Optimisation of Physical and Chemical Treatments to Control Browning Development and Enzymatic Activity on Fresh-cut Apple Slices
Abstract
1. Introduction
2. Materials and Methods
2.1. Raw Material
2.2. Reagents and Chemicals
2.3. Sample Preparation
2.4. Sample Characterization
2.5. Anti-Browning Treatments
2.6. Colour Assessment
2.7. Enzyme Activity Assessment
2.8. Design of Experiments
2.9. Statistical Analysis
3. Results
3.1. Apple Fruit Characterization
3.2. Numerical Optimization for Colour Changes of Apple Slice Surface
3.3. Effect of Treatments on the Development of the CIE 1976 Colour Difference (ΔE)
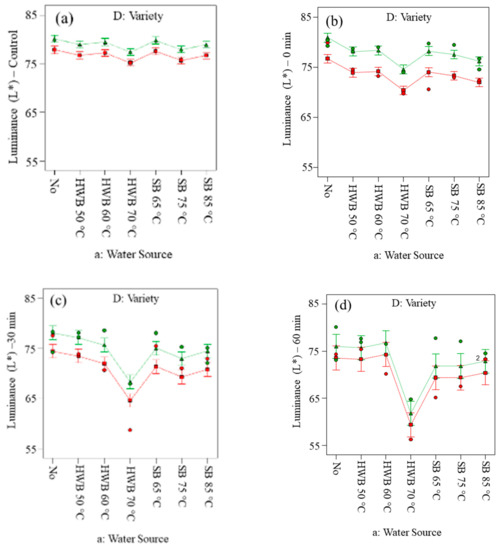
3.4. Effect of Treatments on Changes in L* and a* Values
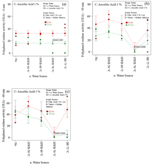
3.5. Assessment of Oxidative Enzymes Activity at Optimum Goals
4. Conclusions
Supplementary Materials
Author Contributions
Funding
Acknowledgments
Conflicts of Interest
References
- Sinha, N.K. Apples and pears: Production, physicochemical and nutritional quality, and major products. In Handbook of Fruits and Fruit Processing; Wiley-Blackwell: Hoboken, NJ, USA, 2012; pp. 365–383. [Google Scholar]
- Weaver, C.M.; Dwyer, J.; Fulgoni, V.L.; King, J.C.; Leveille, G.A.; MacDonald, R.S.; Ordovas, J.; Schnakenberg, D. Processed foods: Contributions to nutrition. Am. J. Clin. Nutr. 2014, 99, 1525–1542. [Google Scholar] [CrossRef]
- Liu, X.; Ren, J.; Zhu, Y.; Han, W.; Xuan, H.; Ge, L. The preservation effect of ascorbic acid and calcium chloride modified chitosan coating on fresh-cut apples at room temperature. Colloids Surf. Physicochem. Eng. Asp. 2016, 502, 102–106. [Google Scholar] [CrossRef]
- Martin-Belloso, O.; Fortuny, R.S. Advances in Fresh-Cut Fruits and Vegetables Processing; CRC Press: Boca Raton, FL, USA, 2011; p. 1238. ISBN 1420071238. [Google Scholar]
- Lee, C.Y.; Whitaker, J.R. Enzymatic Browning and Its Prevention; American Chemical Society: Washington, DC, USA; p. 2490. ISBN 0841232490.
