Metagenomics and Metagenome-Assembled Genomes: Analysis of Cupei from Sichuan Baoning Vinegar, One of the Four Traditional Renowned Vinegars in China
Abstract
1. Introduction
2. Materials and Methods
2.1. Sampling
2.2. DNA Extraction, Metagenomic Sequencing, Quality Control, and Taxonomic Analysis
2.3. Genome Binning
2.4. Gene Prediction and Annotation of Microbial Genomes
3. Results
3.1. Metagenomic Sequencing
3.2. Microbiota Composition
3.3. Assembly of Draft Genomes
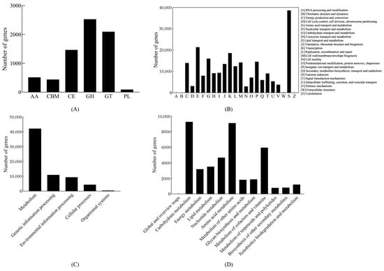
3.4. Functionality of Microbial Genomes
4. Discussion
5. Conclusions
Supplementary Materials
Author Contributions
Funding
Institutional Review Board Statement
Informed Consent Statement
Data Availability Statement
Conflicts of Interest
References
- Xie, X.; Zheng, Y.; Liu, X.; Cheng, C.; Zhang, X.; Xia, T.; Yu, S.; Wang, M. Antioxidant activity of Chinese Shanxi aged vinegar and its correlation with polyphenols and flavonoids during the brewing process. J. Food Sci. 2017, 82, 2479–2486. [Google Scholar] [CrossRef] [PubMed]
- Zhang, L.; Wang, M.; Song, H.; Liang, W.; Wang, X.; Sun, J.; Wang, D. Changes of microbial communities and metabolites in the fermentation of persimmon vinegar by bioaugmentation fermentation. Food Microbiol. 2024, 122, 104565. [Google Scholar] [CrossRef]
- Al-Dalali, S.; Zheng, F.; Xu, B.; Abughoush, M.; Li, L.; Sun, B. Processing technologies and flavor analysis of Chinese cereal vinegar: A comprehensive review. Food Anal. Methods 2023, 16, 1–28. [Google Scholar] [CrossRef]
- Melini, V.; Melini, F. Asian grain-based food products and the European scheme for food protected designations of origin: A critical analysis. Trends Food Sci. Technol. 2019, 91, 83–94. [Google Scholar] [CrossRef]
- Zhang, L.; Huang, J.; Zhou, R.; Wu, C. Evaluating the feasibility of fermentation starter inoculated with Bacillus amyloliquefaciens for improving acetoin and tetramethylpyrazine in Baoning bran vinegar. Int. J. Food Microbiol. 2017, 255, 42–50. [Google Scholar] [CrossRef]
- Ai, M.; Qiu, X.; Huang, J.; Wu, C.; Jin, Y.; Zhou, R. Characterizing the microbial diversity and major metabolites of Sichuan bran vinegar augmented by Monascus purpureus. Int. J. Food Microbiol. 2019, 292, 83–90. [Google Scholar] [CrossRef] [PubMed]
- Liu, A.; Wang, R.; Li, J.; Li, Q.; He, L.; Chen, S.; Ao, X.; Yang, Y.; Zou, L.; Chen, R.; et al. Multiple rounds of Aspergillus niger biofortification confer relatively stable quality with minor changes of microbial community during industrial-scale Baoning vinegar production. Food Res. Int. 2021, 150, 110768. [Google Scholar] [CrossRef]
- Sengun, I.Y.; Kilic, G.; Charoenyingcharoen, P.; Yukphan, P.; Yamada, Y. Investigation of the microbiota associated with traditionally produced fruit vinegars with focus on acetic acid bacteria and lactic acid bacteria. Food Biosci. 2022, 47, 101636. [Google Scholar] [CrossRef]
- Wu, J.; Li, Q.; Hu, K.; Li, J.; Durán-Guerrero, E.; Liu, S.; Guo, M.; Liu, A. Microbial characterization of Sichuan Baoning vinegar: Lactic acid bacteria, acetic acid bacteria and yeasts. Arch. Microbiol. 2024, 206, 59. [Google Scholar] [CrossRef] [PubMed]
- Li, W.L.; Tong, S.G.; Yang, Z.Y.; Xiao, Y.Q.; Lv, X.C.; Weng, Q.; Yu, K.; Liu, G.R.; Luo, X.Q.; Wei, T.; et al. The dynamics of microbial community and flavor metabolites during the acetic acid fermentation of Hongqu aromatic vinegar. Curr. Res. Food Sci. 2022, 5, 1720–1731. [Google Scholar] [CrossRef] [PubMed]
