Optimization of a Novel Method Based on Ultrasound-Assisted Extraction for the Quantification of Anthocyanins and Total Phenolic Compounds in Blueberry Samples (Vaccinium corymbosum L.)
Abstract
1. Introduction
2. Materials and Methods
2.1. Blueberry Samples
2.2. Solvents and Chemical Agents
2.3. Ultrasound-Assisted Extraction
2.4. Box–Behnken Design
2.5. Anthocyanins Identification by UHPLC-Q-ToF-MS
2.6. Separation and Quantification of Anthocyanins
2.7. Total Phenolic Content (TPC)
2.8. Statistical Analysis
3. Results
3.1. Anthocyanins Optimization
3.1.1. Optimization of the Extraction Method
3.1.2. Optimal Conditions
3.1.3. Extraction Time
3.1.4. Repeatability and Intermediate Precision
3.1.5. Re-Extraction Study for Anthocyanins
3.2. Phenolic Compounds Optimization
3.2.1. Optimization of the Extraction Method
3.2.2. Optimal Conditions
3.2.3. Extraction Time
3.2.4. Repeatability and Intermediate Precision
3.2.5. Re-Extraction Study for Total Phenolic Compounds
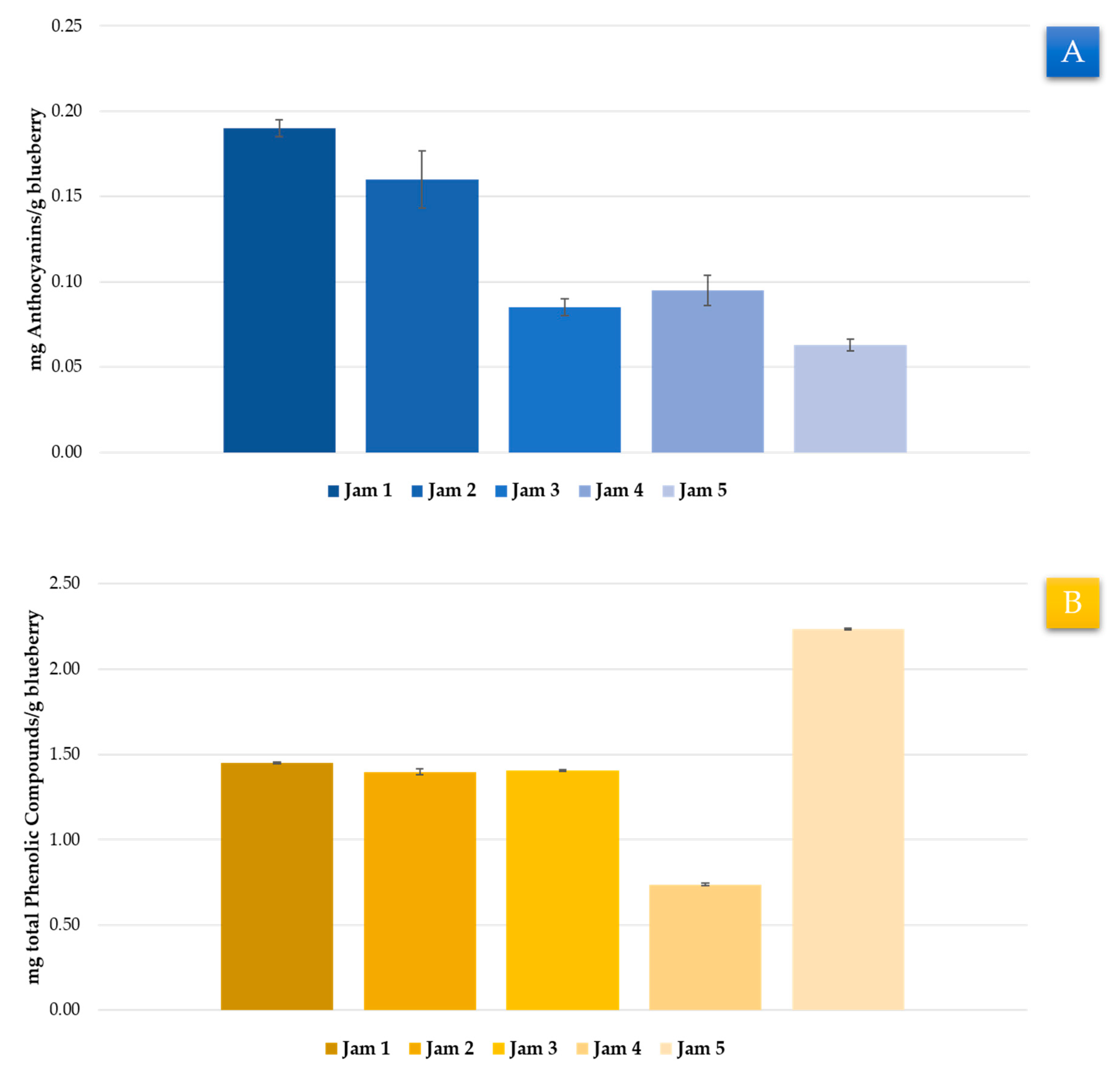
3.3. Application to Real Samples
4. Conclusions
Supplementary Materials
Author Contributions
Funding
Acknowledgments
Conflicts of Interest
References
- Zhao, Y. Berry Fruit: Value-Added Products for Health Promotion (Food Science and Technology), 1st ed.; CRC Press, Ed.; CRC Press: Boca Raton, FL, USA, 2007; pp. 1–444. ISBN 978-0849358029. [Google Scholar]
- Retamales, J.B.; Hancock, J.F. Blueberries, 1st ed.; CABI, Ed.; CABI: Egham, UK, 2012; pp. 1–352. ISBN 978-1845938260. [Google Scholar]
- Ma, L.; Sun, Z.; Zeng, Y.; Luo, M.; Yang, J. Molecular Mechanism and Health Role of Functional Ingredients in Blueberry for Chronic Disease in Human Beings. Int. J. Mol. Sci. 2018, 19, 2785. [Google Scholar] [CrossRef] [PubMed]
- Higuera-Hernández, M.F.; Reyes-Cuapio, E.; Gutiérrez-Mendoza, M.; Budde, H.; Blanco-Centurión, C.; Veras, A.B.; Rocha, N.B.; Yamamoto, T.; Monteiro, D.; Zaldívar-Rae, J.; et al. Blueberry intake included in hypocaloric diet decreases weight, glucose, cholesterol, triglycerides and adenosine levels in obese subjects. J. Funct. Foods 2019, 60, 103409. [Google Scholar] [CrossRef]
- Seo, H.-S.; Adams, S.H.; Howard, L.R.; Brownmiller, C.; Hogan, V.; Chen, J.-R.; Pramudya, R.C. Children’s liking and wanting of foods vary over multiple bites/sips of consumption: A case study of foods containing wild blueberry powder in the amounts targeted to deliver bioactive phytonutrients for children. Food Res. Int. 2020, 131, 108981. [Google Scholar] [CrossRef]
- Dimitrellou, D.; Solomakou, N.; Kokkinomagoulos, E.; Kandylis, P. Yogurts Supplemented with Juices from Grapes and Berries. Foods 2020, 9, 1158. [Google Scholar] [CrossRef] [PubMed]
- Krikorian, R.; Kalt, W.; McDonald, J.E.; Shidler, M.D.; Summer, S.S.; Stein, A.L. Cognitive performance in relation to urinary anthocyanins and their flavonoid-based products following blueberry supplementation in older adults at risk for dementia. J. Funct. Foods 2020, 64, 103667. [Google Scholar] [CrossRef]
- Encyclopaedia Britannica List of Plants in the Family Ericaceae|Britannica. Available online: https://www.britannica.com/topic/list-of-plants-in-the-family-Ericaceae-2038184 (accessed on 18 April 2020).
- Lavefve, L.; Brownmiller, C.; Howard, L.; Reeves, D.; Adams, S.H.; Chen, J.-R.; Diaz, E.C.; Mauromoustakos, A. Changes in Polyphenolics during Storage of Products Prepared with Freeze-Dried Wild Blueberry Powder. Foods 2020, 9, 466. [Google Scholar] [CrossRef] [PubMed]
- Hwang, H.; Kim, Y.-J.; Shin, Y. Assessment of Physicochemical Quality, Antioxidant Content and Activity, and Inhibition of Cholinesterase between Unripe and Ripe Blueberry Fruit. Foods 2020, 9, 690. [Google Scholar] [CrossRef]