- Kim, A.N.; Lee, K.Y.; Kim, H.J.; Chun, J.; Kerr, W.L.; Choi, S.G. Effect of Grinding at Modified Atmosphere or Vacuum on Browning, Antioxidant Capacities, and Oxidative Enzyme Activities of Apple. J. Food Sci. 2018, 83, 84–92. [Google Scholar] [CrossRef]
- Queiroz, C.; Lopes, M.L.M.; Fialho, E.; Valente-Mesquita, V.L. Polyphenol Oxidase: Characteristics and mechanisms of browning control. Food Rev. Int. 2008, 24, 361–375. [Google Scholar] [CrossRef]
- Oke, M.; Jacob, J.; Paliyath, G. Biochemistry of Fruit Processing. In Food Biochemistry and Food Processing; Benjamin, K.S., Nollet, L.M., Benjakul, S., Paliyath, G., Hui, Y.H., Eds.; John Wiley & Sons: New York, NY, USA, 2012; ISBN 9780813808741. [Google Scholar]
- Yildiz, G. Ultrasonic Cutting as a New Method to Produce Fresh-Cut Red Delicious and Golden Delicious Apples. J. Food Sci. 2019, 84, 1–8. [Google Scholar] [CrossRef] [PubMed]
- Jukanti, A. Polyphenol Oxidase(s): Importance in Food Industry. In Polyphenol Oxidases (PPOs) in Plants; Springer: Singapore, 2017; ISBN 9789811057465. [Google Scholar]
- Li, X.; Wu, X.; Bi, J.; Liu, X.; Li, X.; Guo, C. Polyphenols accumulation effects on surface color variation in apple slices hot air drying process. LWT 2019, 108, 421–428. [Google Scholar] [CrossRef]
- Ioannou, I.; Ghoul, M. Prevention of enzymatic browning in fruit and vegetables. Eur. Sci. J. 2013, 9, 1857–7881. [Google Scholar]
- Burke, A. Quantifying Flesh Browning, Polyphenoloxidase, Total Phenolic Content and Vitamin C in Select Apple Varieties and Progeny. Ph.D. Thesis, Cornell University, New York, NY, USA, 2010. [Google Scholar]
- Taranto, F.; Pasqualone, A.; Mangini, G.; Tripodi, P.; Miazzi, M.M.; Pavan, S.; Montemurro, C. Polyphenol oxidases in crops: Biochemical, physiological and genetic aspects. Int. J. Mol. Sci. 2017, 18, 377. [Google Scholar] [CrossRef] [PubMed]
- Bisswanger, H. Enzyme assays. Perspect. Sci. 2014, 1, 41–55. [Google Scholar] [CrossRef]
- Cofelice, M.; Lopez, F.; Cuomo, F. Quality Control of Fresh-Cut Apples after Coating Application. Foods. Foods 2019, 8–189. [Google Scholar]
- Han, Q.Y.; Liu, F.; Li, M.; Wang, K.L.; Ni, Y.Y. Comparison of biochemical properties of membrane-bound and soluble polyphenol oxidase from Granny Smith apple (Malus × domestica Borkh.). Food Chem. 2019, 289, 657–663. [Google Scholar] [CrossRef] [PubMed]
- Chen, C.; Hu, W.; He, Y.; Jiang, A.; Zhang, R. Effect of citric acid combined with UV-C on the quality of fresh-cut apples. Postharvest Biol. Technol. 2016, 111, 126–131. [Google Scholar] [CrossRef]
- Rux, G.; Efe, E.; Ulrichs, C.; Huyskens-Keil, S.; Hassenberg, K.; Herppich, W.B. Effects of Pre-Processing Short-Term Hot-Water Treatments on Quality and Shelf Life of Fresh-Cut Apple Slices. Foods 2019, 8, 653. [Google Scholar] [CrossRef] [PubMed]
- Jeong, L.H.; Jin, W.J.; Kwang, M.D.; Kee, J. Effects of anti-browning agents on polyphenoloxidase activity and total phenolics as related to browning of fresh-cut “Fuji” apple. Int. Food Res. J. 2008, 15, 79–87. [Google Scholar]
- Putnik, P.; Bursać Kovačević, D.; Herceg, K.; Levaj, B. Influence of anti-browning solutions, air exposure, and ultrasound on color changes in fresh-cut apples during storage. J. Food Process. Preserv. 2017, 41, 1–12. [Google Scholar] [CrossRef]
- Lavelli, V.; Caronni, P. Polyphenol oxidase activity and implications on the quality of intermediate moisture and dried apples. Eur. Food Res. Technol. 2010, 231, 93–100. [Google Scholar] [CrossRef]
- Pizzocaro, F.; Torreggiani, D.; Gilardi, G. Inhibition of apple polyphenoloxidase (ppo) by ascorbic acid, citric acid. J. Food Process. Preserv. 1993, 17, 21–30. [Google Scholar] [CrossRef]
- Huque, R.; Wills, R.B.H.; Pristijono, P.; Golding, J.B. Effect of nitric oxide (NO) and associated control treatments on the metabolism of fresh-cut apple slices in relation to development of surface browning. Postharvest Biol. Technol. 2013, 78, 16–23. [Google Scholar] [CrossRef]
- Fan, X.; Sokorai, K.; Phillips, J. Development of antibrowning and antimicrobial formulations to minimize Listeria monocytogenes contamination and inhibit browning of fresh-cut “Granny Smith” apples. Postharvest Biol. Technol. 2018, 143, 43–49. [Google Scholar] [CrossRef]
