Profiling Individual Differences in Alcoholic Beverage Preference and Consumption: New Insights from a Large-Scale Study
Abstract
:1. Introduction
2. Materials and Methods
2.1. Participants
2.2. Procedure
2.2.1. Assessment of Alcoholic Beverage Consumption and Liking
2.2.2. Assessment of Chemosensory Responsiveness
Responsiveness to Basic Tastes, Astringency, and Pungency
Responsiveness to PROP
2.3. Data Analysis
3. Results
3.1. Alcoholic Beverage Consumption
3.1.1. Age and Gender Differences
3.1.2. Association with Chemosensory Perception
3.2. Alcoholic Beverage Liking
3.3. Identification of Liking Patterns for Different Alcoholic Beverages
3.4. Characterization of the Three Alcoholic Beverage Liking Patterns
3.4.1. Age, Gender, and Consumption of Alcoholic Beverages
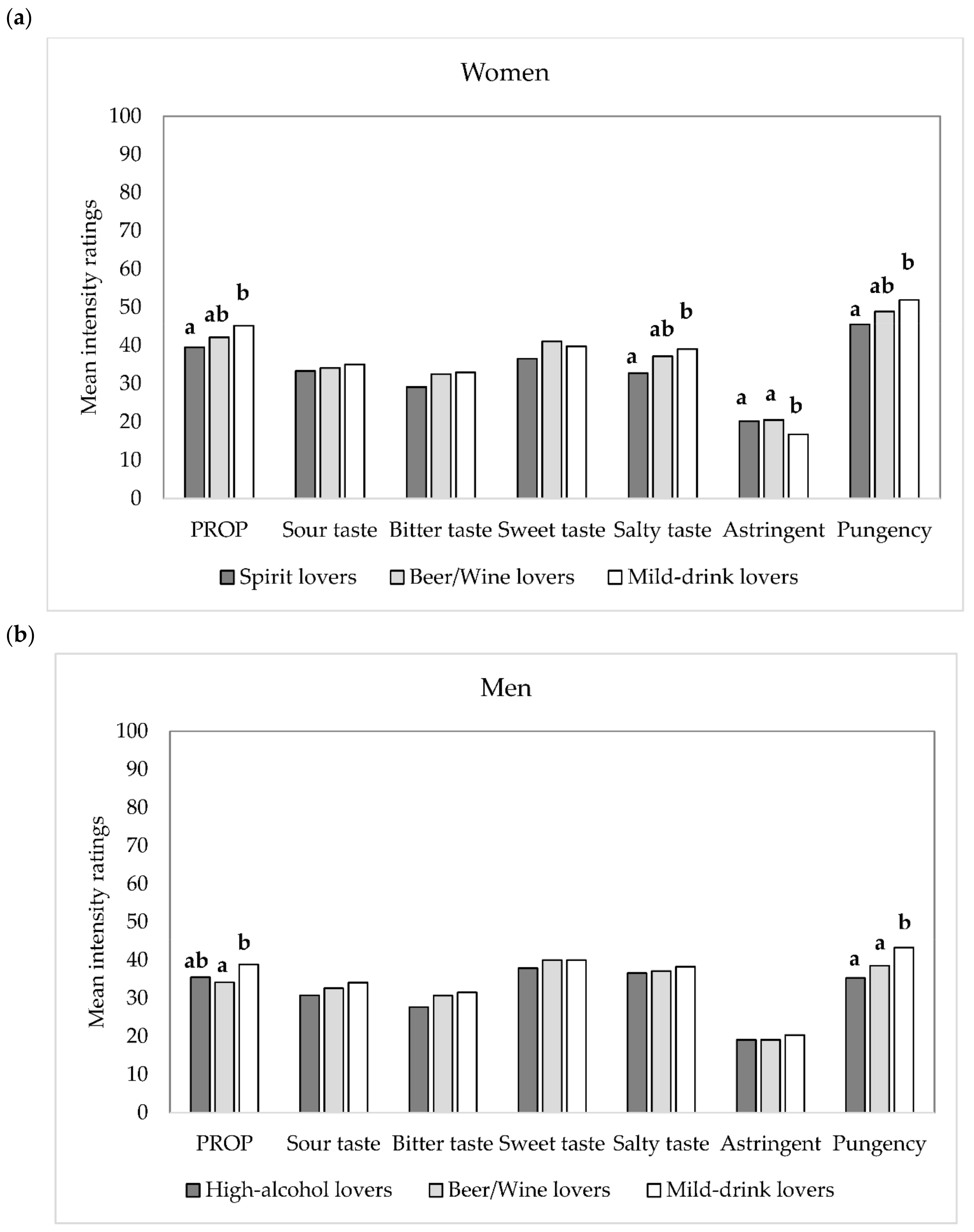
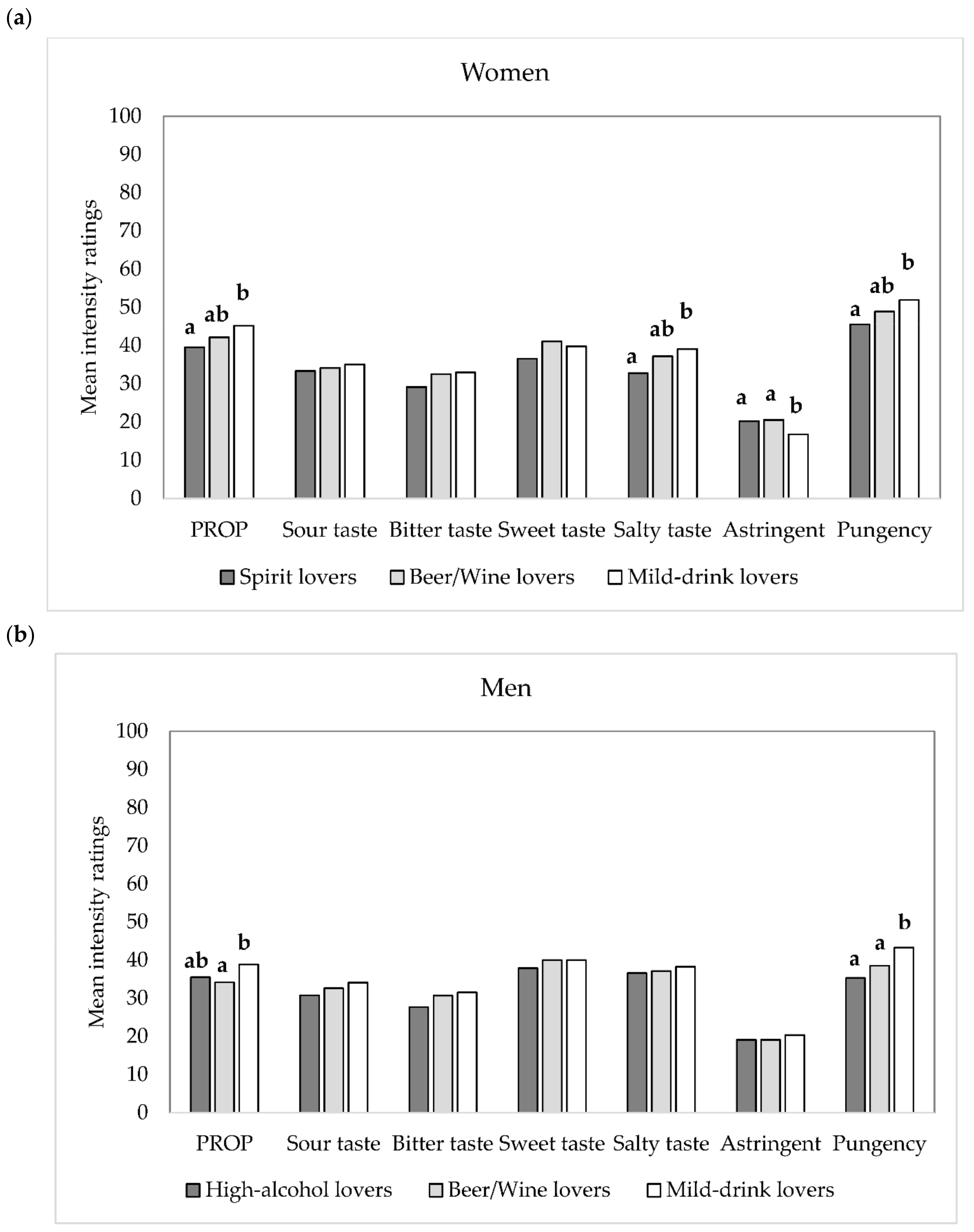
3.4.2. Chemosensory Responsiveness
4. Discussion
5. Conclusions
Supplementary Materials
Author Contributions
Funding
Acknowledgments
Conflicts of Interest
References
- Silva, A.P.; Jager, G.; Van Zyl, H.; Voss, H.P.; Pintado, M.; Hogg, T.; De Graaf, C. Cheers, proost, saúde: Cultural, contextual and psychological factors of wine and beer consumption in Portugal and in the Netherlands. Crit. Rev. Food Sci. Nutr. 2017, 57, 1340–1349. [Google Scholar] [CrossRef] [PubMed]
- World Health Organization. Global Status Report on Alcohol and Health 2018; WHO: Geneva, Switzerland, 2018. [Google Scholar]
- Nolen-Hoeksema, S. Gender differences in risk factors and consequences for alcohol use and problems. Clin. Psychol. Rev. 2004, 24, 981–1010. [Google Scholar] [CrossRef] [PubMed]
- Thibodeau, M.; Pickering, G.J. The role of taste in alcohol preference, consumption and risk behavior. Crit. Rev. Food Sci. Nutr. 2019, 59, 676–692. [Google Scholar] [CrossRef] [PubMed]
- Bratberg, G.H.; Wilsnack, S.J.; Wilsnack, R.; Haugland, S.H.; Krokstad, S.; Sund, E.R.; Bjørngaard, J.H. Gender differences and gender convergence in alcohol use over the past three decades (1984–2008), The HUNT Study, Norway. BMC Public Health 2016, 16, 723. [Google Scholar] [CrossRef] [Green Version]
- Mäkelä, P.; Gmel, G.; Grittner, U.; Kuendig, H.; Kuntsche, S.; Bloomfield, K.; Room, R. Drinking patterns and their gender differences in Europe. Alcohol Alcohol. 2006, 41 (Suppl. 1), i8–i18. [Google Scholar] [CrossRef]