- Baenas, N.; Ruales, J.; Moreno, D.A.; Barrio, D.A.; Stinco, C.M.; Martínez-Cifuentes, G.; Meléndez-Martínez, A.J.; García-Ruiz, A. Characterization of Andean Blueberry in Bioactive Compounds, Evaluation of Biological Properties, and In Vitro Bioaccessibility. Foods 2020, 9, 1483. [Google Scholar] [CrossRef]
- Norberto, S.; Silva, S.; Meireles, M.; Faria, A.; Pintado, M.; Calhau, C. Blueberry anthocyanins in health promotion: A metabolic overview. J. Funct. Foods 2013, 5, 1518–1528. [Google Scholar] [CrossRef]
- Lima, M.C.; Paiva de Sousa, C.; Fernandez-Prada, C.; Harel, J.; Dubreuil, J.D.; de Souza, E.L. A review of the current evidence of fruit phenolic compounds as potential antimicrobials against pathogenic bacteria. Microb. Pathog. 2019, 130, 259–270. [Google Scholar] [CrossRef]
- Liu, Y.; Mu, J.; Niklas, K.J.; Li, G.; Sun, S. Global warming reduces plant reproductive output for temperate multi-inflorescence species on the Tibetan plateau. New Phytol. 2012, 195, 427–436. [Google Scholar] [CrossRef] [PubMed]
- Hao, L.; Guo, L.; Li, R.; Cheng, Y.; Huang, L.; Zhou, H.; Xu, M.; Li, F.; Zhang, X.; Zheng, Y. Responses of photosynthesis to high temperature stress associated with changes in leaf structure and biochemistry of blueberry (Vaccinium corymbosum L.). Sci. Hortic. (Amsterdam) 2019, 246, 251–264. [Google Scholar] [CrossRef]
- Starast, M.; Paal, T.; Vool, E.; Karp, K.; Albert, T.; Moor, U. The productivity of some blueberry cultivars under Estonian conditions. Acta Hortic. 2009, 810, 103–108. [Google Scholar] [CrossRef]
- Rodgers Dinstel, R.; Cascio, J.; Koukel, S. The antioxidant level of Alaska’s wild berries: High, higher and highest. Int. J. Circumpolar Health 2013, 72, 21188. [Google Scholar] [CrossRef]
- Kang, J.; Thakali, K.M.; Jensen, G.S.; Wu, X. Phenolic Acids of the Two Major Blueberry Species in the US Market and Their Antioxidant and Anti-inflammatory Activities. Plant Foods Hum. Nutr. 2015, 70, 56–62. [Google Scholar] [CrossRef] [PubMed]
- Miraghajani, M.; Momenyan, S.; Arab, A.; Hasanpour Dehkordi, A.; Symonds, M.E. Blueberry and cardiovascular disease risk factors: A systematic review and meta-analysis of randomized controlled trials. Complement. Ther. Med. 2020, 53, 102389. [Google Scholar] [CrossRef]
- Zhao, C.-N.; Meng, X.; Li, Y.; Li, S.; Liu, Q.; Tang, G.-Y.; Li, H.-B. Fruits for Prevention and Treatment of Cardiovascular Diseases. Nutrients 2017, 9, 598. [Google Scholar] [CrossRef]
- Basu, A.; Alexander, J.; Ebersole, J.; Planinic, P. Dietary fiber and blueberry intervention lowers gestational weight gain and C-reactive protein in women at high risk for gestational diabetes. Metabolism 2020, 104, 154117. [Google Scholar] [CrossRef]
- Stote, K.; Corkum, A.; Sweeney, M.; Shakerley, N.; Kean, T.; Gottschall-Pass, K. Postprandial Effects of Blueberry (Vaccinium angustifolium) Consumption on Glucose Metabolism, Gastrointestinal Hormone Response, and Perceived Appetite in Healthy Adults: A Randomized, Placebo-Controlled Crossover Trial. Nutrients 2019, 11, 202. [Google Scholar] [CrossRef]
- Wu, X.; Wang, T.T.Y.; Prior, R.L.; Pehrsson, P.R. Prevention of Atherosclerosis by Berries: The Case of Blueberries. J. Agric. Food Chem. 2018, 66, 9172–9188. [Google Scholar] [CrossRef]
- Du, C.; Smith, A.; Avalos, M.; South, S.; Crabtree, K.; Wang, W.; Kwon, Y.-H.; Vijayagopal, P.; Juma, S. Blueberries Improve Pain, Gait Performance, and Inflammation in Individuals with Symptomatic Knee Osteoarthritis. Nutrients 2019, 11, 290. [Google Scholar] [CrossRef] [PubMed]