- Putnik, P.; Bursać Kovačević, D.; Herceg, K.; Levaj, B. Influence of Cultivar, Anti-Browning Solutions, Packaging Gasses, and Advanced Technology on Browning in Fresh-Cut Apples During Storage. J. Food Process. Eng. 2017, 40, 1–11. [Google Scholar] [CrossRef]
- Bertrand, C.; Raposo, M.F.D.J.; de Morais, R.M.S.C.; de Morais, A.M.M.B.D. Effects of different edible coatings on polyphenol oxidase activity and colour of fresh-cut apple during cold storage. Int. J. Postharvest Technol. Innov. 2015, 5, 91–104. [Google Scholar] [CrossRef]
- Rocha, A.M.C.N.; De Morais, A.M.M.B. Polyphenoloxidase activity of minimally processed “Jonagored” apples (Malus domestica). J. Food Process. Preserv. 2005, 29, 8–19. [Google Scholar] [CrossRef]
- Remorini, D.; Landi, M.; Tardelli, F.; Lugani, A.; Massai, R.; Graziani, G.; Fogliano, V.; Guidi, L. Effect of Chlorine Dioxide and Ascorbic Acid on Enzymatic Browning and Shelf Life of Fresh-Cut Red Delicious and Granny Smith Apples. J. Food Process. Preserv. 2015, 39, 2925–2934. [Google Scholar] [CrossRef]
- Minatel, I.O.; Borges, C.V.; Alonzo, H.; Hector, G.; Gomez, G.; Chen, C.O. Phenolic Compounds: Functional Properties, Impact of Processing: Functional Properties, Impact of Processing and Bioavailability. Phenolic Compd. Act. Tech. 2017, 236. [Google Scholar] [CrossRef]
- Tison, A. A study of organic food consumers’ knowledge, attitudes and behavior regarding labor in organic farms. Nature. Berkeley. Edu. 2012, 15, 1–26. [Google Scholar]
- Iqbal, A.; Murtaza, A.; Hu, W.; Ahmad, I.; Ahmed, A.; Xu, X. Activation and inactivation mechanisms of polyphenol oxidase during thermal and non-thermal methods of food processing. Food Bioprod. Process. 2019, 117, 170–182. [Google Scholar] [CrossRef]
- Tylewicz, U.; Tappi, S.; Nowacka, M.; Wiktor, A. Safety, quality, and processing of fruits and vegetables. Foods 2019, 8, 569. [Google Scholar] [CrossRef]
- Abbasi, N.A.; Akhtar, A.; Hussain, A.; Ali, I. Effect of anti-browning agents on quality changes of loquat [Eriobotryca Japonica (Thunb.) Lindley] fruit after harvest. Pakistan J. Bot. 2013, 45, 1391–1396. [Google Scholar]
- Chem, F. Characterization and role of polyphenol oxidase and peroxidase in browning of fresh-cut melon. J. Agric. Food Chem. 2008, 1, 132–138. [Google Scholar]
- Bartolini, S.; Viti, R.; Ducci, E. Local fruit varieties for sustainable cultivations: Pomological, nutraceutical and sensory characterization. Agrochimica 2015, 59, 281–294. [Google Scholar]
- Heras-Ramírez, M.E.; Quintero-Ramos, A.; Torres-Muñoz, J.V.; Salas-Muñoz, R. Effect of blanching and drying temperature on polyphenolic compound stability and antioxidant capacity of apple pomace. Food Bioprocess. Technol. 2012, 6, 2201–2210. [Google Scholar]
- Aguayo, E.; Requejo-Jackman, C.; Stanley, R.; Woolf, A. Hot water treatment in combination with calcium ascorbate dips increases bioactive compounds and helps to maintain fresh-cut apple quality. Postharvest Biol. Technol. 2015, 110, 158–165. [Google Scholar] [CrossRef]
- Moscetti, R.; Carletti, L.; Monarca, D.; Cecchini, M.; Stella, E.; Massantini, R. Effect of alternative postharvest control treatments on the storability of ‘Golden Delicious’ apples. J. Sci. Food Agric. 2013, 93, 2691–2697. [Google Scholar] [CrossRef] [PubMed]
- Perez-Gago, M.B.; Serra, M.; Río, M.A. Del Color change of fresh-cut apples coated with whey protein concentrate-based edible coatings. Postharvest Biol. Technol. 2006, 39, 84–92. [Google Scholar] [CrossRef]
- Furumo, N.C.; Furutani, S. A simple method for assaying total protein, polyphenol oxidase and peroxidase activity from ‘Kaimana’ Litchi chinensis Sonn. J. Hawaiian Pacific Agric. 2008, 15, 1–7. [Google Scholar]
- Zhang, X.; Shao, X. Characterisation of polyphenol oxidase and peroxidase and the role in browning of loquat fruit. Food Chem. 2015, 2015, 109–117. [Google Scholar] [CrossRef]
- Design Expert; Version 10.0.5; Stat Ease Inc.: Minneapolis, MN, USA, 2015; Available online: www.statease.com (accessed on 12 June 2019).
