Thermal and Mineral Sensitivity of Oil-in-Water Emulsions Stabilised using Lentil Proteins
Abstract
:1. Introduction
2. Materials and Methods
2.1. Materials
2.2. Preparation of Emulsions
2.3. Viscosity Changes on Heating
2.4. Heat Stability of the Emulsions
2.5. Particle Size Distribution
2.6. Protein Profile Analysis
2.7. Confocal Laser Scanning Microscopy
2.8. Statistical Data Analysis
3. Results and Discussion
3.1. Influence of Calcium Chloride on pH of Emulsions
3.2. Viscosity of Emulsions during Thermal Processing
3.3. Heat Stability of Emulsions
3.4. Particle Size Distribution of Emulsions
3.5. Protein Profile Analysis
3.6. Confocal Laser Scanning Microscopy
4. Conclusions
Author Contributions
Funding
Acknowledgments
Conflicts of Interest
References
- Aiking, H. Future protein supply. Trends Food Sci. Technol. 2011, 22, 112–120. [Google Scholar]
- Day, L. Proteins from land plants—Potential resources for human nutrition and food security. Trends Food Sci. Technol. 2013, 32, 25–42. [Google Scholar]
- United Nations (Department of Economic and Social Affairs). World Population Prospects. Available online: https://population.un.org/wpp/Graphs/Probabilistic/POP/TOT/900 (accessed on 21 February 2019).
- Heller, M.C.; Keoleian, G.A.; Willett, W.C. Toward a life cycle-based, diet-level framework for food environmental impact and nutritional quality assessment: A critical review. Environ. Sci. Technol. 2013, 47, 12632–12647. [Google Scholar]
- Springmann, M.; Godfray, H.C.J.; Rayner, M.; Scarborough, P. Analysis and valuation of the health and climate change cobenefits of dietary change. Proc. Natl. Acad. Sci. USA 2016, 113, 4146–4151. [Google Scholar]
- Jarpa-Parra, M. Lentil protein: A review of functional properties and food application. An overview of lentil protein functionality. Int. J. Food Sci. Technol. 2018, 53, 892–903. [Google Scholar]
- Alonso-Miravalles, L.; Jeske, S.; Bez, J.; Detzel, A.; Busch, M.; Krueger, M.; Wriessnegger, C.L.; O’Mahony, J.A.; Zannini, E.; Arendt, E.K. Membrane filtration and isoelectric precipitation technological approaches for the preparation of novel, functional and sustainable protein isolate from lentils. Eur. Food Res. Technol. 2019, 245, 1855–1869. [Google Scholar]
- Avramenko, N.A.; Low, N.H.; Nickerson, M.T. The effects of limited enzymatic hydrolysis on the physicochemical and emulsifying properties of a lentil protein isolate. Food Res. Int. 2013, 51, 162–169. [Google Scholar]
- Joshi, M.; Timilsena, Y.; Adhikari, B. Global production, processing and utilization of lentil: A review. J. Integr. Agric. 2017, 16, 2898–2913. [Google Scholar]
- Boye, J.; Zare, F.; Pletch, A. Pulse proteins: Processing, characterization, functional properties and applications in food and feed. Food Res. Int. 2010, 43, 414–431. [Google Scholar]
- European Commission. The Development of Plant Proteins in the European Union; European Commission: Brussels, Belgium, 2018; COM/2018/757. [Google Scholar]
- McClements, D.J.; Bai, L.; Chung, C. Recent Advances in the Utilization of Natural Emulsifiers to Form and Stabilize Emulsions. Annu. Rev. Food Sci. Technol. 2017, 8, 205–236. [Google Scholar]