- Su, X.; Zhang, J.; Wang, H.; Xu, J.; He, J.; Liu, L.; Zhang, T.; Chen, R.; Kang, J. Phenolic Acid Profiling, Antioxidant, and Anti-Inflammatory Activities, and miRNA Regulation in the Polyphenols of 16 Blueberry Samples from China. Molecules 2017, 22, 312. [Google Scholar] [CrossRef] [PubMed]
- Debnath-Canning, M.; Unruh, S.; Vyas, P.; Daneshtalab, N.; Igamberdiev, A.U.; Weber, J.T. Fruits and leaves from wild blueberry plants contain diverse polyphenols and decrease neuroinflammatory responses in microglia. J. Funct. Foods 2020, 68, 103906. [Google Scholar] [CrossRef]
- Türck, P.; Fraga, S.; Salvador, I.; Campos-Carraro, C.; Lacerda, D.; Bahr, A.; Ortiz, V.; Hickmann, A.; Koetz, M.; Belló-Klein, A.; et al. Blueberry extract decreases oxidative stress and improves functional parameters in lungs from rats with pulmonary arterial hypertension. Nutrition 2020, 70, 110579. [Google Scholar] [CrossRef] [PubMed]
- Wang, H.; Liu, J.; Pang, D.; Li, T.; Liu, R.H. Mechanisms underlying the protective effects of blueberry extract against ultraviolet radiation in a skin cell co-culture system. J. Funct. Foods 2019, 52, 603–610. [Google Scholar] [CrossRef]
- Zhou, L.; Xie, M.; Yang, F.; Liu, J. Antioxidant activity of high purity blueberry anthocyanins and the effects on human intestinal microbiota. LWT 2020, 117, 108621. [Google Scholar] [CrossRef]
- Sun, X.; Hao, L.; Xie, Q.; Lan, W.; Zhao, Y.; Pan, Y.; Wu, V.C.H. Antimicrobial effects and membrane damage mechanism of blueberry (Vaccinium corymbosum L.) extract against Vibrio parahaemolyticus. Food Control 2020, 111, 107020. [Google Scholar] [CrossRef]
- Zunino, S.J.; Zhang, Y.; Seeram, N.P.; Storms, D.H. Berry fruit extracts inhibit growth and induce apoptosis of high-risk acute lymphoblastic leukemia cells in vitro. J. Funct. Foods 2010, 2, 187–195. [Google Scholar] [CrossRef]
- Cheng, Z.; Lin, J.; Gao, N.; Sun, X.; Meng, X.; Liu, R.; Liu, Y.; Wang, W.; Li, B.; Wang, Y. Blueberry malvidin-3-galactoside modulated gut microbial dysbiosis and microbial TCA cycle KEGG pathway disrupted in a liver cancer model induced by HepG2 cells. Food Sci. Hum. Wellness 2020, 9, 245–255. [Google Scholar] [CrossRef]
- Poklar Ulrih, N.; Opara, R.; Skrt, M.; Košmerl, T.; Wondra, M.; Abram, V. Part I. Polyphenols composition and antioxidant potential during ‘Blaufränkisch’ grape maceration and red wine maturation, and the effects of trans-resveratrol addition. Food Chem. Toxicol. 2020, 137, 111122. [Google Scholar] [CrossRef]
- Pace, C.; Giacosa, S.; Torchio, F.; Río Segade, S.; Cagnasso, E.; Rolle, L. Extraction kinetics of anthocyanins from skin to pulp during carbonic maceration of winegrape berries with different ripeness levels. Food Chem. 2014, 165, 77–84. [Google Scholar] [CrossRef] [PubMed]
- Garzón, G.A.; Narváez-Cuenca, C.-E.; Vincken, J.-P.; Gruppen, H. Polyphenolic composition and antioxidant activity of açai (Euterpe oleracea Mart.) from Colombia. Food Chem. 2017, 217, 364–372. [Google Scholar] [CrossRef] [PubMed]
- López, V.; Les, F.; Iannarelli, R.; Caprioli, G.; Maggi, F. Methanolic extract from red berry-like fruits of Hypericum androsaemum: Chemical characterization and inhibitory potential of central nervous system enzymes. Ind. Crops Prod. 2016, 94, 363–367. [Google Scholar] [CrossRef]
- Bastías-Montes, J.M.; Monterrosa, K.; Muñoz-Fariña, O.; García, O.; Acuña-Nelson, S.M.; Vidal-San Martín, C.; Quevedo-Leon, R.; Kubo, I.; Avila-Acevedo, J.G.; Domiguez-Lopez, M.; et al. Chemoprotective and antiobesity effects of tocols from seed oil of Maqui-berry: Their antioxidative and digestive enzyme inhibition potential. Food Chem. Toxicol. 2020, 136, 111036. [Google Scholar] [CrossRef] [PubMed]