- Jones, B.; Goos, P. D-optimal design of split-split-plot experiments. Biometrika 2009, 96, 67–82. [Google Scholar] [CrossRef][Green Version]
- Yolmeh, M.; Habibi Najafi, M.B.; Farhoosh, R. Optimisation of ultrasound-assisted extraction of natural pigment from annatto seeds by response surface methodology (RSM). Food Chem. 2014, 155, 319–324. [Google Scholar] [CrossRef]
- He, Z.; Zhu, P.F.; Park, S.H. A robust desirability function method for multi-response surface optimization considering model uncertainty. Eur. J. Oper. Res. 2012, 221, 241–247. [Google Scholar] [CrossRef]
- SPSS, version 20.0; IBM Corporation: New York, NY, USA, 2011.
- Jaros, D.; Thamke, I.; Raddatz, H.; Rohm, H. Single-cultivar cloudy juice made from table apples: An attempt to identify the driving force for sensory preference. Eur. Food Res. Technol. 2009, 229, 51–61. [Google Scholar] [CrossRef]
- Petkovska, A.; Gjamovski, V.; Stefova, M. Comparison of different extraction solvents for assay of the polyphenol content in the peel and pulp of apple cultivars from Macedonia. Maced. J. Chem. Eng. 2016, 35, 29–38. [Google Scholar] [CrossRef]
- Pires, T.C.S.P.; Dias, M.I.; Barros, L.; Alves, M.J.; Oliveira, M.B.P.P.; Santos-Buelga, C.; Ferreira, I.C.F.R. Antioxidant and antimicrobial properties of dried Portuguese apple variety (Malus domestica Borkh. cv Bravo de Esmolfe). Food Chem. 2018, 240, 701–706. [Google Scholar] [CrossRef] [PubMed]
- Wolfe, K.; Wu, X.; Liu, R.H. Antioxidant activity of apple peels. J. Agric. Food Chem. 2003, 51, 609–614. [Google Scholar] [CrossRef] [PubMed]
- Drogoudi, P.D.; Pantelidis, G. Effects of position on canopy and harvest time on fruit physico-chemical and antioxidant properties in different apple cultivars. Sci. Hortic. (Amsterdam) 2011, 129, 752–760. [Google Scholar] [CrossRef]
- Manzocco, L.; Mastrocola, D.; Nicoli, M.C.; Marangoni, V. Review of non- enzymatic browning and antioxidant capacity in processed foods. Trends Food Sci. Technol. 2001, 11, 340–346. [Google Scholar] [CrossRef]
- Janovitz-Klapp, A.; Richard, F.; Nicolas, J. Polyphenoloxidase from apple, partial purification and some properties. Phytochemistry 1989, 28, 2903–2907. [Google Scholar] [CrossRef]
- Persic, M.; Mikulic-Petkovsek, M.; Slatnar, A.; Veberic, R. Chemical composition of apple fruit, juice and pomace and the correlation between phenolic content, enzymatic activity and browning. LWT-Food Sci. Technol. 2017, 82, 23–31. [Google Scholar] [CrossRef]
- Richter, P.; Häder, D.P. Pigments. In Bioassays: Advanced Methods and Applications; Elsevier: Alpharetta, GA, USA, 2019; pp. 143–167. ISBN 9780128118900. [Google Scholar]
- Kalinowska, M.; Bielawska, A.; Lewandowska-Siwkiewicz, H.; Priebe, W.; Lewandowski, W. Apples: Content of phenolic compounds vs. variety, part of apple and cultivation model, extraction of phenolic compounds, biological properties. Plant. Physiol. Biochem. 2014, 84, 169–188. [Google Scholar] [CrossRef]
- Hecke, K.; Herbinger, K.; Veberic, R.; Trobec, M.; Toplak, H.; Stampar, F.; Keppel, H.; Grill, D. Sugar-, acid-and phenol contents in apple cultivars from organic and integrated fruit cultivation. Eur. J. Clin. Nutr. 2006, 60, 1136–1140. [Google Scholar] [CrossRef]
