. J. Vet. Pharmacol. Ther. 2022, 45, 578–583. [Google Scholar] [CrossRef] [PubMed]
- European Medicines Agency. 2018. Available online: https://www.ema.europa.eu/en/documents/scientific-guideline/guideline-determination-withdrawal-periods-edible-tissues-revision-1_en.pdf (accessed on 15 April 2023).
- European Medicines Agency. European public MRL Assessment Report (EPMAR) Doxycycline (All Food Producing Species). EMEA/CVMP/347870/2014. 2015. Available online: https://www.ema.europa.eu/en/documents/mrl-report/doxycycline-all-food-producing-species-european-public-maximum-residue-limit-assessment-report-epmar_en.pdf (accessed on 15 April 2023).
- Tekeli, I.O.; Turk, E.; Durna Corum, D.; Corum, O.; Kirgiz, F.C.; Uney, K. Pharmacokinetics, bioavailability and tissue residues of doxycycline in Japanese quails (Coturnix coturnix japonica) after oral administration. Food Addit. Contam. 2020, 37, 2082–2092. [Google Scholar] [CrossRef]
- Yang, F.; Li, Z.L.; Shan, Q.; Zeng, Z.L. Pharmacokinetics of doxycycline in tilapia (O reochromis aureus × O reochromis niloticus) after intravenous and oral administration. J. Vet. Pharmacol. Ther. 2014, 37, 388–393. [Google Scholar] [CrossRef]
- Ding, J.; Wang, K.; Ai, X.; Liu, Y.; Yuan, K.; Yuan, D. Studies on elimination regularity of doxycycline residues in Ictalurus punctatus at different temperatures. J. Fish. China 2009, 33, 672–678. [Google Scholar]
- Anonymous. 2023. Available online: https://thefishvet.com/2013/04/11/what-are-the-temperature-requirements-for-rainbow-trout-onchorhyncus-mykiss/ (accessed on 15 April 2023).
- Ibrahim, H.; Eleiwa, Z.H.; Galal, A.; El-Ekiaby, W.; Abd El Rahman, E.S. Pharmacokinetic properties of single doxycycline dose orally administered in the African catfish (Clarias gariepinus). Egypt. J. Aquat. Biol. Fish 2019, 23, 475–482. [Google Scholar] [CrossRef]
- Morrow, J.E.; Mauro, A. Body temperatures of some marine fishes. Copeia 1950, 1950, 108–116. [Google Scholar] [CrossRef]
- Barron, M.G.; Tarr, B.D.; Hayton, W.L. Temperature-dependence of cardiac output and regional blood flow in rainbow trout, Salmo gairdneri Richardson. J. Fish Biol. 1987, 31, 735–744. [Google Scholar] [CrossRef]
- Killen, S.S.; Atkinson, D.; Glazier, D.S. The intraspecific scaling of metabolic rate with body mass in fishes depends on lifestyle and temperature. Ecol. Lett. 2010, 13, 184–193. [Google Scholar] [CrossRef]
- Rigos, G.; Alexis, M.; Andriopoulou, A.; Nengas, I. Pharmacokinetics and tissue distribution of oxytetracycline in sea bass, Dicentrarchus labrax, at two water temperatures. Aquaculture 2002, 210, 59–67. [Google Scholar] [CrossRef]
- Liang, J.; Li, J.; Zhao, F.; Liu, P.; Chang, Z. Pharmacokinetics and tissue behavior of enrofloxacin and its metabolite ciprofloxacin in turbot Scophthalmus maximus at two water temperatures. Chin. J. Oceanol. Limnol. 2012, 30, 644. [Google Scholar] [CrossRef]
- Zhu, Y.L.; Tan, Y.P.; Wang, C.M.; Zhang, N.; Liu, Y.P.; Liu, L.N.; Li, C.M.; Lu, X.C.; Cao, J.Y. Pharmacokinetics and tissue residues of marbofloxacin in crucian carp (Carassius auratus) after oral administration. Aquac. Res. 2009, 40, 696–709. [Google Scholar] [CrossRef]
