Effect of Melatonin Treatment on Storage Quality and Antioxidant System of Postharvest Winter Jujube (Zizyphus jujube Mill. cv. Dongzao)
Abstract
1. Introduction
2. Materials and Methods
2.1. Material and Treatments
2.2. Chromatic Aberration
2.3. Firmness and Weight Loss
2.4. TSS and TA
2.5. Relative Conductivity, MDA, H2O2
2.6. Total Phenols, Flavonoids, Glutathione, and Ascorbic Acid
2.7. Antioxidant-System-Related Enzyme Activities
2.8. Statistical Analysis
3. Results
3.1. Effects on Fruit Color
3.2. Effects on Fruits’ Firmness and Weight Loss
3.3. Effects on Fruits’ TSS and TA
3.4. Effects on Fruits’ Relative Conductivity, MDA, and H2O2
3.5. Effects on Total Phenols, Flavonoids, Glutathione, and Ascorbic Acid of Fruits
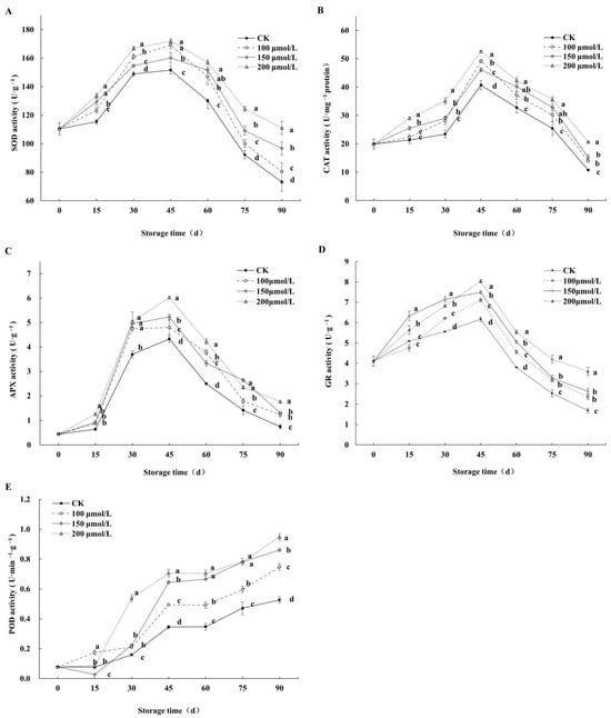
3.6. Effects on Antioxidant System Enzyme Activities of Fruits
3.7. Correlation Analysis
4. Discussion
5. Conclusions
Author Contributions
Funding
Institutional Review Board Statement
Informed Consent Statement
Data Availability Statement
Conflicts of Interest
References
- Sang, Y.; Yang, W.; Liu, Y.; Zhang, W.; Guo, T.; Shen, P.; Tang, Y.; Guo, M.; Chen, G. Influences of low temperature on the postharvest quality and antioxidant capacity of winter jujube (Zizyphus jujuba Mill. cv. Dongzao). LWT 2022, 154, 112876. [Google Scholar] [CrossRef]
- Kou, X.; Chai, L.; Yang, S.; He, Y.; Wu, C.E.; Liu, Y.; Zhou, J.; Xue, Z.; Wang, Z. Physiological and metabolic analysis of winter jujube after postharvest treatment with calcium chloride and a composite film. J. Sci. Food Agric. 2021, 101, 703–717. [Google Scholar] [CrossRef]
- Gao, Q.; Wu, C.; Wang, M. The jujube (Ziziphus jujuba Mill.) fruit: A review of current knowledge of fruit composition and health benefits. J. Agric. Food Chem. 2013, 61, 3351–3363. [Google Scholar] [CrossRef] [PubMed]
- Kou, X.; He, Y.; Li, Y.; Chen, X.; Feng, Y.; Xue, Z. Effect of abscisic acid (ABA) and chitosan/nano-silica/sodium alginate composite film on the color development and quality of postharvest Chinese winter jujube (Zizyphus jujuba Mill. cv. Dongzao). Food Chem. 2019, 270, 385–394. [Google Scholar] [CrossRef] [PubMed]
- Zhang, J.; Cheng, X.; Chang, L.; Zhang, L.; Zhang, S. Combined treatments of chitosan and sodium silicate to inhibit Alternaria alternata pathogens of postharvest winter jujube. Food Sci. Biotechnol. 2021, 30, 589–597. [Google Scholar] [CrossRef]
- Zhang, W.; Kang, J.; Yang, W.; Guo, H.; Guo, M.; Chen, G. Incorporation of 1-methylcyclopropene and salicylic acid improves quality and shelf life of winter jujube (Zizyphus jujuba Mill. cv. Dongzao) through regulating reactive oxygen species metabolism. Front. Nutr. 2022, 9, 940494. [Google Scholar] [CrossRef] [PubMed]
