Quality and Microbial Changes in Omega-3-Enriched Rabbit Meat Packaged with an Active Absorbent Pad in MAP
Abstract
1. Introduction
2. Materials and Methods
2.1. Meat Samples Preparation
2.2. Active Absorbent Pad
2.3. Experimental Design
2.4. Water-Holding Capacity (WHC) and pH
2.5. Color
2.6. Microbiological Analysis
2.7. Lipid Oxidation and Carbonyl and Sulfhydryl Analysis
2.7.1. Thiobarbituric Acid Reactive Substance Assay (TBARS)
2.7.2. Sulfhydryl and Carbonyl Content
2.8. Sensory Tests
2.9. Statistical Analysis
3. Results and Discussion
3.1. pH and WHC
3.2. Color
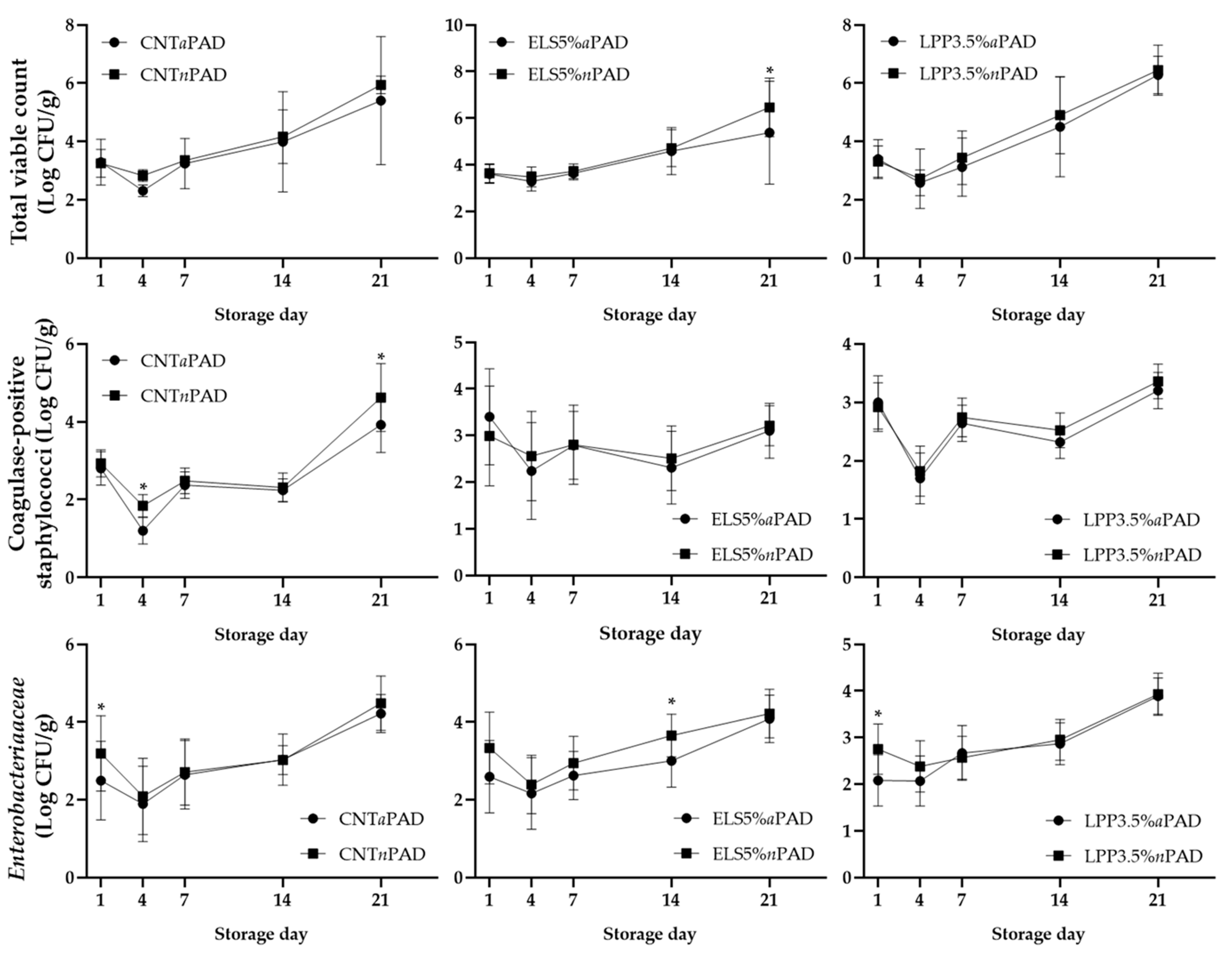
3.3. Microbiological Profile
3.4. Lipid Oxidation and Carbonyl and Sulfhydryl Grouphiol
3.5. Sensory Traits
3.6. Interaction of Principals Parameters
4. Conclusions
5. Patents
Supplementary Materials
Author Contributions
Funding
Institutional Review Board Statement
Informed Consent Statement
Data Availability Statement
Conflicts of Interest
References
- Cullere, M.; Dalle Zotte, A. Rabbit Meat Production and Consumption: State of Knowledge and Future Perspectives. Meat Sci. 2018, 143, 137–146. [Google Scholar] [CrossRef]
- Petracci, M.; Soglia, F.; Leroy, F. Rabbit Meat in Need of a Hat-Trick: From Tradition to Innovation (and Back). Meat Sci. 2018, 146, 93–100. [Google Scholar] [CrossRef] [PubMed]
- Siddiqui, S.A.; Gerini, F.; Ikram, A.; Saeed, F.; Feng, X.; Chen, Y. Rabbit Meat—Production, Consumption and Consumers’ Attitudes and Behavior. Sustainability 2023, 15, 2008. [Google Scholar] [CrossRef]
- Dalle Zotte, A.; Szendro, Z. The Role of Rabbit Meat as Functional Food. Meat Sci. 2011, 88, 319–331. [Google Scholar] [CrossRef] [PubMed]
- Petrescu, D.C.; Petrescu-Mag, R.M. Consumer Behaviour Related to Rabbit Meat as Functional Food. World Rabbit Sci. 2018, 26, 321–333. [Google Scholar] [CrossRef]
- Kumar, P.; Sharma, N.; Narnoliya, L.K.; Verma, A.K.; Umaraw, P.; Mehta, N.; Ismail-Fitry, M.R.; Kaka, U.; Yong-Meng, G.; Lee, S.J.; et al. Improving Quality and Consumer Acceptance of Rabbit Meat: Prospects and Challenges. Meat Sci. 2025, 219, 109660. [Google Scholar] [CrossRef] [PubMed]
- Hernández, P.; Dalle Zotte, A. Influence of Diet on Rabbit Meat Quality. In Nutrition of the Rabbit, 2nd ed.; CABI: Wallingford, UK, 2010; pp. 163–178. [Google Scholar] [CrossRef]
- Dalle Zotte, A.; Celia, C.; Szendro, Z. Herbs and Spices Inclusion as Feedstuff or Additive in Growing Rabbit Diets and as Additive in Rabbit Meat: A Review. Livest. Sci. 2016, 189, 82–90. [Google Scholar] [CrossRef]
