Impact of Water Ionic Chemistry on Kombucha Fermentation
Abstract
1. Introduction
2. Materials and Methods
2.1. Chemicals
2.2. Kombucha Preparation and Fermentation
2.3. pH and Titratable Acidity
2.4. Ethanol Content Determination
2.5. Free Amino Nitrogen (FAN)
2.6. Total Polyphenols Determination
2.7. Antioxidant Activity of Kombucha
2.8. Quantification of Biologically Relevant Compounds
2.9. Statistics
3. Results and Discussion
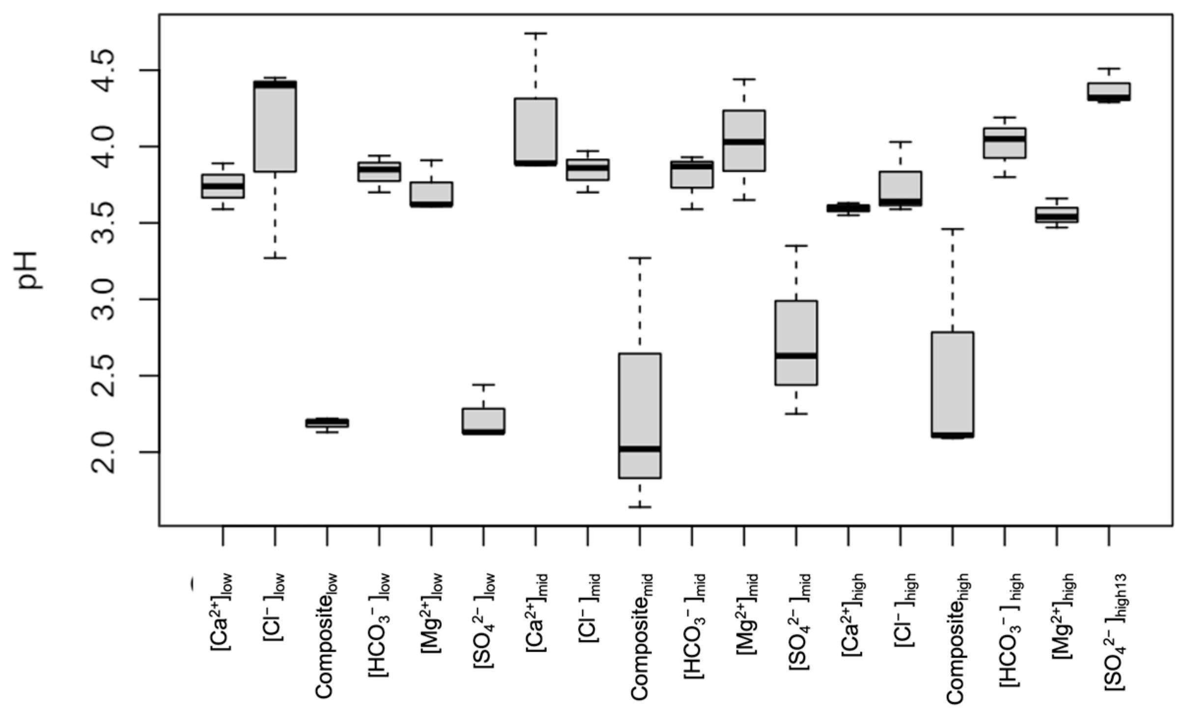
3.1. Total Acidity and pH
3.2. Ethanol Content
3.3. Free Amino Nitrogen
3.4. Total Antioxidant Content
3.5. Total Polyphenols
3.6. Biologically Relevant Compounds
3.7. Caffeine
4. Conclusions
Author Contributions
Funding
Data Availability Statement
Conflicts of Interest
References
- Greenwalt, C.J.; Steinkraus, K.H.; Ledford, R.A. Kombucha, the Fermented Tea: Microbiology, Composition, and Claimed Health Effects. J. Food Prot. 2000, 63, 976–981. [Google Scholar] [CrossRef] [PubMed]
- Jarrell, J.; Cal, T.; Bennett, J.W. The Kombucha consortia of yeasts and bacteria. Mycologist 2000, 14, 166–170. [Google Scholar] [CrossRef]
- Jayabalan, R.; Malbaša, R.V.; Lončar, E.S.; Vitas, J.S.; Sathishkumar, M. A Review on Kombucha Tea—Microbiology, Composition, Fermentation, Beneficial Effects, Toxicity, and Tea Fungus. Compr. Rev. Food Sci. Food Saf. 2014, 13, 538–550. [Google Scholar] [CrossRef] [PubMed]
- Coton, M.; Pawtowski, A.; Taminiau, B.; Burgaud, G.; Deniel, F.; Coulloumme-Labarthe, L.; Fall, A.; Daube, G.; Coton, E. Unraveling microbial ecology of industrial-scale Kombucha fermentations by metabarcoding and culture-based methods. FEMS Microbiol. Ecol. 2017, 93, fix048. [Google Scholar] [CrossRef] [PubMed]
- Chakravorty, S.; Bhattacharya, S.; Chatzinotas, A.; Chakraborty, W.; Bhattacharya, D.; Gachhui, R. Kombucha tea fermentation: Microbial and biochemical dynamics. Int. J. Food Microbiol. 2016, 220, 63–72. [Google Scholar] [CrossRef]
- Kapp, J.M.; Walton, S. Kombucha: A systematic review of the empirical evidence of human health benefit. Ann. Epidemiol. 2019, 30, 66–70. [Google Scholar] [CrossRef]
- Dufresne, C.; Farnworth, E. Tea, Kombucha, and health: A review. Food Res. Int. 2000, 33, 409–421. [Google Scholar] [CrossRef]
- Kim, J.; Adhikari, K. Current Trends in Kombucha: Marketing Perspectives and the Need for Improved Sensory Research. Beverages 2020, 6, 15. [Google Scholar] [CrossRef]
- Cetó, X.; Gutiérrez-Capitán, M.; Calvo, D.; del Valle, M. Beer classification by means of a potentiometric electronic tongue. Food Chem. 2013, 141, 2533–2540. [Google Scholar] [CrossRef]