- Nolden, A.A.; Hayes, J.E. Perceptual qualities of ethanol depend on concentration, and variation in these percepts associates with drinking frequency. Chemosens. Percept. 2015, 8, 149–157. [Google Scholar] [CrossRef] [Green Version]
- Thibodeau, M.; Bajec, M.R.; Pickering, G.J. Orosensory responsiveness and alcohol behaviour. Physiol. Behav. 2017, 177, 91–98. [Google Scholar] [CrossRef]
- Bachmanov, A.A.; Kiefer, S.W.; Molina, J.C.; Tordoff, M.G.; Duffy, V.B.; Bartoshuk, L.M.; Mennella, J.A. Chemosensory factors influencing alcohol perception, preferences, and consumption. Alcohol. Clin. Exp. Res. 2003, 27, 220–231. [Google Scholar] [CrossRef] [Green Version]
- Duffy, V.B.; Davidson, A.C.; Kidd, J.R.; Kidd, K.K.; Speed, W.C.; Pakstis, A.J.; Reed, D.R.; Snyder, D.J.; Bartoshuk, L.M. Bitter receptor gene (TAS2R38), 6-n-propylthiouracil (PROP) bitterness and alcohol intake. Alcohol. Clin. Exp. Res. 2004, 28, 1629–1637. [Google Scholar] [CrossRef] [Green Version]
- Duffy, V.B.; Peterson, J.M.; Bartoshuk, L.M. Associations between taste genetics, oral sensations and alcohol intake. Physiol. Behav. 2004, 82, 435–445. [Google Scholar] [CrossRef]
- Intranuovo, L.R.; Powers, A.S. The perceived bitterness of beer and 6-n-propylthiouracil (PROP) sensitivity. Ann. N. Y. Acad. Sci. 1998, 855, 813–815. [Google Scholar] [CrossRef] [PubMed]
- Guinard, J.-X.; Zoumas-Morse, C.; Dietz, J.; Goldberg, S.; Holz, M.; Heck, E.; Amoros, A. Does consumption of beer, alcohol, and bitter substances affect bitterness perception? Physiol. Behav. 1996, 59, 625–631. [Google Scholar] [CrossRef]
- Fischer, M.E.; Cruickshanks, K.J.; Schubert, C.R.; Pinto, A.; Klein, B.E.K.; Klein, R.; Nieto, F.J.; Pankow, J.S.; Huang, G.-H.; Snyder, D.J. Taste intensity in the Beaver Dam offspring study. Laryngoscope 2013, 123, 1399–1404. [Google Scholar] [CrossRef] [PubMed] [Green Version]
- Ng, G.I.; Chen, C.M.; Graubard, B.I.; Hoffman, H.J.; Breslow, R.A. Alcohol and taste intensity. Chemosens. Percept. 2019, 12, 90–99. [Google Scholar] [CrossRef]
- Pickering, G.J.; Jain, A.K.; Bezawada, R. Segmentation and drivers of wine liking and consumption in US wine consumers. Int. J. Wine Res. 2014, 6, 9–19. [Google Scholar] [CrossRef] [Green Version]
- Monteleone, E.; Spinelli, S.; Dinnella, C.; Endrizzi, I.; Laureati, M.; Pagliarini, E.; Tesini, F. Exploring influences on food choice in a large population sample: The Italian Taste project. Food Qual. Prefer. 2017, 59, 123–140. [Google Scholar] [CrossRef]
