Effect of Pulsed Electric Fields and Osmotic Dehydration on the Quality of Modified-Atmosphere-Packaged Fresh-Cut and Fried Potatoes
Abstract
1. Introduction
2. Materials and Methods
2.1. Materials
2.2. Pulsed Electric Field (PEF) Treatment of Potatoes
2.3. Osmotic Dehydration (OD) of Untreated and PEF-Pre-Treated Potatoes
2.4. Quality Monitoring of Untreated and PEF-Pre-Treated OD Potatoes During Cold Storage
2.5. Analytical Protocols and Mathematical Modeling
2.5.1. Physicochemical Parameters
Mass Transfer During Osmotic Dehydration
2.5.2. Potato Product Composition
2.5.3. Potato Product Firmness
2.5.4. Potato Product Color
2.5.5. Oil Content
2.5.6. Sensory Analysis
2.5.7. Microbial Growth
2.6. Statistical Analysis
3. Results and Discussion
3.1. PEF and OD
3.1.1. Effect of PEF and OD on Mass Transfer and Water Activity of Potatoes
3.1.2. PEF and OD Effect on Color and Texture of Potato Strips
3.2. Quality of OD-Treated and PEF + OD-Treated Potatoes After Frying
3.2.1. Oil Uptake During Frying of OD-Treated and PEF + OD-Treated Potato Strips
3.2.2. Quality of OD-Treated and PEF + OD-Treated Fried Potato Strips
3.3. Shelf-Life Study of OD and PEF + OD Raw Potatoes
3.3.1. Texture and Color Change During Storage
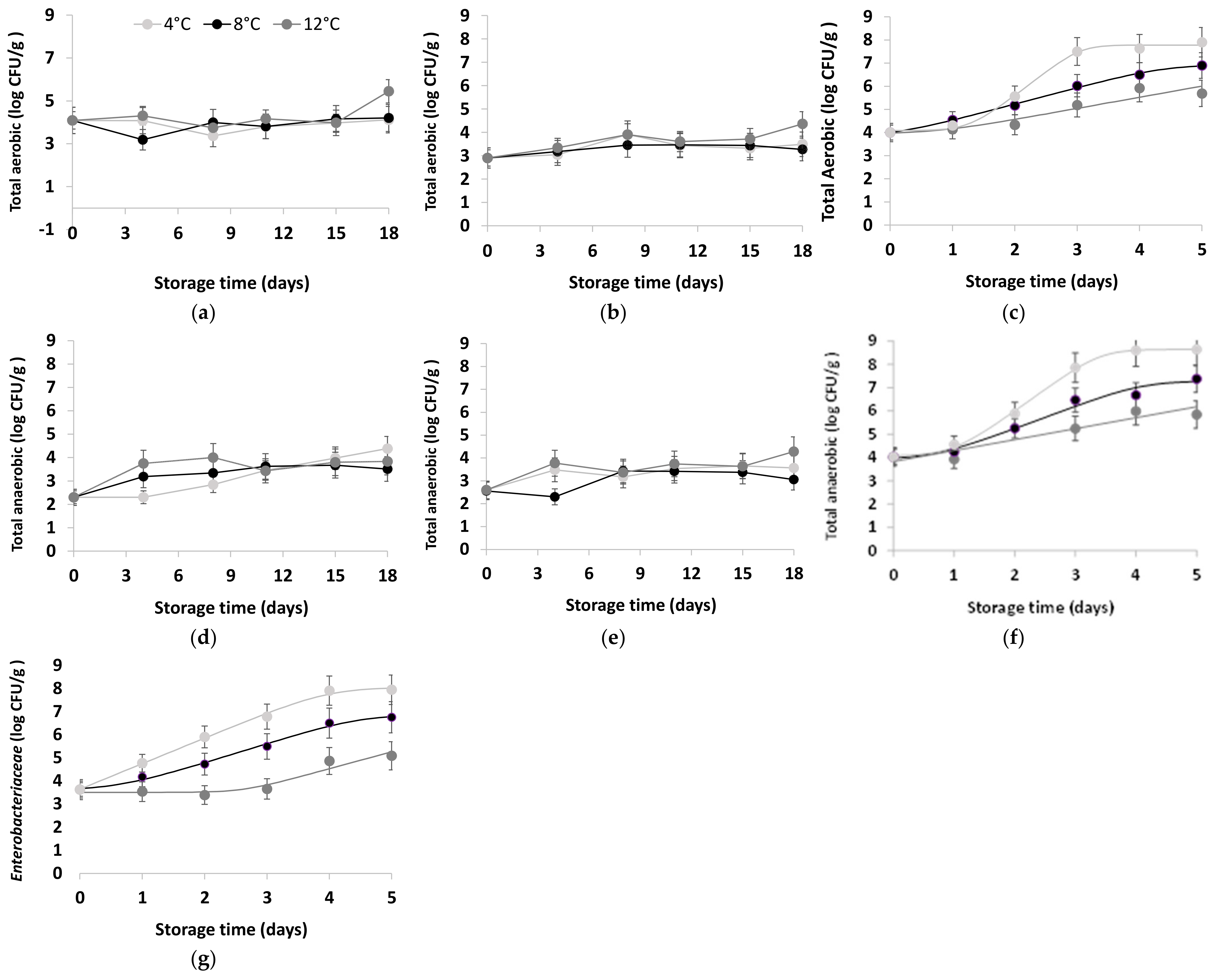
3.3.2. Evolution of Microbial Load During Storage
3.3.3. Evolution of Sensory Quality Loss During Storage
4. Conclusions
Supplementary Materials
Author Contributions
Funding
Institutional Review Board Statement
Informed Consent Statement
Data Availability Statement
Conflicts of Interest
References
- Dourado, C.; Pinto, C.; Barba, F.J.; Lorenzo, J.M.; Delgadillo, I.; Saraiva, J.A. Review Innovative non-thermal technologies affecting potato tuber and fried potato quality. Trends Food Sci. Technol. 2019, 88, 274–289. [Google Scholar] [CrossRef]
- Qiao, L.; Han, X.; Wang, H.; Gao, M.; Tian, J.; Lu, L.; Liu, X. Novel alternative for controlling enzymatic browning: Catalase and its application in fresh-cut potatoes. J. Food Sci. 2021, 86, 3529–3539. [Google Scholar] [CrossRef] [PubMed]
- Tian, J.; Chen, J.; Ye, X.; Chen, X. Health benefits of the potato affected by domestic cooking: A review. Food Chem. 2016, 202, 165–175. [Google Scholar] [CrossRef] [PubMed]
- Li, L.; Wu, M.; Zhao, M.; Guo, M.; Liu, H. Enzymatic properties on browning of fresh-cut potato. Mater. Sci. Eng. 2018, 397, 012116. [Google Scholar] [CrossRef]
- Hou, Z.; Feng, Y.; Wei, S.; Wang, Q. Effects of curing treatment on the browning of fresh-cut potatoes. Am. J. Potato Res. 2014, 91, 655–662. [Google Scholar] [CrossRef]
- Liu, P.; Xu, N.; Liu, R.; Liu, J.; Peng, Y.; Wang, Q. Exogenous proline treatment inhibiting enzymatic browning of fresh-cut potatoes during cold storage. Postharvest Biol. Technol. 2022, 184, 111754. [Google Scholar] [CrossRef]