- Windell, J.T.; Kitchell, J.F.; Norris, D.O.; Norris, J.S.; Foltz, J.W. Temperature and rate of gastric evacuation by rainbow-trout, Salmo-Gairdneri. Trans. Am. Fish. Soc. 1976, 105, 712–717. [Google Scholar] [CrossRef]
- Rairat, T.; Hsieh, C.Y.; Thongpiam, W.; Sung, C.H.; Chou, C.C. Temperature-dependent pharmacokinetics of florfenicol in Nile tilapia (Oreochromis niloticus) fol- lowing single oral and intravenous administration. Aquaculture 2019, 503, 483–488. [Google Scholar] [CrossRef]
- Riviere, J.E.; Papich, M.G. Tetracycline antibiotics. In Veterinary Pharmacology and Therapeutics, 10th ed.; Riviere, J.E., Pahich, M.G., Eds.; John Wiley & Sons Inc.: Hoboken, NJ, USA, 2018. [Google Scholar]
- Agwuh, K.N.; Macgowan, A. Pharmacokinetics and pharmacodynamics of the tetracyclines including glycylcyclines. J. Antimicrob. Chemother. 2006, 58, 256–265. [Google Scholar] [CrossRef] [PubMed]



| Parameters | 10 °C | 17 °C | %GD * |
|---|---|---|---|
| t1/2ʎz (h) | 41.72 | 28.87 | −30.81 |
| AUC0–last (h * μg/mL) | 173.23 | 240.96 | 39.10 |
| AUC0–∞ (h * μg/mL) | 176.55 | 243.76 | 38.07 |
| AUCextrap (%) | 1.88 | 1.20 | |
| MRT0–∞ (h) | 60.42 | 46.01 | −23.85 |
| CL/F (L/h/kg) | 0.11 | 0.08 | −27.57 |
| Vdarea/F (L/kg) | 6.82 | 3.42 | −49.89 |
| Cmax (μg/mL) | 3.48 | 5.50 | 58.05 |
| Tmax (h) | 8 | 4 | −50.00 |
| Time (Days) | Plasma (µg/mL) | Liver (µg/g) | Kidney (µg/g) | Muscle and Skin (µg/g) |
|---|---|---|---|---|
| 0.04 | 5.06 ± 0.82 | 28.40 ± 2.35 | 18.63 ± 2.28 | 4.35 ± 0.75 |
| 0.5 | 5.93 ± 0.82 | 34.98 ± 2.82 | 23.21 ± 2.22 | 5.31 ± 0.64 |
| 1 | 5.13 ± 0.63 | 32.60 ± 1.68 | 20.25 ± 1.86 | 4.69 ± 0.54 |
| 2 | 4.28 ± 0.56 | 29.09 ± 1.94 | 18.02 ± 1.72 | 4.08 ± 0.48 |
| 3 | 3.18 ± 0.60 | 25.91 ± 2.78 | 15.13 ± 1.00 | 3.55 ± 0.44 |
| 4 | 2.39 ± 0.34 | 22.54 ± 2.22 | 12.22 ± 1.34 | 3.08 ± 0.44 |
| 5 | 1.82 ± 0.29 | 19.49 ± 2.45 | 9.79 ± 1.27 | 2.57 ± 0.41 |
| 6 | 1.36 ± 0.22 | 16.17 ± 2.39 | 7.61 ± 1.24 | 2.06 ± 0.32 |
| 8 | 0.99 ± 0.17 | 12.89 ± 2.03 | 5.71 ± 0.96 | 1.61 ± 0.29 |
| 10 | 0.72 ± 0.13 | 9.86 ± 1.59 | 4.20 ± 0.83 | 1.22 ± 0.23 |
| 15 | 0.38 ± 0.05 | 6.63 ± 1.04 | 2.54 ± 0.82 | 0.78 ± 0.13 |
| 20 | 0.15 ± 0.03 | 4.07 ± 0.77 | 1.46 ± 0.37 | 0.47 ± 0.09 |
| 25 | 0.07 ± 0.01 | 2.53 ± 0.60 | 0.81 ± 0.15 | 0.25 ± 0.07 |
| 30 | LLOQ | 1.53 ± 0.34 | 0.43 ± 0.09 | 0.12 ± 0.03 |
| 35 | LLOQ | 0.85 ± 0.20 | 0.22 ± 0.03 | 0.06 ± 0.02 |
| 40 | LLOQ | 0.44 ± 0.16 | 0.09 ± 0.01 | LLOQ |
| 50 | LLOQ | 0.09 ± 0.02 | LLOQ | LLOQ |
| Time (Days) | Plasma (µg/mL) | Liver (µg/g) | Kidney (µg/g) | Muscle and Skin (µg/g) |
|---|---|---|---|---|
| 0.04 | 6.84 ± 0.80 | 42.89 ± 5.61 | 22.66 ± 2.98 | 5.83 ± 0.91 |
| 0.5 | 8.06 ± 0.87 | 51.47 ± 5.80 | 32.01 ± 2.75 | 7.13 ± 0.97 |
| 1 | 6.76 ± 0.64 | 44.06 ± 4.85 | 27.44 ± 1.89 | 6.19 ± 0.83 |
| 2 | 5.59 ± 0.61 | 37.06 ± 4.69 | 21.67 ± 2.35 | 5.14 ± 0.73 |
| 3 | 4.26 ± 0.51 | 30.13 ± 3.50 | 17.33 ± 1.81 | 4.24 ± 0.56 |
| 4 | 3.19 ± 0.50 | 24.71 ± 2.68 | 13.69 ± 1.84 | 3.29 ± 0.47 |