- Peryam, D.R.; Pilgrim, F.J. Hedonic scale method of measuring food preferences. Food Technol. 1957, 11, 9–14. [Google Scholar]
- Bartoshuk, L.M.; Duffy, V.B.; Green, B.G.; Hoffman, H.J.; Ko, C.-W.; Lucchina, L.A.; Marks, L.E.; Snyder, D.J.; Weiffenbach, J.M. Valid across-group comparisons with labeled scales: The gLMS versus magnitude matching. Physiol. Behav. 2004, 82, 109–114. [Google Scholar] [CrossRef]
- Feeney, E.L.; Hayes, J.E. Regional differences in suprathreshold intensity for bitter and umami stimuli. Chemosens. Percept. 2014, 7, 147–157. [Google Scholar] [CrossRef] [Green Version]
- Hayes, J.E.; Sullivan, B.S.; Duffy, V.B. Explaining variability in sodium intake through oral sensory phenotype, salt sensation and liking. Physiol. Behav. 2010, 100, 369–380. [Google Scholar] [CrossRef] [Green Version]
- Masi, C.; Dinnella, C.; Monteleone, E.; Prescott, J. The impact of individual variations in taste sensitivity on coffee perceptions and preferences. Physiol. Behav. 2015, 138, 219–226. [Google Scholar] [CrossRef] [PubMed]
- Bartoshuk, L.M. Comparing sensory experiences across individuals: Recent psychophysical advances illuminate genetic variation in taste perception. Chem. Senses 2000, 25, 447–460. [Google Scholar] [CrossRef] [PubMed]
- Green, B.G.; Dalton, P.; Cowart, B.; Shaffer, G.; Rankin, K.; Higgins, J. Evaluating the ‘‘Labeled Magnitude Scale” for measuring sensations of taste and smell. Chem. Senses 1996, 21, 323–334. [Google Scholar] [CrossRef] [PubMed]
- Green, B.G.; Shaffer, G.S.; Gilmore, M.M. Derivation and evaluation of a semantic scale of oral sensation magnitude with apparent ratio properties. Chem. Senses 1993, 18, 683–702. [Google Scholar] [CrossRef]
- Prescott, J.; Soo, J.; Campbell, H.; Roberts, C. Responses of PROP taster groups to variations in sensory qualities within foods and beverages. Physiol. Behav. 2004, 82, 459–469. [Google Scholar] [CrossRef]
- Sluik, D.; Jankovic, N.; O’Doherty, M.G.; Geelen, A.; Schöttker, B.; Rolandsson, O.; Jong, J.C.K.-D.; Ferrières, J.; Bamia, C.; Fransen, H.P.; et al. Alcoholic Beverage Preference and Dietary Habits in Elderly across Europe: Analyses within the Consortium on Health and Ageing: Network of Cohorts in Europe and the United States (CHANCES) Project. PLoS ONE 2016, 11, e0161603. [Google Scholar] [CrossRef]