- Bingol, G.; Wang, B.; Zhang, A.; Pan, Z.; McHugh, T.H. Comparison of water and infrared blanching methods for processing performance and final product quality of French fries. J. Food Eng. 2014, 121, 135–142. [Google Scholar] [CrossRef]
- Wang-Pruski, G.; Nowak, J. Potato after-cooking darkening. Am. J. Potato Res. 2004, 81, 7–16. [Google Scholar] [CrossRef]
- Ahmed, I.; Qazi, I.M.; Jamal, S. Developments in osmotic dehydration technique for the preservation of fruits and vegetables. Innov. Food Sci. Emerg. Technol. 2016, 34, 29–43. [Google Scholar] [CrossRef]
- Yadav, A.K.; Singh, S.V. Osmotic dehydration of fruits and vegetables: A review. J. Food Sci. Technol. 2014, 51, 1654–1673. [Google Scholar] [CrossRef]
- Krokida, M.K.; Kiranoudis, C.T.; Maroulis, Z.B.; Marinos-Kouris, D. Effect of pretreatment on color of dehydrated products. Dry. Technol. 2000, 18, 1239–1250. [Google Scholar] [CrossRef]
- Osae, R.; Adjonu, R.; Owusu-Ansah, P.; Apaliya, M.T.; Fauzia, A.S.; Engmann, F.N.; Otoo, G.S.; Alolga, R.N. Freeze-thawing and osmotic dehydration pretreatments on physicochemical properties and quality of orange-fleshed sweet potato slice during hot air drying. Food Chem. Adv. 2024, 5, 100843. [Google Scholar] [CrossRef]
- Torreggiani, D.; Bertolo, G. Present and Future in Process Control and Optimization of Osmotic Dehydration: From Unit Operation to Innovative Combined Process: An Overview. Adv. Food Nutr. Res. 2004, 48, 173–238. [Google Scholar] [CrossRef] [PubMed]
- Cheng, X.; Wang, S.; Iqbal, M.S.; Pan, L.; Hong, L. Effect of ultrasound-assisted osmotic dehydration on the drying kinetics, water state, and physicochemical properties of microwave vacuum-dried potato slices. Ultrason. Sonochem. 2023, 99, 106557. [Google Scholar] [CrossRef] [PubMed]
- Mari, A.; Andriotis, P.; Drosou, C.; Krokida, M. Enhancing Shelf-life Stability of Refrigerated Potatoes through Osmotic Dehydration and Ohmic Heating Optimization: A Strategy to Mitigate Enzymatic Browning. Eur. Potato J. 2024. [Google Scholar] [CrossRef]
- Drosou, C.; Sklirakis, I.; Polyzou, E.; Yakoumis, I.; Boukouvalas, C.J.; Krokida, M. Processing Fresh-Cut Potatoes Using Non-Thermal Technologies and Edible Coatings. Appl. Sci. 2024, 14, 11039. [Google Scholar] [CrossRef]
- Akbarian, M.; Ghasemkhani, N.; Moayedi, F. Osmotic dehydration of fruits in food industrial: A review. Int. J. Biosci. 2013, 3, 1–16. [Google Scholar]
- Krokida, M.K.; Oreopoulou, V.; Maroulis, Z.B.; Marinos-Kouris, D. Effect of osmotic dedydration pretreatment on quality of french fries. J. Food Eng. 2001, 49, 339–345. [Google Scholar] [CrossRef]
