Lipid and Protein Oxidation Marker Compounds in Horse Meat Determined by MIR Spectroscopy
Abstract
1. Introduction
2. Material and Methods
2.1. Animal Management and Meat Sampling
2.2. Experimental Design
2.3. Analytic Method for Both Lipid and Protein Oxidation Quantification
2.3.1. Lipid Oxidation Quantification: Thiobarbituric Acid Reactive Substances (TBARS) Analysis
2.3.2. Protein Oxidation Quantification: Dinitrophenylhydrazine (DNPH) Method
2.4. MIR Spectra Acquisition
2.5. Statistical/Chemometric Treatment
Data Preprocessing
3. Results and Discussion
3.1. Lipid and Protein Oxidation Quantification
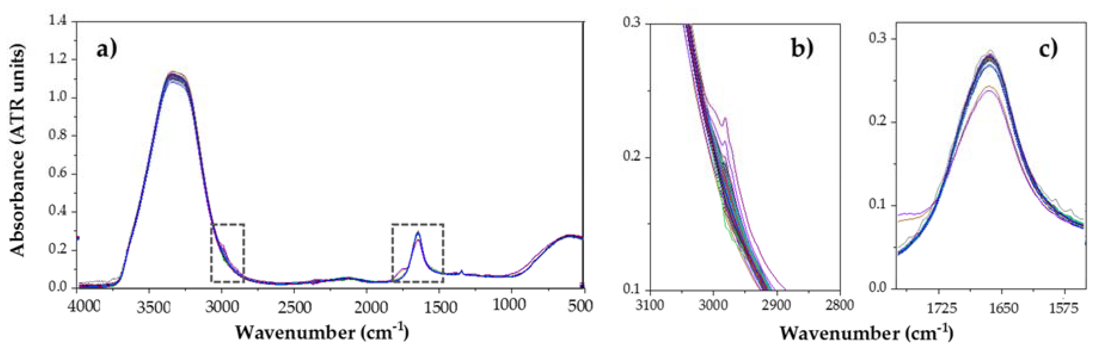
3.2. Spectral Characterization
3.2.1. Spectral Characteristics of Lipid Oxidation Marker Compounds
3.2.2. Spectral Characteristics of Protein Oxidation Marker Compounds
3.3. Multivariate Analysis and Data Processing
3.3.1. Lipid Oxidation Results
3.3.2. Protein Oxidation Results
3.3.3. Raw Meat vs. Marker Compounds Quantitative Analysis Results
4. Conclusions
Author Contributions
Funding
Acknowledgments
Conflicts of Interest
Appendix A
| Standard Concentrate | Linseed Concentrate | |||||
|---|---|---|---|---|---|---|
| Ration (%) | Digestible Energy (Mcal/kg DM) | % Brute Protein/kg DM | Ration (%) | Digestible Energy (Mcal/kg DM) | % Brute Protein/kg DM | |
| Ingredients | ||||||
| Oat flour | 30.03 | 2.5 | 7.4 | 45.95 | 2.5 | 7.4 |
| Barley flour | 30.10 | 2.9 | 8.3 | 13.07 | 2.9 | 8.3 |
| Cornmeal | 15.47 | 3.0 | 6.5 | 14.54 | 3.0 | 6.5 |
| Wheat Bran | 7.95 | 2.3 | 13.0 | 5.92 | 2.3 | 13.0 |
| Soybean meal | 9.99 | 3.0 | 38.2 | 9.06 | 3.0 | 38.2 |
| Glycerol | 3.96 | 3.2 | 3.96 | 3.2 | ||
| Linseed | 5.01 | 3.9 | 19.1 | |||
| TOTAL | 97.50 1 | 2.69 | 10.57 | 97.51 1 | 2.70 | 10.61 |
References
- Martuzzi, F.; Catalano, A.; Sussi, C. Characteristics of horse meat consumption and production in Italy. Ann. Della Fac. Med. Vet. 2001, 21, 213–223. [Google Scholar]
- Caballero, J. Carne de Potro, la Nueva Favorita de la Alta Gastronomía por su Alto Valor Proteico y su Poca Grasa. Available online: http://www.expansion.com/fueradeserie/gastro/2017/07/11/595f50cee2704ef94d8b45f2.html (accessed on 12 July 2017).