- Ribeiro, J.S.; Santos, M.J.M.C.; Silva, L.K.R.; Pereira, L.C.L.; Santos, I.A.; da Silva Lannes, S.C.; da Silva, M.V. Natural Antioxidants Used in Meat Products: A Brief Review. Meat Sci. 2019, 148, 181–188. [Google Scholar] [CrossRef] [PubMed]
- Delis-Hechavarria, E.A.; Guevara-Gonzalez, R.G.; Ocampo-Velazquez, R.V.; Gomez-Soto, J.G.; Vargas-Hernandez, M.; Parola-Contreras, I.; Torres-Pacheco, I. Functional Food for Rabbits. Current Approaches and Trends to Increase Functionality. Food Rev. Int. 2023, 39, 2057–2074. [Google Scholar] [CrossRef]
- Mattioli, S.; Cardinali, R.; Balzano, M.; Pacetti, D.; Castellini, C.; Dal Bosco, A.; Frega, N.G. Influence of Dietary Supplementation with Prebiotic, Oregano Extract, and Vitamin E on Fatty Acid Profile and Oxidative Status of Rabbit Meat. J. Food Qual. 2017, 2017, 3015120. [Google Scholar] [CrossRef]
- Kouba, M.; Benatmane, F.; Blochet, J.E.; Mourot, J. Effect of a Linseed Diet on Lipid Oxidation, Fatty Acid Composition of Muscle, Perirenal Fat, and Raw and Cooked Rabbit Meat. Meat Sci. 2008, 80, 829–834. [Google Scholar] [CrossRef] [PubMed]
- Petracci, M.; Bianchi, M.; Cavani, C. Development of Rabbit Meat Products Fortified with N-3 Polyunsaturated Fatty Acids. Nutrients 2009, 1, 111–118. [Google Scholar] [CrossRef]
- Matics, Z.; Cullere, M.; Szín, M.; Gerencsér, Z.; Szabó, A.; Fébel, H.; Odermatt, M.; Radnai, I.; Dalle Zotte, A.; Szendrő, Z. Effect of a Dietary Supplementation with Linseed Oil and Selenium to Growing Rabbits on Their Productive Performances, Carcass Traits and Fresh and Cooked Meat Quality. J. Anim. Physiol. Anim. Nutr. 2017, 101, 685–693. [Google Scholar] [CrossRef] [PubMed]
- Tariq, M.; Khan, M.; Sameen, A.; Nisa, M. Effect of flaxseed enrichment on quality attributes of rabbit meat and meat product. J. Anim. Plant Sci. 2016, 26, 1850–1858. [Google Scholar]
- Mattioli, S.; Castellini, C.; Mancini, S.; Roscini, V.; Cartoni Mancinelli, A.; Cotozzolo, E.; Pauselli, M.; Dal Bosco, A. Effect of Trub and/or Linseed Dietary Supplementation on in Vivo Oxidative Status and Some Quality Traits of Rabbit Meat. Meat Sci. 2020, 163, 108061. [Google Scholar] [CrossRef]
- Makkar, H.P.S.; Tran, G.; Heuzé, V.; Giger-Reverdin, S.; Lessire, M.; Lebas, F.; Ankers, P. Seaweeds for Livestock Diets: A Review. Anim. Feed. Sci. Technol. 2016, 212, 1–17. [Google Scholar] [CrossRef]
- Costa, M.; Cardoso, C.; Afonso, C.; Bandarra, N.M.; Prates, J.A.M. Current Knowledge and Future Perspectives of the Use of Seaweeds for Livestock Production and Meat Quality: A Systematic Review. J. Anim. Physiol. Anim. Nutr. 2021, 105, 1075–1102. [Google Scholar] [CrossRef] [PubMed]
