Population Pharmacokinetics of Difloxacin in Crucian Carp (Carassius auratus) after a Single Oral Administration
Abstract
Simple Summary
Abstract
1. Introduction
2. Materials and Methods
2.1. Drugs and Reagents
2.2. Animals
2.3. Administration and Sampling
2.4. Determination of Drug Concentrations
2.5. Population Pharmacokinetic Modeling
2.6. Statistical Analysis
3. Results
3.1. Validation of the Analytical Method
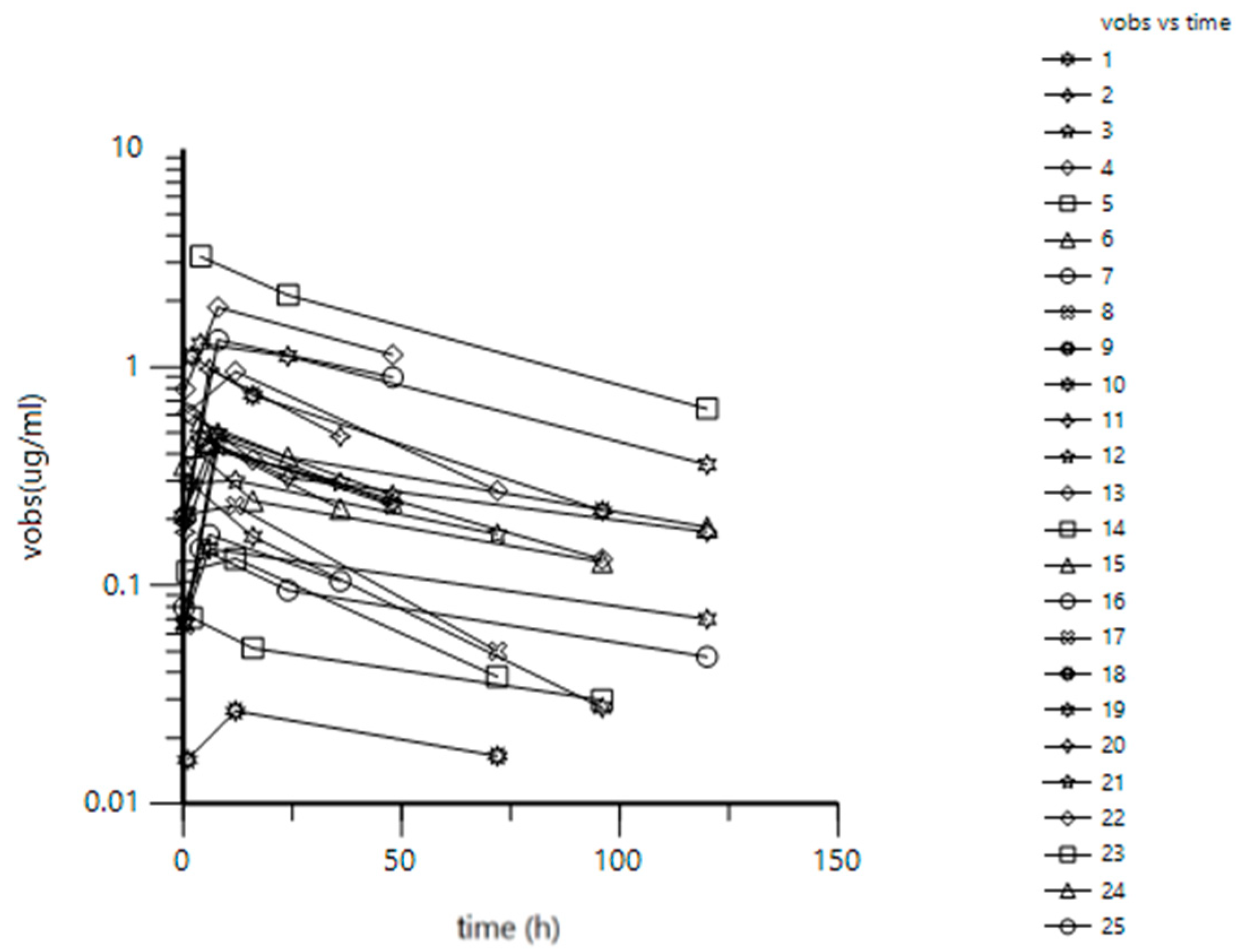
3.2. Pharmacokinetic Results after Naïve Averaged Analysis
3.3. Population Pharmacokinetic Comparisons
3.4. Final Model Validation
4. Discussion
5. Conclusions
Author Contributions
Funding
Institutional Review Board Statement
Informed Consent Statement
Data Availability Statement
Conflicts of Interest
References
- Ding, F.; Cao, J.; Ma, L.; Pan, Q.; Fang, Z.; Lu, X. Pharmacokinetics and tissue residues of difloxacin in crucian carp (Carassius auratus) after oral administration. Aquaculture 2006, 256, 121–128. [Google Scholar] [CrossRef]
- Sun, R.; Liu, Y.; Ai, X.; Du, X.; Zhang, X. Effects of emamectin benzoate on pharmacokinetic profiles, bioavailability, and serum biochemical indices in crucian carp (Carassius carassius) following oral administration with multiple dosage levels. Front. Vet. Sci. 2023, 10, 1127788. [Google Scholar] [CrossRef] [PubMed]
- Bardhan, A.; Abraham, T.J.; Singha, J.; Rajisha, R.; Krishna, E.K.N.; Panda, S.K.; Patil, P.K. Impacts of oral florfenicol medication and residues on the kidney and liver of Nile tilapia Oreochromis niloticus (L.). Vet. Sci. 2023, 10, 36. [Google Scholar] [CrossRef]