| 5 | 2.30 ± 0.31 | 19.86 ± 2.60 | 10.12 ± 1.47 | 2.52 ± 0.37 |
| 6 | 1.71 ± 0.31 | 15.81 ± 2.35 | 6.82 ± 1.06 | 1.84 ± 0.23 |
| 8 | 1.20 ± 0.22 | 11.68 ± 1.43 | 4.66 ± 0.87 | 1.33 ± 0.19 |
| 10 | 0.76 ± 0.17 | 8.59 ± 1.22 | 3.19 ± 0.66 | 0.94 ± 0.10 |
| 15 | 0.32 ± 0.06 | 4.80 ± 0.97 | 1.68 ± 0.26 | 0.54 ± 0.09 |
| 20 | 0.13 ± 0.02 | 2.51 ± 0.42 | 1.04 ± 0.18 | 0.31 ± 0.05 |
| 25 | 0.04 ± 0.01 | 1.15 ± 0.19 | 0.55 ± 0.09 | 0.16 ± 0.03 |
| 30 | LLOQ | 0.56 ± 0.10 | 0.29 ± 0.03 | 0.07 ± 0.01 |
| 35 | LLOQ | 0.25 ± 0.05 | 0.14 ± 0.02 | LLOQ |
| 40 | LLOQ | 0.08 ± 0.03 | 0.05 ± 0.01 | LLOQ |
| 50 | LLOQ | LLOQ | LLOQ | LLOQ |
| Plasma and Tissues | 10 °C | 17 °C | ||
|---|---|---|---|---|
| Europe and China (Days) | Japan (Days) | Europe and China (Days) | Japan (Days) | |
| Plasma | 25.46 (26) | 29.52 (30) | 22.71 (23) | 26.08 (27) |
| Liver | 55.53 (56) | 61.65 (62) | 43.10 (44) | 47.61 (48) |
| Kidney | 43.10 (44) | 48.31 (49) | 40.12 (41) | 44.73 (45) |
| Muscle and skin | 34.62 (35) | 42.20 (43) | 30.20 (31) | 34.80 (35) |
Disclaimer/Publisher’s Note: The statements, opinions and data contained in all publications are solely those of the individual author(s) and contributor(s) and not of MDPI and/or the editor(s). MDPI and/or the editor(s) disclaim responsibility for any injury to people or property resulting from any ideas, methods, instructions or products referred to in the content. |
© 2023 by the authors. Licensee MDPI, Basel, Switzerland. This article is an open access article distributed under the terms and conditions of the Creative Commons Attribution (CC BY) license (https://creativecommons.org/licenses/by/4.0/).
Share and Cite
Corum, O.; Uney, K.; Terzi, E.; Durna Corum, D.; Coskun, D.; Altan, F.; Elmas, M. Effects of Temperature on the Pharmacokinetics, Tissue Residues, and Withdrawal Times of Doxycycline in Rainbow Trout (Oncorhynchus mykiss) following Oral Administration. Vet. Sci. 2023, 10, 401. https://doi.org/10.3390/vetsci10060401
Corum O, Uney K, Terzi E, Durna Corum D, Coskun D, Altan F, Elmas M. Effects of Temperature on the Pharmacokinetics, Tissue Residues, and Withdrawal Times of Doxycycline in Rainbow Trout (Oncorhynchus mykiss) following Oral Administration. Veterinary Sciences. 2023; 10(6):401. https://doi.org/10.3390/vetsci10060401
Chicago/Turabian StyleCorum, Orhan, Kamil Uney, Ertugrul Terzi, Duygu Durna Corum, Devran Coskun, Feray Altan, and Muammer Elmas. 2023. "Effects of Temperature on the Pharmacokinetics, Tissue Residues, and Withdrawal Times of Doxycycline in Rainbow Trout (Oncorhynchus mykiss) following Oral Administration" Veterinary Sciences 10, no. 6: 401. https://doi.org/10.3390/vetsci10060401
APA StyleCorum, O., Uney, K., Terzi, E., Durna Corum, D., Coskun, D., Altan, F., & Elmas, M. (2023). Effects of Temperature on the Pharmacokinetics, Tissue Residues, and Withdrawal Times of Doxycycline in Rainbow Trout (Oncorhynchus mykiss) following Oral Administration. Veterinary Sciences, 10(6), 401. https://doi.org/10.3390/vetsci10060401

