Physico-Chemical, Sensory and Texture Properties of an Aged Mexican Manchego-Style Cheese Produced from Hair Sheep Milk
Abstract
1. Introduction
2. Materials and Methods
2.1. Animals and Management
2.2. Milk Production and Composition
2.3. Cheese Manufacture
2.4. Cheese Composition, pH and Proteolysis
2.5. Cheese Texture and Color
2.6. Sensory Analysis of Cheese
2.7. Statistical Analyses
3. Results
3.1. Milk Production and Composition
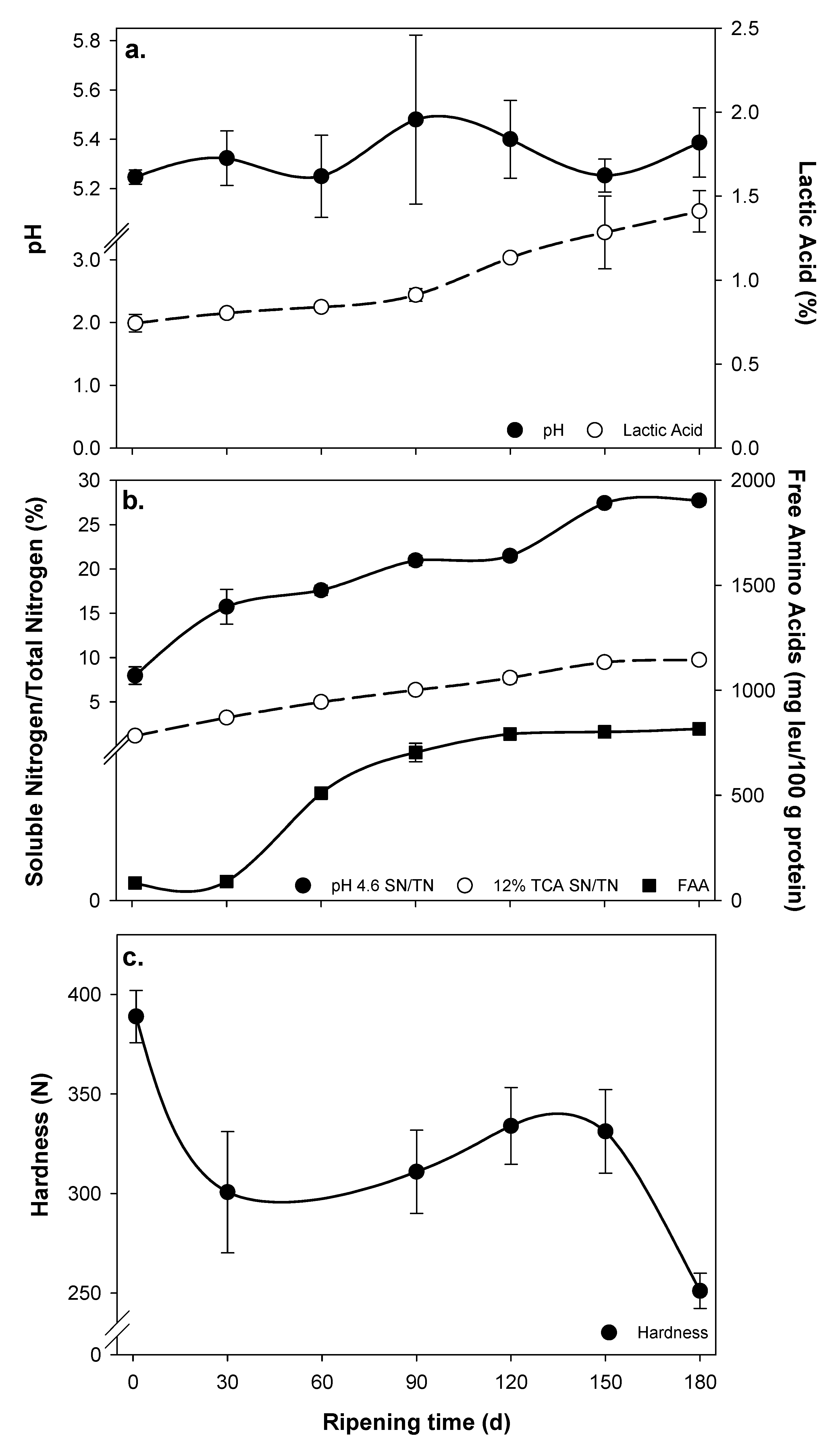
3.2. Physicochemical Properties of Cheeses at Different Times of Ripening
3.3. Sensory Properties
4. Discussion
5. Conclusions
Author Contributions
Funding
Acknowledgments
Conflicts of Interest
References
- Nudda, A.; Atzori, A.S.; Correddu, F.; Battacone, G.; Lunesu, M.F.; Cannas, A.; Pulina, G. Effects of nutrition on main components of sheep milk. Small Rumin. Res. 2020, 184, 106015. [Google Scholar] [CrossRef]
- Mohapatra, A.; Shinde, A.K.; Singh, R. Sheep milk: A pertinent functional food. Small Rumin. Res. 2019, 181, 6–11. [Google Scholar] [CrossRef]
- Salum, P.; Govce, G.; Kendirci, P.; Bas, D.; Erbay, Z. Composition, proteolysis, lipolysis, volatile compound profile and sensory characteristics of ripened white cheeses manufactured in different geographical regions of Turkey. Int. Dairy J. 2018, 87, 26–36. [Google Scholar] [CrossRef]
- González-Córdova, A.F.; Yescas, C.; Ortiz-Estrada, Á.M.; Hernández-Mendoza, A.; Vallejo-Cordoba, B. Invited review: Artisanal Mexican cheeses. J. Dairy Sci. 2016, 99, 3250–3262. [Google Scholar] [CrossRef]
- Balthazar, C.F.; Pimentel, T.C.; Ferrão, L.L.; Almada, C.N.; Santillo, A.; Albenzio, M.; Mollakhalili, N.; Mortazavian, A.M.; Nascimento, J.S.; Silva, M.C. Sheep milk: Physicochemical characteristics and relevance for functional food development. Compr. Rev. Food Sci. Food Saf. 2017, 16, 247–262. [Google Scholar] [CrossRef]
- Kalantzopoulos, G.C. Cheeses from ewes’ and goats’ milk. In Cheese: Chemistry, Physics and Microbiology; Springer: Berlin/Heidelberg, Germany, 1999; pp. 507–553. [Google Scholar]
- Cuffia, F.; Candioti, M.; Bergamini, C. Effect of brine concentration on the ripening of an Argentinean sheep’s milk cheese. Small Rumin. Res. 2015, 132, 60–66. [Google Scholar] [CrossRef]