- Ban, Z.; Zhang, J.; Li, L.; Luo, Z.; Wang, Y.; Yuan, Q.; Zhou, B.; Liu, H. Ginger essential oil-based microencapsulation as an efficient delivery system for the improvement of Jujube (Ziziphus jujuba Mill.) fruit quality. Food Chem. 2020, 306, 125628. [Google Scholar] [CrossRef] [PubMed]
- Wang, C.; Chen, C.; Zhao, X.; Wu, C.; Kou, X.; Xue, Z. Propyl Gallate Treatment Improves the Postharvest Quality of Winter Jujube (Zizyphus jujuba Mill. cv. Dongzao) by Regulating Antioxidant Metabolism and Maintaining the Structure of Peel. Foods 2022, 11, 237. [Google Scholar] [CrossRef] [PubMed]
- Tang, Y.; Yang, W.; Guo, H.; Zhang, J.; Cheng, S.; Guo, M.; Chen, G. Induction of luteolin on postharvest color change and phenylpropanoid metabolism pathway in winter jujube fruit (Ziziphus jujuba Mill. cv. Dongzao). Plant Physiol. Biochem. 2024, 215, 108984. [Google Scholar] [CrossRef] [PubMed]
- Zhang, J.; Wang, C.; Chen, C.; Zhang, S.; Zhao, X.; Wu, C.; Kou, X.; Xue, Z. Glycine betaine inhibits postharvest softening and quality decline of winter jujube fruit by regulating energy and antioxidant metabolism. Food Chem. 2023, 410, 135445. [Google Scholar] [CrossRef] [PubMed]
- Wang, Y.; Guo, M.; Zhang, W.; Gao, Y.; Ma, X.; Cheng, S.; Chen, G. Exogenous melatonin activates the antioxidant system and maintains postharvest organoleptic quality in Hami melon (Cucumis. melo var. inodorus Jacq.). Front. Plant Sci. 2023, 14, 1274939. [Google Scholar] [CrossRef] [PubMed]
- Mubarok, S.; Suminar, E.; Abidat, A.; Setyawati, C.; Setiawan, E.; Buswar, A. Overview of Melatonin’s Impact on Postharvest Physiology and Quality of Fruits. Acta Hortic. 2023, 9, 586. [Google Scholar] [CrossRef]
- Wang, Y.; Zhang, J.; Ma, Q.; Zhang, X.; Luo, X.; Deng, Q. Exogenous melatonin treatment on post-harvest jujube fruits maintains physicochemical qualities during extended cold storage. PeerJ 2022, 10, e14155. [Google Scholar] [CrossRef] [PubMed]
- Wang, D.; Chen, Q.; Chen, W.; Guo, Q.; Xia, Y.; Wu, D.; Jing, D.; Liang, G. Melatonin treatment maintains quality and delays lignification in loquat fruit during cold storage. Sci. Hortic. 2021, 284, 110126. [Google Scholar] [CrossRef]
- Ban, Z.; Zhang, S.; Niu, C.; Liu, L.; Cao, K.; Li, L.; Wu, Z.; Wang, L.; Chen, C.; Zhu, Y. Potential role of exogenous melatonin involved in postharvest quality maintenance of Vitis labrusca × Vitis vinifera ’Kyoho’. J. Sci. Food Agric. 2023, 103, 6243–6251. [Google Scholar] [CrossRef]
- Li, Z.; Zhang, S.; Xue, J.; Mu, B.; Song, H.; Liu, Y. Exogenous Melatonin Treatment Induces Disease Resistance against Botrytis cinerea on Post-Harvest Grapes by Activating Defence Responses. Foods 2022, 11, 2231. [Google Scholar] [CrossRef]
- Wu, C.; Hao, W.; Yan, L.; Zhang, H.; Zhang, J.; Liu, C.; Zheng, L. Postharvest melatonin treatment enhanced antioxidant activity and promoted GABA biosynthesis in yellow-flesh peach. Food Chem. 2023, 419, 136088. [Google Scholar] [CrossRef] [PubMed]