- Garcia-Mendoza, M.d.P.; Espinosa-Pardo, F.A.; Baseggio, A.M.; Barbero, G.F.; Maróstica Junior, M.R.; Rostagno, M.A.; Martínez, J. Extraction of phenolic compounds and anthocyanins from juçara (Euterpe edulis Mart.) residues using pressurized liquids and supercritical fluids. J. Supercrit. Fluids 2017, 119, 9–16. [Google Scholar] [CrossRef]
- da Silveira, T.F.F.; Cristianini, M.; Kuhnle, G.G.; Ribeiro, A.B.; Filho, J.T.; Godoy, H.T. Anthocyanins, non-anthocyanin phenolics, tocopherols and antioxidant capacity of açaí juice (Euterpe oleracea) as affected by high pressure processing and thermal pasteurization. Innov. Food Sci. Emerg. Technol. 2019, 55, 88–96. [Google Scholar] [CrossRef]
- Aliaño-González, M.J.; Ferreiro-González, M.; Espada-Bellido, E.; Carrera, C.; Palma, M.; Álvarez, J.A.; Ayuso, J.; Barbero, G.F. Extraction of anthocyanins and total phenolic compounds from açai (euterpe oleracea mart.) using an experimental design methodology. part 1: Pressurized liquid extraction. Agronomy 2020, 10, 183. [Google Scholar] [CrossRef]
- de Peredo, A.V.G.; Vázquez-Espinosa, M.; Piñeiro, Z.; Espada-Bellido, E.; Ferreiro-González, M.; Barbero, G.F.; Palma, M. Development of a rapid and accurate UHPLC-PDA-FL method for the quantification of phenolic compounds in grapes. Food Chem. 2021, 334, 2992. [Google Scholar] [CrossRef]
- Aliaño-González, M.J.; Ferreiro-González, M.; Espada-Bellido, E.; Carrera, C.; Palma, M.; Ayuso, J.; Barbero, G.F.; Álvarez, J.Á. Extraction of Anthocyanins and Total Phenolic Compounds from Açai (Euterpe oleracea Mart.) Using an Experimental Design Methodology. Part 3: Microwave-Assisted Extraction. Agronomy 2020, 10, 179. [Google Scholar] [CrossRef]
- Espada-Bellido, E.; Ferreiro-González, M.; Carrera, C.; Palma, M.; Álvarez, J.A.; Barbero, G.F.; Ayuso, J. Extraction of Antioxidants from Blackberry (Rubus ulmifolius L.): Comparison between Ultrasound- and Microwave-Assisted Extraction Techniques. Agronomy 2019, 9, 745. [Google Scholar] [CrossRef]
- Cervantes, L.; Martínez-Ferri, E.; Soria, C.; Ariza, M.T. Bioavailability of phenolic compounds in strawberry, raspberry and blueberry: Insights for breeding programs. Food Biosci. 2020, 37, 100680. [Google Scholar] [CrossRef]
- Paes, J.; Dotta, R.; Barbero, G.F.; Martínez, J. Extraction of phenolic compounds and anthocyanins from blueberry (Vaccinium myrtillus L.) residues using supercritical CO2 and pressurized liquids. J. Supercrit. Fluids 2014, 95, 8–16. [Google Scholar] [CrossRef]
- Chemat, F.; Zill-e-Huma; Khan, M.K. Applications of ultrasound in food technology: Processing, preservation and extraction. Ultrason. Sonochem. 2011, 18, 813–835. [Google Scholar] [CrossRef] [PubMed]
- Medina-Torres, N.; Ayora-Talavera, T.; Espinosa-Andrews, H.; Sánchez-Contreras, A.; Pacheco, N. Ultrasound Assisted Extraction for the Recovery of Phenolic Compounds from Vegetable Sources. Agronomy 2017, 7, 47. [Google Scholar] [CrossRef]
- Baiano, A. Recovery of Biomolecules from Food Wastes—A Review. Molecules 2014, 19, 14821–14842. [Google Scholar] [CrossRef]
- Ciulu, M.; Cádiz-Gurrea, M.; Segura-Carretero, A. Extraction and Analysis of Phenolic Compounds in Rice: A Review. Molecules 2018, 23, 2890. [Google Scholar] [CrossRef]
- V. González de Peredo, A.; Vázquez-Espinosa, M.; Espada-Bellido, E.; Ferreiro-González, M.; Amores-Arrocha, A.; Palma, M.; Barbero, G.F.; Jiménez-Cantizano, A. Alternative Ultrasound-Assisted Method for the Extraction of the Bioactive Compounds Present in Myrtle (Myrtus communis L.). Molecules 2019, 24, 882. [Google Scholar] [CrossRef]
