Microencapsulation of Spent Coffee Extract Within Saccharomyces cerevisiae Cells via Spray Drying and Evaluation of Its In Vitro Bioaccessibility
Abstract
1. Introduction
2. Materials and Methods
2.1. Materials
2.2. Extraction of Bioactive Compounds from Spent Coffee
2.3. Identification and Quantification of Antioxidants in Spent Coffee by HPLC
2.4. Treatment of Saccharomyces cerevisiae Yeast Cells
2.5. Non-Plasmolyzed Saccharomyces cerevisiae Yeast Cells
2.6. Plasmolysis of Saccharomyces cerevisiae Yeast Cells
2.7. Microencapsulation of Spent Coffee Extract in Saccharomyces cerevisiae Yeast
2.8. Scanning Electron Microscopy (SEM)
2.9. Fourier Transform Infrared Spectroscopy (ATR-FTIR)
2.10. Differential Scanning Calorimetry (DSC)
2.11. Encapsulation Efficiency (EE) and Load Capacity (LC)
2.12. Gastrointestinal Digestion In Vitro
2.12.1. Gastric Phase (GP)
2.12.2. Intestinal Phase (IP)
2.12.3. Dialysis (D)
2.13. Liquid–Liquid Extraction of Bioactive Compounds After the Digested
2.14. Total Phenols
2.15. Trolox Equivalence Antioxidant Capacity Assay
2.16. DPPH Radical Scavenging Capacity Test
2.17. FRAP Test
2.18. Statistical Analysis
3. Results
3.1. Identification and Quantification of Bioactive Compounds
3.2. Scanning Electron Microscopy of Yeast Cells and Microcapsules
3.3. Fourier Transform Infrared Spectroscopy (FTIR)
3.4. Differential Scanning Calorimetry
3.5. Encapsulation Efficiency (EE) and Load Capacity (LC)
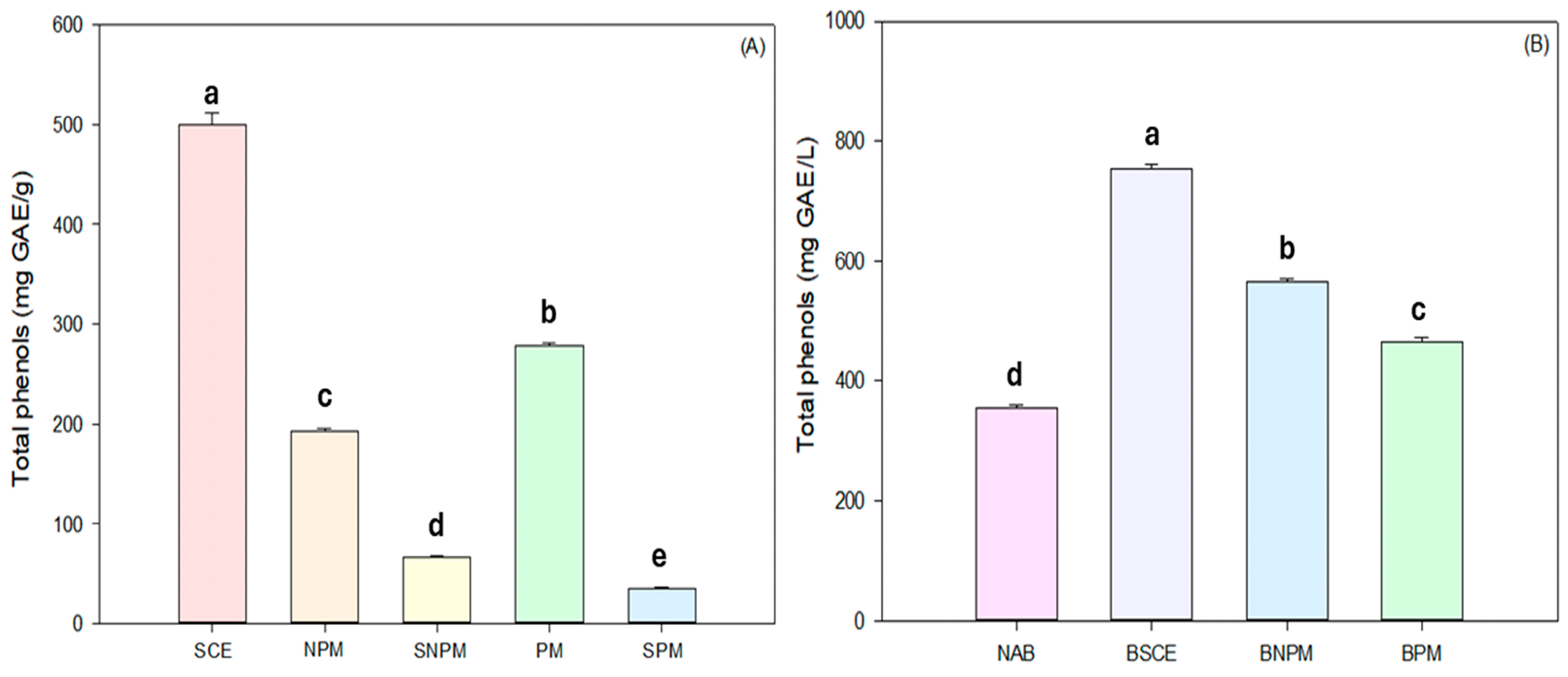
3.6. Digestion of Microcapsules Added to a Craft Beer
4. Conclusions
Author Contributions
Funding
Institutional Review Board Statement
Informed Consent Statement
Data Availability Statement
Acknowledgments
Conflicts of Interest
Abbreviations
| NPC | Non-plasmolyzed cell |
| PC | Plasmolyzed cell |
| NPM | Non-plasmolyzed microcapsule |
| PM | Plasmolyzed microcapsule |
| NAB | Non-additive beer |
| BSCE | Beer with spent coffee extract |
| BNPM | Beer with non-plasmolyzed microcapsules |
| BPM | Beer with plasmolyzed microcapsules |
| EE | Encapsulation efficiency |
| LC | Load capacity |
| SCE | spent coffee extract |
| SPM | superficial plasmolyzed microcapsule |
| SNPM | superficial non-plasmolyzed microcapsule |
References
- Esquivel, P.; Jimenez, V.M. Functional Properties of Coffee and Coffee By-Products. Food Res. Int. 2012, 46, 488–495. [Google Scholar] [CrossRef]
- Kovalcik, A.; Obruca, S.; Marova, I. Valorization of Spent Coffee Grounds: A Review. Food Bioprod. Proc. 2018, 110, 104–119. [Google Scholar] [CrossRef]
- Campos-Vega, R.; Loarca-Pina, G.; Vergara-Castañeda, H.A.; Oomah, B.D. Spent Coffee Grounds: A Review on Current Research and Prospects. Trends Food Sci. Technol. 2015, 45, 24–36. [Google Scholar] [CrossRef]