- Naiel, M.A.E.; Ghazanfar, S.; Negm, S.S.; Shukry, M.; Abdel-Latif, H.M.R. Applications of antimicrobial peptides (AMPs) as an alternative to antibiotic use in aquaculture: A mini-review. Ann. Anim. Sci. 2023, in press. [CrossRef]
- FAO (Food and Agriculture Organization of the United Nations). The State of World Fisheries and Aquaculture. 2022. Available online: https://www.fao.org/3/cc0461en/cc0461en.pdf (accessed on 10 April 2023).
- Brown, S.A. Fluoroquinolones in animal health. J. Vet. Pharmacol. Ther. 1996, 19, 1–14. [Google Scholar] [CrossRef]
- Quesada, S.P.; Paschoal, J.A.R.; Reyes, F.G.R. Considerations on the aquaculture development and on the use of veterinary drugs: Special issue for fluoroquinolones—A review. J. Food Sci. 2013, 78, R1321–R1333. [Google Scholar] [CrossRef]
- Song, Z.W.; Yang, F.; Liu, Y.; Shao, H.T.; Zhang, M.; Chen, J.C.; Yang, F. Residue depletion of danofloxacin in Yellow River carp (Cyprinus carpio haematopterus) following multiple oral administration. Aquaculture 2023, 562, 738789. [Google Scholar] [CrossRef]
- Cao, H.P.; Zhang, H.X.; He, S.; Zheng, W.D.; Yang, X.L. Pharmacokinetics of difloxacin in healthy and Aeromonasis-infected gibel carp Carassius auratus gibelio. Isr. J. Aquac.-Bamidgeh 2013, 65, 896. [Google Scholar]
- MARA (Ministry of Agriculture and Rural Affairs of the People’s Republic of China). Water Animal Cultivation Medication Instruction Booklet No. 1 and No. 2. Available online: http://www.moa.gov.cn/xw/bmdt/202211/P020221115594966111468.pdf (accessed on 10 April 2023)(In Chinese).
