Preparation and Characterization of Antioxidative and pH-Sensitive Films Based on κ-Carrageenan/Carboxymethyl Cellulose Blended with Purple Cabbage Anthocyanin for Monitoring Hairtail Freshness
Abstract
1. Introduction
2. Materials and Methods
2.1. Materials and Reagents
2.2. Extraction of Anthocyanins from Purple Cabbage
2.3. Preparation of Films for CA/CMC/RA
2.4. pH Response and UV-VIS Spectroscopic Determination of PCA
2.5. Determination of Fourier Transform Infrared (FT-IR) Spectroscopy
2.6. X-Ray Diffraction Analysis
2.7. Scanning Electron Microscope (SEM)
2.8. Color Parameters and Opacity
2.9. Determination of Mechanical Properties
2.10. Determination of Water Vapor Permeability (WVP)
2.11. Determination of Total Phenolic Content and Radical Scavenging Properties
2.12. Indicates the pH Sensitivity of the Film
2.13. Determination of Color Stability
2.14. Application of CA/CMC/RA in Spoilage Monitoring of Hairtail
2.15. Statistical Analysis
3. Results and Analysis
3.1. pH Response and UV-VIS Spectrum of PCA
3.2. Fourier Infrared Spectrum
3.3. X-Ray Diffraction (XRD)
3.4. Microstructure
3.5. Optical Characteristics
3.6. Thickness and Mechanical Properties
3.7. Water Vapor Permeability (WVP)
3.8. TPC and Antioxidant Activity
3.9. pH Sensitivity
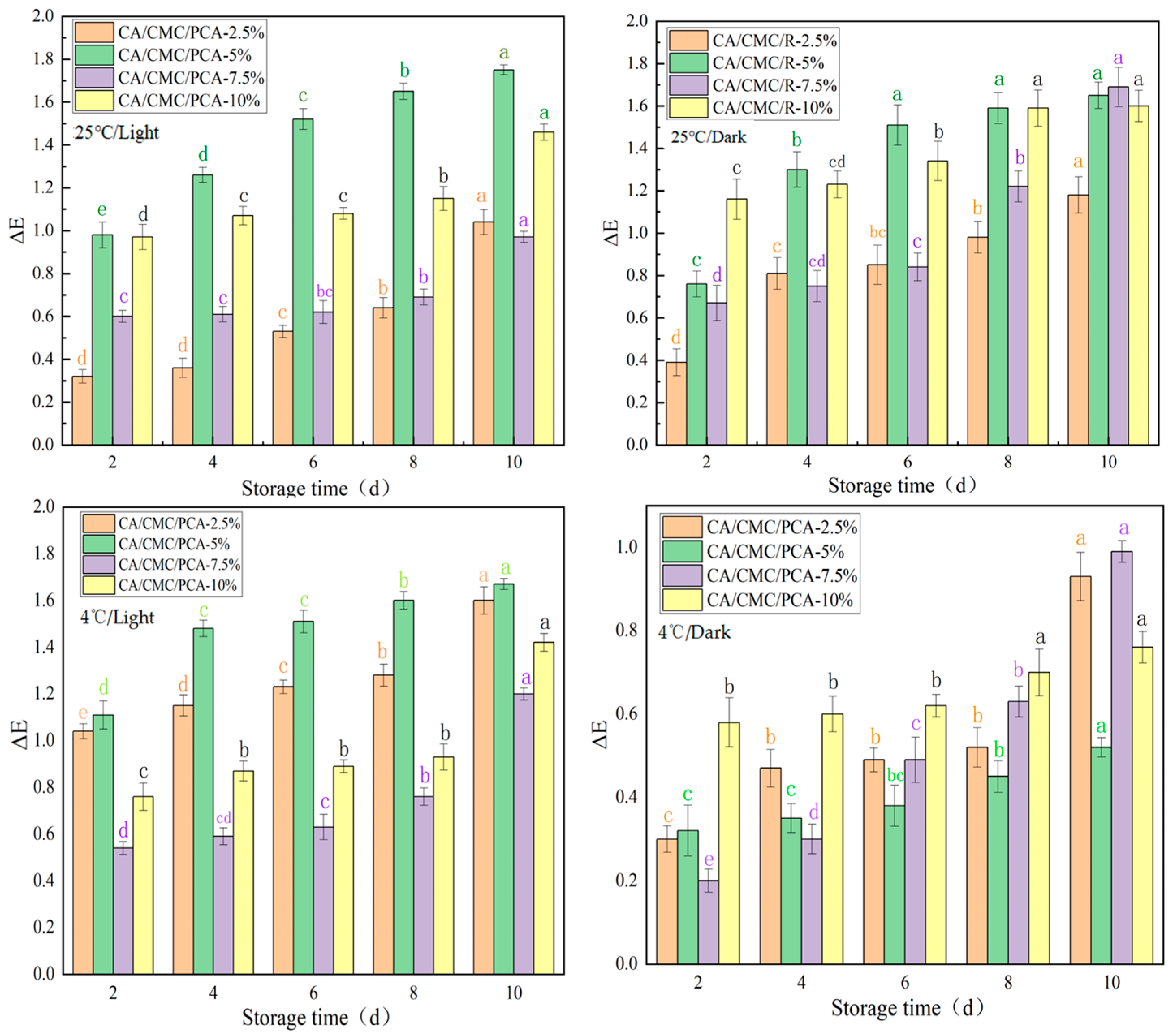
3.10. Color Stability
3.11. CA/CMC/PCA Indicator Film Monitor the Hairtail Freshness
4. Conclusions
Author Contributions
Funding
Data Availability Statement
Acknowledgments
Conflicts of Interest
References
- Uysal-Unalan, I.; Sogut, E.; Realini, C.E.; Cakmak, H.; Oz, E.; Espinosa, E.; Morcillo-Martín, R.; Oz, F.; Nurmi, M.; Cerqueira, M.A.; et al. Bioplastic packaging for fresh meat and fish: Current status and future direction on mitigating food and packaging waste. Trends Food Sci. Technol. 2024, 152, 104660. [Google Scholar] [CrossRef]
- Ambrosio, R.L.; Gogliettino, M.; Agrillo, B.; Proroga, Y.T.R.; Balestrieri, M.; Gratino, L.; Cristiano, D.; Palmieri, G.; Anastasio, A. An Active Peptide-Based Packaging System to Improve the Freshness and Safety of Fish Products: A Case Study. Foods 2022, 11, 338. [Google Scholar] [CrossRef]
- Amaral, R.A.; Pinto, C.A.; Lima, V.; Tavares, J.; Martins, A.P.; Fidalgo, L.G.; Silva, A.M.; Gil, M.M.; Teixeira, P.; Barbosa, J.; et al. Chemical-Based Methodologies to Extend the Shelf Life of Fresh Fish—A Review. Foods 2021, 10, 2300. [Google Scholar] [CrossRef]
- Zhang, J.; Liu, S.; Xie, C.; Wang, C.; Zhong, Y.; Fan, K. Recent advances in pH-sensitive indicator films based on natural colorants for smart monitoring of food freshness: A review. Crit. Rev. Food Sci. Nutr. 2024, 64, 12800–12819. [Google Scholar] [CrossRef] [PubMed]