- Yu, X.; Gu, C.; Guo, X.; Guo, R.; Zhu, L.; Qiu, X.; Chai, J.; Liu, F.; Feng, Z. Dynamic changes of microbiota and metabolite of traditional Hainan dregs vinegar during fermentation based on metagenomics and metabolomics. Food Chem. 2024, 444, 138641. [Google Scholar] [CrossRef] [PubMed]
- Almeida, O.G.G.; De Martinis, E.C.P. Metagenome-assembled genomes contribute to unraveling of the microbiome of cocoa fermentation. Appl. Environ. Microbiol. 2021, 87, e00584-21. [Google Scholar] [CrossRef]
- Fu, J.; Chen, L.; Yang, S.; Li, Y.; Jin, L.; He, X.; He, L.; Ao, X.; Liu, S.; Liu, A.; et al. Metagenome and analysis of metabolic potential of the microbial community in pit mud used for Chinese strong-flavor liquor production. Food Res. Int. 2021, 143, 110294. [Google Scholar] [CrossRef] [PubMed]
- Zhou, Y.; Liu, M.; Yang, J. Recovering metagenome-assembled genomes from shotgun metagenomic sequencing data: Methods, applications, challenges, and opportunities. Microbiol. Res. 2022, 260, 127023. [Google Scholar] [CrossRef]
- Liu, A.; Peng, Y.; Ao, X.; Pan, W.; Chen, S.; He, L.; Yang, Y.; Chen, F.; Du, D.; Liu, S. Effects of Aspergillus niger biofortification on the microbial community and quality of Baoning vinegar. LWT 2020, 131, 109728. [Google Scholar] [CrossRef]
- Bolger, A.M.; Lohse, M.; Usadel, B. Trimmomatic: A flexible trimmer for Illumina sequence data. Bioinformatics 2014, 30, 2114–2120. [Google Scholar] [CrossRef]
- Ren, F.; Liu, M.; Liu, Y.; Tian, X.; Jiang, P.; Tan, B. Deciphering microbial diversity and functional codes of traditional fermented whole grain Tianpei from typical regions of China. Fermentation 2023, 9, 53. [Google Scholar] [CrossRef]
- Kang, D.D.; Li, F.; Kirton, E.; Thomas, A.; Egan, R.; An, H.; Wang, Z. MetaBAT 2: An adaptive binning algorithm for robust and efficient genome reconstruction from metagenome assemblies. PeerJ 2019, 7, e7359. [Google Scholar] [CrossRef] [PubMed]
- Parks, D.H.; Imelfort, M.; Skennerton, C.T.; Hugenholtz, P.; Tyson, G.W. CheckM: Assessing the quality of microbial genomes recovered from isolates, single cells, and metagenomes. Genome Res. 2015, 25, 1043–1055. [Google Scholar] [CrossRef]
- Chaumeil, P.A.; Mussig, A.J.; Hugenholtz, P.; Parks, D.H. GTDB-Tk: A toolkit to classify genomes with the genome taxonomy database. Bioinformatics 2020, 36, 1925–1927. [Google Scholar] [CrossRef]
- Jain, C.; Rodriguez-R, L.M.; Phillippy, A.M.; Konstantinidis, K.T.; Aluru, S. High throughput ANI analysis of 90K prokaryotic genomes reveals clear species boundaries. Nat. Commun. 2018, 9, 5114. [Google Scholar] [CrossRef]
- Delcher, A.L.; Bratke, K.A.; Powers, E.C.; Salzberg, S.L. Identifying bacterial genes and endosymbiont DNA with Glimmer. Bioinformatics 2007, 23, 673–679. [Google Scholar] [CrossRef]
- Zhang, H.; Yohe, T.; Huang, L.; Entwistle, S.; Wu, P.; Yang, Z.; Busk, P.K.; Xu, Y.; Yin, Y. dbCAN2: A meta server for automated carbohydrate-active enzyme annotation. Nucleic Acids Res. 2018, 46, W95–W101. [Google Scholar] [CrossRef] [PubMed]
- Aramaki, T.; Blanc-Mathieu, R.; Endo, H.; Ohkubo, K.; Kanehisa, M.; Goto, S.; Ogata, H. KofamKOALA: KEGG Ortholog assignment based on profile HMM and adaptive score threshold. Bioinformatics 2020, 36, 2251–2252. [Google Scholar] [CrossRef] [PubMed]