- Aliaño-González, M.J.; Espada-Bellido, E.; Ferreiro-González, M.; Carrera, C.; Palma, M.; Ayuso, J.; Álvarez, J.Á.; Barbero, G.F. Extraction of Anthocyanins and Total Phenolic Compounds from Açai (Euterpe oleracea Mart.) Using an Experimental Design Methodology. Part 2: Ultrasound-Assisted Extraction. Agronomy 2020, 10, 326. [Google Scholar] [CrossRef]
- Vázquez-Espinosa, M.; V. González-de-Peredo, A.; Espada-Bellido, E.; Ferreiro-González, M.; Toledo-Domínguez, J.J.; Carrera, C.; Palma, M.; Barbero, G.F. Ultrasound-Assisted Extraction of Two Types of Antioxidant Compounds (TPC and TA) from Black Chokeberry (Aronia melanocarpa L.): Optimization of the Individual and Simultaneous Extraction Methods. Agronomy 2019, 9, 456. [Google Scholar] [CrossRef]
- Vázquez-Espinosa, M.; V. González de Peredo, A.; Ferreiro-González, M.; Carrera, C.; Palma, M.; Barbero, G.F.; Espada-Bellido, E. Assessment of Ultrasound Assisted Extraction as an Alternative Method for the Extraction of Anthocyanins and Total Phenolic Compounds from Maqui Berries (Aristotelia chilensis (Mol.) Stuntz). Agronomy 2019, 9, 148. [Google Scholar] [CrossRef]
- Wang, D.; Zhang, L.; Xu, Y.; Qi, X.; Wang, X.; Wang, X.; Zhang, Q.; Li, P. Optimization of an Ultrasound-Assisted Extraction for Simultaneous Determination of Antioxidants in Sesame with Response Surface Methodology. Antioxidants 2019, 8, 321. [Google Scholar] [CrossRef] [PubMed]
- Wu, Y.; Han, Y.; Tao, Y.; Fan, S.; Chu, D.-T.; Ye, X.; Ye, M.; Xie, G. Ultrasound assisted adsorption and desorption of blueberry anthocyanins using macroporous resins. Ultrason. Sonochem. 2018, 48, 311–320. [Google Scholar] [CrossRef] [PubMed]
- Li, X.; Zhang, L.; Peng, Z.; Zhao, Y.; Wu, K.; Zhou, N.; Yan, Y.; Ramaswamy, H.S.; Sun, J.; Bai, W. The impact of ultrasonic treatment on blueberry wine anthocyanin color and its In-vitro anti-oxidant capacity. Food Chem. 2020, 333, 127455. [Google Scholar] [CrossRef] [PubMed]
- Wang, T.; Guo, N.; Wang, S.-X.; Kou, P.; Zhao, C.-J.; Fu, Y.-J. Ultrasound-negative pressure cavitation extraction of phenolic compounds from blueberry leaves and evaluation of its DPPH radical scavenging activity. Food Bioprod. Process. 2018, 108, 69–80. [Google Scholar] [CrossRef]
- Bamba, B.; Shi, J.; Tranchant, C.; Xue, S.; Forney, C.; Lim, L.-T. Influence of Extraction Conditions on Ultrasound-Assisted Recovery of Bioactive Phenolics from Blueberry Pomace and Their Antioxidant Activity. Molecules 2018, 23, 1685. [Google Scholar] [CrossRef]
- He, B.; Zhang, L.-L.; Yue, X.-Y.; Liang, J.; Jiang, J.; Gao, X.-L.; Yue, P.-X. Optimization of Ultrasound-Assisted Extraction of phenolic compounds and anthocyanins from blueberry (Vaccinium ashei) wine pomace. Food Chem. 2016, 204, 70–76. [Google Scholar] [CrossRef]
- Rocha, J.C.G.; Procópio, F.R.; Mendonça, A.C.; Vieira, L.M.; Perrone, Í.T.; de Barros, F.A.R.; Stringheta, P.C. Optimization of ultrasound-assisted extraction of phenolic compounds from jussara (Euterpe edulis M.) and blueberry (Vaccinium myrtillus) fruits. Food Sci. Technol. 2018, 38, 45–53. [Google Scholar] [CrossRef]
- Jiang, H.-L.; Yang, J.-L.; Shi, Y.-P. Optimization of ultrasonic cell grinder extraction of anthocyanins from blueberry using response surface methodology. Ultrason. Sonochem. 2017, 34, 325–331. [Google Scholar] [CrossRef]
- Yuan, J.; Li, H.; Tao, W.; Han, Q.; Dong, H.; Zhang, J.; Jing, Y.; Wang, Y.; Xiong, Q.; Xu, T. An effective method for extracting anthocyanins from blueberry based on freeze-ultrasonic thawing technology. Ultrason. Sonochem. 2020, 68, 105192. [Google Scholar] [CrossRef]
- FDA. Cder Q3C-Tables and List Guidance for Industry Q3C-Tables and List Guidance for Industry Q3C-Tables and List Guidance for Industry 1. Available online: https://www.fda.gov/media/71737/download (accessed on 16 November 2020).