- Ministerio de Agricultura, Pesca, y Alimentación, G. de E. El Sector Equino en Cifras. Available online: https://www.mapa.gob.es/es/ganaderia/temas/produccion-y-mercados-ganaderos/indicadoreseconomicossectorequino2019_parapublicar_tcm30-420793.pdf (accessed on 29 October 2020).
- Sarriés, M.V.; Beriain, M.J. Carcass characteristics and meat quality of male and female foals. Meat Sci. 2005, 70, 141–152. [Google Scholar] [CrossRef]
- Lorenzo, J.M.; Sarriés, M.V.; Tateo, A.; Polidori, P.; Franco, D.; Lanza, M. Carcass characteristics, meat quality and nutritional value of horsemeat: A review. Meat Sci. 2014, 96, 1478–1488. [Google Scholar] [CrossRef]
- Lorenzo, J.M.; Pateiro, M. Influence of type of muscles on nutritional value of foal meat. Meat Sci. 2013, 93, 630–638. [Google Scholar] [CrossRef]
- Dobranic, V.; Njari, B.; Cvrtila Fleck, Z.; Kadivc, M. Chemical composition of horse meat. First Croat. Meat J. 2009, XI, 62–67. [Google Scholar]
- Gómez, M.; Lorenzo, J.M. Effect of packaging conditions on shelf-life of fresh foal meat. Meat Sci. 2012, 91, 513–520. [Google Scholar] [CrossRef]
- Estévez, M.; Ventanas, S.; Cava, R. Oxidation lipids and proteins in frankfurthers with different fatty acid compositions and tocopherol and phenolic contents. Food Chem. 2007, 100, 55–63. [Google Scholar] [CrossRef]
- Barriuso, B.; Astiasarán, I.; Ansorena, D. A review of analytical methods measuring lipid oxidation status in foods: A challenging task. Eur. Food Res. Technol. 2012, 236, 1–15. [Google Scholar] [CrossRef]
- Pignoli, G.; Bou, R.; Rodriguez-Estrada, M.T.; Decker, E.A. Suitability of saturated aldehydes as lipid oxidation markers in washed turkey meat. Meat Sci. 2009, 83, 412–416. [Google Scholar] [CrossRef]
- Estévez, M. Protein carbonyls in meat systems: A review. Meat Sci. 2011, 89, 259–279. [Google Scholar] [CrossRef]
- Brewer, S. Irradiation effects on meat color—A review. Meat Sci. 2004, 68, 1–17. [Google Scholar] [CrossRef] [PubMed]
- Zakrys-Waliwander, P.I.; O’Sullivan, M.G.; Allen, P.; O’Neill, E.E.; Kerry, J.P. Investigation of the effects of commercial carcass suspension (24 and 48 h) on meat quality in high oxygen modified atmosphere packed beef steaks during chill storage. Food Res. Int. 2010, 43, 277–284. [Google Scholar] [CrossRef]
- Lund, M.N.; Heinonen, M.; Baron, C.P.; Estévez, M. Protein oxidation in muscle foods: A review. Mol. Nutr. Food Res. 2011, 55, 83–95. [Google Scholar] [CrossRef] [PubMed]
- Allendorf, M.E. Use of FTIR for Rapid Authentication and Detection of Adulteration of Food. Annu. Rev. Food Sci. Technol. 2011, 2, 467–483. [Google Scholar]
- Reid, L.M.; Downey, G. Recent technological advances for the determination of food authenticity. Trends Food Sci. Technol. 2006, 17, 344–353. [Google Scholar] [CrossRef]
- Vyncke, W. Evaluation of the Direct Thiobarbituric Acid Extraction Method for Determining Oxidative Rancidity in Mackerel (Scomber scombrus L.). Meat Sci. 1975, 77, 239–240. [Google Scholar] [CrossRef]