- McNutt, J. Spent Coffee Grounds: A review on Current Utilization. J. Ind. Eng. 2019, 71, 78–88. [Google Scholar] [CrossRef]
- Pettinato, M.; Trucillo, P.; Campardelli, R.; Perego, P.; Reverchon, E. Bioactives Extraction from Spent Coffee Grounds and Liposome Encapsulation by a Combination of Green Technologies. Chem. Eng. Proc. Proc. Intensif. 2015, 151, 107911. [Google Scholar] [CrossRef]
- Ballesteros, L.F.; Ramirez, M.J.; Orrego, C.E.; Teixeira, J.A.; Mussatto, S.I. Encapsulation of Antioxidant Phenolic Compounds Extracted from Spent Coffee Grounds by Freeze-Drying and Spray-Drying Using Different Coating Materials. Food Chem. 2017, 237, 623–631. [Google Scholar] [CrossRef]
- Kavetsou, E.; Koutsoukos, S.; Daferera, D.; Polissiou, M.G.; Karagiannis, D.; Perdikis, D.C.; Detsi, A. Encapsulation of Mentha Pulegium Essential Oil in Yeast Cell Microcarriers: An Approach to Environmentally Friendly Pesticides. J. Agric. Food Chem. 2019, 67, 4746–4753. [Google Scholar] [CrossRef]
- Saroglu, O.; Tav, B.; Yildirim, R.M.; Karadag, A. Microencapsulation of Olive Mill Wastewater in Saccharomyces cerevisiae Cells by Spray Drying and in Vitro Bioaccessibility of Phenolic Compounds. Food Funct. 2023, 14, 3746–3759. [Google Scholar] [CrossRef]
- Semouma, D.; Laib, I.; Laib, D.E.; Chenchouni, H.; Rahmani, Y.; Fekrache, F.; Hadef, A.; Bensouici, C.; Barkat, M. Microencapsulation of Myrtus Communis Extracts in Saccharomyces cerevisiae Cells: Effects on Phenolic Content and Antioxidant Capacity, Physical Characterization and Molecular Docking Analysis. Food Bioprocess Technol. 2024, 17, 3281–3304. [Google Scholar] [CrossRef]
- Kurek, M.A.; Majek, M.; Onopiuk, A.; Szpicer, A.; Napiórkowska, A.; Samborska, K. Encapsulation of anthocyanins from chokeberry (Aronia melanocarpa) with plazmolyzed yeast cells of different species. Food Bioprod. Process. 2023, 137, 84–92. [Google Scholar] [CrossRef]
- Liu, S.; Tao, M.; Huang, K. Encapsulation of mānuka essential oil in yeast microcarriers for enhanced thermal stability and antimicrobial activity. Food Bioprocess Technol. 2021, 14, 2195–2206. [Google Scholar] [CrossRef]
- Young, S.; Rai, R.; Nitin, N. Bioaccessibility of curcumin encapsulated in yeast cells and yeast cell wall particles. Food Chem. 2020, 309, 125700. [Google Scholar] [CrossRef] [PubMed]
- Gümüşay, Ö.A.; Cerit, İ.; Demirkol, O. Utilization of Yeast Cells as Alternative Carriers in the Microencapsulation of Black Chokeberry (Aronia melanocarpa) Phenolic Extract. Foods 2025, 14, 625. [Google Scholar] [CrossRef] [PubMed]
- Sultana, A.; Tanaka, Y.; Fushimi, Y.; Yoshii, H. Stability and release behavior of encapsulated flavor from spray-dried Saccharomyces cerevisiae and maltodextrin powder. Food Res. Int. 2018, 106, 809–816. [Google Scholar] [CrossRef] [PubMed]