- Cantalapiedra, C.P.; Hernández-Plaza, A.; Letunic, I.; Bork, P.; Huerta-Cepas, J. eggNOG-mapper v2: Functional annotation, orthology assignments, and domain prediction at the metagenomic scale. Mol. Biol. Evol. 2021, 38, 5825–5829. [Google Scholar] [CrossRef]
- Blin, K.; Shaw, S.; Augustijn, H.; Reitz, Z.; Biermann, F.; Alanjary, M.; Fetter, A.; Terlouw, B.; Metcalf, W.; Helfrich, E.; et al. antiSMASH 7.0: New and improved predictions for detection, regulation, chemical structures and visualisation. Nucleic Acids Res. 2023, 51, W46–W50. [Google Scholar] [CrossRef] [PubMed]
- Huang, T.; Lu, Z.M.; Peng, M.Y.; Liu, Z.F.; Chai, L.J.; Zhang, X.J.; Shi, J.S.; Li, Q.; Xu, Z.H. Combined effects of fermentation starters and environmental factors on the microbial community assembly and flavor formation of Zhenjiang aromatic vinegar. Food Res. Int. 2022, 152, 110900. [Google Scholar] [CrossRef]
- Nie, Z.; Zheng, Y.; Xie, S.; Zhang, X.; Song, J.; Xia, M.; Wang, M. Unraveling the correlation between microbiota succession and metabolite changes in traditional Shanxi aged vinegar. Sci. Rep. 2017, 7, 9240. [Google Scholar] [CrossRef] [PubMed]
- Yu, Z.; Ma, Y.; Guan, Y.; Zhu, Y.; Wang, K.; Wang, Y.; Liu, P.; Chen, J.; Yu, Y. Metagenomics of virus diversities in solid-state brewing process of traditional Chinese vinegar. Foods 2022, 11, 3296. [Google Scholar] [CrossRef]
- Kumar, S.; Bansal, K.; Sethi, S. Comparative genomics analysis of genus Leuconostoc resolves its taxonomy and elucidates its biotechnological importance. Food Microbiol. 2022, 106, 104039. [Google Scholar] [CrossRef] [PubMed]
- Liu, Y.X.; Qin, Y.; Chen, T.; Lu, M.; Qian, X.; Guo, X.; Bai, Y. A practical guide to amplicon and metagenomic analysis of microbiome data. Protein Cell 2021, 12, 315–330. [Google Scholar] [CrossRef]
- Liu, A.; Pan, W.; Li, S.; Li, J.; Li, Q.; He, L.; Chen, S.; Hu, K.; Hu, X.; Han, G.; et al. Seasonal dynamics of microbiota and physicochemical indices in the industrial-scale fermentation of Sichuan Baoning vinegar. Food Chem. X 2022, 16, 100452. [Google Scholar] [CrossRef]
- Zheng, J.; Wittouck, S.; Salvetti, E.; Franz, C.M.A.P.; Harris, H.M.B.; Mattarelli, P.; O’Toole, P.W.; Pot, B.; Vandamme, P.; Walter, J.; et al. A taxonomic note on the genus Lactobacillus: Description of 23 novel genera, emended description of the genus Lactobacillus Beijerinck 1901, and union of Lactobacillaceae and Leuconostocaceae. Int. J. Syst. Evol. Microbiol. 2020, 70, 2782–2858. [Google Scholar] [CrossRef] [PubMed]
- Han, D.; Yang, Y.; Guo, Z.; Chen, K.; Dai, S.; Zhu, Y.; Wang, Y.; Yu, Z.; Wang, K.; Liu, P.; et al. Metagenomics profiling of the microbial community and functional differences in solid-state fermentation vinegar starter (seed Pei) from different Chinese regions. Front. Microbiol. 2024, 15, 1389737. [Google Scholar] [CrossRef] [PubMed]
- Tong, W.; Chen, G.; Yu, H.; Wang, X.; Xue, R.; Yang, Y.; Luo, H.; Huang, D. Dynamic changes and correlation of organic acids, physicochemical properties, and microbial communities during fermentation of Sichuan bran vinegar. J. Food Compos. Anal. 2024, 132, 106355. [Google Scholar] [CrossRef]
- Fan, J.; Qu, G.; Wang, D.; Chen, J.; Du, G.; Fang, F. Synergistic fermentation with functional microorganisms improves safety and quality of traditional Chinese fermented foods. Foods 2023, 12, 2892. [Google Scholar] [CrossRef]