- Michalak, I.; Tiwari, R.; Dhawan, M.; Alagawany, M.; Farag, M.R.; Sharun, K.; Bin Emran, T.; Dhama, K. Antioxidant Effects of Seaweeds and Their Active Compounds on Animal Health and Production—A Review. Vet. Q. 2022, 42, 48. [Google Scholar] [CrossRef]
- Rossi, R.; Vizzarri, F.; Chiapparini, S.; Ratti, S.; Casamassima, D.; Palazzo, M.; Corino, C. Effects of Dietary Levels of Brown Seaweeds and Plant Polyphenols on Growth and Meat Quality Parameters in Growing Rabbit. Meat Sci. 2020, 161, 107987. [Google Scholar] [CrossRef] [PubMed]
- Al-Soufi, S.; García, J.; Muíños, A.; López-Alonso, M. Marine Macroalgae in Rabbit Nutrition—A Valuable Feed in Sustainable Farming. Animals 2022, 12, 2346. [Google Scholar] [CrossRef] [PubMed]
- Maj, D.; Migdał, Ł.; Zapletal, P. Effects of Dietary Supplementation with Algae, Sunflower Oil, or Soybean Oil, and Age on Fat Content, Fatty Acid Profile and the Expression of Related Genes in Rabbits. Anim. Sci. Pap. Rep. 2023, 41, 243–260. [Google Scholar] [CrossRef]
- Pellissery, A.J.; Vinayamohan, P.G.; Amalaradjou, M.A.R.; Venkitanarayanan, K. Spoilage Bacteria and Meat Quality. In Meat Quality Analysis; Academic Press: Cambridge, MA, USA, 2020; pp. 307–334. [Google Scholar] [CrossRef]
- Pereira, M.; Malfeito-Ferreira, M. A Simple Method to Evaluate the Shelf Life of Refrigerated Rabbit Meat. Food Control 2015, 49, 70–74. [Google Scholar] [CrossRef]
- Cullere, M.; Dalle Zotte, A.; Tasoniero, G.; Giaccone, V.; Szendrő, Z.; Szín, M.; Odermatt, M.; Gerencsér, Z.; Dal Bosco, A.; Matics, Z. Effect of Diet and Packaging System on the Microbial Status, PH, Color and Sensory Traits of Rabbit Meat Evaluated during Chilled Storage. Meat Sci. 2018, 141, 36–43. [Google Scholar] [CrossRef]
- Redondo-Solano, M.; Guzmán-Saborío, P.; Ramírez-Chavarría, F.; Chaves-Ulate, C.; Araya-Quesada, Y.; Araya-Morice, A. Effect of the Type of Packaging on the Shelf Life of Ground Rabbit Meat. Food Sci. Technol. Int. 2022, 28, 190–199. [Google Scholar] [CrossRef]
- Brody, A.L.; Strupinsky, E.P.; Kline, L.R. Active Packaging for Food Applications; CRC Press: Boca Raton, FL, USA, 2001. [Google Scholar] [CrossRef]
- Kandeepan, G.; Tahseen, A. Modified Atmosphere Packaging (MAP) of Meat and Meat Products: A Review. J. Packag. Technol. Res. 2022, 6, 137–148. [Google Scholar] [CrossRef]
- Racewicz, P.; Biesiada, H.; Majewski, M.; Ludwiczak, A.; Stanisz, M.; Składanowska-Baryza, J. Impact of Packaging System on the Microbial Quality of Chilled Rabbit Meat over 21 Days of Storage. Anim. Sci. J. 2023, 94, 13852. [Google Scholar] [CrossRef]