- Rubio, F.T.V.; Haminiuk, C.W.I.; Dos Santos, M.M.; Thomazini, M.; Moraes, I.C.F.; Martelli-Tosi, M.; Fávaro-Trindade, C.S. Development of natural pigments microencapsulated in waste yeast Saccharomyces cerevisiae using spray drying technology and their application in yogurt. Food Funct. 2021, 12, 8946–8959. [Google Scholar] [CrossRef]
- Food and Agriculture Organization of the United Nations. Available online: https://www.fao.org/faostat/es/#rankings/commodities_by_country (accessed on 21 March 2024).
- Cortese, M.; Gigliobianco, M.R.; Peregrina, D.V.; Sagratini, G.; Censi, R.; Di Martino, P. Quantification of Phenolic Compounds in Different Types of Craft Beers, Musts, Starting and Spent Ingredients Using Liquid Chromatography-tandem Mass Spectrometry. J. Chromatogr. A 2020, 1612, 460622. [Google Scholar] [CrossRef]
- Spaggiari, G.; Cignarelli, A.; Sansone, A.; Baldi, M.; Santi, D. To Beer or Not to Beer: A Meta-Analysis of the Effects of Beer Consumption on Cardiovascular Health. PLoS ONE 2020, 15, e0233619. [Google Scholar] [CrossRef]
- De Gaetano, G.; Costanzo, S.; Di Castelnuovo, A.; Badimon, L.; Bejko, D.; Alkerwi, A.; Blanch, G.; Estruch, R.; LaVecchia, C.; Panico, S.; et al. Effects of Moderate Beer Consumption on Health and Disease: A Consensus Document. Nutr. Metab. Cardiovasc. Dis. 2016, 26, 443–467. [Google Scholar] [CrossRef]
- Salanță, L.C.; Coldea, T.E.; Ignat, M.V.; Pop, C.R.; Tofană, M.; Mudura, E.; Zhao, H. Functionality of Special Beer Processes and Potential Health Benefits. Processes 2020, 8, 1613. [Google Scholar] [CrossRef]
- Dadkhodazade, E.; Mohammadi, A.; Shojaee-Aliabadi, S.; Mortazavian, A.M.; Mirmoghtadaie, L.; Hosseini, S.M. Yeast Cell Microcapsules as a Novel Carrier for Cholecalciferol Encapsulation: Development, Characterization, and Release Properties. Food Biophys. 2018, 13, 404–411. [Google Scholar] [CrossRef]
- Salari, R.; Rajabi, O.; Khashyarmanesh, Z.; Najafi, M.F.; Bazzaz, B.S.F. Characterization of Encapsulated Berberine in Yeast Cells of Saccharomyces cerevisiae. Iran. J. Pharm. Res. 2015, 14, 1247–1256. [Google Scholar]
- Chacón-Figueroa, I.H.; Medrano-Ruiz, L.G.; Moreno-Vásquez, M.D.J.; Ovando-Martínez, M.; Gámez-Meza, N.; Del-Toro-Sánchez, C.L.; Castro-Enriquez, D.D.; López-Ahumada, G.A.; Dórame-Miranda, R.F. Use of Coffee Bean Bagasse Extracts in the Brewing of Craft Beers: Optimization and Antioxidant Capacity. Molecules 2022, 27, 7755. [Google Scholar] [CrossRef]
- Cantos, E.; García-Viguera, C.; de Pascual-Teresa, S.; Tomás-Barberán, F.A. Effect of Postharvest Ultraviolet Irradiation on Resveratrol and Other Phenolics of Cv. Napoleon Table Grapes. J. Agric. Food Chem. 2000, 48, 4606–4612. [Google Scholar] [CrossRef] [PubMed]