- Sun, J.; Lu, Z.; Zhang, X.; Chai, L.; Shi, J.; Xu, Z. Establishment and application of real-time fluorescence quantitative PCR for detection of Acetilactobacillus jinshanensis. Acta Microbiol. Sin. 2021, 61, 3211–3221. (In Chinese) [Google Scholar] [CrossRef]
- Bruna-Maynou, F.; Castro, R.; Rodríguez-Dodero, M.; Barroso, C.; Durán-Guerrero, E. Flavored Sherry vinegar with citric notes: Characterization and effect of ultrasound in the maceration of orange peels. Food Res. Int. 2020, 133, 109165. [Google Scholar] [CrossRef]
- Middelboe, M.; Brussaard, C.P.D. Marine viruses: Key players in marine ecosystems. Viruses 2017, 9, 302. [Google Scholar] [CrossRef]
- Maske, B.L.; de Melo Pereira, G.V.; da Silva Vale, A.; Marques Souza, D.S.; De Dea Lindner, J.; Soccol, C.R. Viruses in fermented foods: Are they good or bad? Two sides of the same coin. Food Microbiol. 2021, 98, 103794. [Google Scholar] [CrossRef] [PubMed]
- Agyirifo, D.; Wamalwa, M.; Otwe, E.P.; Galyuon, I.; Runo, S.; Takrama, J.; Ngeranwa, J. Metagenomics analysis of cocoa bean fermentation microbiome identifying species diversity and putative functional capabilities. Heliyon 2019, 5, e02170. [Google Scholar] [CrossRef] [PubMed]
- Samson, J.E.; Moineau, S. Bacteriophages in food fermentations: New frontiers in a continuous arms race. Annu. Rev. Food Sci. Technol. 2013, 4, 347–368. [Google Scholar] [CrossRef] [PubMed]




Disclaimer/Publisher’s Note: The statements, opinions and data contained in all publications are solely those of the individual author(s) and contributor(s) and not of MDPI and/or the editor(s). MDPI and/or the editor(s) disclaim responsibility for any injury to people or property resulting from any ideas, methods, instructions or products referred to in the content. |
© 2025 by the authors. Licensee MDPI, Basel, Switzerland. This article is an open access article distributed under the terms and conditions of the Creative Commons Attribution (CC BY) license (https://creativecommons.org/licenses/by/4.0/).
Share and Cite
Wu, J.; Zhao, N.; Li, Q.; Zhao, K.; Tu, M.; Li, J.; Hu, K.; Chen, S.; Liu, S.; Liu, A. Metagenomics and Metagenome-Assembled Genomes: Analysis of Cupei from Sichuan Baoning Vinegar, One of the Four Traditional Renowned Vinegars in China. Foods 2025, 14, 398. https://doi.org/10.3390/foods14030398
Wu J, Zhao N, Li Q, Zhao K, Tu M, Li J, Hu K, Chen S, Liu S, Liu A. Metagenomics and Metagenome-Assembled Genomes: Analysis of Cupei from Sichuan Baoning Vinegar, One of the Four Traditional Renowned Vinegars in China. Foods. 2025; 14(3):398. https://doi.org/10.3390/foods14030398
Chicago/Turabian StyleWu, Jie, Ning Zhao, Qin Li, Kui Zhao, Meiling Tu, Jianlong Li, Kaidi Hu, Shujuan Chen, Shuliang Liu, and Aiping Liu. 2025. "Metagenomics and Metagenome-Assembled Genomes: Analysis of Cupei from Sichuan Baoning Vinegar, One of the Four Traditional Renowned Vinegars in China" Foods 14, no. 3: 398. https://doi.org/10.3390/foods14030398
APA StyleWu, J., Zhao, N., Li, Q., Zhao, K., Tu, M., Li, J., Hu, K., Chen, S., Liu, S., & Liu, A. (2025). Metagenomics and Metagenome-Assembled Genomes: Analysis of Cupei from Sichuan Baoning Vinegar, One of the Four Traditional Renowned Vinegars in China. Foods, 14(3), 398. https://doi.org/10.3390/foods14030398