- Agudelo-López, M.; Cesín-Vargas, A.; Espinoza-Ortega, A.; Ramírez-Valverde, B. Evaluación y análisis sensorial del Queso Bola de Ocosingo (México) desde la perspectiva del consumidor. Rev. Mex. Cienc. Pecu. 2019, 10, 104–119. [Google Scholar]
- Ferro, M.M.; Tedeschi, L.O.; Atzori, A.S. The comparison of the lactation and milk yield and composition of selected breeds of sheep and goats. Transl. Anim. Sci. 2017, 1, 498–506. [Google Scholar] [CrossRef] [PubMed]
- Arcos-Álvarez, D.; Canul-Solís, J.; García-Herrera, R.; Sarmiento-Franco, L.; Piñeiro-Vazquez, Á.; Casanova-Lugo, F.; Tedeschi, L.O.; Gonzalez-Ronquillo, M.; Chay-Canul, A. Udder Measurements and Their Relationship with Milk Yield in Pelibuey Ewes. Animals 2020, 10, 518. [Google Scholar] [CrossRef] [PubMed]
- Chay-Canul, A.J.; Aguilar-Urquizo, E.; Parra-Bracamonte, G.M.; Piñeiro-Vazquez, Á.T.; Sanginés-García, J.R.; Magaña-Monforte, J.G.; García-Herrera, R.A.; López-Villalobos, N. Ewe and lamb pre-weaning performance of Pelibuey and Katahdin hair sheep breeds under humid tropical conditions. Ital. J. Anim. Sci. 2019, 18, 850–857. [Google Scholar] [CrossRef]
- Olvera-Aguirre, G.; Mendoza-Taco, M.M.; Arcos-Álvarez, D.N.; Piñeiro-Vázquez, A.T.; Moo-Huchin, V.M.; Canul-Solís, J.R.; Castillo-Sánchez, L.; Ramírez-Bautista, M.A.; Vargas-Bello-Pérez, E.; Chay-Canul, A.J. Effect of Feeding Lactating Ewes with Moringa oleifera Leaf Extract on Milk Yield, Milk Composition and Preweaning Performance of Ewe/Lamb Pair. Animals 2020, 10, 1117. [Google Scholar] [CrossRef] [PubMed]
- González-Viñas, M.A.; Poveda, J.; Ruiz, A.G.; Cabezas, L. Changes in chemical, sensory and rheological characteristics of Manchego cheeses during ripening. J. Sens. Stud. 2001, 16, 361–371. [Google Scholar] [CrossRef]
- Lobato-Calleros, C.; Robles-Martinez, J.C.; Caballero-Perez, J.F.; Vernon-Carter, E.J.; Aguirre-Mandujano, E. Fat replacers in low-fat Mexican Manchego cheese. J. Texture Stud. 2001, 32, 1–14. [Google Scholar] [CrossRef]
- AOAC. Association of Offcial Analytical Chemists. In Offcial Methods of Analysis, 18th ed.; AOAC: Gaithersburg, MD, USA, 2005. [Google Scholar]
- Skoog, D.A.; West, D.M.; Holler, F.J. Analytical Chemistry: An Introduction; Saunders College Publishing: Philadelphia, PA, USA, 1990. [Google Scholar]