- Karaman, K. Fabrication of Gallic Acid Loaded Yeast (Saccharomyces cerevisiae) Microcapsules: Effect of Plasmolysis Treatment and Solvent Type on Bioactivity and Release Kinetics. LWT 2021, 148, 111640. [Google Scholar] [CrossRef]
- De Câmara, A.A.; Dupont, S.; Beney, L.; Gervais, P.; Rosenthal, A.; Correia, R.T.P.; Pedrini, M.R.D.S. Fisetin Yeast-Based Bio-Capsules Via Osmoporation: Effects of Process Variables on The Encapsulation Efficiency and Internalized Fiseti Content. Appl. Microbiol. Biotechnol. 2016, 100, 5547–5558. [Google Scholar] [CrossRef]
- Kavosi, M.; Mohammadi, A.; Shojaee-Aliabadi, S.; Khaksar, R.; Hosseini, S.M. Characterization and Oxidative Stability of Purslane Seed Oil Microencapsulated in Yeast Cells Biocapsules. J. Sci. Food. Agric. 2018, 98, 2490–2497. [Google Scholar] [CrossRef] [PubMed]
- Brodkorb, A.; Egger, L.; Alminger, M.; Alvito, P.; Assunção, R.; Ballance, S.; Recio, I. INFOGEST static in vitro Simulation of Gastrointestinal Food Digestion. Nat. Protoc. 2019, 14, 991–1014. [Google Scholar] [CrossRef]
- Ovando-Martínez, M.; Gámez-Meza, N.; Molina-Domínguez, C.C.; Hayano Kanashiro, C.; Medina-Juárez, L.A. Simulated Gastrointestinal Digestion, Bioaccessibility and Antioxidant Capacity of Polyphenols from Red Chiltepin (Capsicum annuum L. Var. Glabriusculum) Grown in Northwest Mexico. Foods Hum. Nutr. 2018, 73, 116–121. [Google Scholar] [CrossRef]
- Singleton, V.L.; Rossi, J.A. Colorimetry of Total Phenolics with Phosphomolybdic-Phosphotungstic Acid Reagents. Am. J. Enol. Vitic. 1965, 16, 144–158. [Google Scholar] [CrossRef]
- Re, R.; Pellegrini, N.; Proteggente, A.; Pannala, A.; Yang, M.; Rice-Evans, C.A. Antioxidant Activity Applying an Improved ABTS Radical Cation Decolorization Assay. Free Radic. Biol. Med. 1999, 26, 1231–1237. [Google Scholar] [CrossRef]
- Sirivibulkovit, K.; Nouanthavong, S.; Sameenoi, Y. Based DPPH Assay for Antioxidant Activity Analysis. Anal. Sci. 2018, 34, 795–800. [Google Scholar] [CrossRef]
- Benzie, I.F.; Strain, J.J. The Ferric Reducing Ability of Plasma (FRAP) as a Measure of “Antioxidant Power”: The FRAP Assay. Anal. Biochem. 1996, 239, 70–76. [Google Scholar] [CrossRef] [PubMed]
- Da Costa, D.S.; Albuquerque, T.G.; Costa, H.S.; Bragotto, A.P.A. Thermal Contaminants in Coffee Induced by Roasting: A Review. Int. J. Environ. Res. Public Health 2023, 20, 5586. [Google Scholar] [CrossRef] [PubMed]
- Angeloni, S.; Nzekoue, F.K.; Navarini, L.; Sagratini, G.; Torregiani, E.; Vittori, S.; Caprioli, G. An Analytical Method for The Simultaneous Quantification of 30 Bioactive Compounds in Spent Coffee Ground by HPLC MS/MS. J. Mass Spec. 2020, 55, e4519. [Google Scholar] [CrossRef]