- Rodríguez-Donate, M.C.; Romero-Rodríguez, M.E.; Cano-Fernández, V.J.; Guirao-Pérez, G. Analysis of heterogeneity in the preferences of wine consumption. Wine Econ. Policy 2019, 8, 69–80. [Google Scholar] [CrossRef]
- Wilsnack, S.C.; Wilsnack, R.W.; Kantor, L.W. Focus on women and the costs of alcohol use. Alcohol Res. Health 2014, 35, 219–228. [Google Scholar]
- Chapman, N.G.; Nanney, M.; Lellock, S.J.; Mikles-Schluterman, J. Bottling gender: Accomplishing gender through craft beer consumption. Food Cult. Soc. 2018, 21, 296–313. [Google Scholar] [CrossRef]
- Thomasson, H.R. Gender differences in alcohol metabolism. In Recent Developments in Alcoholism; Springer: Boston, MA, USA, 2002; pp. 163–179. [Google Scholar]
- Predieri, S.; Sinesio, F.; Monteleone, E.; Spinelli, S.; Cianciabella, M.; Daniele, G.M.; Dinnella, C.; Gasperi, F.; Endrizzi, I.; Torri, L.; et al. Gender, Age, Geographical Area, Food Neophobia and Their Relationships with the Adherence to the Mediterranean Diet: New Insights from a Large Population Cross-Sectional Study. Nutrients 2020, 12, 1778. [Google Scholar] [CrossRef]
- Marinelli, N.; Fabbrizzi, S.; Alampi Sottini, V.; Sacchelli, S.; Bernetti, I.; Menghini, S. Generation Y, wine and alcohol. A semantic differential approach to consumption analysis in Tuscany. Appetite 2014, 75, 117–127. [Google Scholar] [CrossRef] [PubMed] [Green Version]
- Bastian, S.E.P.; Danner, L.; Niimi, J.; Ristic, R.; Johnson, T.E. Alcoholic beverages in context. In Context: The Effects of Environment on Product Design and Evaluation; Meiselman, H.L., Ed.; Woodhead Publishing: Cambridge, UK, 2019; pp. 605–630. [Google Scholar]
- Spinelli, S.; Dinnella, C.; Tesini, F.; Bendini, A.; Braghieri, A.; Proserpio, C.; Torri, L.; Miele, N.A.; Aprea, E.; Mazzaglia, A.; et al. Gender Differences in Fat-Rich Meat Choice: Influence of Personality and Attitudes. Nutrients 2020, 12, 1374. [Google Scholar] [CrossRef] [PubMed]
- Bajec, M.R.; Pickering, G.J. Thermal taste, PROP responsiveness, and perception of oral sensations. Physiol. Behav. 2008, 95, 581–590. [Google Scholar] [CrossRef] [PubMed]
- Fischer, M.E.; Cruickshanks, K.J.; Pankow, J.S.; Pankratz, N.; Schubert, C.R.; Huang, G.-H.; Klein, B.E.K.; Klein, R.; Pinto, A. The associations between 6-n-propylthiouracil (PROP) intensity and taste intensities differ by TAS2R38 haplotype. J. Nutr. Nutr. 2014, 7, 143–152. [Google Scholar] [CrossRef] [Green Version]