- Gupta, P.; Shivhare, U.S.; Bawa, A.S. Studies on frying kinetics and quality of French fries. Dry. Technol. 2000, 8, 311–321. [Google Scholar] [CrossRef]
- Kwaw, E.; Osae, R.; Apaliya, M.T.; Sackey, A.S.; Alolga, R.N.; Kaburi, S.A.; Hinson, M.; Bediako, G.; Botwe, A.K.; Pitcher, V.M. Effect of different pre-treatments on the physical properties, frying kinetics and organoleptic physiognomies of fried sweet potato (Ipomoea batatas) chips. Food Human. 2024, 3, 100351. [Google Scholar] [CrossRef]
- Nowosad, K.; Sujka, M.; Pankiewicz, U.; Kowalski, R. The application of PEF technology in food processing and human nutrition. J. Food Sci. Technol. 2020, 58, 397–411. [Google Scholar] [CrossRef] [PubMed]
- Tiwari, B.; O’Donell, C.; Cullen, P. New challenges in food science and technology: An industrial perspective. Trends Food Sci. Technol. 2009, 20, 180–181. [Google Scholar] [CrossRef]
- Donsì, F.; Ferrari, G.; Pataro, G. Applications of Pulsed Electric Field Treatments for the Enhancement of Mass Transfer from Vegetable Tissue. Food Eng. Rev. 2010, 2, 109–130. [Google Scholar] [CrossRef]
- González Pérez, J.E.; Ramírez Corona, N.; López Malo, A. Mass Transfer During Osmotic Dehydration of Fruits and Vegetables: Process Factors and Non-Thermal Methods. Food Eng. Rev. 2021, 13, 344–374. [Google Scholar] [CrossRef]
- Soliva-Fortuny, R.; Balasa, A.; Knorr, D.; Martín-Belloso, O. Effects of pulsed electric fields on bioactive compounds in foods: A review. Trends Food Sci Technol. 2009, 20, 544–556. [Google Scholar] [CrossRef]
- Wiktor, A.; Lammerskitten, A.; Barba, G.; Michalski, M.; Toepfl, S.; Parniakov, O. Drying Processes Assisted by PEF for Plant-Based Materials. In Innovative Food Processing Technologies; Elsevier: Amsterdam, The Netherlands, 2021; pp. 271–280. [Google Scholar] [CrossRef]
- Wiktor, A.; Singh, A.P.; Parniakov, O.; Mykhailyk, V.; Mandal, R.; Witrowa-Rajchert, D. PEF as an alternative tool to prevent thermolabile compound degradation during dehydration processes. In Pulsed Electric Fields to Obtain Healthier and Sustainable Food for Tomorrow; Barba, F.J., Parniakov, O., Wiktor, A., Eds.; Academic Press: Cambridge, MA, USA, 2020; pp. 155–202. [Google Scholar] [CrossRef]
- Barba, F.J.; Parniakov, O.; Pereira, S.A.; Wiktor, A.; Grimi, N.; Boussetta, N.; Saraiva, J.; Raso, J.; Martin-Belloso, O.; Witrowa-Rajchert, D.; et al. Current applications and new opportunities for the use of pulsed electric fields in food science and industry. Food Res. Int. 2015, 77, 773–798. [Google Scholar] [CrossRef]
- Boussetta, N.; Grimi, N.; Lebovka, N.I.; Vorobiev, E. “Cold” electroporation in potato tissue induced by pulsed electric field. J. Food Eng. 2013, 115, 232–236. [Google Scholar] [CrossRef]
