Effect of Searing Process on Quality Characteristics and Storage Stability of Sous-Vide Cooked Pork Patties
Abstract
1. Introduction
2. Materials and Methods
2.1. Pork Patty Production and Treatments
2.2. Quality Measurements and Cooking Properties
2.3. Visual Attributes and Sensory Quality Characteristics
2.4. Storage Stability
2.5. Statistical Analysis
3. Results
3.1. Effects of Searing on Quality and Cooking Properties of Sous-Vide Patties
3.2. Effects of Searing on Sensory Quality Characteristics of Sous-Vide Patties
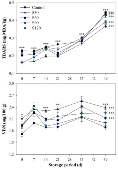
3.3. Effects of Searing on Storage Stability of Sous-Vide Patties
4. Discussion
5. Conclusions
Author Contributions
Funding
Acknowledgments
Conflicts of Interest
References
- Juneja, V.K.; Fan, X.; Pena-Ramos, A.; Diaz-Cinco, M.; Pacheco-Aguilar, R. The effect of grapefruit extract and temperature abuse on growth of Clostridium perfringens from spore inocula in marinated, sous-vide chicken products. Innov. Food Sci. Emerg. Technol. 2006, 7, 100–106. [Google Scholar] [CrossRef]
- Ayub, H.; Ahmad, A. Physicochemical changes in sous-vide and conventionally cooked meat. Int. J. Gastron. Food Sci. 2019, 17, 100145. [Google Scholar] [CrossRef]
- Baldwin, D.E. Sous vide cooking: A review. Int. J. Gastron. Food Sci. 2012, 1, 15–30. [Google Scholar] [CrossRef]
- Park, C.H.; Lee, B.; Oh, E.; Kim, Y.S.; Choi, Y.M. Combined effects of sous-vide cooking conditions on meat and sensory quality characteristics of chicken breast meat. Poult. Sci. 2020, 99, 3286–3291. [Google Scholar] [CrossRef] [PubMed]
- Hwang, S.I.; Lee, E.J.; Hong, G.P. Effects of temperature and time on the cookery properties of sous-vide processed pork loin. Food Sci. Anim. Resour. 2019, 39, 65–72. [Google Scholar] [CrossRef]
- Ruiz-Carrascal, J.; Roldan, M.; Refolio, F.; Perez-Palacios, T.; Antequera, T. Sous-vide cooking of meat: A Maillarized approach. Int. J. Gastron. Food Sci. 2019, 16, 100138. [Google Scholar] [CrossRef]
- Del Pulgar, J.S.; Gazquez, A.; Ruiz-Carrascal, J. Physico-chemical, textural and structural characteristics of sous-vide cooked pork cheeks as affected by vacuum, cooking temperature, and cooking time. Meat Sci. 2012, 90, 828–835. [Google Scholar] [CrossRef]
- Roldan, M.; Antequera, T.; Martin, A.; Mayoral, A.L.; Ruiz, J. Effect of different temperature-time combinations on physicochemical, microbiological, textural and structural features of sous-vide cooked lamb loins. Meat Sci. 2013, 93, 572–578. [Google Scholar] [CrossRef]
- Dominguez-Hernandez, E.; Salaseviciene, A.; Ertbjerg, P. Low-temperature long-time cooking of meat: Eating quality and underlying mechanisms. Meat Sci. 2018, 143, 104–113. [Google Scholar] [CrossRef]
- Commission Internationale de I’Eclairage (C.I.E.). Colorimetry, 4th ed.; International Commission on Illumination: Vienna, Austria, 2018; ISBN 9783902842138. [Google Scholar]