- Berruga, I.; Vergara, H.; Beí, M.; Linares, E. Control of Microbial Growth and Rancidity in Rabbit Carcasses by Modified Atmosphere Packaging. J. Sci. Food Agric. 2005, 85, 1987–1991. [Google Scholar] [CrossRef]
- Holman, B.W.B.; Kerry, J.P.; Hopkins, D.L. Meat Packaging Solutions to Current Industry Challenges: A Review. Meat Sci. 2018, 144, 159–168. [Google Scholar] [CrossRef] [PubMed]
- Liu, Y.; Sameen, D.E.; Ahmed, S.; Dai, J.; Qin, W. Antimicrobial Peptides and Their Application in Food Packaging. Trends Food Sci. Technol. 2021, 112, 471–483. [Google Scholar] [CrossRef]
- Sun, P.; Zhu, Y.; Yin, L.; Kong, B.; Xia, X.; Liu, Q.; Wang, H. Development of Active Hydrogel Absorbent Pads Based on Sodium Alginate/Potassium-Doped Carbon Dots for Chilled Pork Preservation. Food Hydrocoll. 2024, 155, 110229. [Google Scholar] [CrossRef]
- Wang, X.; Yan, X.; Xu, Y.; Liu, J.; Chen, D. Changes in the Quality and Microbial Compositions of Ground Beef Packaged on Food Absorbent Pads Incorporated with Levulinic Acid and Sodium Dodecyl Sulfate. Int. J. Food Microbiol. 2022, 376, 109771. [Google Scholar] [CrossRef]
- Jiang, C.; Yu, G.; Wang, P.; Yao, Z.; Mu, L.; Li, Q.; Shi, Y. Preparation of Delignified Wood Fibers Based Absorbent Pad for Tray Package and Its Application in Preservation of Cold and Fresh Pork. Ind. Crops Prod. 2024, 219, 119097. [Google Scholar] [CrossRef]
- Liu, G.F.; Song, H.Y.; Zhang, Q.; Wang, J.Q.; Wang, L.J.; Zhang, Z.J. Cellulose-Based Absorbent Pad Loaded with Carum Copticum Essential Oil for Shelf Life Extension of Refrigerated Chicken Meat. Packag. Technol. Sci. 2022, 35, 425–433. [Google Scholar] [CrossRef]
- Castrica, M.; Miraglia, D.; Menchetti, L.; Branciari, R.; Ranucci, D.; Balzaretti, C.M. Antibacterial Effect of an Active Absorbent Pad on Fresh Beef Meat during the Shelf-Life: Preliminary Results. Appl. Sci. 2020, 10, 7904. [Google Scholar] [CrossRef]
- Domínguez, R.; Pateiro, M.; Munekata, P.E.S.; Zhang, W.; Garcia-Oliveira, P.; Carpena, M.; Prieto, M.A.; Bohrer, B.; Lorenzo, J.M. Protein Oxidation in Muscle Foods: A Comprehensive Review. Antioxidants 2021, 11, 60. [Google Scholar] [CrossRef] [PubMed]
- Fehri, N.E.; Contò, M.; Castrica, M.; Quattrone, A.; Renzi, G.; Di Giovanni, S.; Agradi, S.; Vigo, D.; Brecchia, G.; Menchetti, L.; et al. Effects of Diets Containing Extruded Linseed and Padina Pavonica Algae on Meat Rabbit: Carcass Performance and Meat Quality. Foods 2025, 14, 274. [Google Scholar] [CrossRef] [PubMed]
- Commission Internationale de L’éclairage (CIE). Colorimetry: Official Recommendations of the Commission Internationale de l'Éclairage (CIE), 2nd ed.; Commission Internationale de L’éclairage (CIE): Vienna, Austria, 1986. [Google Scholar]