- Janositz, A.; Noack, A.; Knorr, D. Pulsed electric fields and their impact on the diffusion characteristics of potato slices. Food Sci. Technol. 2011, 44, 1939–1945. [Google Scholar] [CrossRef]
- Faustera, T.; Schlossnikl, D.; Ostermeier, R.R.; Teufel, F.; Toepfl, S.; Jaeger, H. Impact of pulsed electric field (PEF) pretreatment on process performance of industrial French fries production. J. Food Eng. 2018, 235, 16–22. [Google Scholar] [CrossRef]
- Krokida, M.K.; Oreopoulou, V.; Maroulis, Z.B.; Marinos-Kouris, D. Effect of pre-treatment on viscoelastic behaviour of potato strips. J. Food Eng. 2001, 50, 11–17. [Google Scholar] [CrossRef]
- Karizaki, V.M.; Sahin, S.; Sumnu, G.; Mosavian, M.T.H.; Luca, A. Effect of ultrasound-assisted osmotic dehydration as a pretreatment on deep fat frying of potatoes. Food Bioprocess Technol. 2013, 6, 3554–3563. [Google Scholar] [CrossRef]
- Liu, C.; Deng, H.; Lv, M.; Du, H.; Li, B.; Grimi, N.; Liu, Y.; Chen, W. Impact of pulsed electric fields and ultrasound on the frying characteristics of sweet potato chips. Food Bioprod. Process. 2025, 149, 49–57. [Google Scholar] [CrossRef]
- Su, Y.; Zhang, M.; Chitrakar, B.; Zhang, W. Reduction of oil uptake with osmotic dehydration and coating pre-treatment in microwave-assisted vacuum fried potato chips. Food Biosci. 2021, 39, 100825. [Google Scholar] [CrossRef]
- Ostermeier, R.; Hill, K.; Dingis, A.; Töpfl, S.; Jäger, H. Influence of pulsed electric field (PEF) and ultrasound treatment on the frying behavior and quality of potato chips. Innov. Food Sci. Emerg. Technol. 2021, 67, 102553. [Google Scholar] [CrossRef]
- Schouten, M.A.; Genovese, J.; Tappi, S.; Di Francesco, A.; Baraldi, E.; Cortese, M.; Capriolid, G.; Angelonid, S.; Vittori, S.; Rocculi, P.; et al. Effect of innovative pre-treatments on the mitigation of acrylamide formation in potato chips. Innov. Food Sci. Emerg. Technol. 2020, 64, 102397. [Google Scholar] [CrossRef]
- Katsouli, M.; Dermesonlouoglou, E.; Dimopoulos, G.; Karafantalou, E.; Giannakourou, M.; Taoukis, P. Shelf-Life Enhancement Applying Pulsed Electric Field and High-Pressure Treatments Prior to Osmotic Dehydration of Fresh-Cut Potatoes. Foods 2024, 13, 171. [Google Scholar] [CrossRef]
- AOAC. Official Methods of Analysis, 15th ed.; Association of Official Analytical Chemists: Rockville, MD, USA, 1990. [Google Scholar]
- Garcia, E.; Barrett, D.M. Preservative Treatments for Fresh-cut Fruits and Vegetables. In Fresh-Cut Fruits and Vegetables, 1st ed.; Lamikanra, O., Ed.; CRC Press: Boca Raton, FL, USA, 2002. [Google Scholar] [CrossRef]
- Dimopoulos, G.; Katsimichas, A.; Balachtsis, K.; Dermesonlouoglou, E.; Taoukis, P. Effect of pulsed electric fields on the shelf stability and sensory acceptability of osmotically dehydrated spinach: A mathematical modeling approach. Foods 2024, 13, 1410. [Google Scholar] [CrossRef]