- Lee, Y.; Lee, B.; Kim, H.K.; Yun, Y.K.; Kang, S.J.; Kim, K.T.; Kim, B.D.; Kim, E.J.; Choi, Y.M. Sensory quality characteristics with different beef quality grades and surface texture features assessed by dented area and firmness, and the relation to muscle fiber and bundle characteristics. Meat Sci. 2018, 145, 195–201. [Google Scholar] [CrossRef]
- Bourne, M.C. Texture profile analysis. Food Technol. 1978, 32, 62–66. [Google Scholar]
- Choi, Y.M.; Choe, J.H.; Cho, D.K.; Kim, B.C. Practical use of surimi-like material made from porcine longissimus dorsi muscle for the production of low-fat pork patties. Meat Sci. 2012, 90, 292–296. [Google Scholar] [CrossRef] [PubMed]
- Murphy, E.W.; Crinder, P.E.; Gray, B.C. Comparison of methods for calculating retentions of nutrients in cooked foods. J. Agric. Food Chem. 1975, 23, 1153–1157. [Google Scholar] [CrossRef] [PubMed]
- American Meat Science Association. Research Guidelines for Cookery, Sensory Evaluation, and Instrumental Tenderness Measurements of Fresh Meat; American Meat Science Association: Savoy, IL, USA, 1995; ISBN 9780887000188. [Google Scholar]
- Meilgaard, M.; Civille, G.V.; Carr, B.T. Affective tests. In Sensory Evaluation Techniques; Meilgaard, M., Civille, G.V., Carr, B.T., Eds.; CRC Press Inc.: Boca Raton, FL, USA, 1991; pp. 211–222. [Google Scholar]
- Buege, J.; Aust, S. Microsomal lipid peroxidation. Methods Enzymol. 1978, 52, 302–310. [Google Scholar] [PubMed]
- Conway, E.J. Microdiffusion Analysis and Volumetric Error, 3rd ed.; Cosby Lochwood & Son Ltd.: London, UK, 1978. [Google Scholar]
- Kim, H.J.; Kim, H.J.; Jeon, J.; Nam, K.C.; Shim, K.S.; Jung, J.H.; Kim, K.S.; Choi, Y.; Kim, S.H.; Jang, A. Comparison of the quality characteristics of chicken breast meat from conventional and animal welfare farms under refrigerated storage. Poult. Sci. 2020, 99, 1788–1796. [Google Scholar] [CrossRef] [PubMed]
- Christensen, L.B.; Ertbjerg, P.; Aaslyng, M.D.; Christensen, M. Effect of prolonged heat treatment from 48 °C to 63 °C on toughness, cooking loss and color of pork. Meat Sci. 2011, 88, 280–285. [Google Scholar] [CrossRef]
- Alakali, J.S.; Irtwangs, S.V.; Mzer, M.T. Quality evaluation of beef patties formulated with Bambara groundnut (Vigna subterranean L.) seed flour. Meat Sci. 2010, 85, 215–223. [Google Scholar] [CrossRef]
- Yoo, J.H.; Kim, J.W.; Yong, H.I.; Baek, K.H.; Lee, H.J.; Jo, C. Effects of searing cooking on sensory and physicochemical properties of beef steak. Food Sci. Anim. Resour. 2020, 40, 44–54. [Google Scholar] [CrossRef]
- Kim, Y.A.; Ba, H.V.; Hwang, I. Effects of traditional sauce type and storage time on quality characteristics, shelf-life and flavor compounds of marinated pork cooked by sous vide method. Food Sci. Anim. Resour. 2019, 39, 355–370. [Google Scholar] [CrossRef]
- Calkins, C.R.; Hodgen, J.M. A fresh look at meat flavor. Meat Sci. 2007, 77, 63–80. [Google Scholar] [CrossRef]