- Riva, M.; Campolongo, S.; Leva, A.A.; Maestrelli, A.; Torreggiani, D. Structure-property relationships in osmo-air-dehydrated apricot cubes. Food Res. Int. 2005, 38, 533–542. [Google Scholar] [CrossRef]
- Laroque, D.; Inisan, C.; Berger, C.; Vouland, É.; Dufossé, L.; Guérard, F. Kinetic study on the Maillard reaction. Consideration of sugar reactivity. Food Chem. 2008, 111, 1032–1042. [Google Scholar] [CrossRef]
- Rawson, A.; Patras, A.; Tiwari, B.K.; Noci, F.; Koutchma, T.; Brunton, N. Effect of thermal and non thermal processing technologies on the bioactive content of exotic fruits and their products: Review of recent advances. Food Res. Int. 2011, 44, 1875–1887. [Google Scholar] [CrossRef]
- Toivonen, P.M.A.; Brummell, D.A. Biochemical bases of appearance and texture changes in fresh-cut fruit and vegetables. Postharvest Biol. Technol. 2008, 48, 1–14. [Google Scholar] [CrossRef]
- Crichton, S.; Shrestha, L.; Hurlbert, A.; Sturm, B. Use of hyperspectral imaging for the prediction of moisture content and chromaticity of raw and pre-treated apple slices during convection drying. Dry. Technol. 2018, 7, 804–816. [Google Scholar] [CrossRef]
- Delgado-Pelayo, R.; Gallardo-Guerrero, L.; Hornero-Méndez, D. Chlorophyll and carotenoid pigments in the peel and flesh of commercial apple fruits varieties. Food Res. Int. 2014, 65, 272–281. [Google Scholar] [CrossRef]
- Gonzalez, M.E.; Barrett, D.M. Thermal, high pressure, and electric field processing effects on plant cell membrane integrity and relevance to fruit and vegetable quality. J. Food Sci. 2010, 75, 121–130. [Google Scholar] [CrossRef]
- Coseteng, M.Y.; Lee, C.Y. Changes in apple polyphenoloxidase and polyphenol concentrations in relation to degree of browning. J. Food Sci. 1987, 52, 985–989. [Google Scholar] [CrossRef]
- Amiot, M.J.; Tacchini, M.; Aubert, S.; Nicolas, J. Phenolic composition and browning susceptibility various apple cultivars at maturity. J. Food Sci. 1992, 57, 958–962. [Google Scholar] [CrossRef]
- Rico, D.; Martín-Diana, A.B.; Barat, J.M.; Barry-Ryan, C. Extending and measuring the quality of fresh-cut fruit and vegetables: A review. Trends Food Sci. Technol. 2007, 18, 373–386. [Google Scholar] [CrossRef]
- Chow, Y.N.; Louarme, L.; Bonazzi, C.; Nicolas, J.; Billaud, C. Apple polyphenoloxidase inactivation during heating in the presence of ascorbic acid and chlorogenic acid. Food Chem. 2011, 129, 761–767. [Google Scholar] [CrossRef]
- Jang, J.; Moon, K. Inhibition of polyphenol oxidase and peroxidase activities on fresh-cut apple by simultaneous treatment of ultrasound and ascorbic acid. Food Chem. 2011, 124, 444–449. [Google Scholar] [CrossRef]
- Lamikanra, O.; Watson, M.A. Effects of ascorbic acid on peroxidase and polyphenoloxidase activities in fresh-cut cantaloupe melon. J. Food Sci. 2001, 66, 1283–1286. [Google Scholar]
- Javdani, Z.; Ghasemnezhad, M.; Zare, S. A comparison of heat treatment and ascorbic acid on controlling enzymatic browning of fresh-cuts apple fruit. Int. J. Agric. Crop Sci. 2013, 5, 186. [Google Scholar]
- Yemenicioglu, A.; Özkan, M.; Cemeroglu, B. Heat inactivation kinetics of apple polyphenoloxidase and activation of its latent form. J. Food Sci. 1997, 62, 508–510. [Google Scholar] [CrossRef]