- Kuhn, J.; Müller, H.; Salzig, D.; Czermak, P. A rapid method for an offline glycerol determination during microbial fermentation. Electron. J. Biotechnol. 2015, 18, 252–255. [Google Scholar] [CrossRef]
- Giannakourou, M.C.; Taoukis, P.S. Kinetic modelling of vitamin c loss in frozen green vegetables under variable storage conditions. Food Chem. 2003, 83, 33–41. [Google Scholar] [CrossRef]
- Aguirre-Joya, J.A.; Ventura-Sobrevilla, J.; Martínez-Vazquez, G.; Ruelas-Chacón, X.; Rojas, R.; Rodríguez-Herrera, R.; Aguilar, C.N. Effects of a natural bioactive coating on the quality and shelf life prolongation at different storage conditions of avocado (Persea americana Mill.) cv. Hass. Food Pack. Shelf Life 2017, 14, 102–107. [Google Scholar] [CrossRef]
- Wong, J.X.; Ramli, S.; Desa, S.; Chen, S.N. Use of Centella Asiatica Extract in Reducing Microbial Contamination and Browning. Effect in Fresh Cut Fruits and Vegetables during Storage: A Potential Alternative of Synthetic Preservatives. LWT 2021, 151, 112229. [Google Scholar] [CrossRef]
- ISO 8586-1; Sensory Analysis—General Guidance for the Selection, Training and Monitoring of Assessors, Part 1: Selected As-sessors. International Organization for Standardization: Geneva, Switzerland, 1993.
- Dermesonlouoglou, E.K.; Giannakourou, M.C. Evaluation and modelling of osmotic pre-treatment of peach using alternative agents in a multiple-component solution. J. Sci. Food Agric. 2019, 99, 1240–1249. [Google Scholar] [CrossRef] [PubMed]
- Oladejo, A.O.; Ma, H.; Qu, W.; Zhou, C.; Wu, B. Effects of ultrasound on mass transfer kinetics, structure, carotenoid and vitamin c content of osmodehydrated sweet potato (Ipomea batatas). Food Bioproc. Tech. 2017, 10, 1162–1172. [Google Scholar] [CrossRef]
- Dehghannya, J.; Gorbani, R.; Ghanbarzadeh, B. Effect of ultrasound-assisted osmotic dehydration pretreatment on drying kinetics and effective moisture diffusivity of mirabelle plum. J Food Proc. Preserv. 2015, 39, 2710–2717. [Google Scholar] [CrossRef]
- Barani, Y.H.; Zhang, M.; Wang, B.; Devahastin, S. Influences of four pretreatments on anthocyanins content, color and flavor characteristics of hot-air dried rose flower. Dry. Technol. 2020, 38, 1988–1995. [Google Scholar] [CrossRef]
- Liu, T.; Dodds, E.; Leong, S.Y.; Eyres, G.T.; Burritt, D.J.; Oey, I. Effect of pulsed electric fields on the structure and frying quality of “kumara” sweet potato tubers. Innov. Food Sci. Emerg. Technol. 2017, 39, 197–208. [Google Scholar] [CrossRef]
- Liu, C.; Grimi, N.; Lebovka, N.; Vorobiev, E. Effects of pulsed electric fields treatment on vacuum drying of potato tissue. LWT 2018, 95, 289–294. [Google Scholar] [CrossRef]