- Zheng, L.; Liu, L.; Yu, J.; Shao, P. Novel trends and applications of natural pH-responsive indicator film in food packaging for improved quality monitoring. Food Control 2022, 134, 108769. [Google Scholar] [CrossRef]
- Nadi, M.; Razavi, S.M.A.; Shahrampour, D. Fabrication of green colorimetric smart packaging based on basil seed gum/chitosan/red cabbage anthocyanin for real-time monitoring of fish freshness. Food Sci. Nutr. 2023, 11, 6360–6375. [Google Scholar] [CrossRef] [PubMed]
- Pang, S.W.; Wang, Y.; Jia, H.; Hao, R.Y.; Jan, M.Z.; Li, S.J.; Pu, Y.Z.; Dong, X.P.; Pan, J.F. The properties of pH-responsive gelatin-based intelligent film as affected by ultrasound power and purple cabbage anthocyanin dose. Int. J. Biol. Macromol. 2023, 230, 123156. [Google Scholar] [CrossRef]
- Ezati, P.; Priyadarshi, R.; Bang, Y.J.; Rhim, J.W. CMC and CNF-based intelligent pH-responsive color indicator films integrated with shikonin to monitor fish freshness. Food Control 2021, 126, 108046. [Google Scholar] [CrossRef]
- Yan, J.T.; Cui, R.; Qin, Y.Y.; Li, L.R.; Yuan, M.L. A pH indicator film based on chitosan and butterfly pudding extract for monitoring fish freshness. Int. J. Biol. Macromol. 2021, 177, 328–336. [Google Scholar] [CrossRef]
- Roy, S.; Kim, H.J.; Rhim, J.W. Effect of blended colorants of anthocyanin and shikonin on carboxymethyl cellulose/agar-based smart packaging film. Int. J. Biol. Macromol. 2021, 183, 305–315. [Google Scholar] [CrossRef]
- Mattioli, R.; Francios, A.; Mosc, L.; Silva, P. Anthocyanins: A Comprehensive Review of Their Chemical Properties and Health Effects on Cardiovascular and Neurodegenerative Diseases. Molecules 2020, 25, 3809. [Google Scholar] [CrossRef] [PubMed]
- Guo, Z.L.; Zuo, H.X.; Ling, H.; Yu, Q.L.; Gou, Q.M.; Yang, L.H. A novel colorimetric indicator film based on watermelon peel pectin and anthocyanins from purple cabbage for monitoring mutton freshness. Food Chem. 2022, 383, 131915. [Google Scholar] [CrossRef] [PubMed]
- Kan, J.; Liu, J.; Xu, F.F.; Yun, D.W.; Yong, H.M.; Liu, J. Development of pork and shrimp freshness monitoring labels based on starch/polyvinyl alcohol matrices and anthocyanins from 14 plants: A comparative study. Food Hydrocoll. 2022, 124, 107293. [Google Scholar] [CrossRef]
- Liu, R.T.; Chi, W.R.; Jin, H.L.; Li, J.; Wang, L.J. Fabricating κ-carrageenan/carboxymethyl cellulose films encapsulating bromothymol blue fixed rice straw fiber for monitoring meat freshness. Ind. Crops Prod. 2022, 187, 115420. [Google Scholar] [CrossRef]
- Hamdan, M.A.; Ramli, N.A.; Othman, N.A.; Mohd Amin, K.N.; Adam, F. Characterization and property investigation of microcrystalline cellulose (MCC) and carboxymethyl cellulose (CMC) filler on the carrageenan-based biocomposite film. Mater. Today Proc. 2021, 42, 56–62. [Google Scholar] [CrossRef]