- Ibáñez, R.A.; Waldron, D.S.; McSweeney, P.L.H. Effect of pectin on the composition, microbiology, texture, and functionality of reduced-fat Cheddar cheese. Dairy Sci. Technol. 2016, 96, 297–316. [Google Scholar] [CrossRef]
- Kuchroo, C.N.; Fox, P.F. Soluble nitrogen in Cheddar cheese: Comparison of extraction procedures. Milchwissenschaft. Milk Sci. Int. 1982, 37, 331–335. [Google Scholar]
- Folkertsma, B.; Fox, P.F. Use of the Cd-ninhydrin reagent to assess proteolysis in cheese during ripening. J. Dairy Res. 1992, 59, 217–224. [Google Scholar] [CrossRef]
- Vyhmeister, S.; Geldsetzer-Mendoza, C.; Medel-Marabolí, M.; Fellenberg, A.; Vargas-Bello-Pérez, E.; Ibáñez, R.A. Influence of using different proportions of cow and goat milk on the chemical, textural and sensory properties of Chanco–style cheese with equal composition. LWT 2019, 112, 108226. [Google Scholar] [CrossRef]
- Castellanos Ruelas, A.; Valencia Zarazua, M. Quantitative and qualitative study of milk production of the Pelibuey sheep. Trop. Anim. Prod. 1982, 7, 235–240. [Google Scholar]
- NMX-F-462-198. Alimentos. Lácteos. Queso Tipo Manchego. Normas Mexicanas; Dirección General de Normas: Ciudad de México, México, 1984. [Google Scholar]
- Fox, P.F.; Cogan, T.M.; Guinee, T.P. Factors that affect the quality of cheese. In Cheese; Elsevier: Amsterdam, The Netherlands, 2017; pp. 617–641. [Google Scholar]
- Johnson, M.E. Moisture migration in cheese-gauging the effects of moisture loss and moisture gain. Dairy Pipeline 2003, 15, 1. [Google Scholar]
- Guinee, T.P.; Fox, P.F. Salt in cheese: Physical, chemical and biological aspects. In Cheese: Chemistry, Physics and Microbiology; Springer: Berlin/Heidelberg, Germany, 1993; pp. 257–302. [Google Scholar]
- Hassan, A.; Johnson, M.E.; Lucey, J.A. Changes in the proportions of soluble and insoluble calcium during the ripening of Cheddar cheese. J. Dairy Sci. 2004, 87, 854–862. [Google Scholar] [CrossRef]
- Sousa, M.J.; Ardö, Y.; McSweeney, P.L.H. Advances in the study of proteolysis during cheese ripening. Int. Dairy J. 2001, 11, 327–345. [Google Scholar] [CrossRef]
- Ozturk, M.; Govindasamy-Lucey, S.; Jaeggi, J.J.; Johnson, M.E.; Lucey, J.A. The influence of high hydrostatic pressure on regular, reduced, low and no salt added Cheddar cheese. Int. Dairy J. 2013, 33, 175–183. [Google Scholar] [CrossRef]