- Liu, C.; Grimi, N.; Lebovka, N.; Vorobiev, E. Effects of preliminary treatment by pulsed electric fields and convective air-drying on characteristics of fried potato. Innov. Food Sci. Emerg. Technol. 2018, 47, 454–460. [Google Scholar] [CrossRef]
- Levaj, Β.; Pelaic, Z.; Galic, K.; Hunjek, D.D.; Pedisic, S.; Kurek, M.; Šcetar, M.; Poljak, M.; Balbino, S.; Cošic, Z.; et al. Maintaining the Quality and Safety of Fresh-Cut Potatoes (Solanum tuberosum): Overview of Recent Findings and Approaches. Agronomy 2023, 13, 2002. [Google Scholar] [CrossRef]
- Pedreschi, F.; Aguilera, J.; Pyle, L. Textural characterization and kinetics of potato strips during frying. J. Food Sci. 2002, 66, 314–318. [Google Scholar] [CrossRef]
- Pedreschi, F.; Moyano, P.; Santis, N.; Pedreschi, R. Physical properties of pre-treated potato chips. J. Food Eng. 2007, 79, 1474–1482. [Google Scholar] [CrossRef]
- Kita, A. The influence of potato chemical composition on crisp texture. Food Chem. 2002, 76, 173e179. [Google Scholar] [CrossRef]
- Abedpour, L.; Dehghannya, J. Investigation of oil uptake during potato strips deep-fat frying pretreated with ultrasound and osmotic dehydration. J. Food Sci. Technol. 2016, 12, 79–94. [Google Scholar]
- Da Costa Ribeiro, A.S.; Aguiar-Oliveira, E.; Maldonado, R.R. Optimization of osmotic dehydration of pear followed by conventional drying and their sensory quality. LWT-Food Sci. Technol. 2016, 72, 407–415. [Google Scholar] [CrossRef]
- Graham-Acquaah, S.; Ayernor, G.S.; Bediako-Amoa, B.; Saalia, F.S.; Afoakwa, E.O.; Abbey, L. Effect of blanching and frying on textural profile and appearance of yam (Dioscorea rotundata) french fries. J. Food Process. Preserv. 2015, 39, 19–29. [Google Scholar] [CrossRef]
- Zhang, Y.; Kahl, D.H.W.; Bizimungu, B.; Lu, Z.X. Effects of blanching treatments on acrylamide, asparagine, reducing sugars and colour in potato chips. J. Food Sci. Technol. 2018, 55, 4028–4041. [Google Scholar] [CrossRef]
- Zhang, G.; Rei, K.; Lyu, X.; Yang, R. Effects of combined pulsed electric field and blanching pretreatment on the physiochemical properties of French fries. Innov. Food Sci. Emerg. Technol. 2021, 67, 102561. [Google Scholar] [CrossRef]
- Thybo, A.K.; Christiansen, J.; Kaack, K.; Petersen, M.A. Effect of cultivars, wound healing and storage on sensory quality and chemical components in pre-peeled potatoes. LWT Food Sci. Technol. 2006, 39, 166–176. [Google Scholar] [CrossRef]
- Van Marle, J.T.; Stolle-Smits, T.; Donkers, J.; van Dijk, C.; Voragen, A.G.J.; Recourt, K. Chemical and microscopic characterization of potato (solanum tuberosum l.) cell walls during cooking. J. Agric. Food Chem. 1997, 45, 50–58. [Google Scholar] [CrossRef]