- Su, Z.X.; Xiao, H.; Chen, L.H.; Li, Y. Postantibiotic effects of 6 kinds of antibiotics on bacterium Vibrio anguillarum. Chin. J. Prev. Vet. Med. 2012, 34, 793–796. (In Chinese) [Google Scholar]
- Yang, F.; Yang, F.; Wang, G.Y.; Kong, T.; Liu, B.B. Pharmacokinetics of florfenicol and its metabolite florfenicol amine in crucian carp (Carassius auratus) at three temperatures after single oral administration. Aquaculture 2019, 503, 446–451. [Google Scholar] [CrossRef]
- Sun, M.; Li, J.; Gai, C.L.; Chang, Z.Q.; Li, J.T.; Zhao, F.Z. Pharmacokinetics of difloxacin in olive flounder Paralichthys olivaceus at two water temperatures. J. Vet. Pharmacol. Ther. 2014, 37, 186–191. [Google Scholar] [CrossRef]
- Dong, Y.; Sun, J.; Jiang, X.; Hu, K.; Yang, X. Pharmacokinetics of difloxacin in grass carp (Ctenopharyngodon idella) after a single oral administration. Acta Hydrobiol. Sin. 2017, 41, 379–383. (In Chinese) [Google Scholar]
- Elston, R.A.; Drum, A.S.; Schweitzer, M.G.; Rode, R.A.; Bunnell, P.R. Comparative uptake of orally administered difloxacin in Atlantic salmon in freshwater and seawater. J. Aquat. Anim. Health 1994, 6, 341–348. [Google Scholar] [CrossRef]
- Jin, X.; Oh, J.; Cho, J.Y.; Lee, S.; Rhee, S.J. Population pharmacokinetic analysis of amikacin for optimal pharmacotherapy in Korean patients with nontuberculous mycobacterial pulmonary disease. Antibiotics 2020, 9, 784. [Google Scholar] [CrossRef]
- Mileva, R.; Rusenov, A.; Milanova, A. Population pharmacokinetic modelling of orally administered doxycycline to rabbits at different ages. Antibiotics 2021, 10, 310. [Google Scholar] [CrossRef]
- Song, Z.W.; Yang, F.; Dai, Y.; Zhang, C.S.; Shao, H.T.; Wang, H.; Ma, K.L.; Li, Z.E.; Yang, F. Population pharmacokinetics of danofloxacin in Yellow River carp (cyprinus carpio haematopterus) after one single oral dose. Front. Vet. Sci. 2022, 9, 868966. [Google Scholar] [CrossRef]
- Viel, A.; Rostang, A.; Morvan, M.-L.; Fournel, C.; Daniel, P.; Thorin, C.; Baron, S.; Sanders, P.; Calvez, S. Population pharmacokinetics/pharmacodynamics modeling of enrofloxacin for the three major trout pathogens Aeromonas salmonicida, Flavobacterium psychrophilum and Yersinia ruckeri. Aquaculture 2021, 545, 737119. [Google Scholar] [CrossRef]
- Lin, H.C.; Chen, W.Y. Bayesian population physiologically-based pharmacokinetic model for robustness evaluation of withdrawal time in tilapia aquaculture administrated to florfenicol. Ecotox. Environ. Safe. 2021, 210, 111867. [Google Scholar] [CrossRef]
- Poapolathep, A.; Giorgi, M.; Toutain, P.L.; Poapolathep, S.; Imsilp, K.; Sakulthaew, C.; Wannapat, N.; Klangkaew, N. Sulfadimethoxine in giant freshwater prawns (Macrobrachium rosenbergii): An attempt to estimate the withdrawal time by a population pharmacokinetic approach. J. Vet. Pharmacol. Ther. 2017, 40, 476–485. [Google Scholar] [CrossRef]
- Gregory, T.M.; Harms, C.A.; Gorges, M.A.; Lewbart, G.A.; Papich, M.G. Pharmacokinetics of ketorolac in juvenile loggerhead sea turtles (Caretta caretta) after a single intramuscular injection. J. Vet. Pharmacol. Ther. 2021, 44, 583–589. [Google Scholar] [CrossRef]