- Oliver, C.N.; Ahn, B.W.; Moerman, E.J.; Goldstein, S.; Stadtman, E.R. Age-related changes in oxidized proteins. J. Biol. Chem. 1987, 262, 5488–5491. [Google Scholar]
- Vuorela, S.; Salminen, H.; Mäkelä, M.; Kivikari, R.; Karonen, M.; Heinonen, M. Effect of plant phenolics on protein and lipid oxidation in cooked pork meat patties. J. Agric. Food Chem. 2005, 53, 8492–8497. [Google Scholar] [CrossRef]
- Ruiz, M.; Beriain, M.J.; Beruete, M.; Insausti, K.; Lorenzo, J.M.; Sarriés, M.V. Application of MIR Spectroscopy to the Evaluation of Chemical Composition and Quality Parameters of Foal Meat: A Preliminary Study. Foods 2020, 9, 583. [Google Scholar] [CrossRef]
- Ruiz Darbonnens, M. Effect of Production Factors on Foal Carcass and Meat Quality: Consumers Preferences. Ph.D. Thesis, Universidad Pública de Navarra, Pamplona, Spain, 2017. [Google Scholar]
- Dominguez, R.; Pateiro, M.; Crecente, S.; Ruiz, M.; Sarries, M.V.; Lorenzo, J.M. Effect of Linseed Supplementation and Slaughter Age on Meat Quality of Grazing Crossbred Galician x Burguete Foals. Sci. Food Agric. 2018, 98, 266–273. [Google Scholar] [CrossRef]
- Pretsch, E.; Bühlmann, P.; Affolter, C. Structure Determination of Organic Compounds; Springer: Berlin/Heidelberg, Germany, 2000; ISBN 9783540938095. [Google Scholar]
- Jabs, A. Determination of Secondary Structure in Proteins by Fourier Transform Infrared Spectroscopy (FTIR). Available online: http://jenalib.leibniz-fli.de/ImgLibDoc/ftir/IMAGE_FTIR.html (accessed on 14 November 2020).
- Tamm, L.K.; Tatulian, S.A. Infrared spectroscopy of proteins and peptides in lipid bilayers. Q. Rev. Biophys. 1997, 30, 365–429. [Google Scholar] [CrossRef] [PubMed]
- Silverstein, R.M.; Bassler, G.C.; Morrill, T.C. Spectrometric Identification of Organic Compounds, 4th ed.; John Wiley and Sons: New York, NY, USA, 2005; ISBN 978-0-470-61637-6. [Google Scholar]
- Kanou, M.; Nakanishi, K.; Hashimoto, A.; Kameokaj, T. Influences of monosaccharides and its glycosidic linkage on infrared spectral characteristics of disaccharides in aqueous solutions. Appl. Spectrosc. 2005, 59, 885–892. [Google Scholar] [CrossRef]
- Karoui, R.; Downey, G.; Blecker, C. Mid-infrared spectroscopy coupled with chemometrics: A tool for the analysis of intact food systems and the exploration of their molecular structure-quality relationships–A review. Chem. Rev. 2010, 110, 6144–6168. [Google Scholar] [CrossRef]
- Eisenberg, D.; Kauzmann, W. The Structure and Properties of Water; Oxford University Press: New York, NY, UISA, 1969; ISBN 9780198570264. [Google Scholar]
- Nikonenko, N.A.; Buslov, D.K.; Sushko, N.I.; Zhbankov, R.G. Spectroscopic manifestation of stretching vibrations of glycosidic linkage in polysaccharides. J. Mol. Struct. 2005, 752, 20–24. [Google Scholar] [CrossRef]
- Sun, D.W. Infrared Spectroscopy for Food Quality Analysis and Control, 1st ed.; Sun, D.-W., Ed.; Elsevier Science Publishing: Amsterdam, The Netherlands, 2009; ISBN 978-0-12-374136-3. [Google Scholar]
- Bacher, A. Infrared Spectroscopy: Theory and Examples. Available online: http://www.chem.ucla.edu/~bacher/spectrocopy/IR1.html (accessed on 14 November 2020).