- V. González-de-Peredo, A.; Vázquez-Espinosa, M.; Espada-Bellido, E.; Ferreiro-González, M.; Carrera, C.; Palma, M.; Álvarez, J.Á.; Barbero, G.F.; Ayuso, J. Optimization of Analytical Ultrasound-Assisted Methods for the Extraction of Total Phenolic Compounds and Anthocyanins from Sloes (Prunus spinosa L.). Agronomy 2020, 10, 966. [Google Scholar] [CrossRef]
- Espada-Bellido, E.; Ferreiro-González, M.; Carrera, C.; Palma, M.; Barroso, C.G.; Barbero, G.F. Optimization of the ultrasound-assisted extraction of anthocyanins and total phenolic compounds in mulberry (Morus nigra) pulp. Food Chem. 2017, 219, 23–32. [Google Scholar] [CrossRef]
- Singleton, V.L.; Rossi, J.A. Colorimetry of Total Phenolics with Phosphomolybdic-Phosphotungstic Acid Reagents. Am. J. Enol. Vitic. 1965, 16, 144–158. [Google Scholar]
- Singleton, V.L.; Orthofer, R.; Lamuela-Raventós, R.M. Analysis of total phenols and other oxidation substrates and antioxidants by means of folin-ciocalteu reagent. In Methods in Enzymology; Packer, L., Ed.; Elsevier: Amsterdam, The Netherlands, 1998; pp. 152–178. [Google Scholar]
- Celli, G.B.; Ghanem, A.; Brooks, M.S.-L. Optimization of ultrasound-assisted extraction of anthocyanins from haskap berries (Lonicera caerulea L.) using Response Surface Methodology. Ultrason. Sonochem. 2015, 27, 449–455. [Google Scholar] [CrossRef] [PubMed]
- Varo, M.A.; Jacotet-Navarro, M.; Serratosa, M.P.; Mérida, J.; Fabiano-Tixier, A.-S.; Bily, A.; Chemat, F. Green Ultrasound-Assisted Extraction of Antioxidant Phenolic Compounds Determined by High Performance Liquid Chromatography from Bilberry (Vaccinium Myrtillus L.) Juice By-products. Waste Biomass Valorization 2019, 10, 1945–1955. [Google Scholar] [CrossRef]
- Chen, X.-Q.; Li, Z.-H.; Wang, Z.-J.; Liu, L.-L.; Sun, T.-T.; Ma, J.-Z.; Zhang, Y. Ultrasound-assisted extraction of total anthocyanins from Rubia sylvatica Nakai fruit and radical scavenging activity of the extract. Ind. Crops Prod. 2020, 150, 112420. [Google Scholar] [CrossRef]
- Albuquerque, B.R.; Pinela, J.; Barros, L.; Oliveira, M.B.P.P.; Ferreira, I.C.F.R. Anthocyanin-rich extract of jabuticaba epicarp as a natural colorant: Optimization of heat- and ultrasound-assisted extractions and application in a bakery product. Food Chem. 2020, 316, 126364. [Google Scholar] [CrossRef] [PubMed]
- Fibigr, J.; Šatínský, D.; Solich, P. A UHPLC method for the rapid separation and quantification of anthocyanins in acai berry and dry blueberry extracts. J. Pharm. Biomed. Anal. 2017, 143, 204–213. [Google Scholar] [CrossRef] [PubMed]
- Verbeyst, L.; Van Crombruggen, K.; Van der Plancken, I.; Hendrickx, M.; Van Loey, A. Anthocyanin degradation kinetics during thermal and high pressure treatments of raspberries. J. Food Eng. 2011, 105, 513–521. [Google Scholar] [CrossRef]
- Akbal, F.; Onar, A.N. Photocatalytic degradation of phenol. Environ. Monit. Assess. 2003, 83, 295–302. [Google Scholar] [CrossRef]
- Friedman, M.; Jürgens, H.S. Effect of pH on the Stability of Plant Phenolic Compounds. J. Agric. Food Chem. 2000, 48, 2101–2110. [Google Scholar] [CrossRef]
- Howard, L.R.; Castrodale, C.; Brownmiller, C.; Mauromoustakos, A. Jam Processing and Storage Effects on Blueberry Polyphenolics and Antioxidant Capacity. J. Agric. Food Chem. 2010, 58, 4022–4029. [Google Scholar] [CrossRef]






| Commercial Mark | Origin of Production | % Blueberry |
|---|---|---|
| Jam 1 | Spain | 45 |
| Jam 2 | Spain | 50 |
| Jam 3 | Spain | 60 |
| Jam 4 | Brazil | 50 |
| Jam 5 | France | 65 |
| Anthocyanins | Molecular Formula | m/z | Regression Equation | R2 * | LOD ** (ppm) | LOQ *** (ppm) |
|---|---|---|---|---|---|---|
| Malvidin 3-O-galactoside | C23H25O12 | 493.1346 | y = 170,426.24x − 4292.66 | 0.9999 | 0.303 | 1.012 |
| Malvidin 3-O-glucoside | C23H25O12 | 493.1346 | y = 170,426.24x − 4292.66 | 0.9999 | 0.303 | 1.012 |