- KuKanich, B.; Huff, D.; Riviere, J.E.; Papich, M.G. Naive averaged, naive pooled, and population pharmacokinetics of orally administered marbofloxacin in juvenile harbor seals. J. Am. Vet. Med. Assoc. 2007, 230, 390–395. [Google Scholar] [CrossRef]
- Wählby, U.; Jonsson, E.N.; Karlsson, M.O. Assessment of actual significance levels for covariate effects in NONMEM. J. Pharmacokinet. Pharmacodyn. 2001, 28, 231–252. [Google Scholar] [CrossRef]
- Balakrishnan, N.; Voinov, V.; Nikulin, M.S. (Eds.) Chapter 7—Applications of Modified Chi-Squared Tests. In Chi-Squared Goodness of Fit Tests with Applications; Academic Press: New York, NY, USA, 2013; pp. 139–165. [Google Scholar]
- Martinez, M.N.; Gehring, R.; Mochel, J.P.; Pade, D.; Pelligand, L. Population variability in animal health: Influence on dose-exposure-response relationships: Part II: Modelling and simulation. J. Vet. Pharmacol. Ther. 2018, 41, E68–E76. [Google Scholar] [CrossRef] [PubMed]
- Liang, J.; Duan, Y.; Li, J.; Chang, Z. Pharmacokinetics of difloxacin in turbot (Scophthalmus maximus) following intravenous and oral administration. Prog. Fish. Sci. 2015, 36, 131–136. (In Chinese) [Google Scholar]
- Li, H.; Yang, X.; Hu, K.; Wang, X. Pharmacokinetics and the elimination regularity of difloxacin and its metabolite sarafloxacin in Eriocheir sinensis. Chin. J. Zool. 2009, 44, 12–20. (In Chinese) [Google Scholar]
- Yang, F.; Yang, F.; Wang, G.Y.; Kong, T.; Wang, H.; Zhang, C.S. Effects of water temperature on tissue depletion of florfenicol and its metabolite florfenicol amine in crucian carp (Carassius auratus gibelio) following multiple oral doses. Aquaculture 2020, 515, 734542. [Google Scholar] [CrossRef]
- Ruan, J.; Hu, K.; Zhang, H.; Wang, H.; Fu, Q.; Yang, X. Pharmacokinetics comparisons of difloxacin in crucian carp (Carassais auratus gibebio) at two different water temperatures. J. Shanghai Ocean. Univ. 2011, 20, 858–865. (In Chinese) [Google Scholar]
- McKellar, Q.A.; Sanchez Bruni, S.F.; Jones, D.G. Pharmacokinetic/pharmacodynamic relationships of antimicrobial drugs used in veterinary medicine. J. Vet. Pharmacol. Ther. 2004, 27, 503–514. [Google Scholar] [CrossRef]




| ID | BW (kg) | Blood Collection Time (Hour) after the Administration | ||||||||||||||
|---|---|---|---|---|---|---|---|---|---|---|---|---|---|---|---|---|
| 0.25 | 0.5 | 1 | 2 | 4 | 6 | 8 | 12 | 16 | 24 | 36 | 48 | 72 | 96 | 120 | ||
| 1 | 0.21 | * | * | |||||||||||||
| 2 | 0.33 | * | * | * | ||||||||||||
| 3 | 0.37 | * | * | * | ||||||||||||
| 4 | 0.35 | * | * | * | ||||||||||||
| 5 | 0.31 | * | * | * | ||||||||||||
| 6 | 0.26 | * | * | * | ||||||||||||
| 7 | 0.28 | * | * | * | ||||||||||||
| 8 | 0.26 | * | * | * | ||||||||||||
| 9 | 0.27 | * | * | * | ||||||||||||
| 10 | 0.27 | * | * | * | ||||||||||||
| 11 | 0.30 | * | * | * | ||||||||||||
| 12 | 0.27 | * | * | * | ||||||||||||
| 13 | 0.34 | * | * | * | ||||||||||||
| 14 | 0.23 | * | * | * | ||||||||||||
| 15 | 0.40 | * | * | * | ||||||||||||
| 16 | 0.25 | * | * | * | ||||||||||||
| 17 | 0.28 | * | * | * | ||||||||||||
| 18 | 0.27 | * | * | * | ||||||||||||
| 19 | 0.29 | * | * | * | ||||||||||||
| 20 | 0.36 | * | * | * | ||||||||||||
| 21 | 0.33 | * | * | * | ||||||||||||
| 22 | 0.29 | * | * | * | ||||||||||||