- Johnston, S.P.; Nickerson, M.T.; Low, N.H. The physicochemical properties of legume protein isolates and their ability to stabilize oil-in-water emulsions with and without genipin. J. Food Sci. Technol. 2015, 52, 4135–4145. [Google Scholar]
- Can Karaca, A.; Low, N.H.; Nickerson, M.T. Potential use of plant proteins in the microencapsulation of lipophilic materials in foods. Trends Food Sci. Technol. 2015, 42, 5–12. [Google Scholar]
- Gumus, C.E.; Decker, E.A.; McClements, D.J. Formation and Stability of ω-3 Oil Emulsion-Based Delivery Systems Using Plant Proteins as Emulsifiers: Lentil, Pea, and Faba Bean Proteins. Food Biophys. 2017, 12, 186–197. [Google Scholar]
- Gumus, C.E.; Decker, E.A.; McClements, D.J. Gastrointestinal fate of emulsion-based ω-3 oil delivery systems stabilized by plant proteins: Lentil, pea, and faba bean proteins. J. Food Eng. 2017, 207, 90–98. [Google Scholar]
- Avramenko, N.A.; Chang, C.; Low, N.H.; Nickerson, M.T. Encapsulation of flaxseed oil within native and modified lentil protein-based microcapsules. Food Res. Int. 2016, 81, 17–24. [Google Scholar]
- Chalupa-Krebzdak, S.; Long, C.J.; Bohrer, B.M. Nutrient density and nutritional value of milk and plant-based milk alternatives. Int. Dairy J. 2018, 87, 84–92. [Google Scholar]
- Piorkowski, D.T.; McClements, D.J. Beverage emulsions: Recent developments in formulation, production, and applications. Food Hydrocoll. 2014, 42, 5–41. [Google Scholar]
- Crowley, S.V.; Kelly, A.L.; O’Mahony, J.A. Fortification of reconstituted skim milk powder with different calcium salts: Impact of physicochemical changes on stability to processing. Int. J. Dairy Technol. 2014, 67, 474–482. [Google Scholar]
- Silva, J.V.C.; Jacquette, B.; Amagliani, L.; Schmitt, C.; Nicolai, T.; Chassenieux, C. Heat-induced gelation of micellar casein/plant protein oil-in-water emulsions. Colloids Surf. A Phys. Eng. Asp. 2019, 569, 85–92. [Google Scholar]
- Pandalaneni, K.; Bhanduriya, K.; Amamcharla, J.K.; Marella, C.; Metzger, L.E. Influence of milk protein concentrates with modified calcium content on enteral dairy beverage formulations: Storage stability. J. Dairy Sci. 2018, 102, 155–163. [Google Scholar]
- Drapala, K.P.; Mulvihill, D.M.; O’Mahony, J.A. A review of the analytical approaches used for studying the structure, interactions and stability of emulsions in nutritional beverage systems. Food Struct. 2018, 16, 27–42. [Google Scholar]
- Fox, P.F.; Uniacke, T.; McSweeney, P.L.H.; O’Mahony, J.A. Dairy Chemistry and Biochemistry, 2nd ed.; Springer International Publishing: New York, NY, USA, 2015; ISBN 978-3-319-14892-2. [Google Scholar]
- Keowmaneechai, E.; McClements, D.J. Effect of CaCl2 and KCl on Physiochemical Properties of Model Nutritional Beverages Based on Whey Protein Stabilized Oil-in-Water Emulsions. J. Food Sci. 2002, 67, 665–671. [Google Scholar]
- Ye, A.; Singh, H. Influence of calcium chloride addition on the properties of emulsions stabilized by whey protein concentrate. Food Hydrocoll. 2000, 14, 337–346. [Google Scholar]
- Omoarukhe, E.D.; On-Nom, N.; Grandison, A.S.; Lewis, M.J. Effects of different calcium salts on properties of milk related to heat stability. Int. J. Dairy Technol. 2010, 63, 504–511. [Google Scholar]