- Kim, D.M.; Smith, N.L.; Lee, C.Y. Apple cultivar variations in response to heat treatment and minimal processing. J. Food Sci. 1993, 58, 1111–1114. [Google Scholar] [CrossRef]
- Rojas-Graü, A.; Soliva-Fortuny, R.; Martin-Belloso, O. Effect of natural antibrowning agents on color and related enzymes in fresh-cut fuji apples as an alternative to the use of ascorbic acid. J. Food Sci. 2008, 73, 267–272. [Google Scholar]
- Moscetti, R.; Haff, R.P.; Ferri, S.; Raponi, F.; Monarca, D.; Liang, P.; Massantini, R. Real-time monitoring of organic carrot (var. Romance) during hot-air drying using near-infrared spectroscopy. Food Bioprocess. Technol. 2017, 10, 2046–2059. [Google Scholar] [CrossRef]
- Moscetti, R.; Raponi, F.; Ferri, S.; Colantoni, A.; Monarca, D.; Massantini, R. Real-time monitoring of organic apple (var. Gala) during hot-air drying using near-infrared spectroscopy. J. Food Eng. 2018, 222, 139–150. [Google Scholar] [CrossRef]







| Apple Cultivar | Pre-Treatments | Conditions | Parameters Measured | Results | Source |
|---|---|---|---|---|---|
| Fuji | (i) 0.5 % CA (ii) exposed to UV-C lamp; (iii) dipped in CA + exposed to UV-C; (iv) Control—5 min dipping time | -After treatment, fresh-cut apples were placed in plastic foam tray (15 × 21 × 2.5 cm) and wrapped with PE cling film and stored at 5 ± 2 C for 15 days | - TPC - Phenolic compound - Δ E - PPO | - CA has negative impact on Δ E compared to control - UV and UV + CA: reduce BI - UV, CA and CA + UV treatments: inhibit PPO activity (p < 0.05) - UV + CA: control BI, lowering the microbial activity and PPO activity | [18] |
| Braeburn | (i) 55 °C Hot water (HW) treatment (ii) 65 °C HW- treatment for 30 s—immersed in AA/CA solution (40 g AA and 20 g citric acid in 1 L deionized water) for 5 min | Apple slices were stored immersed in sugar syrup in pails for up to 13 days | -Tissue strength - Browning index (BI) -Total soluble solid (TSS) -Titratable acidity (TA) -Vitamin C -Microbial analysis | -HWT at both 55 °C and 65 °C had positive effect on important quality parameters such as TSS, TA or vitamin C | [19] |
| Fuji apple —1.5 cm cubes | (i) 0.5 % Ascorbic acid (AA); (ii) 0.5 % cysteine (CS); (iii) Distilled water (DW); iv) 0.01 % Chlorinated water (CW)—2 min dipping time | - Stored in low density polyethylene (LDPE) bags without sealing in the dark at 4 °C, 90 % RH for 7 days | -Polyphenol oxidase activity (PPO) - Total phenolic content (TPC) - Browning index (BI) - Color changes (Δ E) | − 0.5 % CS: to control PPO activity and BI - CS and AA: lower the TPC | [20] |
| Golden delicious (GD); Cripps Pink (CP) —1 cm | (i) control; ii) 1% w/v AA and 0.2 % w/v Citric acid (CA) with/without ultrasound; iii)1 % w/v Ca-ascorbate with/without ultrasound—3 min dipping time | - After the treatments, pieces were immediately packaged in 20 × 20 cm bags with modified atmosphere | - Δ E | - Combination of AA and CA with ultrasound: to reduce Δ E - Ca- ascorbate: best treatments - GD shows endure browning better than CP | [21] |