| 23 | 0.29 | * | * | * | ||||||||||||
| 24 | 0.34 | * | * | * | ||||||||||||
| 25 | 0.31 | * | * | * | ||||||||||||
| Parameters | Units | Estimate | 
|---|---|---|
| AUC0-t | h·μg/mL | 39.67 | 
| AUC0-inf | h·μg/mL | 60.14 | 
| V | L/kg | 27.63 | 
| CL | L/h/kg | 0.03 | 
| Tmax | h | 4.00 | 
| Cmax | μg/mL | 1.13 | 
| T½ | h | 57.59 | 
| %AUC | % | 34.03 | 
| Model | Parameter | Units | Estimates | RSE% | 2.5%CI–97.5%CI | Inter-Individual Variation ω2 (RSE%) | 
|---|---|---|---|---|---|---|
| Basic model (No covariance model) | tvKa | 1/h | 1.16 | 14.22 | 0.83 to 1.50 | 0.60 (39.14) | 
| tvV | L/kg | 14.34 | 20.85 | 8.37 to 20.30 | 1.16 (31.52) | |
| tvCL | L/h/kg | 0.18 | 18.02 | 0.12 to 0.25 | 0.81 (27.52) | |
| stdev0 | μg/mL | 0.19 | 11.88 | 0.15 to 0.24 | / | |
| Final model (Covariance model) | tvKa | 1/h | 1.18 | 12.55 | 0.88 to 1.47 | 0.69 (35.14) | 
| tvV | L/kg | 14.18 | 18.88 | 8.83 to 19.53 | 1.12 (28.54) | |
| tvCL | L/h/kg | 0.20 | 17.96 | 0.13 to 0.27 | 0.98 (27.08) | |
| stdev0 | μg/mL | 0.16 | 11.06 | 0.12 to 0.19 | / | 
| Secondary Parameters | Units | Estimates | RSE% | 2.5%CI | 97.5%CI | 
|---|---|---|---|---|---|
| K10 | 1/h | 0.01 | 8.71 | 0.01 | 0.02 | 
| T½ | h | 50.14 | 8.71 | 41.42 | 58.86 | 
| AUC0-inf | h·μg/mL | 102.05 | 17.96 | 65.44 | 138.67 | 
| Disclaimer/Publisher’s Note: The statements, opinions and data contained in all publications are solely those of the individual author(s) and contributor(s) and not of MDPI and/or the editor(s). MDPI and/or the editor(s) disclaim responsibility for any injury to people or property resulting from any ideas, methods, instructions or products referred to in the content. | 
© 2023 by the authors. Licensee MDPI, Basel, Switzerland. This article is an open access article distributed under the terms and conditions of the Creative Commons Attribution (CC BY) license (https://creativecommons.org/licenses/by/4.0/).
Share and Cite
Ma, K.-L.; Yang, F.; Zhang, M.; Chen, J.-C.; Duan, M.-H.; Li, Z.-E.; Dai, Y.; Liu, Y.; Jin, Y.-G.; Yang, F. Population Pharmacokinetics of Difloxacin in Crucian Carp (Carassius auratus) after a Single Oral Administration. Vet. Sci. 2023, 10, 416. https://doi.org/10.3390/vetsci10070416
Ma K-L, Yang F, Zhang M, Chen J-C, Duan M-H, Li Z-E, Dai Y, Liu Y, Jin Y-G, Yang F. Population Pharmacokinetics of Difloxacin in Crucian Carp (Carassius auratus) after a Single Oral Administration. Veterinary Sciences. 2023; 10(7):416. https://doi.org/10.3390/vetsci10070416
Chicago/Turabian StyleMa, Kai-Li, Fang Yang, Mei Zhang, Jun-Cheng Chen, Ming-Hui Duan, Ze-En Li, Yan Dai, Yue Liu, Yang-Guang Jin, and Fan Yang. 2023. "Population Pharmacokinetics of Difloxacin in Crucian Carp (Carassius auratus) after a Single Oral Administration" Veterinary Sciences 10, no. 7: 416. https://doi.org/10.3390/vetsci10070416
APA StyleMa, K.-L., Yang, F., Zhang, M., Chen, J.-C., Duan, M.-H., Li, Z.-E., Dai, Y., Liu, Y., Jin, Y.-G., & Yang, F. (2023). Population Pharmacokinetics of Difloxacin in Crucian Carp (Carassius auratus) after a Single Oral Administration. Veterinary Sciences, 10(7), 416. https://doi.org/10.3390/vetsci10070416
 
        





 
       