- Vodnar, D.C.; Pop, O.L.; Socaciu, C. Monitoring lactic acid fermentation in media containing dandelion (Taraxacum officinale) by FTIR spectroscopy. Not. Bot. Horti Agrobot. Cluj-Napoca 2012, 40, 65–68. [Google Scholar] [CrossRef]
- Carbonaro, M.; Nucara, A. Secondary structure of food proteins by Fourier transform spectroscopy in the mid-infrared region. Amino Acids 2010, 38, 679–690. [Google Scholar] [CrossRef] [PubMed]
- Venyaminov, S.Y.; Kalnin, N.N. Quantitative IR spectrophotometry of peptide compounds in water (H2O) solutions. I. Spectral parameters of amino acid residue absorption bands. Biopolymers 1990, 30, 1243–1257. [Google Scholar] [CrossRef] [PubMed]






| TBA (MDA/kg) | Total Carbonyl (nmole/mg) | |
|---|---|---|
| Y-L 0d | 0.4525 a | 4.07 a |
| Y-L 4d | 0.4387 a | 4.20 ab |
| Y-L 8d | 0.505 a | 4.35 ab |
| Y-L 12d | 0.5287 a | 4.28 ab |
| A-C 4d | 2.1042 b | 4.68 b |
| SEM | 0.054 | 0.059 |
| p-VALUE | 0.000 | 0.009 |
| Wavenumber (cm−1) | Assignment | Reference |
|---|---|---|
| 3700–3200 | Stretching vibration of bonded and non-bonded -O-H groups (water vibration) | [24] |
| 3500–3300 | Amines | [25] |
| ~3400 | Amide A (N-H stretching vibrations) | [25] |
| ~3100 | Amide B (N-H stretching vibrations) | [26] |
| 3000–2850 | Symmetrical and asymmetrical stretching vibrations of C-H groups (Alkanes); fatty acids backbone | [27] |
| 1659–1653 | =C-H stretching vibrations/Amide I (C=O stretching vibration)/O-H bending vibrations in water | [25,28] |
| 1680–1620 | Stretching vibration of C=H groups (Alkenes) | [29] |
| ~1640 | Hydrogen covalent bonds bending of water | [30] |
| 1580–1540 | C-O vibrations/Amide II (N-H bending vibration mixed with C-N stretching vibration)/Aromatic -C=C stretching vibrations | [31] |
| 1400–1200 | Amide III (N-H, C-C and C-N vibrations) | [26] |
| 970–920 | Trans = C-H out-of-plane bending | [32] |
| 610–711 | Amide V (C-N and N-H vibrations) | [26] |
| 900–400 | Stretching of O-H (water vibration) | [24] |
| Parameter | TBARS Raw Meat Samples | Carbonyl Raw Meat Samples | L_OX Entire Set | L_OX Mean Set | P_OX Entire Set | P_OX Mean Set | |
|---|---|---|---|---|---|---|---|
| Calibration | R2 | 9.96 | 94.99 | 75.19 | 92.74 | 41.44 | 98.46 |
| RMSEE | 0.143 | 0.136 | 0.338 | 0.262 | 0.00809 | 0.00199 | |
| RPD | 1.05 | 4.47 | 2.01 | 3.71 | 1.31 | 8.06 | |
| Rank | 1 | 8 | 10 | 9 | 5 | 8 | |
| Validation | R2cv | 2.43 | 24.6 | 63.18 | 60.84 | 24.09 | 54.24 |
| RMSECV | 0.146 | 0.492 | 0.402 | 0.527 | 0.00894 | 0.00769 | |
| RPDcv | 1.01 | 1.15 | 1.65 | 1.6 | 1.15 | 1.48 | |
| Rankcv | 1 | 8 | 10 | 9 | 5 | 8 | |
| Preprocessing Treatment | First Deriv. + Vectorial Normalization (SNV) (2559–2199 cm−1) | Second Deriv. (3998–3637; 3278–2918; 2559–478cm−1) | SNV Normalization 3278–2918 cm−1 | Linear Offset Subtraction Between 3998–3637 cm−1 | MSC 1839–1478 cm−1 | Min-Max Normalization 3638–3277 cm−1 | Straight Line Subtraction 3278–2918; 2198–1118; 760–399 cm−1 |
| Outliers (spectra) | 6 | 3 | 13 | 0 | 5 | 0 | 0 |