- ISO 6579-1:2017; Microbiology of the Food Chain-Horizontal Method for the Detection, Enumeration and Serotyping of Salmonella-Part 1: Detection of Salmonella spp. International Organization for Standardization (ISO): Geneva, Switzerland, 2017.
- AFNOR BRD 07/05-09/01; Enumeration of Listeria monocytogenes and Listeria spp. AFNOR (Association Française de Normalisation): Paris, France, 2001.
- Cifuni, G.F.; Contò, M.; Failla, S. Potential Use of Visible Reflectance Spectra to Predict Lipid Oxidation of Rabbit Meat. J. Food Eng. 2016, 169, 85–90. [Google Scholar] [CrossRef]
- Valerio, F.; Skandamis, P.N.; Failla, S.; Contò, M.; Di Biase, M.; Bavaro, A.R.; Pirovano, M.P.; Lavermicocca, P. Microbiological and Physicochemical Parameters for Predicting Quality of Fat and Low-Fat Raw Ground Beef during Refrigerated Aerobic Storage. J. Food Sci. 2020, 85, 465–476. [Google Scholar] [CrossRef]
- Dal Bosco, A.; Mattioli, S.; Cullere, M.; Szendrő, Z.; Gerencsér, Z.; Matics, Z.; Castellini, C.; Szin, M.; Dalle Zotte, A. Effect of Diet and Packaging System on the Oxidative Status and Polyunsaturated Fatty Acid Content of Rabbit Meat during Retail Display. Meat Sci. 2018, 143, 46–51. [Google Scholar] [CrossRef]
- Wang, Z.; Tu, J.; Zhou, H.; Lu, A.; Xu, B. A Comprehensive Insight into the Effects of Microbial Spoilage, Myoglobin Autoxidation, Lipid Oxidation, and Protein Oxidation on the Discoloration of Rabbit Meat during Retail Display. Meat Sci. 2021, 172, 108359. [Google Scholar] [CrossRef]
- Guo, X.; Wang, Y.; Lu, S.; Wang, J.; Fu, H.; Gu, B.; Lyu, B.; Wang, Q. Changes in Proteolysis, Protein Oxidation, Flavor, Color and Texture of Dry-Cured Mutton Ham during Storage. LWT 2021, 149, 111860. [Google Scholar] [CrossRef]
- Adeyemi, K.D.; Shittu, R.M.; Sabow, A.B.; Abubakar, A.A.; Karim, R.; Karsani, S.A.; Sazili, A.Q. Comparison of Myofibrillar Protein Degradation, Antioxidant Profile, Fatty Acids, Metmyoglobin Reducing Activity, Physicochemical Properties and Sensory Attributes of Gluteus Medius and Infraspinatus Muscles in Goats. J. Anim. Sci. Technol. 2016, 58, 23. [Google Scholar] [CrossRef] [PubMed]
- Wang, Z.; He, Z.; Gan, X.; Li, H. Interrelationship among Ferrous Myoglobin, Lipid and Protein Oxidations in Rabbit Meat during Refrigerated and Superchilled Storage. Meat Sci. 2018, 146, 131–139. [Google Scholar] [CrossRef]
- Traore, S.; Aubry, L.; Gatellier, P.; Przybylski, W.; Jaworska, D.; Kajak-Siemaszko, K.; Santé-Lhoutellier, V. Higher Drip Loss Is Associated with Protein Oxidation. Meat Sci. 2012, 90, 917–924. [Google Scholar] [CrossRef] [PubMed]