- Kang, J.; Yun, S.I. Double-Network Hydrogel Films Based on Cellulose Derivatives and κ-Carrageenan with Enhanced Mechanical Strength and Superabsorbent Properties. Gels 2023, 9, 20. [Google Scholar] [CrossRef]
- Jiang, G.Y.; Hou, X.Y.; Zeng, X.D.; Zhang, C.Z.; Wu, H.J.; Shen, G.H.; Li, S.S.; Luo, Q.Y.; Li, M.L.; Liu, X.Y.; et al. Preparation and characterization of indicator films from carboxymethyl-cellulose/starch and purple sweet potato (Ipomoea batatas (L.) lam) anthocyanins for monitoring fish freshness. Int. J. Biol. Macromol. 2020, 143, 359–372. [Google Scholar] [CrossRef] [PubMed]
- Zhang, C.; Sun, G.; Cao, L.; Wang, L. Accurately intelligent film made from sodium carboxymethyl starch/κ-carrageenan reinforced by mulberry anthocyanins as an indicator. Food Hydrocoll. 2020, 108, 106012. [Google Scholar] [CrossRef]
- Wang, C.T.; Lu, Y.Y.; An, X.Z.; Wang, Y.Q.; Wang, N.; Song, Y.; Hu, N.; Ren, M.N. Preparation, characterization, and application of pH-responsive biodegradable intelligent indicator film based on rose anthocyanins. LWT-Food Sci. Technol. 2024, 200, 116156. [Google Scholar] [CrossRef]
- Gao, Z.; Wang, C.; Li, Z. Effect of ethanol extract of black soybean coat on physicochemical properties and biological activities of chitosan packaging film. Food Sci. Biotechnol. 2021, 30, 1369–1381. [Google Scholar] [CrossRef] [PubMed]
- Wang, C.T.; An, X.Z.; Lu, Y.Y.; Li, Z.Y.; Gao, Z.M.; Tian, S.X. Biodegradable Active Packaging Material Containing Grape Seed Ethanol Extract and Corn Starch/κ-Carrageenan Composite Film. Polymers 2022, 14, 4857. [Google Scholar] [CrossRef] [PubMed]
- Sukhija, S.; Singh, S.; Riar, C.S. Analyzing the effect of whey protein concentrate and psyllium husk on various characteristics of biodegradable film from lotus (Nelumbo nucifera) rhizome starch. Food Hydrocoll. 2016, 60, 128–137. [Google Scholar] [CrossRef]
- Liu, J.L.; Huang, J.Y.; Ying, Y.B.; Lingping Hu, L.P.; Hu, Y.Q. pH-sensitive and antibacterial films developed by incorporating anthocyanins extracted from purple potato or roselle into chitosan/polyvinyl alcohol/nano-ZnO matrix: Comparative study. Int. J. Biol. Macromol. 2021, 178, 104–112. [Google Scholar] [CrossRef] [PubMed]
- Mu, C.D.; Guo, J.M.; Li, X.Y.; Lin, W.; Li, D.F. Preparation and properties of dialdehyde carboxymethyl cellulose crosslinked gelatin edible films. Food Hydrocoll. 2012, 27, 22–29. [Google Scholar] [CrossRef]
- de Moraes Crizel, T.; de Oliveira Rios, A.; Alves, V.D.; Bandarra, N.; Moldão-Martins, M.; Flôres, S.H. Active food packaging prepared with chitosan and olive pomace. Food Hydrocoll. 2018, 74, 139–150. [Google Scholar] [CrossRef]