- Ibáñez, R.A.; Waldron, D.S.; McSweeney, P.L.H. Effect of fat content and temperature on the translucency of Cheddar cheese. Int. Dairy J. 2016, 54, 33–42. [Google Scholar] [CrossRef]
- Gaya, P.; Sánchez, C.; Nunez, M.; Fernández-García, E. Proteolysis during ripening of Manchego cheese made from raw or pasteurized ewes’ milk. Seasonal variation. J. Dairy Res. 2005, 72, 287–295. [Google Scholar] [CrossRef] [PubMed]
- Rank, T.C.; Grappin, R.; Olson, N.F. Secondary proteolysis of cheese during ripening: A review. J. Dairy Sci. 1985, 68, 801–805. [Google Scholar] [CrossRef]
- Lucey, J.A.; Johnson, M.E.; Horne, D.S. Invited review: Perspectives on the basis of the rheology and texture properties of cheese. J. Dairy Sci. 2003, 86, 2725–2743. [Google Scholar] [CrossRef]
- Dave, R.I.; McMahon, D.J.; Broadbent, J.R.; Oberg, C.J. Reversibility of the temperature-dependent opacity of nonfat mozzarella cheese. J. Dairy Sci. 2001, 84, 2364–2371. [Google Scholar] [CrossRef]
- Sharma, G.; Bala, R. Digital Color Imaging Handbook; CRC Press: Boca Raton, FL, USA, 2017. [Google Scholar]
- Bergamini, C.V.; Wolf, I.V.; Perotti, M.C.; Zalazar, C.A. Characterisation of biochemical changes during ripening in Argentinean sheep cheeses. Small Rumin. Res. 2010, 94, 79–89. [Google Scholar] [CrossRef]
- Vargas Bello Pérez, E.; Aguilar, C.; Toro Mujica, P.M.; Vera, R.R.; Cerda, M.; Briones, I. Characterization of cheese consumers in Santiago Province, Chile. Cienc. Investig. Agrar. 2014, 41, 327–335. [Google Scholar] [CrossRef]


| Parameter | Lactation Stage (d) | SEM 1 | p-Value Lactation | p-Value Litter Size | ||||||||||
|---|---|---|---|---|---|---|---|---|---|---|---|---|---|---|
| 14 | 21 | 28 | 35 | 42 | 49 | 56 | 63 | 70 | 77 | 84 | ||||
| Yield (kg/d) | 0.43 | 0.63 | 0.59 | 0.51 | 0.48 | 0.34 | 0.38 | 0.27 | 0.34 | 0.31 | 0.26 | <0.01 | <0.001 | 0.720 |
| Total Solids (% DM) | 13.32 | 12.40 | 13.23 | 14.57 | 14.36 | 15.45 | 14.54 | 15.01 | 16.10 | 15.70 | 15.56 | 0.60 | <0.001 | 0.627 |
| Fat (% DM) | 2.83 | 2.34 | 2.867 | 4.03 | 4.02 | 4.76 | 4.05 | 4.19 | 5.41 | 4.89 | 5.00 | 0.49 | <0.001 | 0.849 |
| Protein (% DM) | 3.11 | 2.83 | 3.09 | 3.48 | 3.43 | 3.73 | 3.47 | 3.50 | 3.92 | 3.83 | 3.78 | 0.18 | <0.001 | 0.734 |