- Ma, Q.; Lin, X.; Wei, Q.; Yang, X.; Zhang, Y.; Chen, J. Melatonin treatment delays postharvest senescence and maintains the organoleptic quality of ‘Newhall’ navel orange (Citrus sinensis (L.) Osbeck) by inhibiting respiration and enhancing antioxidant capacity. Sci. Hortic. 2021, 286, 110236. [Google Scholar] [CrossRef]
- Chang, X.; Liang, Y.; Shi, F.; Guo, T.; Wang, Y. Biochemistry behind firmness retention of jujube fruit by combined treatment of acidic electrolyzed water and high-voltage electrostatic field. Food Chem. X 2023, 19, 100812. [Google Scholar] [CrossRef]
- Chang, X.; Liang, Y.; Guo, T.; Wang, Y.; Yang, J. Combined Treatment of Acidic Electrolyzed Water and High-Voltage Electrostatic Field Improves the Storage Quality of Huping Jujube (Ziziphus jujuba Mill. cv. Huping). Foods 2023, 12, 2762. [Google Scholar] [CrossRef] [PubMed]
- Wang, L.; Wu, H.; Qin, G.; Meng, X. Chitosan disrupts Penicillium expansum and controls postharvest blue mold of jujube fruit. Food Control. 2014, 41, 56–62. [Google Scholar] [CrossRef]
- Ban, Z.; Niu, C.; Li, L.; Gao, Y.; Liu, L.; Lu, J. Exogenous brassinolides and calcium chloride synergically maintain quality attributes of jujube fruit (Ziziphus jujuba Mill.). Postharvest Biol. Technol. 2024, 216, 113039. [Google Scholar] [CrossRef]
- Zhang, Z.; Huber, D.; Qu, H.; Yun, Z.; Wang, H.; Huang, Z. Enzymaticbrowning and antioxidant activities in harvested litchi fruit as influenced by apple polyphenols. Food Chem. 2015, 17, 191–199. [Google Scholar] [CrossRef] [PubMed]
- Wang, W.; Liu, Y.; Di, J.; Wang, Y.; Deng, B.; Yang, J.; Li, Z.; Zhang, L. Impacts of Selenium– Chitosan Treatment on Color of “Red Globe” Grapes during Low Temperature Storage. Foods 2024, 13, 499. [Google Scholar] [CrossRef] [PubMed]
- Tang, Q.; Li, C.; Ge, Y.; Li, X.; Cheng, Y.; Hou, J.; Li, J. Exogenous application of melatonin maintains storage quality of jujubes by enhancing anti-oxidative ability and suppressing the activity of cell wall-degrading enzymes. LWT 2020, 127, 109431. [Google Scholar] [CrossRef]
- Selahle, M.; Sivakumar, D.; Soundy, P. Effect of photo-selective nettings on post-harvest quality and bioactive compounds in selected tomato cultivars. J. Sci. Food Agric. 2014, 94, 2187–2195. [Google Scholar] [CrossRef] [PubMed]
- Yang, L.; Wang, X.; He, S.; Luo, Y.; Chen, S.; Shan, Y.; Wang, R.; Ding, S. Heat shock treatment maintains the quality attributes of postharvest jujube fruits and delays their senescence process during cold storage. J. Food Biochem. 2021, 45, e13937. [Google Scholar] [CrossRef]
- Shang, F.; Liu, R.; Wu, W.; Han, Y.; Gao, H. Effects of melatonin on the components, quality and antioxidant activities of blueberry fruits. LWT 2021, 147, 111582. [Google Scholar] [CrossRef]