| Golden delicious | (i) Blanched in a deionized water bath at 100 °C—4 min; (ii) Control /unblanched | - Freeze dried and stored in a dark under vacuum at − 20 °C until used | - Δ E - antioxidant content - antioxidant activity | -Control sample: better Δ E > blanched sample stored at 40 °Cat aw < 0.32 -High PPO in unblanched apples stored at the 0.56 aw level at 20 °C - Catechin is the most unstable phenolic ompounds in both conditions | [22] |
| Golden delicious —14 mm | (i) AA; (ii) CA; (iii) sodium chloride (NaCl) (iv) potassium metabisulfite (PBS); (v) 1 g/L AA + 1 g/L CA; (vi)PBS + CA; (vii) AA + NaCl | -Samples were dripped for 2–3 min and kept at 2 °C prior to analysis | - PPO activity | - 1 % AA + 0.2 % CA: best treatment - 0.05 % NaCl + 1% AA: completely inhibits the PPO enzymes | [23] |
(a) AA 1 g/L and CA 1 g/L; AA 1 g/L and CA 2 g/L; AA 10 g/L and CA lg/L; AA 10 g/L and CA 2 g/L; (b) PBS 0.1 g/L and CA 1 g/L; PBS 0.1 g/L and CA 2 g/L; PBS 0.3 g/L and CA 1 g/L; PBS 0.3 g/L and CA 2 g/L; (c) AA 10 g/L and NaCl 0.2 g/L; AA 10 g/L and NaCl 0.5 g/L; AA 10 g/L and NaCl 1 g/L (d)control dipped in deionized water—5 min | - Individual application of concentrations between 0.2-10 g/L of AA, CA, NaCl has a low impact on inhibiting the PPO activity -10 g/L AA + 2 g/L CA: inhibited 87 % the PPO activity - 10 g/L AA + 0.5 g/L NaCl: completely inhibits the PPO activity | ||||
| Granny Smith | (i) 10 µL/L nitric oxide (NO) exposure; (ii) Diethylenetriamine/nitric oxide, (DETANO) treatment —2 hour | -Stored at 5 °C | -PPO activity | -Effect of treatments is DETANO < NO gas < water < untreated - PPO activity increased with storage period (6 months < 3 months < 0 months) | [24] |
| Granny Smith | (i) CA + Ca- ascorbate + NAC, and CA +AA +NAC. Tested levels for AA/Ca ascorbate were 0–7% with 3.5% as center points; and for NAC, the levels tested were 1–2%—3 min dipping time | -Placed into zipper sealed bags (15.2 × 12.7 cm) and stored at 4 C for 21 days | -Colour CIELAB parameters | -Combinations of 4% CA, 3–4 % AA and 1.5–2.0% NAC: the best ombination pre-treatments | [25] |
| Idared, Golden Delicious, Gala, Gloster, Cripps Pink, Braeburn, and Fuji—1 cm thick | (a) Control; (b) AA (1%, w/v) and CA (0.2%, w/v); (c) AA (1%, w/v)1NaCl (0.05%, w/v); (d) NaCl (1%, w/v); (e) CA (1%, w/v), and (f) Ca-ascorbate (1%, w/v) | -Apple slices storage times (0, 30, 180, 1440 min) | - Δ E -BI | -Fresh-cut processing act differently affected different apple cultivars -GD and Cripps Pink showed the least Δ E and BI - Air exposure showed largest influence on BI regardless of cultivar from 60 to 180 min storage -CIELab variables remained unchanged during 60–180 min of storage. - Ca-ascorbate: best antibrowning solution | [26] |
| Royal Gala—1 cm | (i) 5 g/L Carrageenan, 20 g/L alginate, Exopolysaccharide (EPS) 5 g.L–1, EPS 10 g.L–1, 5 g/L pectin or 2 g/LCMC solutions—2 minutes dipping time | -Stored in the boxes (polypropylene, l * w * h: 105 * 75 * 55 mm). All the boxes were covered with a lid, but not closed to not create a modified atmosphere; then, they were stored at 4°C | -Colour CIELAB parameters -PPO activity | -A good correlation between the colour and the PPO activity of the coated apple cubes. -Pectin solution was the best coating to reduce the PPO activity | [27] |