| Lactose (% DM) | 6.30 | 6.23 | 6.29 | 6.00 | 5.95 | 5.92 | 6.02 | 6.09 | 5.75 | 6.01 | 5.80 | 0.14 | 0.121 | 0.654 |
| Solids Non-Fat (% DM) | 10.25 | 9.96 | 10.28 | 10.42 | 10.29 | 10.65 | 10.44 | 10.66 | 10.70 | 10.82 | 10.60 | 0.17 | 0.004 | 0.462 |
| Protein-to-Fat Ratio | 1.38 | 1.58 | 1.43 | 0.98 | 0.95 | 0.88 | 0.93 | 0.98 | 0.77 | 0.88 | 0.77 | 0.11 | <0.001 | 0.734 |
| Lactose-to-Protein Ratio | 2.25 | 2.44 | 2.26 | 1.87 | 1.88 | 1.76 | 1.85 | 2.40 | 1.51 | 1.55 | 1.50 | 0.32 | 0.228 | 0.660 |
| Parameters (% Wet Basis) | Ripening Time (d) | SEM | p-Value | ||||||
|---|---|---|---|---|---|---|---|---|---|
| 1 | 30 | 60 | 90 | 120 | 150 | 180 | |||
| Moisture | 44.69 a | 44.92 a | 44.00 a | 42.57 ab | 41.56 b | 41.50 b | 41.29 b | 0.464 | <0.001 |
| Fat | 30.36 a | 28.04 b | 29.11 ab | 30.52 a | 29.50 ab | 29.21 ab | 28.94 ab | 0.430 | 0.021 |
| Protein | 23.92 d | 24.22 cd | 23.92 d | 24.61 c | 26.99 b | 27.49 ab | 27.79 a | 0.117 | <0.001 |
| Salt | 1.42 e | 1.45 e | 1.52 d | 1.55 cd | 1.61 c | 1.69 b | 1.88 a | 0.013 | <0.001 |
| MNFS | 64.17 a | 62.42 b | 62.07 b | 61.28 c | 58.96 d | 58.63 de | 58.11 e | 0.120 | <0.001 |
| FDM | 54.86 a | 50.88 b | 51.98 ab | 53.15 ab | 50.48 b | 49.93 b | 49.29 b | 0.191 | 0.006 |
| S/M | 3.13 e | 3.23 e | 3.47 d | 3.57 d | 3.76 c | 4.04 b | 4.54 a | 0.031 | <0.001 |
| Ash | 3.76 d | 4.76 c | 5.02 c | 4.82 bc | 5.23 ab | 5.22 ab | 5.35 a | 0.059 | <0.001 |
| aw | 0.943 a | 0.944 a | 0.941 a | 0.931 a | 0.924 ab | 0.909 b | 0.906 b | 0.005 | <0.001 |
| Parameters | Ripening Time (d) | SEM | p-Value | ||||||
|---|---|---|---|---|---|---|---|---|---|
| 1 | 30 | 60 | 90 | 120 | 150 | 180 | |||
| L* | 88.65 a | 87.91 a | 86.32 a | 84.93 ab | 83.24 b | 81.32 b | 83.17 b | 0.545 | <0.001 |
| a* | −1.14 | −1.12 | −1.20 | −1.26 | −1.14 | −1.12 | −1.22 | 0.063 | 0.655 |
| b* | 17.40 | 17.56 | 17.43 | 16.19 | 17.40 | 16.69 | 16.81 | 0.378 | 0.316 |
| C* | 17.44 | 17.59 | 17.48 | 16.54 | 17.44 | 16.73 | 16.85 | 0.376 | 0.316 |
| h* (°) | 93.77 | 93.67 | 93.95 | 94.37 | 93.77 | 93.85 | 94.16 | 0.238 | 0.404 |
| WI | 36.45 a | 35.24 a | 34.02 ab | 35.47 a | 31.04 b | 31.25 b | 32.73 b | 1.200 | 0.042 |
| ∆E* | − | 0.99 d | 2.38 cd | 3.85 bc | 5.42 ab | 7.42 a | 5.55 ab | 0.523 | <0.001 |