- Carrión-Antolí, A.; Martínez-Romero, D.; Guillén, F. Melatonin pre-harvest treatments leads to maintenance of sweet cherry quality during storage by increasing antioxidant systems. Front. Plant Sci. 2022, 13, 863467. [Google Scholar] [CrossRef]
- Jia, L.; Li, Y.; Liu, G.; He, J. UV-C delays senescence in ‘Lingwu long’ jujube fruit by regulating ROS and phenylpropanoid metabolism. Plant Physiol. Biochem. 2023, 194, 383–393. [Google Scholar] [CrossRef] [PubMed]
- Reche, J.; García-Pastor, M.; Valero, D.; Hernández, F.; Amorós, A. Effect of modified atmosphere packaging on the physiological and functional characteristics of Spanish jujube (Ziziphus jujuba Mill.) cv ‘Phoenix’ during cold storage. Sci. Hortic. 2019, 258, 108743. [Google Scholar] [CrossRef]
- Liu, S.; Huang, H.; Huber, D. Delay of ripening and softening in ‘Guifei’ mango fruit by postharvest application of melatonin. Postharvest Biol. Technol. 2020, 163, 111136. [Google Scholar] [CrossRef]
- Wang, L.; Luo, Z.; Ban, Z.; Jiang, N.; Li, L. Role of exogenous melatonin involved in phenolic metabolism of Zizyphus jujuba fruit. Food Chem. 2021, 341, 128268. [Google Scholar] [CrossRef]
- Yao, M.; Ge, W.; Zhou, Q.; Zhou, X.; Luo, M.; Zhao, Y.; Ji, S. Exogenous glutathione alleviates chilling injury in postharvest bell pepper by modulating the ascorbate-glutathione (AsA-GSH) cycle. Food Chem. 2021, 352, 129458. [Google Scholar] [CrossRef]
- Xie, J.; Qin, Z.; Pan, J.; Li, J.; Li, X.; Khoo, H.; Dong, X. Melatonin treatment improves postharvest quality and regulates reactive oxygen species metabolism in “Feizixiao” litchi based on principal component analysis. Front. Plant Sci. 2022, 13, 965345. [Google Scholar] [CrossRef]
- Lv, Y.; Elnur, E.; Wang, W.; Thakur, K.; Du, J.; Li, H.; Wei, Z. Hydrogen sulfide treatment increases the antioxidant capacity of fresh Lingwu Long Jujube (Ziziphus jujuba cv. Mill) fruit during storage. Curr. Res. Food Sci. 2022, 5, 949–957. [Google Scholar] [CrossRef]
- Wu, S.; Nie, Y.; Zhao, J.; Fan, B.; Huang, X.; Li, X.; Tang, X. The synergistic effects of low-concentration acidic electrolyzed water and ultrasound on the storage quality of fresh-sliced button mushrooms. Food Bioprocess Technol. 2017, 11, 314–323. [Google Scholar] [CrossRef]
- Wang, F.; Zhang, X.; Yang, Q.; Zhao, Q. Exogenous melatonin delays postharvest fruit senescence and maintains the quality of sweet cherries. Food Chem. 2019, 301, 125311. [Google Scholar] [CrossRef]
- Gao, H.; Zhang, Z.; Chai, H.; Cheng, N.; Yang, Y.; Wang, D. Melatonin treatment delays postharvest senescence and regulates reactive oxygen species metabolism in peach fruit. Postharvest Biol. Technol. 2016, 118, 103–110. [Google Scholar] [CrossRef]
- Zhang, Y.; Donald, J.; Mei, J.; Guo, G.; Zhao, X.; Xiang, J.; Yue, Z.; Zheng, K. Delay of postharvest browning in litchi fruit by melatonin via the enhancing of antioxidative processes and oxidation repair. J. Agric. Food Chem. 2018, 66, 7475–7484. [Google Scholar] [CrossRef] [PubMed]