- Joyce, A.M.; Kelly, A.L.; O’Mahony, J.A. Controlling denaturation and aggregation of whey proteins during thermal processing by modifying temperature and calcium concentration. Int. J. Dairy Technol. 2018, 71, 446–453. [Google Scholar]
- Zhao, H.; Li, W.; Qin, F.; Chen, J. Calcium sulphate-induced soya bean protein tofu-type gels: Influence of denaturation and particle size. Int. J. Food Sci. Technol. 2016, 51, 731–741. [Google Scholar]
- Pathomrungsiyounggul, P.; Lewis, M.J.; Grandison, A.S. Effects of calcium-chelating agents and pasteurisation on certain properties of calcium-fortified soy milk. Food Chem. 2010, 118, 808–814. [Google Scholar]
- Wang, X.; He, Z.; Zeng, M.; Qin, F.; Adhikari, B.; Chen, J. Effects of the size and content of protein aggregates on the rheological and structural properties of soy protein isolate emulsion gels induced by CaSO4. Food Chem. 2017, 221, 130–138. [Google Scholar]
- Davies, D.T.; White, J.C.D. The stability of milk protein to heat. J. Dairy Res. 1966, 33, 67–81. [Google Scholar]
- Drapala, K.P.; Auty, M.A.E.; Mulvihill, D.M.; O’Mahony, J.A. Improving thermal stability of hydrolysed whey protein-based infant formula emulsions by protein–carbohydrate conjugation. Food Res. Int. 2016, 88, 42–51. [Google Scholar]
- Zayas, J.F. Functionality of Proteins in Food, 1st ed.; Springer: Berlin/Heidelberg, Germany, 1997; ISBN 978-3-642-59116-7. [Google Scholar]
- Jeske, S.; Bez, J.; Arendt, E.K.; Zannini, E. Formation, stability, and sensory characteristics of a lentil-based milk substitute as affected by homogenisation and pasteurisation. Eur. Food Res. Technol. 2019, 245, 1519–1531. [Google Scholar] [CrossRef]
- Zhang, J.; Liang, L.; Tian, Z.; Chen, L.; Subirade, M. Preparation and in vitro evaluation of calcium-induced soy protein isolate nanoparticles and their formation mechanism study. Food Chem. 2012, 133, 390–399. [Google Scholar] [CrossRef]
- Maltais, A.; Remondetto, G.E.; Subirade, M. Mechanisms involved in the formation and structure of soya protein cold-set gels: A molecular and supramolecular investigation. Food Hydrocoll. 2008, 22, 550–559. [Google Scholar] [CrossRef]
- Dagorn-Scaviner, C.; Gueguen, J.; Lefebvre, J. Emulsifying properties of pea globulins as related to their adsorptions behaviours. J. Food Sci. 1987, 52, 335–341. [Google Scholar] [CrossRef]
- Ladjal-Ettoumi, Y.; Boudries, H.; Chibane, M.; Romero, A. Pea, Chickpea and Lentil Protein Isolates: Physicochemical Characterization and Emulsifying Properties. Food Biophys. 2016, 11, 43–51. [Google Scholar] [CrossRef]
- Barbana, C.; Boye, J.I. Angiotensin I-converting enzyme inhibitory properties of lentil protein hydrolysates: Determination of the kinetics of inhibition. Food Chem. 2011, 127, 94–101. [Google Scholar] [CrossRef]
- Jarpa-Parra, M.; Bamdad, F.; Tian, Z.; Zeng, H.; Temelli, F.; Chen, L. Impact of pH on molecular structure and surface properties of lentil legumin-like protein and its application as foam stabilizer. Colloids Surf. B Biointerfaces 2015, 132, 45–53. [Google Scholar]
- Joshi, M.; Adhikari, B.; Aldred, P.; Panozzo, J.F.; Kasapis, S. Physicochemical and functional properties of lentil protein isolates prepared by different drying methods. Food Chem. 2011, 129, 1513–1522. [Google Scholar] [CrossRef]