- Karrer, T.; Bartoshuk, L. Capsaicin desensitization and recovery on the human tongue. Physiol. Behav. 1991, 49, 757–764. [Google Scholar] [CrossRef]
- Prescott, J.; Swain-Campbell, N. Responses to repeated oral irritation by capsaicin, cinnamaldehyde and ethanol in prop tasters and nontasters. Chem. Senses 2000, 25, 239–246. [Google Scholar] [CrossRef]
- Tepper, B.J.; Nurse, R.J. Fat perception is related to PROP taster status. Physiol. Behav. 1997, 61, 949–954. [Google Scholar] [CrossRef]
- Spinelli, S.; De Toffoli, A.; Dinnella, C.; Laureati, M.; Pagliarini, E.; Bendini, A.; Braghieri, A.; Gallina, T.; Sinesio, F.; Torri, L.; et al. Personality traits and gender influence liking and choice of food pungency. Food Qual. Prefer. 2018, 66, 113–126. [Google Scholar] [CrossRef]
- Bartoshuk, L.; Conner, E.; Grubin, D.; Karrer, T.; Kochenbach, K.; Palcso, M.; Snow, D.; Pelchat, M.; Danowski, S. Prop supertasters and the perception of ethyl alcohol. Fifteenth Annual Meeting of the Association for Chemoreception Sciences (AChemS XV). Chem. Senses 1993, 18, 526–527. [Google Scholar] [CrossRef]
- Pickering, G.J.; Simukova, K.; DiBattista, D. Intensity of taste and astringency sensations elicited by red wines is associated with sensitivity to PROP (6-n-propylthiouracil). Food Qual. Prefer. 2004, 15, 147–154. [Google Scholar] [CrossRef]
- Allen, A.L.; McGeary, J.E.; Hayes, J.E. Polymorphisms in TRPV1 and TAS2Rs associate with sensations from sampled ethanol. Alcohol Clin. Exp. Res. 2014, 38, 2550–2560. [Google Scholar] [CrossRef] [PubMed] [Green Version]
- Trevisani, M.; Smart, D.; Gunthorpe, M.J.; Tognetto, M.; Barbieri, M.; Campi, B.; Amadesi, S.; Gray, J.; Jerman, J.C.; Brough, S.J.; et al. Ethanol elicits and potentiates nociceptor responses via the vanilloid receptor-1. Nat. Neurosci. 2002, 5, 546–551. [Google Scholar] [CrossRef] [PubMed]
- Bajec, M.R.; Pickering, G.J. Astringency: Mechanisms and perception. Crit. Rev. Food Sci. Nutr. 2008, 48, 858–875. [Google Scholar] [CrossRef] [PubMed]
- Ma, W.; Guo, A.; Zhang, Y.; Wang, H.; Liu, Y.; Li, H. A review on astringency and bitterness perception of tannins in wine. Trends Food Sci. Technol. 2014, 40, 6–19. [Google Scholar] [CrossRef]
- Meyerhof, W.; Batram, C.; Kuhn, C.; Brockhoff, A.; Chudoba, E.; Bufe, B.; Appendino, G.; Behrens, M. The molecular receptive ranges of human TAS2R bitter taste receptors. Chem. Senses 2010, 35, 157–170. [Google Scholar] [CrossRef]