| Petunidin 3-O-galactoside | C22H23O12 | 479.1190 | y = 175,412.35x − 4292.66 | 0.9999 | 0.294 | 0.983 |
| Petunidin 3-O-glucoside | C22H23O12 | 479.1190 | y = 175,412.35x − 4292.66 | 0.9999 | 0.294 | 0.983 |
| Delphinidin 3-O-galactoside | C21H21O12 | 465.1033 | y = 180,699.41x − 4292.66 | 0.9999 | 0.286 | 0.955 |
| Delphinidin 3-O-glucoside | C21H21O12 | 465.1033 | y = 180,699.41x − 4292.66 | 0.9999 | 0.286 | 0.955 |
| Peonidin 3-O-galactoside | C22H23O11 | 463.1240 | y = 181,468.74x − 4292.66 | 0.9999 | 0.284 | 0.951 |
| Peonidin 3-O-glucoside | C22H23O11 | 463.1240 | y = 181,468.74x − 4292.66 | 0.9999 | 0.284 | 0.951 |
| Malvidin 3-O-arabinoside | C23H23O11 | 463.1240 | y = 181,468.74x − 4292.66 | 0.9999 | 0.284 | 0.951 |
| Cyanidin 3-O-galactoside | C21H21O11 | 449.1084 | y = 187,132.66x − 4292.66 | 0.9999 | 0.276 | 0.922 |
| Cyanidin 3-O-glucoside | C21H21O11 | 449.1084 | y = 187,132.66x − 4292.66 | 0.9999 | 0.276 | 0.922 |
| Petunidin 3-O-arabinoside | C21H21O11 | 449.1084 | y = 187,132.66x − 4292.66 | 0.9999 | 0.276 | 0.922 |
| Delphinidin 3-O-arabinoside | C20H19O11 | 435.0927 | y = 193,161.98x − 4292.66 | 0.9999 | 0.267 | 0.893 |
| Cyanidin 3-O-arabinoside | C20H19O10 | 419.0978 | y = 200,531.32x − 4292.66 | 0.9999 | 0.257 | 0.860 |
| Variable | Source | Coefficient | Sum of Squares | Degrees of Freedom | Mean Square | F-Value | p-Value |
|---|---|---|---|---|---|---|---|
| β0 | 24.0196 | 325.9582 | 27 | ||||
| A | X1 | −0.3187 | 105.9240 | 1 | 105.9240 | 15.8500 | 0.0005 |
| B | X2 | 0.1353 | 0.4483 | 1 | 0.4483 | 0.0700 | 0.7977 |
| C | X3 | −0.2988 | 23.3445 | 1 | 23.3445 | 3.4900 | 0.0729 |
| D | X4 | −24.0790 | 27.6705 | 1 | 27.6705 | 4.1400 | 0.0522 |
| E | X5 | 3.0896 | 0.4401 | 1 | 0.4401 | 0.0700 | 0.7995 |
| F | X6 | −0.1373 | 0.2400 | 1 | 0.2400 | 0.0400 | 0.8512 |
| A:A | X12 | 0.0030 | 36.8281 | 1 | 36.8281 | 5.5100 | 0.0268 |
| A:B | X12 | −0.0006 | 1.4878 | 1 | 1.4878 | 0.2200 | 0.6410 |
| A:C | X13 | 0.0042 | 35.4482 | 1 | 35.4482 | 5.3000 | 0.0295 |
| A:D | X14 | 0.1073 | 7.1958 | 1 | 7.1958 | 1.0800 | 0.3090 |
| A:E | X15 | −0.0108 | 3.6585 | 1 | 3.6585 | 0.5500 | 0.4660 |
| A:F | X16 | −0.0058 | 4.2195 | 1 | 4.2195 | 0.6300 | 0.4340 |
| B:B | X22 | −0.0011 | 9.2232 | 1 | 9.2232 | 1.3800 | 0.2507 |
| B:C | X23 | −0.0002 | 0.0861 | 1 | 0.0861 | 0.0100 | 0.9105 |
| B:D | X24 | 0.0290 | 0.3785 | 1 | 0.3785 | 0.0600 | 0.8138 |
| B:E | X25 | −0.0002 | 0.0053 | 1 | 0.0053 | 0.0000 | 0.9778 |
| B:F | X26 | −0.0014 | 0.3570 | 1 | 0.3570 | 0.0500 | 0.8190 |
| C:C | X32 | 0.0000 | 0.0041 | 1 | 0.0041 | 0.0000 | 0.9805 |
| C:D | X34 | 0.2210 | 9.7682 | 1 | 9.7682 | 1.4600 | 0.2375 |
| C:E | X35 | −0.0037 | 0.2665 | 1 | 0.2665 | 0.0400 | 0.8433 |
| C:F | X36 | 0.0044 | 3.1418 | 1 | 3.1418 | 0.4700 | 0.4990 |
| D:D | X42 | −12.4244 | 6.2022 | 1 | 6.2022 | 0.9300 | 0.3442 |
| D:E | X45 | 1.0280 | 3.3025 | 1 | 3.3025 | 0.4900 | 0.4883 |
| D:F | X46 | 1.1570 | 16.7331 | 1 | 16.7331 | 2.5000 | 0.1256 |
| E:E | X52 | −0.2649 | 28.1965 | 1 | 28.1965 | 4.2200 | 0.0501 |
| E:F | X56 | −0.0326 | 1.3285 | 1 | 1.3285 | 0.2000 | 0.6594 |
| F:F | X62 | −0.0030 | 0.0596 | 1 | 0.0596 | 0.0100 | 0.9255 |
| Pure Error | 173.7380 | 26 | 6.6822 | ||||
| Total | 539.3450 | 53 |
| Repeatability (n = 10) | Intermediate Precision (n = 30) | |
|---|---|---|
| Average mg anthocyanins/g blueberry | 10.07 | 10.13 |
| Standard deviation | 0.42 | 0.44 |
| Coefficient of variation (CV) (%) | 4.17 | 4.32 |
| Average mg total phenolic compounds/g blueberry | 31.28 | 30.94 |
| Standard deviation | 1.24 | 1.19 |
| Coefficient of variation (CV) (%) | 3.97 | 3.85 |
| Variable | Source | Coefficient | Sum of Squares | Degrees of Freedom | Mean Square | F-Value | p-Value |
|---|---|---|---|---|---|---|---|
| β0 | −9.1847 | 27 | |||||