- Bishop, P.; Pitts, E.R.; Budner, D.; Thompson-Witrick, K.A. Kombucha: Biochemical and microbiological impacts on the chemical and flavor profile. Food Chem. Adv. 2022, 1, 100025. [Google Scholar] [CrossRef]
- Crum, H.; LaGory, A. The Big Book of Kombucha: Brewing, Flavoring, and Enjoying the Health Benefits of Fermented Tea; Storey Publishing: North Adams, MA, USA, 2016; p. 400. [Google Scholar]
- Goldammer, T. The Brewer’s Handbook The Complete Book to Brewing Beer, 2nd ed.; Apex: Clifton, NJ, USA, 2008; p. 480. [Google Scholar]
- Tran, T.; Grandvalet, C.; Verdier, F.; Martin, A.; Alexandre, H.; Tourdot-Maréchal, R. Microbiological and technological parameters impacting the chemical composition and sensory quality of kombucha. Compr. Rev. Food Sci. Food Saf. 2020, 19, 2050–2070. [Google Scholar] [CrossRef] [PubMed]
- Palmer, J.; Kaminski, C. Water: A Comprehensive Guide for Brewers; Brewing Element Series; Brewers Publication: Boulder, CO, USA, 2013; p. 296. [Google Scholar]
- Bryson, L. Tasting Whiskey: An Insiders Guide to the Unique Pleasures of the World’s Finest Spirits; Storey Publishing: North Adams, MA, USA, 2014. [Google Scholar]
- American Society of Brewing Chemists (ASBC). Beer 9: pH (Hydrogen Ion Cocnetration); American Society of Brewing Chemists (ASBC): St. Paul, MN, USA, 2018. [Google Scholar]
- American Society of Brewing Chemists (ASBC). Beer 8: Total Acidity; American Society of Brewing Chemists (ASBC): St. Paul, MN, USA, 2016. [Google Scholar]
- American Society of Brewing Chemists (ASBC). Beer 4: Alcohol: D. Ethanol Determined by Gas Chromatography—Flame Ionization Detection; American Society of Brewing Chemists (ASBC): St. Paul, MN, USA, 2018. [Google Scholar]
- American Society of Brewing Chemists (ASBC). Beer 31: Free Amino Nitrogen (International Method); American Society of Brewing Chemists (ASBC): St. Paul, MN, USA, 1976. [Google Scholar]
- American Society of Brewing Chemists (ASBC). Beer 35: Total Polyphenols; American Society of Brewing Chemists (ASBC): St. Paul, MN, USA, 2015. [Google Scholar]
- Brand-Williams, W.; Cuvelier, M.E.; Berset, C. Use of a free radical method to evaluate antioxidant activity. LWT Food Sci. Technol. 1995, 28, 25–30. [Google Scholar] [CrossRef]
- Palmer, J. Brewing Water: Water Adjustment Can Make the Difference Between a Good Beer and a Great Beer if It Is Done Right. Available online: https://beerandbrewing.com/brewing-water/ (accessed on 9 September 2021).