- Roura, E.; Aldayyani, A.; Thavaraj, P.; Prakash, S.; Greenway, D.; Thomas, W.G.; Meyerhof, W.; Roudnitzky, N.; Foster, S.R. Variability in human bitter taste sensitivity to chemically diverse compounds can be accounted for by differential TAS2R activation. Chem. Senses 2015, 40, 427–435. [Google Scholar] [CrossRef] [Green Version]
- Tapper, K.; Baker, L.; Jiga-Boy, G.; Haddock, G.; Maio, G. Sensitivity to reward and punishment: Associations with diet, alcohol consumption, and smoking. Pers. Ind. Diff. 2015, 72, 79–84. [Google Scholar] [CrossRef] [Green Version]
- Terasaki, M.; Imada, S. Sensation seeking and food preferences. Pers. Ind. Diff. 1988, 1, 87–93. [Google Scholar] [CrossRef]
- Pierguidi, L.; Spinelli, S.; Dinnella, C.; Prescott, J.; Monteleone, E. Liking patterns moderate the relationship between sensory, emotional and context appropriateness profiles: Evidences from a Global Profile study on alcoholic cocktails. Food Qual. Prefer. 2020, 83, 103904. [Google Scholar] [CrossRef]




| Mean Consumption 1 | Gender | Age Groups (Years) | ||||||
|---|---|---|---|---|---|---|---|---|
| Total (n = 2388) | p-Value | Women (n = 1390) | Men (n = 998) | p-value | 18–29 (n = 915) | 30–45 (n = 678) | 46–60 (n = 795) | |
| Beer | 1.3 | <0.0001 | 0.84 a | 1.92 b | <0.0001 | 1.70 c | 1.40 b | 1.04 a |
| Wine | 2.4 | <0.0001 | 1.67 a | 3.52 b | <0.0001 | 1.71 a | 2.44 b | 3.64 c |
| Spirits/liquors | 0.4 | <0.0001 | 0.26 a | 0.64 b | <0.0001 | 0.61 b | 0.42 a | 0.32 a |
| Aperitifs/Cocktails | 0.7 | <0.0001 | 0.60 a | 0.80 b | <0.0001 | 1.06 c | 0.63 b | 0.40 a |
| Drink | Gender | Age Groups (Years) | |||||
|---|---|---|---|---|---|---|---|
| p-value | Women (n = 1390) | Men (n = 998) | p-value | 18–29 (n = 915) | 30–45 (n = 678) | 46–60 (n = 795) | |
| Blonde beer | < 0.0001 | 6.2 a | 7.2 b | n.s. | 6.7 | 6.8 | 6.7 |
| Dark beer | < 0.0001 | 5.4 a | 6.4 b | n.s. | 5.9 | 5.8 | 5.9 |
| Dry spumante | < 0.0001 | 5.5 a | 6.3 b | < 0.01 | 5.8 a | 5.8 a | 6.2 b |
| Sweet spumante | n.s. | 5.9 | 6.0 | < 0.0001 | 6.4 b | 5.8 a | 5.6 a |
| Red wine | < 0.0001 | 6.4 a | 7.4 b | < 0.0001 | 6.6 a | 7.0 b | 7.1 b |
| White wine | < 0.0001 | 6.0 a | 6.7 b | n.s. | 6.3 | 6.5 | 6.5 |
| Sparkling white wine | < 0.01 | 6.2 a | 6.5 b | n.s. | 6.4 | 6.2 | 6.4 |
| Passito wine | < 0.0001 | 6.0 a | 6.7 b | < 0.0001 | 6.1 a | 6.4 ab | 6.6 b |
| Limoncello | < 0.0001 | 5.6 a | 6.3 b | n.s. | 6.0 | 6.0 | 5.9 |
| Grappa | < 0.0001 | 3.4 a | 5.3 b | < 0.0001 | 3.9 a | 4.5 b | 4.7 b |