- Cantos, E.; Tudela, J.A.; Gil, M.I.; Espín, J.C. Phenolic compounds and related enzymes are not rate-limiting in browning development of fresh-cut potatoes. J. Agric. Food Chem. 2002, 50, 3015–3023. [Google Scholar] [CrossRef]
- Castelló, M.L.; Fito, P.J.; Chiralt, A. Changes in respiration rate and physical properties of strawberries due to osmotic dehydration and storage. J. Food Eng. 2010, 97, 64–71. [Google Scholar] [CrossRef]
- Ma, Y.; Wang, Q.; Hong, G.; Cantwell, M. Reassessment of treatments to retard browning of fresh-cut Russet potato with emphasis on controlled atmospheres and low concentrations of bisulphite. Int. J. Food Sci. Technol. 2010, 45, 1486–1494. [Google Scholar] [CrossRef]
- Laurila, E.K.; Hurme, E.U.; Ahvenainen, R.T. Shelf life of sliced raw potatoes of various cultivar varieties—Substitution of bisulfites. J. Food Prot. 1998, 61, 1363–1371. [Google Scholar] [CrossRef] [PubMed]
- Angos, I.; Virseda, P.; Fernandez, T. Control of respiration and color modification on minimally processed potatoes by means of low and high O2/CO2 atmospheres. Postharvest Biol. Technol. 2008, 48, 422–430. [Google Scholar] [CrossRef]
- Tudela, J.A.; Gil, M.I. Tubers: Fresh-cut potatoes Group on Quality and Safety. In Controlled and Modified Atmospheres for Fresh and Fresh-Cut Produce; Department of Food Science and Technology, CEBAS-CSIC: Murcia, Spain, 2020; Chapter 25.1; pp. 625–628. [Google Scholar] [CrossRef]
- Gorny, J.R. A summary of CA and MA requirements and recommendations for fresh-cut (minimally processed) fruits and vegetables. Acta Hortic. 2003, 600, 609–614. [Google Scholar] [CrossRef]
- Gunes, G.; Lee, C.Y. Color of minimally processed potatoes as affected by modified atmosphere packaging and ant browning agents. J. Food Sci. 1997, 62, 572–576. [Google Scholar] [CrossRef]
- Gunes, G.; Splittstoesser, D.F.; Lee, C.Y. Microbial quality of fresh potatoes: Effect of minimal processing. J. Food Prot. 1997, 60, 863–866. [Google Scholar] [CrossRef]
- Beltran, D.; Selma, M.V.; Tudela, J.A.; Gil, M. Effect of different sanitizers on microbial and sensory quality of fresh-cut potato strips stored under modified atmosphere or vacuum packaging. Postharv. Biol. Technol. 2005, 37, 37–46. [Google Scholar] [CrossRef]



), OD-treated (
) and PEF + OD-treated (
) fried potato strips (180 °C, 10 min): oil detection, color browning, odor, crispiness, firmness, gumminess, taste overall, sweet taste, salty taste, other taste, flavor, aftertaste, and total sensory quality.
), OD-treated (
) and PEF + OD-treated (
) fried potato strips (180 °C, 10 min): oil detection, color browning, odor, crispiness, firmness, gumminess, taste overall, sweet taste, salty taste, other taste, flavor, aftertaste, and total sensory quality.