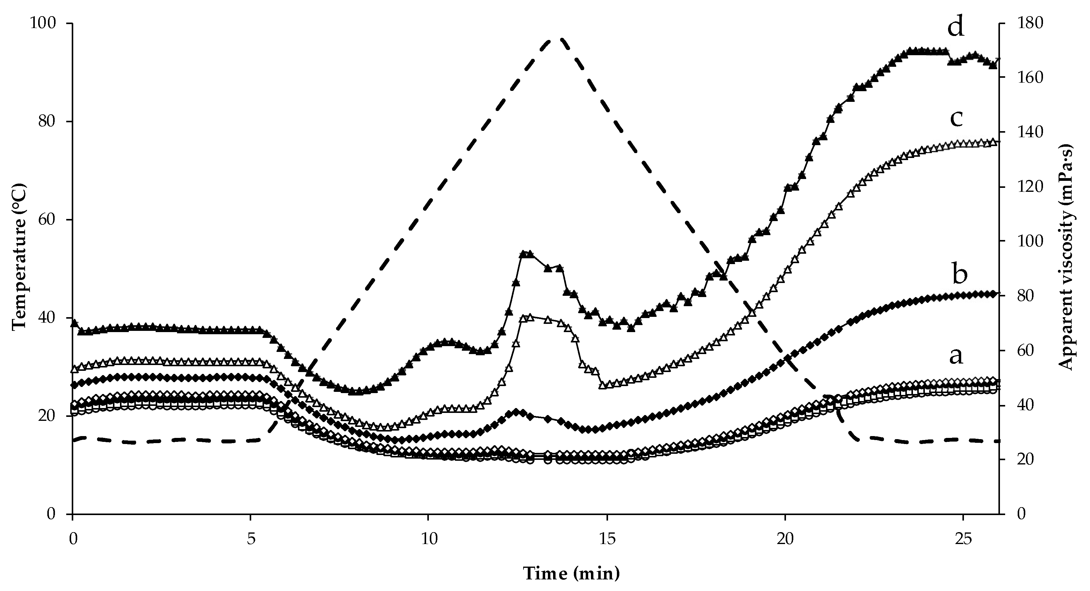
), 2 (
), 3 (
), 4 (
), 5 (
), 6 (
) and 10 (
) mM calcium chloride during heat treatment with peak temperature hold at 95 °C for 30 s using a starch pasting cell. Dashed line (
) represents the temperature profile. (a–d) The statistical analysis was performed on the final viscosity of the samples; samples not sharing a common letter differed significantly (p < 0.05).
), 2 (
), 3 (
), 4 (
), 5 (
), 6 (
) and 10 (
) mM calcium chloride during heat treatment with peak temperature hold at 95 °C for 30 s using a starch pasting cell. Dashed line (
) represents the temperature profile. (a–d) The statistical analysis was performed on the final viscosity of the samples; samples not sharing a common letter differed significantly (p < 0.05).

) and coagulation (
) time at 140 °C, pH 6.8, of control (i.e., no calcium added) lentil protein-stabilised emulsions. (a–h) The statistical analysis was performed between heat onset or coagulation time results at different pH’s; samples not sharing a common superscript differed significantly (p < 0.05).
) and coagulation (
) time at 140 °C, pH 6.8, of control (i.e., no calcium added) lentil protein-stabilised emulsions. (a–h) The statistical analysis was performed between heat onset or coagulation time results at different pH’s; samples not sharing a common superscript differed significantly (p < 0.05).
) and coagulation (
) time of emulsions stabilised by lentil protein at pH 6.8. (a–e) The statistical analysis was performed between heat onset or coagulation time results at different [CaCl2]; samples not sharing a common superscript differed significantly (p ˂ 0.05).
) and coagulation (
) time of emulsions stabilised by lentil protein at pH 6.8. (a–e) The statistical analysis was performed between heat onset or coagulation time results at different [CaCl2]; samples not sharing a common superscript differed significantly (p ˂ 0.05).



© 2020 by the authors. Licensee MDPI, Basel, Switzerland. This article is an open access article distributed under the terms and conditions of the Creative Commons Attribution (CC BY) license (http://creativecommons.org/licenses/by/4.0/).
Share and Cite
Alonso-Miravalles, L.; Zannini, E.; Bez, J.; Arendt, E.K.; O’Mahony, J.A. Thermal and Mineral Sensitivity of Oil-in-Water Emulsions Stabilised using Lentil Proteins. Foods 2020, 9, 453. https://doi.org/10.3390/foods9040453
Alonso-Miravalles L, Zannini E, Bez J, Arendt EK, O’Mahony JA. Thermal and Mineral Sensitivity of Oil-in-Water Emulsions Stabilised using Lentil Proteins. Foods. 2020; 9(4):453. https://doi.org/10.3390/foods9040453
Chicago/Turabian StyleAlonso-Miravalles, Loreto, Emanuele Zannini, Juergen Bez, Elke K. Arendt, and James A. O’Mahony. 2020. "Thermal and Mineral Sensitivity of Oil-in-Water Emulsions Stabilised using Lentil Proteins" Foods 9, no. 4: 453. https://doi.org/10.3390/foods9040453
APA StyleAlonso-Miravalles, L., Zannini, E., Bez, J., Arendt, E. K., & O’Mahony, J. A. (2020). Thermal and Mineral Sensitivity of Oil-in-Water Emulsions Stabilised using Lentil Proteins. Foods, 9(4), 453. https://doi.org/10.3390/foods9040453