| Jonagored red—1.5 cm | (i) 42.6 mM AA (0.75% w/v); (ii) 21.3 mM AA + 33.8 mM CC and 14.2 mM AA + 22.5 mM CC + 13.0 mM CA | -Cubes were stored in open glass jars at 4 °C and atmospheric pressure for 7 days in the dark | -Colour CIELAB parameters - BI - TPC - PPO | -AA: best treatment - Large correlation were found between colour parameters and the total phenolic compounds -A negative correlation observed between L* value and BI -No correlations were observed between PPO activity, colour parameters, BI or TPC | [28] |
| Red delicious (RD) and Granny Smith (GS) | (i)100 mg/L ClO2; (ii)100 mg/L ClO2 + 3 % AA | -Each sampling time at 0, 48, 96 h after cutting were stored at 4 °C | -PPO -POD -BI | -At 0 h, BI in GS is lower than RD -At 48 h, ClO2+ AA had lower BI, inhibit PPO and POD activity on both RD and GS slices -GS has lower PPO activity compared to RD | [29] |
| Factor name | Factor type | Levels | Description |
|---|---|---|---|
| Water Source | Hard-to-change | Control | No treatment |
| HWB a 50 °C | Hot-water blanching at 50 °C | ||
| HWB a 60 °C | Hot-water blanching at 60 °C | ||
| HWB a 70 °C | Hot-water blanching at 70 °C | ||
| SB b 65 °C | Steam blanching at 65 °C | ||
| SB b 75 °C | Steam blanching at 75 °C | ||
| SB b 85 °C | Steam blanching at 85 °C | ||
| Apple variety | Easy-to-change | Elstar | |
| Golden Delicious | |||
| Dipping in CA c | Easy-to-change | Control | 0% (w/v) citric acid |
| 1% CA c | 1% (w/v) citric acid | ||
| Dipping in AA d | Easy-to-change | Control | 0% (w/v) ascorbic acid |
| 1% AA d | 1% (w/v) ascorbic acid |
| Parameters | Cultivar | |
|---|---|---|
| Golden Delicious | Elstar | |
| TSS (%) | 11.6 ± 0.2 a | 13.16 ± 0.15 b |
| pH | 3.74 ± 0.02 a | 3.39 ± 0.03 b |
| TA (meq malic acid/100g FW) | 2.23 ± 0.24 a | 4.11 ± 0.15 b |
| TSS/TA | 5.23 ± 0.52 a | 3.21 ± 0.14 b |
© 2020 by the authors. Licensee MDPI, Basel, Switzerland. This article is an open access article distributed under the terms and conditions of the Creative Commons Attribution (CC BY) license (http://creativecommons.org/licenses/by/4.0/).
Share and Cite
Shrestha, L.; Kulig, B.; Moscetti, R.; Massantini, R.; Pawelzik, E.; Hensel, O.; Sturm, B. Optimisation of Physical and Chemical Treatments to Control Browning Development and Enzymatic Activity on Fresh-cut Apple Slices. Foods 2020, 9, 76. https://doi.org/10.3390/foods9010076
Shrestha L, Kulig B, Moscetti R, Massantini R, Pawelzik E, Hensel O, Sturm B. Optimisation of Physical and Chemical Treatments to Control Browning Development and Enzymatic Activity on Fresh-cut Apple Slices. Foods. 2020; 9(1):76. https://doi.org/10.3390/foods9010076
Chicago/Turabian StyleShrestha, Luna, Boris Kulig, Roberto Moscetti, Riccardo Massantini, Elke Pawelzik, Oliver Hensel, and Barbara Sturm. 2020. "Optimisation of Physical and Chemical Treatments to Control Browning Development and Enzymatic Activity on Fresh-cut Apple Slices" Foods 9, no. 1: 76. https://doi.org/10.3390/foods9010076
APA StyleShrestha, L., Kulig, B., Moscetti, R., Massantini, R., Pawelzik, E., Hensel, O., & Sturm, B. (2020). Optimisation of Physical and Chemical Treatments to Control Browning Development and Enzymatic Activity on Fresh-cut Apple Slices. Foods, 9(1), 76. https://doi.org/10.3390/foods9010076