- Carrillo-Lopez, L.M.; Robledo, D.; Martínez, V.; Huerta-Jimenez, M.; Titulaer, M.; Alarcon-Rojo, A.D.; Chavez-Martinez, A.; Luna-Rodriguez, L.; Garcia-Flores, L.R. Post-Mortem Ultrasound and Freezing of Rabbit Meat: Effects on the Physicochemical Quality and Weight Loss. Ultrason. Sonochem. 2021, 79, 105766. [Google Scholar] [CrossRef]
- Koutsoumanis, K.P.; Sofos, J.N. Comparative Acid Stress Response of Listeria Monocytogenes, Escherichia Coli O157:H7 and Salmonella Typhimurium after Habituation at Different PH Conditions. Lett. Appl. Microbiol. 2004, 38, 321–326. [Google Scholar] [CrossRef] [PubMed]
- Doulgeraki, A.I.; Ercolini, D.; Villani, F.; Nychas, G.J.E. Spoilage Microbiota Associated to the Storage of Raw Meat in Different Conditions. Int. J. Food Microbiol. 2012, 157, 130–141. [Google Scholar] [CrossRef] [PubMed]
- Dalle Zotte, A. Perception of Rabbit Meat Quality and Major Factors Influencing the Rabbit Carcass and Meat Quality. Livest. Prod. Sci. 2002, 75, 11–32. [Google Scholar] [CrossRef]
- Komodromos, D.; Sergelidis, D.; Amvrosiadis, I.; Kontominas, M.G. Combined Effect of an Active AgIon® Absorbent Pad and a Chitosan Coating on the Preservation of Fresh Beef. Foods 2024, 13, 1387. [Google Scholar] [CrossRef] [PubMed]
- Fernández, A.; Picouet, P.; Lloret, E. Reduction of the Spoilage-Related Microflora in Absorbent Pads by Silver Nanotechnology during Modified Atmosphere Packaging of Beef Meat. J. Food Prot. 2010, 73, 2263–2269. [Google Scholar] [CrossRef] [PubMed]
- Bobbitt, J. Shelf Life and Microbiological Safety of Selected New and Emerging Meats Destined for Export Markets. RIRDC 2002, 2, 038. [Google Scholar]
- Jeremiah, L.E. Packaging Alternatives to Deliver Fresh Meats Using Short- or Long-Term Distribution. Food Res. Int. 2001, 34, 749–772. [Google Scholar] [CrossRef]
- Nakyinsige, K.; Sazili, A.Q.; Aghwan, Z.A.; Zulkifli, I.; Goh, Y.M.; Abu Bakar, F.; Sarah, S.A. Development of Microbial Spoilage and Lipid and Protein Oxidation in Rabbit Meat. Meat Sci. 2015, 108, 125–131. [Google Scholar] [CrossRef] [PubMed]
- Rodríguez-Calleja, J.M.; Santos, J.A.; Otero, A.; García-López, M.L. Effect of Vacuum and Modified Atmosphere Packaging on the Shelf Life of Rabbit Meat del Envasado al Vacío y en Atmósfera Modificada en la Vida Útil de la Carne de Conejo. CyTA-J. Food 2010, 8, 109–116. [Google Scholar] [CrossRef]
- Mattioli, S.; Collodel, G.; Signorini, C.; Cotozzolo, E.; Noto, D.; Cerretani, D.; Micheli, L.; Fiaschi, A.I.; Brecchia, G.; Menchetti, L.; et al. Tissue Antioxidant Status and Lipid Peroxidation Are Related to Dietary Intake of N-3 Polyunsaturated Acids: A Rabbit Model. Antioxidants 2021, 10, 681. [Google Scholar] [CrossRef]