- Choi, I.; Lee, J.Y.; Lacroix, M.; Han, J. Intelligent pH indicator film composed of agar/potato starch and anthocyanin extracts from purple sweet potato. Food Chem. 2017, 218, 122–128. [Google Scholar] [CrossRef] [PubMed]
- Bao, Y.W.; Cui, H.J.; Tian, J.L.; Ding, Y.M.; Tian, Q.L.; Zhang, W.J.; Wang, M.S.; Zang, Z.H.; Sun, X.Y.; Li, D.N.; et al. Novel pH sensitivity and colorimetry-enhanced anthocyanin indicator films by chondroitin sulfate co-pigmentation for shrimp freshness monitoring. Food Control 2022, 131, 108441. [Google Scholar] [CrossRef]
- Ge, Y.; Li, Y.; Bai, Y.; Yuan, C.H.; Wu, C.H.; Hu, Y.Q. Intelligent gelatin/oxidized chitin nanocrystals nanocomposite films containing black rice bran anthocyanins for fish freshness monitorings. Int. J. Biol. Macromol. 2020, 155, 1296–1306. [Google Scholar] [CrossRef]
- Kanatt, R.S. Active/smart carboxymethyl cellulose-polyvinyl alcohol composite films containing rose petal extract for fish packaging. Int. J. Food Sci. Technol. 2021, 56, 5753–5761. [Google Scholar] [CrossRef]
- You, P.Q.; Lin Wang, L.; Zhou, N.; Yang, Y.; Pang, J. A pH-intelligent response fish packaging film: Konjac glucomannan/ carboxymethyl cellulose/blackcurrant anthocyanin antibacterial composite film. Int. J. Biol. Macromol. 2022, 204, 386–396. [Google Scholar] [CrossRef] [PubMed]
- Jiang, H.T.; Liu, J.; Cao, J.K.; Khan, M.R.; Naushad Ahmad, N.; Weibo Jiang, W.B. Multifunctional food packaging based on wampee seed starch and red pear peel extracts for simultaneous freshness preservation and visual freshness detection. Food Packag. Shelf Life 2024, 43, 101293. [Google Scholar] [CrossRef]
- Petersen, H.; Weidenthaler, C. A review of recent developments for the in situ/operando characterization of nanoporous materials. Inorg. Chem. Front. 2022, 9, 4244–4271. [Google Scholar] [CrossRef]
- Liu, Y.P.; Qin, Y.; Bai, R.Y.; Zhang, X.; Yuan, L.M.; Liu, J. Preparation of pH-sensitive and antioxidant packaging films based on κ-carrageenan and mulberry polyphenolic extract. Int. J. Biol. Macromol. 2019, 134, 993–1001. [Google Scholar] [CrossRef] [PubMed]
- Liu, D.F.; Cui, Z.J.; Shang, M.; Zhong, Y.F. A colorimetric film based on polyvinyl alcohol/sodium carboxymethyl cellulose incorporated with red cabbage anthocyanin for monitoring pork freshness. Food Packag. Shelf Life 2021, 28, 100641. [Google Scholar] [CrossRef]
- Liu, D.; Dang, S.; Zhang, L.; Munsop, K.; Li, X. Corn starch/polyvinyl alcohol based films incorporated with curcumin-loaded pickering emulsion for application in intelligent packaging. Int. J. Biol. Macromol. 2021, 188, 974–982. [Google Scholar] [CrossRef]