- Lončar, E.; Djurić, M.; Malbaša, R.; Kolarov, L.J.; Klašnja, M. Influence of Working Conditions Upon Kombucha Conducted Fermentation of Black Tea. Food Bioprod. Process. 2006, 84, 186–192. [Google Scholar] [CrossRef]
- Sogin, J.H.; Worobo, R.W. Primary Metabolites and Microbial Diversity in Commercial Kombucha Products. Fermentation 2024, 10, 385. [Google Scholar] [CrossRef]
- Thompson-Witrick, K.A.; Pitts, E.R. Bicarbonate Inhibition and Its Impact on Brettanomyces bruxellensis Ability to Produce Flavor Compounds. J. Am. Soc. Brew. Chem. 2021, 80, 270–278. [Google Scholar] [CrossRef]
- Malt Beverage Labeling: Alcohol Content. Available online: https://www.ttb.gov/regulated-commodities/beverage-alcohol/beer/labeling/malt-beverage-alcohol-content#:~:text=%E2%80%9CNon%2Dalcoholic.%E2%80%9D%20This,on%20a%20completely%20contrasting%20background (accessed on 6 September 2024).
- Thompson-Witrick, K.A.; Pitts, E. Nitrogen Content in Craft Malts: Effects on Total Ester Concentration in Beer. J. Am. Soc. Brew. Chem. 2020, 78, 308–313. [Google Scholar] [CrossRef]
- Rodriguez Rey, J.; Tran, T.; Aumeunier, A.; Rieu, A.; Verdier, F.; Martin, A.; Alexandre, H.; Tourdot-Maréchal, R.; Grandvalet, C. Exploring the role of production and release of proteins for microbial interactions in kombucha. LWT 2024, 198, 116016. [Google Scholar] [CrossRef]
- du Toit, S.C.; Rossouw, D.; du Toit, M.; Bauer, F.F. Enforced Mutualism Leads to Improved Cooperative Behavior between Saccharomyces cerevisiae and Lactobacillus plantarum. Microorganisms 2020, 8, 1109. [Google Scholar] [CrossRef]
- Ponomarova, O.; Gabrielli, N.; Sévin, D.C.; Mülleder, M.; Zirngibl, K.; Bulyha, K.; Andrejev, S.; Kafkia, E.; Typas, A.; Sauer, U.; et al. Yeast Creates a Niche for Symbiotic Lactic Acid Bacteria through Nitrogen Overflow. Cell Syst. 2017, 5, 345–357.e6. [Google Scholar] [CrossRef]
- Lee, K.R.; Jo, K.; Ra, K.S.; Suh, H.J.; Hong, K.B. Kombucha fermentation using commercial kombucha pellicle and culture broth as starter. Food Sci. Technol. 2022, 42, e70020. [Google Scholar] [CrossRef]
- Ahmed, R.F.; Hikal, M.S.; Abou-Taleb, K.A. Biological, chemical and antioxidant activities of different types Kombucha. Ann. Agric. Sci. 2020, 65, 35–41. [Google Scholar] [CrossRef]