- Nieto, G.; Ros, G.; Nieto, G.; Ros, G. Modification of Fatty Acid Composition in Meat Through Diet: Effect on Lipid Peroxidation and Relationship to Nutritional Quality—A Review. Lipid Peroxidation 2012, 12, 239–258. [Google Scholar] [CrossRef]
- Agati, G.; Brunetti, C.; Di Ferdinando, M.; Ferrini, F.; Pollastri, S.; Tattini, M. Functional Roles of Flavonoids in Photoprotection: New Evidence, Lessons from the Past. Plant Physiol. Biochem. 2013, 72, 35–45. [Google Scholar] [CrossRef]
- Sabow, A.B.; Sazili, A.Q.; Aghwan, Z.A.; Zulkifli, I.; Goh, Y.M.; Ab Kadir, M.Z.A.; Nakyinsige, K.; Kaka, U.; Adeyemi, K.D. Changes of Microbial Spoilage, Lipid-Protein Oxidation and Physicochemical Properties during Post Mortem Refrigerated Storage of Goat Meat. Anim. Sci. J. 2016, 87, 816–826. [Google Scholar] [CrossRef] [PubMed]






| CNT | ELS5% | LPP3.5% | |||||||
|---|---|---|---|---|---|---|---|---|---|
| nPAD | aPAD | nPAD | aPAD | nPAD | aPAD | p Diets | p Pad | RMSE | |
| pH | 5.93 a | 6.07 b | 5.98 | 5.97 | 5.96 | 5.97 | 0.423 | 0.028 | 0.14 |
| WHC% | 3.01 | 2.88 | 2.79 | 2.72 | 3.08 b | 2.84 a | <0.001 | <0.001 | 0.31 |
| L* | 60.99 a | 60.56 a | 61.38 ab | 61.85 ab | 61.73 b | 62.16 b | 0.038 | 0.670 | 2.07 |
| a* | 1.68 b | 1.71 b | 1.54 ab | 1.58 ab | 1.29 a | 0.90 a | 0.041 | 0.495 | 0.54 |
| b* | 5.22 | 4.67 | 5.31 | 5.44 | 5.04 | 4.84 | 0.121 | 0.339 | 1.19 |
| C | 5.59 | 5.12 | 5.63 | 5.80 | 5.31 | 5.01 | 0.094 | 0.380 | 1.54 |
| H | 72.20 | 69.92 | 73.88 | 73.84 | 75.68 | 79.50 | 0.371 | 0.637 | 11.52 |
| D1 | D4 | D7 | D14 | D21 | p Value | RMSE | |
|---|---|---|---|---|---|---|---|
| pH | 5.96 a | 5.93 a | 5.98 a | 5.97 a | 6.05 b | 0.002 | 0.14 |
| WHC% | 1.38 a | 2.71 b | 2.89 c | 3.47 d | 3.98 e | <0.001 | 0.31 |
| L* | 59.48 a | 61.09 b | 61.99 bc | 62.93 c | 61.73 bc | <0.001 | 2.07 |
| a* | 1.82 | 1.06 | 1.31 | 1.49 | 1.42 | 0.122 | 1.04 |
| b* | 4.21 a | 4.68 ab | 5.17 b | 5.77 c | 5.52 bc | <0.001 | 1.19 |
| C | 4.83 a | 4.91 a | 5.41 ab | 6.12 b | 5.78 ab | <0.001 | 1.54 |
| H | 71.08 | 73.87 | 77.59 | 73.92 | 74.44 | 0.171 | 11.52 |
| D1 | D4 | D7 | D14 | D21 | p Value | RMSE | |
|---|---|---|---|---|---|---|---|
| TBARS (mg MDA/kg) | 0.06 a | 0.49 b | 0.71 c | 1.27 d | 2.15 e | <0.001 | 0.314 |
| Sulfhydryl (nmol SH/mg protein) | 69.11 e | 59.44 d | 52.74 c | 43.37 b | 32.27 a | <0.001 | 5.656 |
| Carbonyl (nmol DNPH/mg of protein) | 0.67 a | 1.27 b | 1.99 c | 2.93 d | 3.62 e | <0.001 | 0.447 |
| CNT | ELS5% | LPP3.5% | |||||||
|---|---|---|---|---|---|---|---|---|---|