- Gasti, T.; Dixit, S.; D’souza, J.O.; Hiremani, D.V.; Vootla, S.K.; Masti, S.P.; Chougale, R.B.; Malabadi, R.B. Smart biodegradable films based on chitosan/methylcellulose containing Phyllanthus reticulatus anthocyanin for monitoring the freshness of fish fillet. Int. J. Biol. Macromol. 2021, 187, 451–461. [Google Scholar] [CrossRef]
- Qin, Y.; Liu, Y.P.; Yong, H.M.; Liu, J.; Zhang, X.; Liu, J. Preparation and characterization of active and intelligent packaging films based on cassava starch and anthocyanins from lycium ruthenicum murr. Int. J. Biol. Macromol. 2019, 134, 80–90. [Google Scholar] [CrossRef] [PubMed]
- Mei, L.X.; Nafchi, A.M.; Ghasemipour, F.; Easa, A.M.; Jafarzadeh, S.; Al-Hassan, A.A. Characterization of pH sensitive sago starch films enriched with anthocyanin-rich torch ginger extract. Int. J. Biol. Macromol. 2020, 164, 4603–4612. [Google Scholar]
- Li, Y.N.; Chen, Z.W.; Zhang, Y.N.; Wu, J.X. Colorimetric indicator based on purple tomato anthocyanins and chitosanfor application in intelligent packaging. Int. J. Biol. Macromol. 2021, 174, 370–376. [Google Scholar] [CrossRef] [PubMed]
- Tavares, K.M.; De Campos, A.; Luchesi, B.R.; Resende, A.A.; De Oliveira, J.E.; Marconcini, J.M. Effect of carboxymethyl cellulose concentration on mechanical and water vapor barrier properties of corn starch films. Carbohydr. Polym. Sci. Technol. Asp. Ind. Important Polysacch. 2020, 246, 116521. [Google Scholar] [CrossRef]
- Qi, Y.Y.; Li, Y.N. Colorimetric Films Based on Polyvinyl Alcohol and Anthocyanins Extracted from Purple Tomato to Monitor the Freshness of Shrimp. Polymers 2024, 16, 495. [Google Scholar] [CrossRef] [PubMed]
- Li, Y.; Hu, Z.; Huo, R.; Cui, Z. Preparation of an indicator film based on pectin, sodium alginate, and xanthan gum containing blueberry anthocyanin extract and its application in blueberry freshness monitoring. Heliyon 2023, 9, e14421. [Google Scholar] [CrossRef]
- Zhang, K.; Huang, T.S.; Yan, H.; Hu, X.; Ren, T. Novel ph-sensitive films based on starch/polyvinyl alcohol and food anthocyanins as a visual indicator of shrimp deterioration. Int. J. Biol. Macromol. 2019, 145, 768–776. [Google Scholar] [CrossRef] [PubMed]
- Peron, D.V.; Fraga, S.; Antelo, F. Thermal degradation kinetics of anthocyanins extracted from juçara (Euterpe edulis Martius) and “Italia” grapes (Vitis vinifera L.), and the effect of heating on the antioxidant capacity. Food Chem. 2017, 232, 836–840. [Google Scholar] [CrossRef] [PubMed]
- Krpa, I.; Milenkovic, D. Anthocyanins: From Sources and Bioavailability to Cardiovascular-HealthBenefits and Molecular Mechanisms of Action. J. Agric. Food Chem. 2019, 67, 1771–1783. [Google Scholar]










| Anthocyanin Concentration | Thickness/mm | L* | a* | b* | Opacity/% | Picture |
|---|---|---|---|---|---|---|