- Hong, G.E.; Kim, J.H.; Ahn, S.J.; Lee, C.H. Changes in meat quality characteristics of the sous-vide cooked chicken breast during refrigerated storage. Korean J. Food Sci. Anim. Resour. 2015, 35, 757–764. [Google Scholar] [CrossRef] [PubMed]
- Sampaio, G.R.; Saldanha, T.; Soares, R.A.M.; Torres, E.A.F.S. Effect of natural antioxidant combinations on lipid oxidation in cooked chicken meat during refrigerated storage. Food Chem. 2012, 135, 1383–1390. [Google Scholar] [CrossRef] [PubMed]
- Benjaku, S.; Lertittikul, W.; Bauer, F. Antioxidant activity of Maillard reaction products from a porcine plasma protein–sugar model system. Food Chem. 2005, 93, 189–196. [Google Scholar] [CrossRef]
- Morales, F.J.; Jimenez-Perez, S. Free radical scavenging capacity of Maillard reaction products as related to colour and fluorescence. Food Chem. 2001, 72, 119–125. [Google Scholar] [CrossRef]
- Zhang, Y.; Holman, B.W.B.; Ponnampalam, E.N.; Kerr, M.G.; Bailes, K.L.; Kilgannon, A.K.; Collins, D.; Hopkins, D.L. Understanding beef flavour and overall liking traits using two different methods for determination of thiobarbituric acid reactive substance (TBARS). Meat Sci. 2019, 149, 114–119. [Google Scholar] [CrossRef]
- Ministry of Food Drug Safety. Food code, Ministry of Food and Drug Safety. 2018. Available online: http://www.foodsafetykorea.go.kr/foodcode/index.jsp/ (accessed on 1 June 2018).

| Control | Searing Treatment | SEM | Level of Significance 1 | ||||
|---|---|---|---|---|---|---|---|
| S30 | S60 | S90 | S120 | ||||
| pH | 6.20 b | 6.23 a | 6.24 a | 6.24 a | 6.25 a | 0.01 | *** |
| Lightness (L*) | 55.8 a | 54.3 ab | 53.9 b | 48.8 c | 46.8 d | 0.56 | *** |
| Redness (a*) | 5.08 b | 3.85 c | 4.73 b | 4.98 b | 6.48 a | 0.16 | *** |
| Yellowness (b*) | 9.21 d | 10.8 c | 13.0 a | 11.7 b | 12.0 b | 0.18 | *** |
| Hue angle 2 | 61.2 c | 70.3 a | 70.1 a | 66.8 b | 61.7 c | 0.69 | *** |
| Saturation index 3 | 10.5 d | 11.4 c | 13.9 a | 12.7 b | 13.6 a | 0.20 | *** |
| Texture profile analysis | |||||||
| Hardness (N) | 4.15 d | 5.36 c | 5.85 b | 6.11 b | 6.64 a | 0.12 | *** |
| Cohesiveness | 0.64 b | 0.70 a | 0.65 ab | 0.50 c | 0.47 c | 0.02 | *** |
| Springiness (mm) | 1.33 c | 1.04 d | 2.35 a | 1.73 b | 1.85 b | 0.07 | *** |
| Chewiness (N·mm) | 3.50 c | 3.97 c | 9.03 a | 5.24 b | 5.80 b | 0.35 | *** |
| Control | Searing Treatment | SEM | Level of Significance 1 | ||||
|---|---|---|---|---|---|---|---|
| S30 | S60 | S90 | S120 | ||||
| Cooking yield (%) | 81.6 a | 80.1 b | 76.9 c | 75.4 d | 73.4 e | 0.01 | *** |
| Diameter reduction (%) | 12.0 e | 13.1 d | 15.4 c | 18.3 b | 21.2 a | 0.26 | *** |
| Thickness increment (%) | 34.5 b | 27.6 c | 23.0 d | 32.2 b | 41.1 a | 0.77 | *** |
| Shrinkage (%) | 4.71 e | 6.67 d | 9.25 c | 10.2 b | 11.3 a | 0.25 | *** |
| Control | Searing Treatment | SEM | Level of Significance 1 | ||||