| Liquors | < 0.0001 | 4.4 a | 5.9 b | < 0.0001 | 5.3 b | 5.3 b | 4.9 a |
| Whisky | < 0.0001 | 3.1 a | 5.0 b | < 0.05 | 4.2 b | 4.0 ab | 3.9 a |
| Alcoholic aperitifs | p < 0.0001 | 5.9 a | 6.4 b | p < 0.0001 | 6.8 c | 6.1 b | 5.4 a |
| Non-alcoholic aperitifs | p < 0.01 | 6.4 b | 6.2 a | p < 0.0001 | 6.6 b | 6.2 b | 6.1 a |
| Segments | Drinking Behavior | Gender | Age Group (Years) | ||||||
|---|---|---|---|---|---|---|---|---|---|
| ODs 1 | χ2, p-Value | Women | Men | χ2, p-Value | 18–29 | 30–45 | 46–60 | χ2, p-Value | |
| Spirit lovers (n = 279) | 10.8 | 173.5 < 0.0001 | <8.9 | >16.2 | 33.9 < 0.0001 | 11.4 | >14.4 | 10.6 | 65.8, < 0.0001 |
| Beer/wine lovers (n = 1031) | <18.9 | 43.8 | 44.9 | <35.6 | 45.0 | >53.6 | |||
| Mild-drink lovers (n = 1021) | >70.3 | >47.3 | <39.0 | >53.1 | 40.6 | <35.8 | |||
© 2020 by the authors. Licensee MDPI, Basel, Switzerland. This article is an open access article distributed under the terms and conditions of the Creative Commons Attribution (CC BY) license (http://creativecommons.org/licenses/by/4.0/).
Share and Cite
Cravero, M.C.; Laureati, M.; Spinelli, S.; Bonello, F.; Monteleone, E.; Proserpio, C.; Lottero, M.R.; Pagliarini, E.; Dinnella, C. Profiling Individual Differences in Alcoholic Beverage Preference and Consumption: New Insights from a Large-Scale Study. Foods 2020, 9, 1131. https://doi.org/10.3390/foods9081131
Cravero MC, Laureati M, Spinelli S, Bonello F, Monteleone E, Proserpio C, Lottero MR, Pagliarini E, Dinnella C. Profiling Individual Differences in Alcoholic Beverage Preference and Consumption: New Insights from a Large-Scale Study. Foods. 2020; 9(8):1131. https://doi.org/10.3390/foods9081131
Chicago/Turabian StyleCravero, Maria Carla, Monica Laureati, Sara Spinelli, Federica Bonello, Erminio Monteleone, Cristina Proserpio, Maria Rosa Lottero, Ella Pagliarini, and Caterina Dinnella. 2020. "Profiling Individual Differences in Alcoholic Beverage Preference and Consumption: New Insights from a Large-Scale Study" Foods 9, no. 8: 1131. https://doi.org/10.3390/foods9081131
APA StyleCravero, M. C., Laureati, M., Spinelli, S., Bonello, F., Monteleone, E., Proserpio, C., Lottero, M. R., Pagliarini, E., & Dinnella, C. (2020). Profiling Individual Differences in Alcoholic Beverage Preference and Consumption: New Insights from a Large-Scale Study. Foods, 9(8), 1131. https://doi.org/10.3390/foods9081131