- Wu, B.; Guo, Q.; Li, Q.; Ha, Y.; Li, X.; Chen, W. Impact of postharvest nitric oxide treatment on antioxidant enzymes and related genes in banana fruit in response to chilling tolerance. Postharvest Biol. Technol. 2014, 92, 157–163. [Google Scholar] [CrossRef]
- Tang, J.; Chen, H.; Lin, H.; Hung, Y.; Xie, H.; Chen, Y. Acidic electrolyzed water treatment delayed fruit disease development of harvested longans through inducing the disease resistance and maintaining the ROS metabolism systems. Postharvest Biol. Technol. 2021, 171, 111349. [Google Scholar] [CrossRef]
- Ba, L.; Cao, S.; Ji, N.; Chao, M.; Luo, D. Exogenous melatonin treatment in the postharvest storage of pitaya fruits delays senescence and regulates reactive oxygen species metabolism. LWT 2021, 42, 15221. [Google Scholar] [CrossRef]
- Li, P.; Zhao, R.; Zhou, H.; Wu, S.; Zhang, X. Melatonin delays softening of postharvest pepper fruits (Capsicum annuum L.) by regulating cell wall degradation, membrane stability and antioxidant systems. Postharvest Biol. Technol. 2024, 212, 112852. [Google Scholar] [CrossRef]








Disclaimer/Publisher’s Note: The statements, opinions and data contained in all publications are solely those of the individual author(s) and contributor(s) and not of MDPI and/or the editor(s). MDPI and/or the editor(s) disclaim responsibility for any injury to people or property resulting from any ideas, methods, instructions or products referred to in the content. |
© 2025 by the authors. Licensee MDPI, Basel, Switzerland. This article is an open access article distributed under the terms and conditions of the Creative Commons Attribution (CC BY) license (https://creativecommons.org/licenses/by/4.0/).
Share and Cite
Hei, H.; Tang, H.; Zhao, R.; Li, G.; Shi, F. Effect of Melatonin Treatment on Storage Quality and Antioxidant System of Postharvest Winter Jujube (Zizyphus jujube Mill. cv. Dongzao). Foods 2025, 14, 576. https://doi.org/10.3390/foods14040576
Hei H, Tang H, Zhao R, Li G, Shi F. Effect of Melatonin Treatment on Storage Quality and Antioxidant System of Postharvest Winter Jujube (Zizyphus jujube Mill. cv. Dongzao). Foods. 2025; 14(4):576. https://doi.org/10.3390/foods14040576
Chicago/Turabian StyleHei, Hongai, Heyin Tang, Rui Zhao, Gengchen Li, and Fei Shi. 2025. "Effect of Melatonin Treatment on Storage Quality and Antioxidant System of Postharvest Winter Jujube (Zizyphus jujube Mill. cv. Dongzao)" Foods 14, no. 4: 576. https://doi.org/10.3390/foods14040576
APA StyleHei, H., Tang, H., Zhao, R., Li, G., & Shi, F. (2025). Effect of Melatonin Treatment on Storage Quality and Antioxidant System of Postharvest Winter Jujube (Zizyphus jujube Mill. cv. Dongzao). Foods, 14(4), 576. https://doi.org/10.3390/foods14040576