|---|---|---|---|---|---|---|---|
| S30 | S60 | S90 | S120 | ||||
| Color 2 | 3.35 d | 4.70 c | 6.35 b | 7.17 a | 7.17 a | 0.28 | *** |
| Moisture | 6.11 a | 5.70 ab | 5.46 b | 4.88 c | 4.29 d | 0.22 | *** |
| Appearance | 4.29 d | 5.41 c | 7.35 a | 6.70 b | 5.41 c | 0.26 | *** |
| Overall acceptability | 4.37 d | 5.42 c | 7.54 a | 6.95 b | 5.78 c | 0.23 | *** |
| Control | Searing Treatment | SEM | Level of Significance 1 | ||||
|---|---|---|---|---|---|---|---|
| S30 | S60 | S90 | S120 | ||||
| Tenderness 2 | 5.36 d | 6.30 bc | 7.24 a | 6.48 b | 5.65 cd | 0.29 | *** |
| Juiciness | 5.73 a | 5.44 a | 5.03 ab | 4.55 bc | 3.85 c | 0.32 | *** |
| Flavor intensity | 5.46 c | 5.93 c | 6.69 b | 7.16 ab | 7.28 a | 0.23 | *** |
| Off-flavor intensity | 5.16 | 5.45 | 5.74 | 5.57 | 5.63 | 0.33 | NS |
| Saltiness | 5.73 a | 5.44 a | 5.03 ab | 4.55 bc | 3.85 c | 0.32 | *** |
| Overall acceptability | 5.32 d | 6.14 bc | 7.14 a | 6.38 b | 5.62 cd | 0.27 | *** |
| Control | Searing Treatment | SEM | Level of Significance 1 | ||||
|---|---|---|---|---|---|---|---|
| S30 | S60 | S90 | S120 | ||||
| Total aerobic plate count (log CFU/g) | |||||||
| After searing | 8.43 a | 1.88 b | 1.40 bc | 1.07 c | 0.51 c | 0.27 | *** |
| After sous-vide treatment | |||||||
| 0 d | ND | ND | ND | ND | ND | ND | |
| 14 d | ND | ND | ND | ND | ND | ND | |
| 49 d | ND | ND | ND | ND | ND | ND | |
| Coliform count (log CFU/g) | |||||||
| After searing | 0.76 a | 0.83 a | 0.37 b | 0.10 c | 0.07 c | 0.06 | *** |
| After sous-vide treatment | |||||||
| 0 d | ND | ND | ND | ND | ND | ND | |
| 14 d | ND | ND | ND | ND | ND | ND | |
| 49 d | ND | ND | ND | ND | ND | ND | |
© 2020 by the authors. Licensee MDPI, Basel, Switzerland. This article is an open access article distributed under the terms and conditions of the Creative Commons Attribution (CC BY) license (http://creativecommons.org/licenses/by/4.0/).
Share and Cite
Cho, D.K.; Lee, B.; Oh, H.; Lee, J.S.; Kim, Y.S.; Choi, Y.M. Effect of Searing Process on Quality Characteristics and Storage Stability of Sous-Vide Cooked Pork Patties. Foods 2020, 9, 1011. https://doi.org/10.3390/foods9081011
Cho DK, Lee B, Oh H, Lee JS, Kim YS, Choi YM. Effect of Searing Process on Quality Characteristics and Storage Stability of Sous-Vide Cooked Pork Patties. Foods. 2020; 9(8):1011. https://doi.org/10.3390/foods9081011
Chicago/Turabian StyleCho, Dong Kook, Boin Lee, Hyeonbin Oh, Jae Sang Lee, Young Soon Kim, and Young Min Choi. 2020. "Effect of Searing Process on Quality Characteristics and Storage Stability of Sous-Vide Cooked Pork Patties" Foods 9, no. 8: 1011. https://doi.org/10.3390/foods9081011
APA StyleCho, D. K., Lee, B., Oh, H., Lee, J. S., Kim, Y. S., & Choi, Y. M. (2020). Effect of Searing Process on Quality Characteristics and Storage Stability of Sous-Vide Cooked Pork Patties. Foods, 9(8), 1011. https://doi.org/10.3390/foods9081011