| Attribute | Ripening Time (d) | SEM 1 | p-Value | ||
|---|---|---|---|---|---|
| 1 | 90 | 180 | |||
| Appearance | 7.8 a | 7.2 b | 6.7 c | 0.16 | <0.001 |
| Color | 7.7 a | 7.0 ab | 6.8 b | 0.15 | 0.002 |
| Aroma | 7.2 a | 7.3 a | 6.6 b | 0.18 | 0.010 |
| Flavor | 7.3 a | 6.9 a | 5.8 b | 0.20 | <0.001 |
| Texture | 6.7 ab | 7.1 b | 6.0 a | 0.21 | 0.001 |
| Overall Acceptability | 7.5 a | 7.1 a | 6.2 b | 0.17 | <0.001 |
Publisher’s Note: MDPI stays neutral with regard to jurisdictional claims in published maps and institutional affiliations. |
© 2020 by the authors. Licensee MDPI, Basel, Switzerland. This article is an open access article distributed under the terms and conditions of the Creative Commons Attribution (CC BY) license (http://creativecommons.org/licenses/by/4.0/).
Share and Cite
Mezo-Solís, J.A.; Moo-Huchin, V.M.; Sánchez-Zarate, A.; Gonzalez-Ronquillo, M.; Estrada-León, R.J.; Ibáñez, R.; Toro-Mujica, P.; Chay-Canul, A.J.; Vargas-Bello-Pérez, E. Physico-Chemical, Sensory and Texture Properties of an Aged Mexican Manchego-Style Cheese Produced from Hair Sheep Milk. Foods 2020, 9, 1666. https://doi.org/10.3390/foods9111666
Mezo-Solís JA, Moo-Huchin VM, Sánchez-Zarate A, Gonzalez-Ronquillo M, Estrada-León RJ, Ibáñez R, Toro-Mujica P, Chay-Canul AJ, Vargas-Bello-Pérez E. Physico-Chemical, Sensory and Texture Properties of an Aged Mexican Manchego-Style Cheese Produced from Hair Sheep Milk. Foods. 2020; 9(11):1666. https://doi.org/10.3390/foods9111666
Chicago/Turabian StyleMezo-Solís, Jesús Alberto, Víctor Manuel Moo-Huchin, Adriana Sánchez-Zarate, Manuel Gonzalez-Ronquillo, Raciel Javier Estrada-León, Rodrigo Ibáñez, Paula Toro-Mujica, Alfonso J. Chay-Canul, and Einar Vargas-Bello-Pérez. 2020. "Physico-Chemical, Sensory and Texture Properties of an Aged Mexican Manchego-Style Cheese Produced from Hair Sheep Milk" Foods 9, no. 11: 1666. https://doi.org/10.3390/foods9111666
APA StyleMezo-Solís, J. A., Moo-Huchin, V. M., Sánchez-Zarate, A., Gonzalez-Ronquillo, M., Estrada-León, R. J., Ibáñez, R., Toro-Mujica, P., Chay-Canul, A. J., & Vargas-Bello-Pérez, E. (2020). Physico-Chemical, Sensory and Texture Properties of an Aged Mexican Manchego-Style Cheese Produced from Hair Sheep Milk. Foods, 9(11), 1666. https://doi.org/10.3390/foods9111666