- Jakubczyk, K.; Kałduńska, J.; Kochman, J.; Janda, K. Chemical Profile and Antioxidant Activity of the Kombucha Beverage Derived from White, Green, Black and Red Tea. Antioxidants 2020, 9, 447. [Google Scholar] [CrossRef] [PubMed]
- Ivanišová, E.; Meňhartová, K.; Terentjeva, M.; Harangozo, Ľ.; Kántor, A.; Kačániová, M. The evaluation of chemical, antioxidant, antimicrobial and sensory properties of kombucha tea beverage. J. Food Sci. Technol. 2020, 57, 1840–1846. [Google Scholar] [CrossRef] [PubMed]
- Balasundram, N.; Sundram, K.; Samman, S. Phenolic compounds in plants and agri-industrial by-products: Antioxidant activity, occurrence, and potential uses. Food Chem. 2006, 99, 191–203. [Google Scholar] [CrossRef]
- Haminiuk, C.W.; Plata-Oviedo, M.S.; de Mattos, G.; Carpes, S.T.; Branco, I.G. Extraction and quantification of phenolic acids and flavonols from Eugenia pyriformis using different solvents. J. Food Sci. Technol. 2014, 51, 2862–2866. [Google Scholar] [CrossRef]
- Zeng, L.; Ma, M.; Li, C.; Luo, L. Stability of tea polyphenols solution with different pH at different temperatures. Int. J. Food Prop. 2017, 20, 1–18. [Google Scholar] [CrossRef]
- Cabrera, M.; Taher, F.; Llantada, A.; Do, Q.; Sapp, T.; Sommerhalter, M. Effect of Water Hardness on Catechin and Caffeine Content in Green Tea Infusions. Molecules 2021, 26, 3485. [Google Scholar] [CrossRef]
- Bishop, P.; Pitts, E.; Budner, D.; Witrick, K. Chemical Composition of Kombucha. Beverages 2022, 8, 45. [Google Scholar] [CrossRef]
- Sharma, V.K.; Bhattacharya, A.; Kumar, A.; Sharma, H.K. Health Benefits of Tea Consumption. Trop. J. Pharm. Res. 2007, 6, 785–792. [Google Scholar] [CrossRef]


| Water Composition | Tea (mg/L) | Kombucha (mg/L) |
|---|---|---|
| Distilled Water | 4.95 | 6.43 ± 0.63 BCD |
| 50 mg/L Bicarbonates (HCO3−) | 1.74 | 2.98 ± 1.10 CD |
| 100 mg/L Bicarbonates (HCO3−) | 2.27 | 3.93 ± 0.66 CD |
| 200 mg/L Bicarbonates (HCO3−) | 2.03 | 2.14 ± 1.22 D |
| 25 mg/L Chloride (Cl−) | 0.91 | 1.49 ± 0.99 D |
| 75 mg/L Chloride (Cl−) | 1.39 | 2.76 ± 0.93 CD |
| 150 mg/L Chloride (Cl-) | 0.61 | 1.96 ± 1.12 D |
| 25 mg/L Calcium (Ca2+) | 9.2 | 9.04 ± 1.66 ABCD |
| 50 mg/L Calcium (Ca2+) | 8.31 | 14.61 ± 11.12 AB |
| 100 mg/L Calcium (Ca2+) | 3.75 | 3.57 ± 1.34 CD |
| 25 mg/L Magnesium (Mg2+) | 18.4 | 16.53 ± 2.63 A |
| 50 mg/L Magnesium (Mg2+) | 28.5 | 14.83 ± 1.20 AB |
| 100 mg/L Magnesium (Mg2+) | 5.05 | 5.45 ± 1.11 BCD |