- Zengin, G.; Sinan, K.I.; Mahomoodally, M.F.; Angeloni, S.; Mustafa, A.M.; Vittori, S.; Caprioli, G. Chemical composition, antioxidant and enzyme inhibitory properties of different extracts obtained from spent coffee ground and coffee silverskin. Foods 2020, 9, 713. [Google Scholar] [CrossRef]
- Andrade, C.; Perestrelo, R.; Câmara, J.S. Bioactive compounds and antioxidant activity from spent coffee grounds as a powerful approach for its valorization. Molecules 2022, 27, 7504. [Google Scholar] [CrossRef] [PubMed]
- Chatzimitakos, T.; Athanasiadis, V.; Kotsou, K.; Palaiogiannis, D.; Bozinou, E.; Lalas, S.I. Optimized isolation procedure for the extraction of bioactive compounds from spent coffee grounds. Appl. Sci. 2023, 13, 2819. [Google Scholar] [CrossRef]
- Pérez-Burillo, S.; Pastoriza, S.; Fernández-Arteaga, A.; Luzón, G.; Jiménez-Hernández, N.; D’Auria, G.; Francino, P.; Rufiá-Henares, J.A. Spent Coffee Grounds Extract, Rich in Mannooligosaccharides, Promotes a Healthier Gut Microbial Community in a Dose-Dependent Manner. J. Agric. Food Chem. 2019, 67, 2500–2509. [Google Scholar] [CrossRef]
- Capanoglu, E.; Nemli, E.; Tomas-Barberan, F. Novel Approaches in the Valorization of Agricultural Wastes and their Applications. J. Agric. Food Chem. 2022, 70, 6787–6804. [Google Scholar] [CrossRef]
- Ligrone, R. Multicellularity. Biological Innovations That Built the World: A Four-Billion-Year Journey Through Life and Earth History, 1st ed.; Springer: Cham, Switzerland, 2019. [Google Scholar] [CrossRef]
- Yi, W.; Zhao, Y.; Jiang, Y.; Zhao, D.; Yang, H. Computer Simulation of Plant Cell Plasmolysis Based on Physical and Mechanical Analyses. In Proceedings of the 2020 IEEE Conference of Russian Young Researchers in Electrical and Electronic Engineering (EIConRus), St. Petersburg and Moscow, Russia, 27–30 January 2020; pp. 2376–6565. [Google Scholar] [CrossRef]
- Lang, I.; Sassmann, S.; Schmidt, B.; Komis, G. Plasmolysis: Loss of Turgor and Beyond. Plants 2014, 3, 583–593. [Google Scholar] [CrossRef]
- Takalloo, Z.; Nikkhah, M.; Nemati, R.; Jalilian, N.; Sajedi, R.H. Autolysis, plasmolysis and enzymatic hydrolysis of baker’s yeast (Saccharomyces cerevisiae): A comparative study. World J. Microbiol. Biotechnol. 2020, 36, 68. [Google Scholar] [CrossRef] [PubMed]
- Dong, L.M.; Hang, H.T.T.; Tran, N.H.N.; Thuy, D.T.K. Improvement of Anthocyanin Encapsulation Efficiency into Yeast Cell by Plasmolysis, Ethanol, and Anthocyanin Concentration Using Response Surface Methodology. Microbiol. Biotechnol. Lett. 2020, 48, 267–275. [Google Scholar] [CrossRef]