| R2 | R2 | |||
|---|---|---|---|---|
| OD-treated | 0.1913 ± 0.0095 a | 0.9885 | 0.0893 ± 0.0088 a | 0.9948 |
| PEF + OD-treated | 0.2320 ± 0.0151 b | 0.9708 | 0.0798 ± 0.0068 a | 0.9927 |
| Sample | Water Content | aw | pH | Vitamin C (g asc.acid/g) | Glycerol (g /g) | Salt (g NaCl/g) | Color (L, a, b, BI) | Texture (Firmness, Fmax, N) | Sensory Score (1–9) |
|---|---|---|---|---|---|---|---|---|---|
| Untreated | 0.8572 | 0.9927 | 6.036 | 0.0013 | _ | 0.004 | 53.77; −0.57; 20.48 | 5.76 | 7.9 |
| OD-treated | 0.7014 | 0.9462 | 4.798 | 0.011 | 0.372 | 0.054 | 54.22; −0.98; 8.10 | 8.41 | 7.1 |
| PEF + OD-treated | 0.6821 | 0.9457 | 4.468 | 0.010 | 0.356 | 0.049 | 52.99; −1.17; 7.88 | 9.55 | 5.7 |
| Oil Uptake Constant kOIL | R2 | |
|---|---|---|
| Untreated | 0.199 a | 0.9483 |
| PEF-treated | 0.198 a | 0.9875 |
| OD-treated | 0.162 b | 0.9302 |
| PEF + OD-treated | 0.142 b | 0.8961 |
| Storage Temperature (°C) | R2 | R2 | |||||
|---|---|---|---|---|---|---|---|
| Total Viable Count (TVC) | |||||||
| 4 | 0.483 ± 0.14 | 3.977 ± 0.318 | 0.801 ± 1.159 | 0.839 | 118.96 | 0.839 | 0.9317 |
| 8 | 0.718 ± 0.053 | 3.998 ± 0.083 | 0.293 ± 0.219 | 0.995 | |||
| 12 | 2.062 ± 0.326 | 4.085 ± 0.142 | 1.267 ± 0.201 | 0.990 | |||
| Enterobacteriaceae | |||||||
| 4 | 0.734 ± 0.206 | 3.508 ± 0.157 | 2.611 ± 0.559 | 0.876 | 33.61 | 0.335 | 0.9513 |
| 8 | 0.834 ± 0.105 | 3.670 ± 0.156 | 0.668 ± 0.362 | 0.984 | |||
| 12 | 1.106 ± 0.058 | 3.643 ± 0.111 | _ | 0.994 | |||
| Total Anaerobic Count | |||||||
| 4 | 0.523 ± 0.153 | 3.758 ± 0.309 | _ | 0.858 | 104.88 | 0.518 | 0.9995 |
| 8 | 0.975 ± 0.243 | 3.972 ± 0.319 | 0.703 ± 0.640 | 0.944 | |||
| 12 | 1.876 ± 0.145 | 4.084 ± 0.122 | 0.982 ± 0.147 | 0.996 | |||
Disclaimer/Publisher’s Note: The statements, opinions and data contained in all publications are solely those of the individual author(s) and contributor(s) and not of MDPI and/or the editor(s). MDPI and/or the editor(s) disclaim responsibility for any injury to people or property resulting from any ideas, methods, instructions or products referred to in the content. |
© 2025 by the authors. Licensee MDPI, Basel, Switzerland. This article is an open access article distributed under the terms and conditions of the Creative Commons Attribution (CC BY) license (https://creativecommons.org/licenses/by/4.0/).
Share and Cite
Dermesonlouoglou, E.; Seretis, G.; Katsouli, M.; Katsimichas, A.; Taoukis, P.; Giannakourou, M. Effect of Pulsed Electric Fields and Osmotic Dehydration on the Quality of Modified-Atmosphere-Packaged Fresh-Cut and Fried Potatoes. Foods 2025, 14, 420. https://doi.org/10.3390/foods14030420
Dermesonlouoglou E, Seretis G, Katsouli M, Katsimichas A, Taoukis P, Giannakourou M. Effect of Pulsed Electric Fields and Osmotic Dehydration on the Quality of Modified-Atmosphere-Packaged Fresh-Cut and Fried Potatoes. Foods. 2025; 14(3):420. https://doi.org/10.3390/foods14030420
Chicago/Turabian StyleDermesonlouoglou, Efimia, George Seretis, Maria Katsouli, Alexandros Katsimichas, Petros Taoukis, and Maria Giannakourou. 2025. "Effect of Pulsed Electric Fields and Osmotic Dehydration on the Quality of Modified-Atmosphere-Packaged Fresh-Cut and Fried Potatoes" Foods 14, no. 3: 420. https://doi.org/10.3390/foods14030420
APA StyleDermesonlouoglou, E., Seretis, G., Katsouli, M., Katsimichas, A., Taoukis, P., & Giannakourou, M. (2025). Effect of Pulsed Electric Fields and Osmotic Dehydration on the Quality of Modified-Atmosphere-Packaged Fresh-Cut and Fried Potatoes. Foods, 14(3), 420. https://doi.org/10.3390/foods14030420