| 100 mg/L Sulfate (SO42−) | 9.36 | 6.57 ± 1.51 ABCD |
| 200 mg/L Sulfate (SO42−) | 14.83 | 6.08 ± 1.67 BCD |
| 400 mg/L Sulfate (SO42−) | 14.9 | 8.83 ± 4.34 ABCD |
| Low Composition | 9.62 | 16.43 ± 5.22 A |
| Mid Composition | 14.9 | 12.32 ± 1.73 ABC |
| High Composition | 7.45 | 9.83 ± 0.83 ABCD |
| Water Composition | Tea (mg/L) | Kombucha % |
|---|---|---|
| Distilled Water | 86.3 | 85.69 ± 3.03 ABC |
| 50 mg/L Bicarbonates (HCO3−) | 81.4 | 78.65 ± 0.48 BC |
| 100 mg/L Bicarbonates (HCO3−) | 68.2 | 84.19 ± 2.57 ABC |
| 200 mg/L Bicarbonates (HCO3−) | 55.1 | 78.21 ± 4.04 B |
| 25 mg/L Chloride (Cl−) | 83.8 | 86.06 ± 1.72 ABC |
| 75 mg/L Chloride (Cl−) | 80.6 | 82.77 ± 0.79 ABC |
| 150 mg/L Chloride (Cl−) | 86.8 | 88.15 ± 2.29 A |
| 25 mg/L Calcium (Ca2+) | 83.8 | 81.73 ± 1.72 ABC |
| 50 mg/L Calcium (Ca2+) | 83.3 | 85.44 ± 1.02 AB |
| 100 mg/L Calcium (Ca2+) | 89.7 | 88.05 ± 2.71 A |
| 25 mg/L Magnesium (Mg2+) | 87.7 | 81.21 ± 3.11 ABC |
| 50 mg/L Magnesium (Mg2+) | 89.2 | 86.82 ± 1.15 AB |
| 100 mg/L Magnesium (Mg2+) | 90.6 | 85.96 ± 2.93 ABC |
| 100 mg/L Sulfate (SO42−) | 89.2 | 85.94 ± 5.17 ABC |
| 200 mg/L Sulfate (SO42−) | 71.5 | 85.17 ± 1.82 ABC |
| 400 mg/L Sulfate (SO42−) | 81.7 | 83.49 ± 3.57 ABC |
| Low Composition | 91.0 | 86.47 ± 4.04 ABC |
| Mid Composition | 84.8 | 83.53 ± 0.74 ABC |
| High Composition | 87.4 | 68.85 ± 3.81 D |
| Water Composition | Tea (mg/L) | Kombucha (mg/L) |
|---|---|---|
| Distilled Water | 669 | 752.67 ± 107.34 ABCD |
| 50 mg/L Bicarbonates (HCO3−) | 669 | 773 ± 38.16 ABCD |
| 100 mg/L Bicarbonates (HCO3−) | 746 | 1028 ± 26.29 A |
| 200 mg/L Bicarbonates (HCO3−) | 748 | 879.00 ± 34.12 AB |
| 25 mg/L Chloride (Cl−) | 685 | 643.00 ± 104.70 ABCD |
| 75 mg/L Chloride (Cl−) | 1089 | 815.67 ± 6.11 ABC |
| 150 mg/L Chloride (Cl−) | 881 | 677.33 ± 4.51 ABCD |
| 25 mg/L Calcium (Ca2+) | 695 | 419.66 ± 78.25 CD |
| 50 mg/L Calcium (Ca2+) | 696 | 558.00 ± 60.32 BCD |
| 100 mg/L Calcium (Ca2+) | 656 | 357.66 ± 142.06 D |
| 25 mg/L Magnesium (Mg2+) | 755 | 437.33 ± 300.01 CD |
| 50 mg/L Magnesium (Mg2+) | 724 | 599.67 ± 126.87 ABCD |
| 100 mg/L Magnesium (Mg2+) | 713 | 341 ± 143.89 D |
| 100 mg/L Sulfate (SO42−) | 839 | 581.33 ± 187.47 BCD |
| 200 mg/L Sulfate (SO42−) | 657 | 674.33 ± 4.51 ABCD |
| 400 mg/L Sulfate (SO42−) | 714 | 820 ± 36.10 ABC |
| Low Composition | 796 | 421.67 ± 300.42 CD |