- Tan, C.; Huang, M.; McClements, D.J.; Sun, B.; Wang, J. Yeast Cell Derived Delivery Systems for Bioactives. Trends Food Sci. Technol. 2021, 118, 362–373. [Google Scholar] [CrossRef]
- Sahachairungrueng, W.; Meechan, C.; Veerachat, N.; Thompson, A.K.; Teerachaichayut, S. Assessing the Levels of Robusta and Arabica in Roasted Ground Coffee Using NIR Hyperspectral Imaging and FTIR Spectroscopy. Foods 2022, 11, 3122. [Google Scholar] [CrossRef] [PubMed]
- Bejenari, V.; Marcu, A.; Ipate, A.M.; Rusu, D.; Tudorachi, N.; Anghel, I.; Ioana, E.S.; Lisa, G. Physicochemical characterization and energy recovery of spent coffee grounds. J. Mater. Res. Technol. 2021, 15, 4437–4451. [Google Scholar] [CrossRef]
- Grzelczyk, J.; Fiurasek, P.; Kakkar, A.; Budryn, G. Evaluation of the termal stability of bioactive compounds in coffee beans and their fractions modified in the roasting process. Food Chem. 2022, 387, 132888. [Google Scholar] [CrossRef]
- Dadkhodazade, E.; Khanniri, E.; Khorshidian, N.; Hosseini, S.M.; Mortazavian, A.M.; Moghaddas Kia, E. Yeast Cells for Encapsulation of Bioactive Compounds in Food Products: A Review. Biotechnol. Prog. 2021, 37, e3138. [Google Scholar] [CrossRef]
- Cetinkaya, T.; Mendes, A.C.; Jacobsen, C.; Ceylan, Z.; Chronakis, I.S.; Bean, S.R.; García-Moreno, P.J. Development of Kafirin-Based Nanocapsules by Electrospraying for Encapsulation of Fish Oil. LWT 2021, 136, 110297. [Google Scholar] [CrossRef]
- Ulloa, P.A.; Vidal, J.; Ávila, M.I.; Labbe, M.; Cohen, S.; Salazar, F.N. Effect of the addition of propolis extract on bioactive compounds and antioxidant activity of craft beer. J. Chem. 2017, 2017, 1–7. [Google Scholar] [CrossRef]
- Ketnawa, S.; Reginio, F.C.; Thuengtung, S.; Ogawa, Y. Changes in Bioactive Compounds and Antioxidant Activity of Plant-Based Foods by Gastrointestinal Digestion: A Review. Food Sci. Nutr. 2021, 62, 4684–4705. [Google Scholar] [CrossRef]
- Ferreira-Santos, P.; Nobre, C.; Rodrigues, R.M.; Genisheva, Z.; Botelho, C.; Teixeira, J.A. Extraction of phenolic compounds from grape pomace using ohmic heating: Chemical composition, bioactivity and bioaccessibility. Food Chem. 2024, 436, 137780. [Google Scholar] [CrossRef] [PubMed]
- Kamiloglu, S.; Koc Alibasoglu, E.; Acoglu Celik, B.; Celik, M.A.; Bekar, E.; Unal, T.T.; Copur, O.U. Bioaccessibility of carotenoids and polyphenols in Organic Butternut Squash (Cucurbita moschata): Impact of industrial freezing process. Foods 2024, 13, 239. [Google Scholar] [CrossRef]
- Muñoz-Bernal, Ó.A.; Vazquez-Flores, A.A.; de la Rosa, L.A.; Rodrigo-García, J.; Martínez-Ruiz, N.R.; Alvarez-Parrilla, E. Enriched Red Wine: Phenolic Profile, Sensory Evaluation, and In Vitro Bioaccessibility of Phenolic Compounds. Foods 2023, 12, 1194. [Google Scholar] [CrossRef]