| A | X1 | 0.2657 | 0.0241 | 1 | 0.0241 | 0.0100 | 0.9227 |
| B | X2 | 0.2620 | 1.3348 | 1 | 1.3348 | 0.5300 | 0.4723 |
| C | X3 | 0.0308 | 7.9465 | 1 | 7.9465 | 3.1700 | 0.0868 |
| D | X4 | 15.8107 | 7.8318 | 1 | 7.8318 | 3.1200 | 0.0890 |
| E | X5 | −0.9338 | 0.1785 | 1 | 0.1785 | 0.0700 | 0.7918 |
| F | X6 | 2.3123 | 32.7367 | 1 | 32.7367 | 13.0500 | 0.0013 |
| A:A | X12 | −0.0034 | 45.9076 | 1 | 45.9076 | 18.3000 | 0.0002 |
| A:B | X12 | 0.0004 | 0.6962 | 1 | 0.6962 | 0.2800 | 0.6028 |
| A:C | X13 | 0.0013 | 3.4061 | 1 | 3.4061 | 1.3600 | 0.2545 |
| A:D | X14 | −0.1454 | 13.2132 | 1 | 13.2132 | 5.2700 | 0.0301 |
| A:E | X15 | −0.0148 | 6.8450 | 1 | 6.8450 | 2.7300 | 0.1106 |
| A:F | X16 | 0.0081 | 8.2825 | 1 | 8.2825 | 3.3000 | 0.0808 |
| B:B | X22 | −0.0015 | 18.6571 | 1 | 18.6571 | 7.4400 | 0.0113 |
| B:C | X23 | −0.0005 | 0.7503 | 1 | 0.7503 | 0.3000 | 0.5891 |
| B:D | X24 | −0.0672 | 2.0301 | 1 | 2.0301 | 0.8100 | 0.3766 |
| B:E | X25 | 0.0048 | 2.0521 | 1 | 2.0521 | 0.8200 | 0.3741 |
| B:F | X26 | −0.0080 | 11.4960 | 1 | 11.4960 | 4.5800 | 0.0419 |
| C:C | X32 | −0.0010 | 1.5125 | 1 | 1.5125 | 0.6000 | 0.4445 |
| C:D | X34 | 0.0450 | 0.4050 | 1 | 0.4050 | 0.1600 | 0.6911 |
| C:E | X35 | 0.0080 | 1.2800 | 1 | 1.2800 | 0.5100 | 0.4814 |
| C:F | X36 | −0.0005 | 0.0371 | 1 | 0.0371 | 0.0100 | 0.9042 |
| D:D | X42 | −7.3422 | 2.1660 | 1 | 2.1660 | 0.8600 | 0.3614 |
| D:E | X45 | 1.1820 | 4.3660 | 1 | 4.3660 | 1.7400 | 0.1986 |
| D:F | X46 | −0.3020 | 1.1401 | 1 | 1.1401 | 0.4500 | 0.5062 |
| E:E | X52 | 0.0887 | 3.1619 | 1 | 3.1619 | 1.2600 | 0.2719 |
| E:F | X56 | −0.0142 | 0.2521 | 1 | 0.2521 | 0.1000 | 0.7538 |
| F:F | X62 | −0.0647 | 26.9429 | 1 | 26.9429 | 10.7400 | 0.0030 |
| Pure Error | 65.2306 | 26 | 2.5089 | ||||
| Total | 261.2350 | 53 |
Publisher’s Note: MDPI stays neutral with regard to jurisdictional claims in published maps and institutional affiliations. |
© 2020 by the authors. Licensee MDPI, Basel, Switzerland. This article is an open access article distributed under the terms and conditions of the Creative Commons Attribution (CC BY) license (http://creativecommons.org/licenses/by/4.0/).
Share and Cite
Aliaño-González, M.J.; Jarillo, J.A.; Carrera, C.; Ferreiro-González, M.; Álvarez, J.Á.; Palma, M.; Ayuso, J.; Barbero, G.F.; Espada-Bellido, E. Optimization of a Novel Method Based on Ultrasound-Assisted Extraction for the Quantification of Anthocyanins and Total Phenolic Compounds in Blueberry Samples (Vaccinium corymbosum L.). Foods 2020, 9, 1763. https://doi.org/10.3390/foods9121763
Aliaño-González MJ, Jarillo JA, Carrera C, Ferreiro-González M, Álvarez JÁ, Palma M, Ayuso J, Barbero GF, Espada-Bellido E. Optimization of a Novel Method Based on Ultrasound-Assisted Extraction for the Quantification of Anthocyanins and Total Phenolic Compounds in Blueberry Samples (Vaccinium corymbosum L.). Foods. 2020; 9(12):1763. https://doi.org/10.3390/foods9121763
Chicago/Turabian StyleAliaño-González, María José, José Antonio Jarillo, Ceferino Carrera, Marta Ferreiro-González, José Ángel Álvarez, Miguel Palma, Jesús Ayuso, Gerardo F. Barbero, and Estrella Espada-Bellido. 2020. "Optimization of a Novel Method Based on Ultrasound-Assisted Extraction for the Quantification of Anthocyanins and Total Phenolic Compounds in Blueberry Samples (Vaccinium corymbosum L.)" Foods 9, no. 12: 1763. https://doi.org/10.3390/foods9121763
APA StyleAliaño-González, M. J., Jarillo, J. A., Carrera, C., Ferreiro-González, M., Álvarez, J. Á., Palma, M., Ayuso, J., Barbero, G. F., & Espada-Bellido, E. (2020). Optimization of a Novel Method Based on Ultrasound-Assisted Extraction for the Quantification of Anthocyanins and Total Phenolic Compounds in Blueberry Samples (Vaccinium corymbosum L.). Foods, 9(12), 1763. https://doi.org/10.3390/foods9121763