| 0% | 0.050 ± 0.01 e | 85.73 ± 0.19 a | 0.23 ± 0.05 e | 2.03 ± 0.15 a | 3.12 ± 0.01 e | ![]() |
| 2.5% | 0.054 ± 0.01 d | 82.10 ± 0.54 b | −2.43 ± 0.09 d | 1.67 ± 0.12 b | 3.21 ± 0.05 d | ![]() |
| 5% | 0.057 ± 0.02 c | 77.77 ± 0.21 c | 0.20 ± 0.08 c | −0.47 ± 0.07 c | 3.32 ± 0.02 c | ![]() |
| 7.5% | 0.059 ± 0.02 b | 73.57 ± 0.39 d | 1.90 ± 0.81 b | −1.63 ± 0.04 d | 3.56 ± 0.08 b | ![]() |
| 10% | 0.060 ± 0.03 a | 72.43 ± 0.38 e | 4.07 ± 0.09 a | −2.27 ± 0.15 e | 4.11 ± 0.04 a | ![]() |
| 0 d | 3 d | 5 d | 7 d | 9 d | 11 d | |
|---|---|---|---|---|---|---|
| CA/CMC/PCA-2.5% | ![]() | ![]() | ![]() | ![]() | ![]() | ![]() |
| CA/CMC/PCA-5% | ![]() | ![]() | ![]() | ![]() | ![]() | ![]() |
| CA/CMC/PCA-7.5% | ![]() | ![]() | ![]() | ![]() | ![]() | ![]() |
| CA/CMC/PCA-10% | ![]() | ![]() | ![]() | ![]() | ![]() | ![]() |
Disclaimer/Publisher’s Note: The statements, opinions and data contained in all publications are solely those of the individual author(s) and contributor(s) and not of MDPI and/or the editor(s). MDPI and/or the editor(s) disclaim responsibility for any injury to people or property resulting from any ideas, methods, instructions or products referred to in the content. |
© 2025 by the authors. Licensee MDPI, Basel, Switzerland. This article is an open access article distributed under the terms and conditions of the Creative Commons Attribution (CC BY) license (https://creativecommons.org/licenses/by/4.0/).
Share and Cite
Ren, M.; Wang, N.; Lu, Y.; Wang, C. Preparation and Characterization of Antioxidative and pH-Sensitive Films Based on κ-Carrageenan/Carboxymethyl Cellulose Blended with Purple Cabbage Anthocyanin for Monitoring Hairtail Freshness. Foods 2025, 14, 694. https://doi.org/10.3390/foods14040694
Ren M, Wang N, Lu Y, Wang C. Preparation and Characterization of Antioxidative and pH-Sensitive Films Based on κ-Carrageenan/Carboxymethyl Cellulose Blended with Purple Cabbage Anthocyanin for Monitoring Hairtail Freshness. Foods. 2025; 14(4):694. https://doi.org/10.3390/foods14040694
Chicago/Turabian StyleRen, Manni, Ning Wang, Yueyi Lu, and Cuntang Wang. 2025. "Preparation and Characterization of Antioxidative and pH-Sensitive Films Based on κ-Carrageenan/Carboxymethyl Cellulose Blended with Purple Cabbage Anthocyanin for Monitoring Hairtail Freshness" Foods 14, no. 4: 694. https://doi.org/10.3390/foods14040694
APA StyleRen, M., Wang, N., Lu, Y., & Wang, C. (2025). Preparation and Characterization of Antioxidative and pH-Sensitive Films Based on κ-Carrageenan/Carboxymethyl Cellulose Blended with Purple Cabbage Anthocyanin for Monitoring Hairtail Freshness. Foods, 14(4), 694. https://doi.org/10.3390/foods14040694





