- Chang, Y.; Shi, X.; He, F.; Wu, T.; Jiang, L.; Normakhamatov, N.; Sharipov, A.; Wang, T.; Wen, M.; Aisa, H.A. Valorization of Food Processing Waste to Produce Valuable Polyphenolics. J. Agric. Food Chem. 2022, 70, 8855–8870. [Google Scholar] [CrossRef] [PubMed]
- Heleno, S.A.; Martins, A.; Queiroz, M.J.R.; Ferreira, I.C. Bioactivity of Phenolic Acids: Metabolites Versus Parent Compounds: A Review. Food Chem. 2015, 173, 501–513. [Google Scholar] [CrossRef] [PubMed]
- Thakur, N.; Raigond, P.; Singh, Y.; Mishra, T.; Singh, B.; Lal, M.K.; Dutt, S. Recent Updates on Bioaccessibility of Phytonutrients. Trends Food Sci. Technol. 2020, 97, 366–380. [Google Scholar] [CrossRef]
- Gunathilake, K.D.P.P.; Ranaweera, K.K.D.S.; Rupasinghe, H.P.V. Change of Phenolics, Carotenoids, and Antioxidant Capacity Following Simulated Gastrointestinal Digestion and Dialysis of Selected Edible Green Leaves. Food Chem. 2018, 245, 371–379. [Google Scholar] [CrossRef]





| Bioactive Compound | λ Max | tR | [µg/g] | LOD [µg/g] | LOQ [µg/g] | R2 |
|---|---|---|---|---|---|---|
| Gallic acid | 270 | 3.53 | 448.02 ± 5.74 | 284 | 661 | 0.999 |
| Chlorogenic acid | 330 | 18.46 | 4349.42 ± 4.66 | 850 | 2577 | 0.993 |
| Cafeic acid | 320 | 20.35 | 880.14 ± 4.07 | 285 | 738 | 0.997 |
| Caffeine | 270 | 20.12 | 28,919.13 ± 4.18 | 4242 | 12,859 | 0.996 |
| Siringic acid | 320 | 22.09 | 412.87 ± 2.89 | 117 | 386 | 0.998 |
| p-cumaric acid | 320 | 26.15 | 583.91 ± 6.34 | 186 | 370 | 0.975 |
| Ferulic acid | 320 | 30.15 | 484.23 ± 6.83 | 114 | 347 | 0.976 |
| Sinapinic acid | 320 | 31.71 | 787.19 ± 4.66 | 122 | 565 | 0.982 |
| Sample | EE (%) | LC (g/Kg) |
|---|---|---|
| NPM | 38.32 b ± 0.32 | 246.96 b ± 8.41 |
| PM | 56.56 a ± 0.64 | 490.34 a ± 8.41 |
| Phase | Sample | Total Phenols (mg GAE/L) | Bioaccessibility (%) | DPPH• (mMol TE/L) | ABTS•+ (mMol TE/L) | FRAP (mMol TE/L) |
|---|---|---|---|---|---|---|
| Gastric | NAB | 213.55 b ± 1.56 | 60.37 | 0.78 b ± 0.02 | 0.58 b ± 0.10 | 0.25 b ± 0.03 |
| BSCE | 459.56 b ± 2.13 | 61.48 | 1.32 b ± 0.24 | 0.96 b ± 0.27 | 0.58 b ± 0.06 | |
| BNPM | 365.11 b ± 2.67 | 64.67 | 1.09 c ± 0.13 | 0.86 c ± 0.17 | 0.9 c ± 0.08 | |
| BPM | 302.13 c ± 2.87 | 65.17 | 0.89 c ± 0.04 | 0.74 c ± 0.14 | 0.8 c ± 0.05 | |
| Intestinal | NAB | 137.16 c ± 2.24 | 38.78 | 0.31 c ± 0.01 | 0.24 c ± 0.03 | 0.09 c ± 0.01 |
| BSCE | 296.37 c ± 1.38 | 39.65 | 0.71 c ± 0.09 | 0.34 c ± 0.09 | 0.14 c ± 0.02 | |
| BNPM | 546.43 a ± 2.6 | 96.79 | 1.44 a ± 0.07 | 0.87 a ± 0.06 | 0.89 a ± 0.13 | |
| BPM | 499.74 a ± 1.43 | 107.81 | 1.39 a ± 0.32 | 1.01 a ± 0.17 | 1.09 a ± 0.26 | |
| Dialysis | NAB | 30.29 d ± 1.72 | 91.43 | 0.09 d ± 0.01 | 0.02 d ± 0.01 | 0.01 d ± 0.00 |