| nPAD | aPAD | nPAD | aPAD | nPAD | aPAD | p Diets | p Pad | RMSE | |
| Color | 6.26 | 6.40 | 5.93 b | 6.35 a | 6.00 | 6.31 | 0.245 | 0.006 | 0.75 |
| Odor | 6.19 | 6.03 | 5.86 | 6.11 | 5.92 | 6.05 | 0.632 | 0.538 | 0.86 |
| Overall acceptability | 6.06 | 6.18 | 5.93 b | 6.22 a | 6.04 | 6.25 | 0.757 | 0.009 | 0.56 |
| D1 | D4 | D7 | D14 | D21 | p Value | RMSE | |
|---|---|---|---|---|---|---|---|
| Color | 7.31 e | 6.63 d | 6.41 c | 5.67 b | 5.04 a | <0.001 | 0.75 |
| Odor | 7.31 e | 6.78 d | 6.24 c | 5.10 b | 4.69 a | <0.001 | 0.86 |
| Overall acceptability | 7.18 e | 6.68 d | 6.24 c | 5.47 b | 5.01 a | <0.001 | 0.56 |
Disclaimer/Publisher’s Note: The statements, opinions and data contained in all publications are solely those of the individual author(s) and contributor(s) and not of MDPI and/or the editor(s). MDPI and/or the editor(s) disclaim responsibility for any injury to people or property resulting from any ideas, methods, instructions or products referred to in the content. |
© 2025 by the authors. Licensee MDPI, Basel, Switzerland. This article is an open access article distributed under the terms and conditions of the Creative Commons Attribution (CC BY) license (https://creativecommons.org/licenses/by/4.0/).
Share and Cite
Castrica, M.; Contò, M.; Fehri, N.E.; Curone, G.; Balzaretti, C.M.; Andoni, E.; Quattrone, A.; Vigo, D.; Agradi, S.; Menchetti, L.; et al. Quality and Microbial Changes in Omega-3-Enriched Rabbit Meat Packaged with an Active Absorbent Pad in MAP. Foods 2025, 14, 404. https://doi.org/10.3390/foods14030404
Castrica M, Contò M, Fehri NE, Curone G, Balzaretti CM, Andoni E, Quattrone A, Vigo D, Agradi S, Menchetti L, et al. Quality and Microbial Changes in Omega-3-Enriched Rabbit Meat Packaged with an Active Absorbent Pad in MAP. Foods. 2025; 14(3):404. https://doi.org/10.3390/foods14030404
Chicago/Turabian StyleCastrica, Marta, Michela Contò, Nour Elhouda Fehri, Giulio Curone, Claudia M. Balzaretti, Egon Andoni, Alda Quattrone, Daniele Vigo, Stella Agradi, Laura Menchetti, and et al. 2025. "Quality and Microbial Changes in Omega-3-Enriched Rabbit Meat Packaged with an Active Absorbent Pad in MAP" Foods 14, no. 3: 404. https://doi.org/10.3390/foods14030404
APA StyleCastrica, M., Contò, M., Fehri, N. E., Curone, G., Balzaretti, C. M., Andoni, E., Quattrone, A., Vigo, D., Agradi, S., Menchetti, L., Barbato, O., Miraglia, D., Brecchia, G., & Failla, S. (2025). Quality and Microbial Changes in Omega-3-Enriched Rabbit Meat Packaged with an Active Absorbent Pad in MAP. Foods, 14(3), 404. https://doi.org/10.3390/foods14030404