| Mid Composition | 746 | 558.33 ± 228.08 BCD |
| High Composition | 462 | 438.33 ± 101.52 CD |
| Gallic Acid (mg/L) * | Catechin (mg/L) * | Rutin (mg/L) | Quercetin (mg/L) * | Caffeine (mg/L) * | ||||||
|---|---|---|---|---|---|---|---|---|---|---|
| Water Chemistry | Tea | Kombucha | Tea | Kombucha | Tea | Kombucha | Tea | Kombucha | Tea | Kombucha |
| Distilled Water | 12.4 | 69.40 ± 19.40 | 4.41 | 4.96 ± 1.72 | 1.86 | 6.87 ± 3.50 B | 0.02 | 0.024 ± 0.022 | 2.36 | 26.3 ± 4.87 |
| 50 mg/L Bicarbonates (HCO3−) | 56.48 | 56.67 ± 10.02 | 4.01 | 4.66 ± 1.50 | 5.05 | 6.65 ± 0.26 B | 0.57 | n.d. | 28.64 | 30.17 ± 1.15 |
| 100 mg/L Bicarbonates (HCO3−) | 62.28 | 45.68 ± 19.62 | 1.31 | 7.02 ± 3.09 | 7.13 | 10.87 ± 2.99 B | 0.67 | 6.57 ± 7.10 | 36.94 | 27.09 ± 17.09 |
| 200 mg/L Bicarbonates (HCO3−) | 3.00 | 44.76 ± 36.42 | 0.91 | 6.53 ± 4.87 | 0.32 | 5.51 ± 5.68 B | n.d. | 0.42 ± 0.71 | 0.47 | 17.94 ± 15.21 |
| 25 mg/L Chloride (Cl−) | 42.09 | 56.26 ± 3.51 | 2.00 | 6.58 ± 2.41 | 8.75 | 5.86 ± 2.38 B | 8.75 | 0.06 ± 0.05 | 39.22 | 31.81 ± 4.33 |
| 75 mg/L Chloride (Cl−) | 44.82 | 62.5 ± 12.08 | 7.13 | 6.26 ± 2.34 | 9.43 | 5.99 ± 0.94 B | 8.10 | 0.04 ± 0.04 | 47.33 | 31.79 ± 0.51 |
| 150 mg/L Chloride (Cl−) | 47.81 | 47.88 ± 2.44 | 3.37 | 4.39 ± 0.64 | 6.88 | 8.70 ± 2.25 B | 16.93 | 0.01 ± 0.01 | 32.65 | 29.74 ± 2.01 |
| 25 mg/L Calcium (Ca2+) | 58.57 | 61.38 ± 2.36 | 6.83 | 3.29 ± 0.41 | 7.31 | 7.44 ± 1.74 B | 0.70 | n.d. | 34.58 | 21.51 ± 1.02 |
| 50 mg/L Calcium (Ca2+) | 7.68 | 50.60 ± 36.04 | 0.57 | 3.51 ± 2.85 | 2.31 | 5.75 ± 4.34 B | 0.09 | 0.02 ± 0.04 | 0.62 | 18.55 ± 8.22 |
| 100 mg/L Calcium (Ca2+) | 56.89 | 65.06 ± 19.15 | 7.04 | 4.20 ± 0.84 | 7.16 | 6.82 ± 3.06 B | 0.09 | n.d. | 34.03 | 25.57 ± 3.60 |
| 25 mg/L Magnesium (Mg2+) | 4.69 | 47.75 ± 4.80 | 0.33 | 4.90 ± 2.14 | 1.42 | 19.95 ± 5.7 × 10-9 A | 0.06 | n.d. | 0.14 | 26.90 ± 4.00 |
| 50 mg/L Magnesium (Mg2+) | 8.10 | 57.86 ± 6.44 | 0.62 | 7.41 ± 0.75 | 2.23 | 7.31 ± 1.51 B | 0.06 | 0.43 ± 0.38 | 0.73 | 30.09 ± 4.18 |
| 100 mg/L Magnesium (Mg2+) | 5.78 | 72.87 ± 12.12 | 0.51 | 3.79 ± 2.15 | 0.51 | 8.65 ± 0.40 B | 0.18 | n.d. | 0.31 | 26.53 ± 5.35 |
| 100 mg/L Sulfate (SO42−) | 30.17 | 59.00 ± 31.84 | 9.38 | 7.18 ± 0.94 | 19.95 | 9.19 ± 0.18 B | 9.07 | n.d. | 9.78 | 24.98 ± 1.20 |
| 200 mg/L Sulfate (SO42−) | 83.63 | 60.60 ± 22.11 | 6.48 | 5.09 ± 1.08 | 6.46 | 7.92 ± 1.00 B | 0.41 | 0.06 ± 0.04 | 39.07 | 35.96 ± 3.89 |