| BSCE | 53.19 d ± 1.93 | 92.88 | 0.14 d ± 0.03 | 0.06 d ± 0.01 | 0.05 d ± 0.01 | |
| BNPM | 46.6 d ± 0.87 | 91.74 | 0. 09 d ± 0.01 | 0.02 d ± 0.01 | 0. 02 d ± 0.01 | |
| BPM | 35.34 d ± 0.33 | 92.37 | 0.11 d ± 0.01 | 0.04 d ± 0.01 | 0.03 d ± 0.01 |
Disclaimer/Publisher’s Note: The statements, opinions and data contained in all publications are solely those of the individual author(s) and contributor(s) and not of MDPI and/or the editor(s). MDPI and/or the editor(s) disclaim responsibility for any injury to people or property resulting from any ideas, methods, instructions or products referred to in the content. |
© 2025 by the authors. Licensee MDPI, Basel, Switzerland. This article is an open access article distributed under the terms and conditions of the Creative Commons Attribution (CC BY) license (https://creativecommons.org/licenses/by/4.0/).
Share and Cite
Chacón-Figueroa, I.H.; Dórame-Miranda, R.F.; López-Ahumada, G.A.; Del-Toro-Sánchez, C.L.; Ovando-Martínez, M.; Gámez-Meza, N.; Martínez-Bustos, F.; Rodríguez-Figueroa, J.C.; Gerardo-Rodríguez, J.E.; Whitney, K.; et al. Microencapsulation of Spent Coffee Extract Within Saccharomyces cerevisiae Cells via Spray Drying and Evaluation of Its In Vitro Bioaccessibility. Foods 2025, 14, 1053. https://doi.org/10.3390/foods14061053
Chacón-Figueroa IH, Dórame-Miranda RF, López-Ahumada GA, Del-Toro-Sánchez CL, Ovando-Martínez M, Gámez-Meza N, Martínez-Bustos F, Rodríguez-Figueroa JC, Gerardo-Rodríguez JE, Whitney K, et al. Microencapsulation of Spent Coffee Extract Within Saccharomyces cerevisiae Cells via Spray Drying and Evaluation of Its In Vitro Bioaccessibility. Foods. 2025; 14(6):1053. https://doi.org/10.3390/foods14061053
Chicago/Turabian StyleChacón-Figueroa, Isabel H., Ramón F. Dórame-Miranda, Guadalupe A. López-Ahumada, Carmen L. Del-Toro-Sánchez, Maribel Ovando-Martínez, Nohemí Gámez-Meza, Fernando Martínez-Bustos, José C. Rodríguez-Figueroa, Jesús Enrique Gerardo-Rodríguez, Kristin Whitney, and et al. 2025. "Microencapsulation of Spent Coffee Extract Within Saccharomyces cerevisiae Cells via Spray Drying and Evaluation of Its In Vitro Bioaccessibility" Foods 14, no. 6: 1053. https://doi.org/10.3390/foods14061053
APA StyleChacón-Figueroa, I. H., Dórame-Miranda, R. F., López-Ahumada, G. A., Del-Toro-Sánchez, C. L., Ovando-Martínez, M., Gámez-Meza, N., Martínez-Bustos, F., Rodríguez-Figueroa, J. C., Gerardo-Rodríguez, J. E., Whitney, K., Bernal-Mercado, A. T., Plascencia-Jatomea, M., & Herrera-Jiménez, V. M. (2025). Microencapsulation of Spent Coffee Extract Within Saccharomyces cerevisiae Cells via Spray Drying and Evaluation of Its In Vitro Bioaccessibility. Foods, 14(6), 1053. https://doi.org/10.3390/foods14061053