| Parameter | L_OX Entire Set (n = 240) | L_OX Mean Set (n = 40) | |
|---|---|---|---|
| Calibration | R2 | 75.19 | 92.74 |
| RMSEE | 0.338 | 0.262 | |
| RPD | 2.01 | 3.71 | |
| Rank | 10 | 9 | |
| Validation | R2cv | 63.18 | 60.84 |
| RMSECV | 0.402 | 0.527 | |
| RPDcv | 1.65 | 1.6 | |
| Rankcv | 10 | 9 | |
| P_OX Entire Set (n = 108) | P_OX Mean Set (n = 18) | ||
|---|---|---|---|
| Calibration | R2 | 41.44 | 98.46 |
| RMSEE | 0.00809 | 0.00199 | |
| RPD | 1.31 | 8.06 | |
| Rank | 5 | 8 | |
| Validation | R2cv | 24.09 | 54.24 |
| RMSECV | 0.00894 | 0.00769 | |
| RPDcv | 1.15 | 1.48 | |
| Rankcv | 5 | 8 | |
| Calibration | Validation | Preprocessing Treatment | Outliers (Spectra) | |||||||
|---|---|---|---|---|---|---|---|---|---|---|
| Parameter | R2 | RMSEE | RPD | Rank | R2cv | RMSECV | RPDcv | Rankcv | ||
| TBA Raw Meat Samples | 9.96 | 0.143 | 1.05 | 1 | 2.43 | 0.146 | 1.01 | 1 | First Deriv. + Vectorial Normalization (SNV) (2559–2199 cm−1) | 6 |
| Carbonyl Raw Meat Samples | 94.99 | 0.136 | 4.47 | 8 | 24.6 | 0.492 | 1.15 | 8 | Second Deriv. (3998–3637; 3278–2918; 2559–478 cm−1) | 3 |
| L_OX Entire Set | 75.19 | 0.338 | 2.01 | 10 | 63.18 | 0.402 | 1.65 | 10 | SNV Normalization (3278–2918 cm−1) | 13 |
| L_OX Mean Set | 92.74 | 0.262 | 3.71 | 9 | 60.84 | 0.527 | 1.6 | 9 | Linear Offset Subtraction (Between 3998–3637 cm−1) | 0 |
| P_OX Entire set | 41.44 | 0.00809 | 1.31 | 5 | 24.09 | 0.00894 | 1.15 | 5 | MSC (1839–1478 cm−1) | 5 |
| P_OX Mean Set | 98.46 | 0.00199 | 8.06 | 8 | 54.24 | 0.00769 | 1.48 | 8 | Min-Max Normalization (3638–3277 cm−1) | 0 |
Publisher’s Note: MDPI stays neutral with regard to jurisdictional claims in published maps and institutional affiliations. |
© 2020 by the authors. Licensee MDPI, Basel, Switzerland. This article is an open access article distributed under the terms and conditions of the Creative Commons Attribution (CC BY) license (http://creativecommons.org/licenses/by/4.0/).
Share and Cite
Jáuregui-López, I.; Zulategi, F.; Beriain, M.J.; Sarriés, M.V.; Beruete, M.; Insausti, K. Lipid and Protein Oxidation Marker Compounds in Horse Meat Determined by MIR Spectroscopy. Foods 2020, 9, 1828. https://doi.org/10.3390/foods9121828
Jáuregui-López I, Zulategi F, Beriain MJ, Sarriés MV, Beruete M, Insausti K. Lipid and Protein Oxidation Marker Compounds in Horse Meat Determined by MIR Spectroscopy. Foods. 2020; 9(12):1828. https://doi.org/10.3390/foods9121828
Chicago/Turabian StyleJáuregui-López, Irati, Fernando Zulategi, María José Beriain, María Victoria Sarriés, Miguel Beruete, and Kizkitza Insausti. 2020. "Lipid and Protein Oxidation Marker Compounds in Horse Meat Determined by MIR Spectroscopy" Foods 9, no. 12: 1828. https://doi.org/10.3390/foods9121828
APA StyleJáuregui-López, I., Zulategi, F., Beriain, M. J., Sarriés, M. V., Beruete, M., & Insausti, K. (2020). Lipid and Protein Oxidation Marker Compounds in Horse Meat Determined by MIR Spectroscopy. Foods, 9(12), 1828. https://doi.org/10.3390/foods9121828