| 400 mg/L Sulfate (SO42−) | - | 76.30 ± 11.40 | - | 6.10 ± 2.52 | - | 6.29 ± 0.38 B | - | 0.65 ± 0.65 | - | 37.15 ± 5.47 |
| Low Composition | 46.57 | 61.92 ± 21.15 | 6.28 | 9.22 ± 1.37 | 6.96 | 7.92 ± 1.15 B | 0.70 | 0.04 ± 0.02 | 34.86 | 34.27 ± 4.34 |
| Mid Composition | 7.26 | 72.00 ± 13.33 | 1.20 | 8.32 ± 0.89 | 0.31 | 8.14 ± 0.78 B | 0.07 | 3.19 ± 5.40 | 0.20 | 34.37 ± 4.14 |
| High Composition | 75.64 | 56.73 ± 42.69 | 7.40 | 9.95 ± 5.64 | 1.43 | 6.02 ± 4.11 B | n.d. | 0.05 ± 0.00 | 34.00 | 24.38 ± 20.66 |
Disclaimer/Publisher’s Note: The statements, opinions and data contained in all publications are solely those of the individual author(s) and contributor(s) and not of MDPI and/or the editor(s). MDPI and/or the editor(s) disclaim responsibility for any injury to people or property resulting from any ideas, methods, instructions or products referred to in the content. |
© 2024 by the authors. Licensee MDPI, Basel, Switzerland. This article is an open access article distributed under the terms and conditions of the Creative Commons Attribution (CC BY) license (https://creativecommons.org/licenses/by/4.0/).
Share and Cite
Thompson-Witrick, K.A.; Sundman, O.; Disselkoen, S.; Hanson, N.; Butler, C.; Jordan, V.; Galbraith, I.; Spake, J.; Pollock, S.; Budner, D.M. Impact of Water Ionic Chemistry on Kombucha Fermentation. Beverages 2024, 10, 108. https://doi.org/10.3390/beverages10040108
Thompson-Witrick KA, Sundman O, Disselkoen S, Hanson N, Butler C, Jordan V, Galbraith I, Spake J, Pollock S, Budner DM. Impact of Water Ionic Chemistry on Kombucha Fermentation. Beverages. 2024; 10(4):108. https://doi.org/10.3390/beverages10040108
Chicago/Turabian StyleThompson-Witrick, Katherine A., Olivia Sundman, Sadie Disselkoen, Nicholas Hanson, Cheyenne Butler, Victoria Jordan, Ian Galbraith, Jada Spake, Seiler Pollock, and Drew M. Budner. 2024. "Impact of Water Ionic Chemistry on Kombucha Fermentation" Beverages 10, no. 4: 108. https://doi.org/10.3390/beverages10040108
APA StyleThompson-Witrick, K. A., Sundman, O., Disselkoen, S., Hanson, N., Butler, C., Jordan, V., Galbraith, I., Spake, J., Pollock, S., & Budner, D. M. (2024). Impact of Water Ionic Chemistry on Kombucha Fermentation. Beverages, 10(4), 108. https://doi.org/10.3390/beverages10040108

